The Effects and Vertical Bearing Capacity of Two Jacked Model Piles in Sand
Abstract
1. Introduction
2. Materials and Methods
2.1. Test Sand
2.2. Model Piles
2.3. Test Equipment
2.4. Test Program
3. Results and Discussion
3.1. The Effects of Jacked Piles
3.1.1. Jacking Pile Pressure
3.1.2. Pile End’s Resistance during Installation of Pile
3.1.3. Pile Rebound Displacement
3.1.4. Uplift Displacement of the Top of Pile #1
3.1.5. Horizontal Displacement of the Top of Pile #1
3.2. Vertical Bearing Capacity of Jacked Piles
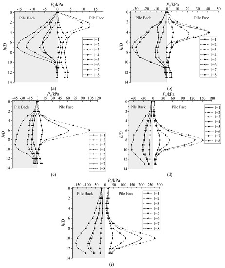
3.2.1. Radial Stress of the Soil Surrounding the Pile
3.2.2. Ultimate Capacity of Pile
4. Conclusions
- The jacking pile pressure grows nonlinearly with the pile length and increase with the increasing driving speed. The pile end’s resistance increased with the increasing pile length and decreased then increased with the increasing driving speed. Meanwhile, the ratio between the pile end’s resistance and the jacking pile pressure decreased with the increasing pile length.
- For a short pile, the pile rebound is primarily associated with the pile length while the ratio was fixed at about 0.4%, and the ratio of the pile rebound to the total pile rebound during the unloading process or initial unloading was up to 85%. Meanwhile, the hyperbolic model can be used to evaluate pile rebound over time.
- The horizontal displacement of the top of the first jacking pile increased then decreased with the depth of installation of the post-jacking pile and increased with the increasing pile length. At the depth of 2/3 L of the installation of the post-jacking pile, the horizontal displacement of the top of the first jacking pile reached its maximum. Meanwhile, the horizontal displacement of the first jacking pile top decreased then increased with the increasing driving speed of the installation of the post-jacking pile. The horizontal displacement of the top of the first jacking pile during the installation of the post-jacking pile was caused by the difference in the stress state of the first jacking pile between the side of the pile’s face and the back of the pile, and the uplift displacement of the first jacking pile was also related.
- The radial stress of the pile increased nonlinearly with depth at different pile lengths, and gradually converged to the passive earth pressure. The reduction in the radial stress of the pile at the same depth was not only related to the frictional effect between the pile and soil during the installation of the pile, but was also related to the stress release at the pile end and the soil around the pile during the unloading process. The radial stress of the pile decreased with the increasing driving speed at the same depth.
- At the same pile length, the ultimate capacity of the first jacking pile is the same as that of a single pile. Meanwhile, the ultimate capacity of a single pile and the first jacking pile decreased with the increasing driving speed. The ultimate capacity of the double pile is approximately twice that of the single pile, and the ratio of the ultimate capacity to the final jacking pressure was approximately 1.04.
Author Contributions
Funding
Data Availability Statement
Acknowledgments
Conflicts of Interest
Nomenclature
| a | Fit parameters. |
| b | Fit parameters. |
| h | The depth of soil or the depth of jacking piles. |
| s | Pile rebound displacements. |
| u | Pile uplift displacements. |
| v | The driving speeds. |
| w | Horizontal displacement of pile head. |
| D | Model pile diameter. |
| Ka | Coefficient of active earth pressure. |
| K0 | Coefficient of earth pressure at rest. |
| Kp | Coefficient of passive earth pressure. |
| L | Model pile length. |
| Pe | Installation resistance of pile end. |
| Pi | Jacked pile pressure. |
| Pb | The radial stress of the soil surrounding the pile. |
| Q | The load of pile head. |
| S | Settlement. |
| T | Time. |
| σa | Active earth pressure. |
| σ0 | Earth pressure at rest. |
| σp | Passive earth pressure. |
| γ | Unit weight of soil. |
| φ | Internal friction angle of soil of soil. |
| ƞ | The ratio of between the pile rebound displacements and the pile length. |
References
- Xiao, Z.R.; Wang, Y.L.; Zhao, X.Q.; Jiang, M.M.; Zhao, W.C. Experimental Investigation on Resistance and Response of Jacked Model Piles in Sand. J. Build. Struct. 2022, 43, 294–302. [Google Scholar]
- Wang, Y.H.; Sang, S.K.; Liu, X.Y.; Zhang, M.Y.; Bai, X.Y. Numerical Simulation of Particle Flow Characteristics of Jacked Pile Penetration in Laminated Clay Soil. J. Southwest Jiao Tong Univ. 2021, 56, 1250–1259. [Google Scholar]
- Liu, X.Y.; Wang, Y.H.; Zhang, M.Y. Application of Miniature FBG-MEMS Pressure Sensor in Penetration Process of Jacked Pile. Micromachines 2020, 11, 876. [Google Scholar] [CrossRef] [PubMed]
- Sang, S.K.; Wang, Y.H.; Ma, J.X.; Zhang, M.Y. Experimental Research Based on the Optical Fiber Sensing Technology for a Jacked PHC Pipe Pile Penetration Process. Adv. Civ. Eng. 2020, 2020, 8873308. [Google Scholar] [CrossRef]
- Li, J.P.; Li, L.; Sun, D.A.; Tang, J.H. Theoretical Study on Sinking Resistance of Jacked Piles in Saturated Soft Clay. Chin. J. Geotech. Eng. 2015, 37, 1454–1461. [Google Scholar]
- Liu, Y.; Xiao, Z.R.; Jiang, M.M. Model Test on Influence of Pile Length on Pile Resistance and Bearing Capacity Characteristics. Sci. Technol. Eng. 2019, 19, 215–219. [Google Scholar]
- Arezzo, F.B.; Haigh, S.; Talesnick, M.; Ishihara, Y. Measuring Horizontal Stresses during Jacked Pile Installation. Proc. Inst. Civ. Eng. Geotech. Eng. 2015, 168, 306–318. [Google Scholar] [CrossRef]
- Chin, J.T.; Poulos, H.G. Tests on Model Jacked Piles in Calcareous Sand. Geotech. Test. J. 1996, 19, 164–180. [Google Scholar]
- Lim, J.K.; Lehane, B. Shearing Resistance during Pile Installation in Sand. Proc. Inst. Civ. Eng. Geo. Eng. 2015, 168, 227–235. [Google Scholar] [CrossRef]
- Lim, J.K.; Lehane, B. Time Effects on Shaft Capacity of Jacked Piles in Sand. Can. Geotech. J. 2015, 52, 1830–1838. [Google Scholar] [CrossRef]
- Prezzi, M.; Salgado, R.; Basu, P.; Loukidis, D. The Mechanics of Friction Fatigue in Jacked Piles Installed in Sand. Soil Behav. Fundam. Innov. Geotech. Eng. 2014, 2, 546–557. [Google Scholar] [CrossRef]
- Zhou, J.; Deng, Y.B.; Ye, J.Z.; Jia, M.C. Experimental and Numerical Analysis of Jacked Piles during Installation in Sand. Chin. J. Geotech. Eng. 2009, 31, 501–507. [Google Scholar] [CrossRef]
- Ye, J.Z.; Zhou, J.; Han, B. Numerical Simulation of Punching Processes by Particle Flow Code Based on Discrete Element Method. Chin. J. Rock Mech. Eng. 2007, S1, 3058–3064. [Google Scholar]
- Luo, Z.Y.; Tao, Y.L.; Gong, X.N.; Zou, B.P. Soil Compacting Displacements for Two Jacked Piles Considering Shielding Effects. Acta Geotech. 2020, 15, 2367–2377. [Google Scholar] [CrossRef]
- Liu, H.J.; Xiao, Z.R.; Zhao, X.Q.; Zhao, W.C.; Lv, Q.X. Analysis of Rebound and Recompression Characteristics of Jacked Piles in a Sand Foundation. J. Build. Struct. 2022, 43, 301–310. [Google Scholar]
- Anusic, I.; Lehane, B.M.; Eiksund, G.R.; Liingaard, M.A. Influence of Installation Method on Static Lateral Response of DisPlacement Piles in Sand. Geotech. Lett. 2019, 9, 193–197. [Google Scholar] [CrossRef]
- Basu, P.; Prezzi, M.; Salgado, R.; Chakraborty, T. Shaft Resistance and Setup Factors for Piles Jacked in Clay. J. Geotech. Geoenviron. 2014, 140, 04013026. [Google Scholar] [CrossRef]
- Lehane, B.M.; Gavin, K.G. Base Resistance of Jacked Pipe Piles in Sand. J. Geotech. Geoenviron. 2001, 127, 473–480. [Google Scholar] [CrossRef]
- Lorenzo, R.; Dacunha, R.P.; CordãoNeto, M.P.; Nairn, J.A. Numerical Simulation of Installation of Jacked Piles in Sand using Material Point Method. Can. Geotech. J. 2018, 55, 131–146. [Google Scholar] [CrossRef]
- Liu, J.W.; Zhang, Z.M.; Yu, F.; Xie, Z.Z. Case history of Installing Instrumented Jacked Open-ended Piles. J. Geotech. Geoenviron. 2012, 138, 810–820. [Google Scholar] [CrossRef]
- Kou, H.L.; Zhang, M.Y.; Yu, F. Shear Zone around Jacked Piles in Clay. J. Perform. Constr. Facil. 2015, 29, 4014169. [Google Scholar] [CrossRef]
- Gavin, K.G.; Lehane, B.M. The Shaft Capacity of Pipe Piles in Sand. Can. Geotech. J. 2003, 40, 36–45. [Google Scholar] [CrossRef]
- Gavin, K.G.; O’Kelly, B.C. Effect of Friction Fatigue on Pile Capacity in Densen Sand. J. Geotech. Geoenviron. 2007, 133, 63–71. [Google Scholar] [CrossRef]
- Li, L.; Li, J.P.; Sun, D.A.; Gong, W.B. A Feasible Approach to Predicting Time-dependent Bearing Performance of Jacked Piles from CPTu Measurements. Acta Geotech. 2020, 15, 1935–1952. [Google Scholar] [CrossRef]
- Niazi, F.S.; Mayne, P.W. CPTu-based Enhanced Unicone Method for Pile Capacity. Eng. Geol. 2016, 212, 21–34. [Google Scholar] [CrossRef]
- Lee, J.; Prezzi, M.; Salgado, R. Experimental Investigation of the Combined Load Response of Model Piles Driven in Sand. Geotech. Test. J. 2011, 34, 653–667. [Google Scholar] [CrossRef]
- Liu, J.W.; Duan, N.; Cui, L.; Zhu, N. DEM Investigation of Installation Responses of Jacked Open-ended Piles. Acta Geotech. 2019, 14, 1805–1819. [Google Scholar] [CrossRef]
- Wang, J.L.; Wang, Z.K.; Ma, Y. Relationship between Ultimate Bearing Capacity of Single Pile and Final Pressure of Static Pressure Pipe Pile. Rock Soil Mech. 2008, 29, 631–634. [Google Scholar]
- Zhang, Z.M.; Liu, J.W.; Yu, F.; Zhang, Q.Q.; Zhang, M.Y. Relationship between Terminative Jacking Force and Ultimate Bearing Capacity of Jacked Pipe Piles. Chin. J. Geotech. Eng. 2010, 32, 1207–1213. [Google Scholar]
- Wang, J.T.; Zhang, M.Y. Computation of side resistance of jacked pipe piles based on time effect. Chin. J. Geotech. Eng. 2011, 33, 287–290. [Google Scholar] [CrossRef]
- Yu, F.; Tham, L.G.; Yang, J.; Li, Q.G. Observed Long-term Behavior of Residual Stress in Jacked Pile. Rock Soil Mech. 2011, 32, 2318–2324. [Google Scholar]
- Yang, Z.X.; Jardine, R.J.; Guo, W.B.; Chow, F. A new and Openly Accessible Database of Tests on Piles Driven in Sands. Geotech. Lett. 2015, 5, 12–20. [Google Scholar] [CrossRef]
- Li, J.P.; Li, L.; Sun, D.A.; Rao, P.P. Analysis of Undrained Cylindrical Cavity Expansion Considering Three-Dimensional Strength of Soils. Int. J. Geomech. 2016, 16, 04016017. [Google Scholar] [CrossRef]
- Li, L.; Li, J.P.; Gong, W.B.; Zhang, L.X. Elasto-plastic Solution to Expansion of a Cylindrical Cavity in K0-consolidated Natural Saturated Clay. J. Harbin Inst. Technol. 2017, 49, 90–95. [Google Scholar] [CrossRef]




















| Experiment Type | Driving speed v (mm/s) | Pile Length L (D) | Pile Diameter D (mm) |
|---|---|---|---|
| Type 1 | 0.1 | 9, 11, 13 | 50 |
| Type 2 | 0.1, 0.25, 0.5, 0.75, 1 | 13 | 50 |
| Regression Parameters | Pile #1 L = 13 D | Pile #1 L = 11 D | Pile #1 L = 9 D | Pile #2 L = 13 D |
|---|---|---|---|---|
| a | 2.7 | 2.1 | 1.88 | 3.04 |
| b | 0.13 | 0.08 | 0.06 | 0.15 |
Publisher’s Note: MDPI stays neutral with regard to jurisdictional claims in published maps and institutional affiliations. |
© 2022 by the authors. Licensee MDPI, Basel, Switzerland. This article is an open access article distributed under the terms and conditions of the Creative Commons Attribution (CC BY) license (https://creativecommons.org/licenses/by/4.0/).
Share and Cite
Wang, Q.; Xiao, Z.; Zhao, X.; Feng, D. The Effects and Vertical Bearing Capacity of Two Jacked Model Piles in Sand. Sustainability 2022, 14, 14493. https://doi.org/10.3390/su142114493
Wang Q, Xiao Z, Zhao X, Feng D. The Effects and Vertical Bearing Capacity of Two Jacked Model Piles in Sand. Sustainability. 2022; 14(21):14493. https://doi.org/10.3390/su142114493
Chicago/Turabian StyleWang, Qingshan, Zhaoran Xiao, Xianqiang Zhao, and Dakuo Feng. 2022. "The Effects and Vertical Bearing Capacity of Two Jacked Model Piles in Sand" Sustainability 14, no. 21: 14493. https://doi.org/10.3390/su142114493
APA StyleWang, Q., Xiao, Z., Zhao, X., & Feng, D. (2022). The Effects and Vertical Bearing Capacity of Two Jacked Model Piles in Sand. Sustainability, 14(21), 14493. https://doi.org/10.3390/su142114493

