Abstract
Red soil is widely distributed in South America, Africa and Southeast Asia (approximately between the 30° S and 30° N latitudes). These soils are typically formed by the weathering of carbonate or other rocks rich in iron and aluminium oxides in hot-humid climates and susceptible to a large reduction in disintegration upon wetting or other conditions. This paper provides a state-of-the-art review on the red soil disintegration mechanism and intergranular suction with reference to red soil. The present paper reviews the research progress that has been made regarding the disintegration characteristics and testing methods of the intergranular suction of red soil, including (1) influencing factors of disintegration and the mechanism of action, (2) advantages and disadvantages of each intergranular suction testing method and (3) the intrinsic relationship between disintegration and intergranular suction. The study indicated that the research on the disintegration mechanism of red soil is still in the macro stage, involving the different moisture contents, temperatures and other directly influential conditions. Soil disintegration characteristics have not been extensively analysed from the micro perspective (including pore structure and distribution, fracture development degree and particle arrangements). When these problems are solved, disintegration studies of red soil will be advanced. Some limitations of the previous research are highlighted at the end of the paper, and suggestions are made for future research.
1. Introduction
Red soil, widely distributed in South America, Africa and Southeast Asia (approximately between the 30° S and 30° N latitudes), is formed by the weathering of carbonate or other rocks rich in iron and aluminium oxides in hot and humid climates (Figure 1) [1,2,3,4]. The concept of problem soils was first proposed by Wiseman et al. (1988) [5], and it received a rapid response from the international soil community. Problem soils have a wide horizontal distribution range and large longitudinal depth [6]. Such soils represent a relatively difficult research object in the soil mechanics domain, and the related research is thus a key field of geotechnical engineering [7,8]. At the 2004 International Conference on Progress in Geotechnical Engineering, Evans et al. indicated that red soil, as a type of problem soil, is prone to geological disasters [9]. Red soil is a highly sensitive problem soil in the Earth’s crust, owing to its hydrologic characteristics and chemical behaviour, and is known as problematic red soil [10]. In rain or a full water system, under the influence of physical and chemical solutions, the original water-soil composition and structure and micro-cracks in the problem soil are destroyed, and the variation in the physical and chemical fields changes the mechanical properties of the soil, which may result in critical disintegration and other types of deformation and failure [11,12]. These geological hazards are closely related to the intergranular suction, which, in turn, is related to the mechanical properties of unsaturated red soil, and may threaten building foundations and project construction. However, compared with loess, expansive soil and other special soils, the disintegration and failure mechanisms of problematic red soils and the mechanical properties of unsaturated soils have not attracted considerable research attention [13]. Moreover, an unsaturated red soil theory considering regional characteristics has not been formulated.
Figure 1.
Distribution of red soil in different continents [14].
The outcomes of this study provide good perspectives for understanding the relationship between disintegration characteristics and intergranular suction of red soil, but they also have some obvious limitations. The present paper reviews the research progress that has been made regarding the disintegration characteristics and testing methods of intergranular suction, including (1) influencing factors of disintegration and the mechanism of action, (2) advantages and disadvantages of each suction testing method and (3) the intrinsic relationship between disintegration and intergranular suction. Then, some limitations of the previous research are highlighted, and suggestions are made for future research.
2. Research on Disintegration Characteristics
2.1. Factors Influencing Red Soil Disintegration
The disintegration of rock and soil mass is a common phenomenon in nature, but it was first studied as a scientific topic in 1948. Cassell (1948) studied rock-soil disintegration characteristics and noted that the shear strength of rock-soil materials at the sliding surface was only 1/5–1/26 that of the main body, and this difference could be attributed to the disintegration characteristics of soft rock [15]. Moreover, the magnitude of the wetting-induced disintegration is influenced by the initial water content, dry unit weight, matric suction and vertical stress, among other factors [16,17,18,19,20,21,22]. Soft rock is similar to soil material. Therefore, studies on soft rock can provide certain scientific guidance to explore the disintegration characteristics of red soil.
2.1.1. Water
The importance of “water” in soil disintegration can be found in the definition of the concept of soil disintegration by many scholars. In fact, the study of water-soil interaction has never stopped in the development of soil mechanics and has always been a hot spot [23,24,25,26,27]. The influence of water on soil disintegration characteristics is mainly based on three aspects: the initial moisture content in undisturbed soil, the dry-wet cycle and the moisture content of remoulded soil.
Initial Moisture Content
Soil initial water content is an important factor affecting soil erosion [28]. The study of the initial water content in soil has important reference significance for soil prevention and control. Liu and Xiong (2002) found that the disintegration process of red sandstone was very significant in the field atmosphere [29]. With the change in temperature and the alternation of the dry-wet cycle, the disintegration of red sandstone could be fully fragmented and gradually formed a relatively stable gradation. The flooded disintegration of dried red sandstone was more significant than that of natural wet red sandstone. Overall, the disintegration of muddy red sandstone is more obvious than that of grainy clastic red sandstone.
Zheng (2005), Cai (2010), Xue and Li (2011), Kong and Chen (2012), Zeng (2012), Jian et al. (2017) and Li et al. (2020) found that the disintegration process of undisturbed granite residual soil could be divided into three stages: slow disintegration in the initial stage, rapid disintegration in the middle stage and slow disintegration in the later stage [7,30,31,32,33,34,35], and the disintegration process was roughly an inclined “S”-shaped curve, as shown in Figure 2. Under natural conditions, from top to bottom, the soil usually consists of an eluvial layer, a deposition layer, a transition layer and a parent layer. Soil disintegration is usually slow in the eluvial layer and the deposition layer under different initial water content conditions. Conversely, the disintegration occurs rapidly in the transition layer and parent layer. Meanwhile, the gradient of the initial water content has a great influence on the duration for the eluvial and deposition layers in completing disintegration [36]. Generally, the disintegration rate is controlled by the initial water content, the compaction degree and the saturation of red soil, and the initial water content can accelerate the disintegration obviously [33]. Li et al. (2018) and Zhou et al. (2019) indicated that the disintegration was relatively strong when the initial moisture content of soil was low, and the failure phenomenon was more significant [37,38]. The variation trend of the soil disintegration rate in the vertical section could be divided into four types: decreasing type, increasing type, convex peak type and concave valley type [39]. Under non-rainfall conditions, the occurrence of cracks on the slope surface is closely related to its initial water content. When the water content is lower than a certain value, the surface layer begins to produce cracks. With the decrease in water content, the number and width of fractures experience three stages (slow increase, sharp increase and stable development), and finally, this leads to disintegration and slope failure [40].
Figure 2.
Amount of disintegration under different initial soil moistures at BG1 and BG2 [36].
To sum up, for the influence of the initial moisture content of the undisturbed soil on disintegration, a relatively unified research result is that there are roughly three stages in the disintegration process: slow disintegration in the initial stage, rapid disintegration in the middle stage and slow disintegration in the later stage. The disintegration curve roughly presents a tilt “S”-shaped curve. If the initial water content is lower, the disintegration is stronger, the disintegration rate is faster and the destruction phenomenon is more significant.
Wet-Dry Cycle
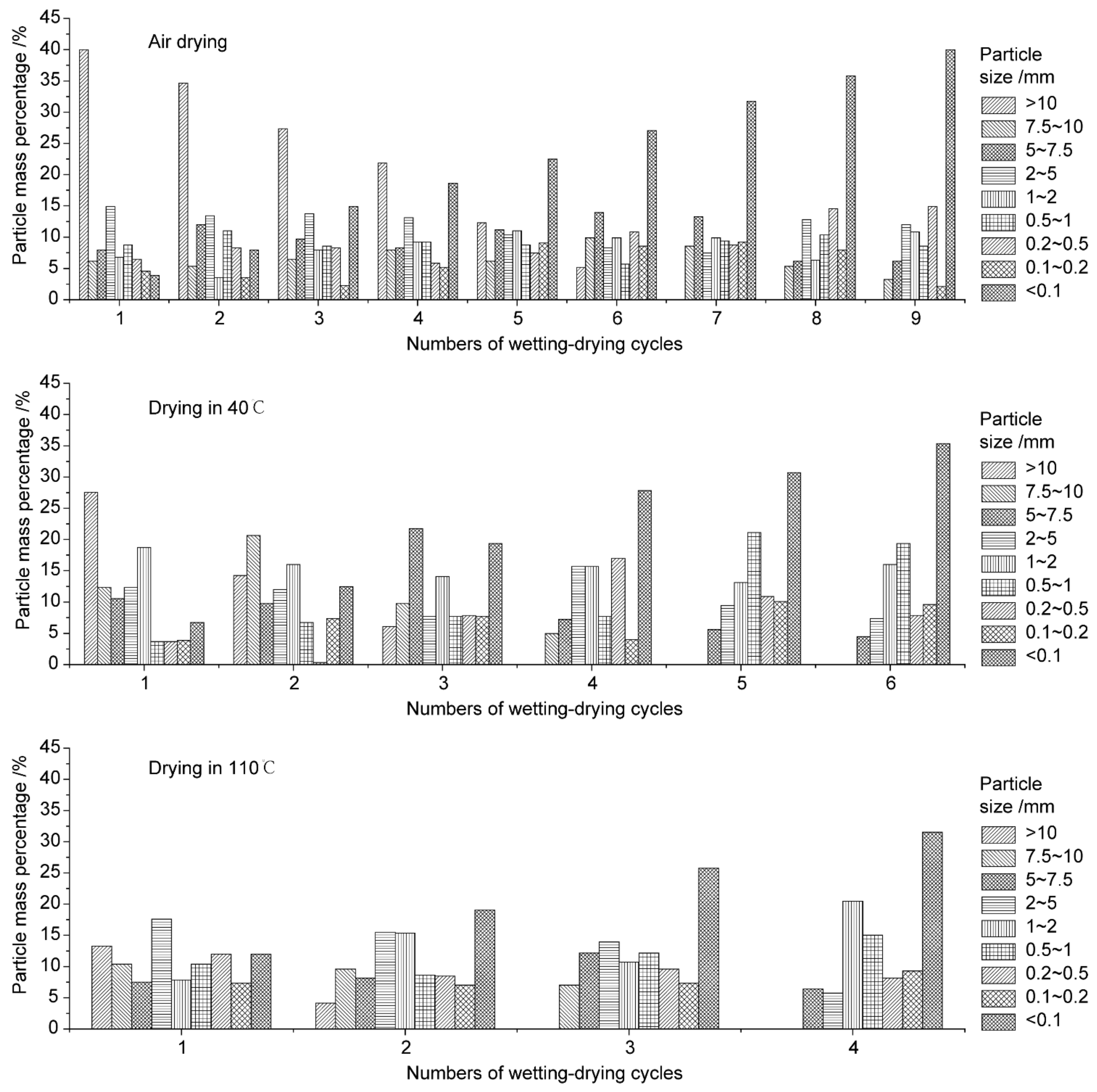
Due to the influence of seasonal conditions, rainfall, evaporation and changes in the groundwater level, soil is subjected to repeated dry-wet cycles, and the strength and deformation characteristics of soil are often irreversibly destroyed [41]. Tang et al. (2011) and Chen et al. (2011) found that dry samples that experienced dry-wetting cycles could accelerate soil disintegration, and the large number of cracks appearing in the process of dry-wetting cycles was the main reason for soil disintegration in basalt residual soil [42,43]. Zhao et al. (2017) considered more factors such as initial dry density and the number of humidification and dehumidification processes and concluded that clay samples with high initial dry density were more prone to crack than those with low initial dry density under dry-wetting cycle conditions [44]. The wet-dry cycle is the key factor leading to the uneven expansion of red soil in the humidification process. The effect of wet-dry alternation on the disintegration of denatured soil and dry red soil is mainly manifested in two aspects: increasing the maximum disintegration index (the ratio of the total weight of the disintegration soil to the initial weight of the soil) and increasing the disintegration rate (the disintegration amount per unit time) (shown in Figure 3). The effect of newly accumulated soil is mainly manifested in shortening the disintegration time [45]. Under a wet–dry cycle, the cohesion of red soil decays obviously in the early stage and then gradually flattens out in the later stage, and finally, it becomes stable. However, the internal friction angle of red soil does not show an obvious change under the wet-dry cycle, which also leads to the cyclic process of cracking, healing and re-cracking for the undisturbed slope [34]. With an increase in rainfall frequency, the cracks develop along the surface of the slope to its depth, and the width and depth of the cracks gradually increase [40]. For research on the characteristics of soil disintegration caused by the wet-dry cycle, the typical results mainly focus on the increase in the disintegration rate of red soil and the shortening of the disintegration process.
Figure 3.
Maximum disintegration index [45].
Moisture Content of Remoulded Soil
Red soil is a kind of special soil; when it touches water under the condition of disturbance, the physical and mechanical properties of the soil will still be quite different. Zheng (2005), Yan et al. (2009), Zeng (2012) and Huang et al. (2017) found that the disintegration rate of remoulded red soil with higher water content is faster than other soils [30,33,46,47]. The disintegration amount decreases with the increase in water content, and when the water content exceeds a certain value, the disintegration of red soil does not occur in a certain period of time [48]. The disintegration process of remoulded soil samples generally goes through two stages: rapid disintegration in the initial stage and slow disintegration in the later stage [30,31,32,33,34]. The disintegration curve is a parabolic curve. The variation of water content directly affects the cohesion, C, and the internal friction angle, φ, of red soil, and the cohesion is more sensitive than the internal friction angle. Water content is the key factor affecting the disintegration characteristics of red soil, and transient infiltration is the main factor in the initial stage of disintegration [49]. Due to characteristics of water absorption, a sample with low moisture content will present “negative disintegration”, which makes the average disintegration rate lower than the actual situation. The water absorption rate is positively correlated with water temperature and negatively correlated with soil moisture content. When the water content of the sample reaches a certain value, the influence of water absorption on the disintegration of red soil basically disappears [50]. The disintegration curve of red soil exhibits a notable two-stage property (Figure 4). In the initial disintegration stage, the curve presents an “S” characteristic, and the initial disintegration rate increases with the decrease in water content [35].
Figure 4.
Disintegration curves of granite residual soil [35].
The action mechanism of water is as follows: Due to water sensitivity, the red soil rapidly absorbs water and expands under the action of water, and it produces uneven stress inside and dissolves part of the cementation, leading to disintegration. The typical softening property of red soil when it meets water is the direct factor in the disintegration characteristics.
2.1.2. Temperature
Gamble (1971) suggested that rock disintegration was caused by water and temperature (with the humidity changes being the main control factors) and highlighted that rock disintegration can be triggered by changes in the rock water content along with other factors, such as physical-chemical reactions between clay minerals and water, the natural water content of weathering rock and grain cementation [51]. However, Yamaguchi et al. (1988) demonstrated that temperature changes did not notably influence rock disintegration in the absence of water migration [52].
In one study, when the temperature increased from 30 °C to 50 °C, amorphous iron gradually crystallised (aged) and formed a firm cemented connection. The reduction in the hydroxylated surface of amorphous iron slowed down the activity of the soil and led to soil disintegration [53]. Tang et al. (2011) indicated that the emergence of a large number of fractures caused by temperature changes was the main reason for the accelerated disintegration of basalt residual soil [42]. At a certain temperature, with an increase in the number of unsaturated-saturated cycles, the damage variable on saturated granite residual soil gradually increases at first and then becomes stable. Zhang and Kong (2016) believed that repeated dry-wet alternation caused by high temperatures and humid climates would destroy particle agglomeration and enhance the dispersion of soil [54]. In their study, the disintegration rate increased with the increase in the number of dry–wet cycles, and the disintegration was dominated by coarse particles and gradually changed to fine particles. The higher the temperature and the more dramatic the climate change, the more significant the effect (Figure 5). Guo (2017) found that the mineral activity of red soil was greater at a high temperature, and the disintegration phenomenon was more obvious [55]. The disintegration rate was the slowest when the temperature was 20 °C, and complete disintegration occurred quickly when the temperature was 60 °C. These research results are consistent with those of Tang (2005). Huang et al. (2017) indicated that under different temperature conditions, the damage variable increased after five cycles, which was similar to the change rule of cohesion [47]. However, Zeng et al. (2018) found that the disintegration of red clay increased with the increase in temperature, but the disintegration of red clay was not sensitive to temperature in the natural environment [48].
Figure 5.
Changes in the particle gradation of the disintegrating substance under different conditions [54].
The mechanism of action of temperature is as follows: the increase or decrease in temperature results in the inconsistent thermal expansion (or cold shrinkage) of mineral particle boundaries in soil due to the different clay mineral compositions. Tensile and compressive stresses are generated between or within mineral particles, resulting in microcracks in the soil. This phenomenon is more obvious when the temperature changes more dramatic. Because the discordant deformation between the mineral particles will be strengthened, so the microcracks in the soil will be more serious and more numerous. Meanwhile, the water on the surface of the soil evaporates faster, but the water inside the soil evaporates more slowly. The uneven distribution of water content forms a hydraulic gradient, resulting in a stress difference between inside and outside, thus forming cracks. The deterioration caused by temperature differences and water migration will enlarge the void between soils and reduce the biting force. Once the temperature is higher, the deterioration is more obvious.
2.1.3. Pore Air Pressure
Unsaturated soil, as a three-phase composite material widely existing on the surface of the Earth, has far more complex mechanical properties than saturated soil. The difference lies in the interaction of solid, liquid and gas in soil, which leads to suction in the soil pores [56].
Chugh and Missavage (1981) proposed three failure mechanisms of soil disintegration; the first one is tensile stress caused by gas compression in closed pores or fractures [57]. Yan et al. (2009) pointed out that larger external particles were first separated from the soil through water erosion when the sample was immersed in water [46]. Soil pore polarization leads to uneven distribution of potential matrix in soil. When water enters the small pores, it compresses the air gradually, which ultimately reduces the effective stress between the soil particles. Disintegration occurs when the intergranular suction is insufficient to resist the action of air pressure. This stage is the main process of soil disintegration, with the maximum disintegration amount and the highest disintegration rate. Under the action of a wet-dry cycle, the matrix suction increases during dehumidification, and the cementation decomposes and decreases, which causes residual soil failure [12]. Zeng et al. (2018), Xia et al. (2018), Zhang et al. (2018), Zhang and Liu (2018) and Li et al. (2020) indicated that water enters the pores or cracks in an unbalanced way after the soil submerges into the water, leading to the different thickening rates of the intergranular diffusion layer. The repulsion force between the grains exceeds the suction force in different places, resulting in stress concentration and soil disintegration [35,48,58,59,60]. Zhang and Tang (2013) studied the disintegration mechanism from a microscopic perspective and pointed out that the disintegration of unsaturated granite residual soil was essentially caused by the repulsion force generated by the pore gas [61]. In other words, the main factors for the disintegration of red soil were pore gas pressure and matric suction [62]. The average disintegration rate increases exponentially with the increase in effective porosity and is logarithmic with the increase in matric suction, as shown in Figure 6. The relationship between the disintegration rate and matric suction is
where v is the disintegration rate; m and n are constants; ψ is the matric suction; ξ is a constant approximately equal to 402.2 cm2; and wL is the liquid limit (%).
Figure 6.
Relationship between the disintegration velocity and effective void ratio [61].
The mechanism of suction: the water enters the pores or cracks unevenly after the soil is immersed in the water, resulting in the intergranular diffusion layer thickening at different rates. The repulsive forces exceed the suction in different places, resulting in stress concentration, and causing the soil to disintegrate along the surface where the repulsive forces exceed the maximum suction.
2.1.4. Mineral Composition
Due to the low cementation content, red soil often shows the unique characteristics of low structural strength, loose structure and high permeability [61,63,64,65,66,67]. The mechanical properties of red soil are very sensitive to changes in mineral composition because the cementation is easily affected by the hot and humid climate of South China. Chugh and Missavage (1981) proposed three destruction mechanisms of soil disintegration, of which the third is the weakening of cementation between mineral particles caused by dissolution and other processes [57]. Huang et al. (2000), Liu and Lu (2000), Tan (2001), Chen et al. (2015) and Zhou and Li (2017) demonstrated the positive effect of free iron oxide on disintegration by using a scanning electron microscope, a micropore tester and other testing equipment [67,68,69,70,71]. When the content of free iron oxide is eliminated, the mechanical properties, especially the disintegration properties, are similar to those of clay [72,73]. Li et al. (2013) tested the chemical composition of red soil and found that the soil was composed of clay, montmorillonite, illite, etc. [74]. The red soil was characterised by microfracture development, a low degree of cement, easy disintegration, etc., as shown in Figure 7. Chen et al. (2015) believed that there were water-soluble minerals and kaolinite minerals swelling with water in the granite residual soil, and the existence of these minerals resulted in macroscopic softening and disintegrating characteristics under the action of water [67]. In fact, the disintegration of red soil is not a regular process, which is directly related to the physical properties, especially the content of clay particles. These clay minerals are mainly composed of kaolinite and contain a lot of free iron oxide and aluminium. Gao (1985) found that the colour of red clay was mainly determined by the change of iron oxide content [75]. Free iron oxide is mainly adsorbed on the surface of clay particles in the form of colloids, and a small part is dispersed in the pore solution between particles. The free ferric oxide content and Al-Si ratio of various red soils have a great influence on their chemical composition differences. The free iron oxide in red clay is mainly derived from the weathering of primary iron-bearing minerals and mostly exists in the form of returning ferromagnetic materials. The specific forms are mainly hematite (α−Fe2O3), goethite (α−FeOOH or α−Fe2O3·H2O) and the amorphous form of iron. In addition, a small part exists in a ferromagnetic form, which is magnetite (Fe3O4) and magnetite (γ−Fe2O3) [76]. Zhang and Liu (2018) studied the mineral composition of red soil and found that the particle aggregates formed by clay minerals, such as montmorillonite and illite, made the red soil prone to swelling and dispersed sliding when exposed to water, but the cementing materials in the particle aggregates also improved the strength of the soil [60]. The structural strength of soil mainly comes from the strong bonding force of iron oxide and aluminium, as well as the residual or new chemical bonding force [77]. When the clay content decreases, the disintegration speed increases, which means the disintegration property of soil is enhanced [71,78]. That is to say, the mineral composition and structural characteristics of red soil are the internal causes of disintegration [79].
Figure 7.
Differentiation diagram for the expansion trend [74].
The action mechanism of the mineral components is as follows: The low cement content of red soil results in low structural strength, strong permeability and a loose structure. In a humid and hot climate, the free iron oxide and alumina are easily damaged and lost. When the soil is disturbed by external environmental factors, the strong cementing force generated by mineral composition and the residual chemical bond force are gradually lost, and finally, the red soil undergoes disintegration.
2.1.5. Microstructure Change
The soil structure refers to the properties and arrangements of soil particles and pores. Its mechanical properties include the ability of soil to maintain its original structural state without damage. When the structural state is damaged, the mechanical properties will change abruptly [80]. Wu (2006) introduced the disintegration rate index and divided the disintegration process into three stages based on the microstructural characteristics of red soil: the disturbance stage, the structural stage and the solubility stage. The second stage of structural disintegration means that soil disintegration occurs on a large scale, and it is the key stage in the whole process [81]. Meanwhile, the damage model of red soil is divided into two types: strain damage and non-strain damage, in which water softening and mechanical disturbance belong to the non-strain damage. The microstructure of granite residual soil is dominated by clots and flocs (Figure 8); micropores with a diameter of less than 1 μm account for more than 70% of the total pores [58,82]. The disintegration rate of red soil is also closely related to soil structure [71]. According to the research results of Zhang et al. (2014) and Xia et al. (2018), particle diameter has a great influence on the disintegration of red soil, and the disintegration rate and amount are proportional to the content of coarse grains [83].
Figure 8.
Differentiation diagram of the expansion trend [87].
According to suction theory, the intergranular suction of red soil is mainly composed of structural suction (including intrinsic structural suction and variable structural suction) and absorbed suction [84,85,86]. Red soil is mainly composed of a macroporous structure with coarse grains as a skeleton, and macropores and small pores coexist. When the water content of the sample is small, the variable structure suction and absorbed suction in the small pores are large, while the generalised suction in the large pores is small due to the weak contact between particles. When the water content increases gradually, the fine particles dissolve in the water gradually, and the absorbed suction and variable structure suction at the small pores decrease simultaneously (Figure 8). Dissolved small particles continue to precipitate in the macropores, leading to a strengthened particle bond in the macropores [87].
The action mechanism of microstructure is as follows: When the red soil is disturbed by external factors, the equilibrium system composed of cementing materials between soil particles, ions and water molecules is destroyed. The integrity of the original structure cannot be maintained, resulting in the disintegration of the red soil. This effect of microstructure on soil strength is generally reflected by sensitivity.
2.1.6. pH
Free iron oxides in red soil encase soil particles in an “envelope”, and the adjacent particles are connected in a “bridge” to form larger particle aggregates so that the red soil has a certain “pseudo silty” or “pseudo sandy” quality, which results in the strong sensitivity of red soil to changes in pH [88,89,90]. Tan (2001) pointed out that the chemical composition of water significantly affects soil disintegration, such as the arbitrary discharge of acid and alkali wastewater, which not only causes groundwater pollution but also accelerates soil disintegration [70]. The disintegration rate of an undisturbed soil sample under acid conditions is much higher than under normal conditions. Guo (2017) found that acid solution and natural rainwater could accelerate the disintegration of red soil, and the alkali solution had a certain inhibitory effect on the disintegration [55]. His views are somewhat different from those of Tan (2001), in that an alkaline environment could inhibit the disintegration of red soil. In an acidic environment with the same pH value, the disintegrating amount of red soil is proportional to the soaking time, as shown in Figure 9. When the soaking time is the same, the disintegration amount of granite residual soil increases with the decrease in pH value, and the disintegration amount is inversely proportional to the pH [73]. In an acidic environment, an acid solution corrodes several particles and the connections between the particles. The process can be roughly divided into the corrosion stage, the salt-forming stage and the dissolution stage [91]. After these three stages, the strength of red soil decreases obviously, resulting in soil disintegration. The interaction between alkali and red soil can be divided into four types: early hydrolysis, early erosion, middle cementation and late dissolution [92]. The strength varies according to the different processes experienced by the red soil, which may be the reason for the differences between the above research results.
Figure 9.
Disintegration curves of samples soaked in different pH solutions for 28 days [73].
The action mechanism of pH is as follows: The strength of granite residual soil is largely affected by the cementation between the soil particles, and the acid and alkaline will dissolve the sesquioxide, calcium, magnesium oxide and other cementing substances in the soil, which will affect the intergranular connection of the soil and destroy the original structure of the soil; the connection between the soil particles will weaken or even disappear. Meanwhile, some insoluble colloidal particles in the soil particles become soluble ions, which also reduce the intergranular bonding force and viscosity and eventually lead to disintegration.
2.1.7. Multifactor
Red soil is a kind of three-phase, porous, loose medium. There is not only the complex and changeable shrinkage film between the three phases but also the electrochemical and physical interaction between gas, solid and liquid. It is obviously not sufficient to study the disintegration characteristics of such a complex medium structure from a single influencing factor, so it is necessary to consider various influencing factors comprehensively.
Yan et al. (2009) found that water was gradually absorbed into the soil under the action of matric potential [46]. Due to the uneven polarization of the internal microstructure of the soil, a difference in suction pressure between the inside and outside was formed, and the soil suffered structural damage. In the case of unbalanced suction, water first enters the small pores of soil so that the air in the soil is not fully discharged, and the volume of air becomes compressed, leading to an increase in pore pressure. The gas pressure directly promotes the disintegration of soil particles, especially in the unsaturated state, which is more obvious. When the pore pressure is greater than the effective stress, the soil will disintegrate. Chen et al. (2015) indicated that particle size components determine soil porosity and permeability, and they play an important role in the complete disintegration time and disintegration rate of soil [67]. Red soil with fewer clay particles is more permeable, the time for the diffusion layer to reach the maximum thickness is very short and the particle bonding force disappears quickly, so it often disintegrates within a short time. However, soil with more clay particles has poor water permeability, and the duration of the hydration film thickening process is longer. Therefore, the particle bonding force is larger, and the disintegration speed is slower. Guo (2017) analysed the disintegration characteristics of red soil from the perspective of mineral composition and microstructure and found that the alumina and iron oxide in the red soil had a chemical reaction, and the cementing degree of the soil greatly decreased [55]. The expansion of kaolinite leads to an increase in pores, which provides favourable conditions for water to enter the soil, resulting in disintegration. From the perspectives of water, mineral composition, microstructure and suction, Wang et al. (2017) and Guo (2019) pointed out that the cohesion between particles is weak and the pore suction inside the soil is large when the soil sample is in an unsaturated state [93,94]. When soil samples are immersed in water, the water moves through the interconnected pores or internal cracks in the soil, and the gas compresses into the water or out of the soil. The cohesive force between the cementation and the particles decreases with the entry of water. Under the action of the cohesive force and the internal gas expansion force, the soil will spall in the form of powder and particles.
The action mechanism of the cross factors is as follows: Usually, red soil is in an unsaturated state, and the internal pores are relatively developed. Due to the influence of the matric potential, its water absorption capacity is strong. Under conditions such as rainfall (water), water gradually intrudes into the soil, dissolves some of the cementation between particles (mineral composition) and compresses the air in the pores to produce pore gas pressure (suction). Due to the effect of the expansive force generated by pore gas pressure and the expansive force generated by mineral composition, the size and order of soil particles (microstructure) change greatly [95]. When water enters unevenly into pores or fissures, the rate of thickening in the intergranular diffusion layer is not uniform, so the repulsive forces exceed the suction in different places between the grains, which causes the soil to disintegrate along the surface where the repulsive forces exceed the maximum suction. When the soil goes through the dry-wet cycle or the action of the acid solution, the soil disintegration phenomenon is more obvious. The factors affecting disintegration can be divided into external inducible factors and internal sensitive factors. The external inducible factors mainly include water, temperature, acid and basicity. The internal sensitive factors mainly include suction, mineral composition and microstructure. Under the combined action of internal and external factors, the soil mass disintegrates. From the perspective of mechanics, the soil is mainly affected by shrinkage film envelopment force, f1; expansive force, f2, generated by mineral composition; buoyancy force, f3; expansive force, f4, generated by gas pressure; cementation force, f5; and gravity force, f6, as shown in Figure 10. When F1 + F5 > F2 + F3 + F4 + F6, that is, the anti-disintegrating force is greater than the disintegrating force, the soil sample remains intact and does not disintegrate. When F1 + F5 < F2 + F3 + F4 + F6, that is, the anti-disintegrating force is less than the disintegrating force, the soil sample maintains integrity and disintegrates [95].
Figure 10.
Analysis of disintegration force of soil, illustration of force analysis. Disintegrating force: f1 is the component of the parcel force of the shrinkage film; f2 is the component of the swelling force due to mineral composition; f3 is the component of buoyancy; f4 is the component of the swelling force due to pore gas; f5 is the component of the cementing force; and f6 is the component of gravity. F1, F2, F3, F4, F5, and F6 are, respectively, the resultant forces of f1, f2, f3, f4, f5, and f6 [95].
2.2. Disintegration Testing Methods
2.2.1. Laboratory Test
Early studies on soil disintegration were mostly conducted on loess. Due to the collapsibility, loess tends to disintegrate in water, which destroys the integrity and stability of the soil mass. Therefore, Jiang et al. (1995), Wang et al. (2011) and Peng et al. (2017) analysed the influence of the pore characteristics on the soil disintegration of loess with different dry densities and water contents through a self-developed, unsaturated soil disintegrator (Figure 11) and established a relationship model between the disintegration rate and effective porosity [96,97,98]. Systematic research on loess disintegration was conducted early, and the research results are relatively mature. Most of the experimental devices used to examine soil disintegration properties are developed based on loess. Red soil has a unique composition and structural characteristics and is widely distributed worldwide, and it is the product of a specific climate, geography and geological environment. Moreover, the engineering geological properties of red soil are different from those of ordinary soils, and it is classified as a regional special soil. The study of red soil as a separate type of soil began in the 1990s, and the research on its disintegration began gradually in the early 21st century. Zhou et al. (2014), Zhao et al. (2017) and Zhou et al. (2019) soaked red soil in water to test the disintegration rate and divided the disintegration process of red soil into three stages: slow disintegration, rapid disintegration and slow disintegration [38,44,99]. Liu et al. (2019) used an analogous sand-bath method to investigate the effects of wet-dry cycles and acid rain on soil disintegration characteristics [100]. In general, disintegration testing is performed using inundation techniques (shown in Figure 11); that is, the water’s external inducement factor (which directly influences the pore air pressure, mineral composition and microstructures) is considered, although the temperature is also frequently mentioned.
Figure 11.
Disintegration testing instruments: Scheme (a) [34,35,42,73,96,101,102]; Scheme (b) [103]; Scheme (c) [77,82,104,105]; Scheme (d) [54,106]; Scheme (e) [107]; Scheme (f) [48]; Scheme (g) [38,101]; Scheme (h) [108]; Scheme (i) [109].
Since Jiang et al. (1995) proposed the buoy-type soil disintegration tester [96] (Figure 11a), many researchers have improved the disintegration test device to varying degrees in order to carry out more accurate quantitative research (Figure 11b–i). However, the low accuracy led to different research results and even some contradictory conclusions. The experimental study of the soil disintegration effect is still in the primitive stage of discussion. At present, the main quantitative research methods for red soil disintegration are the buoy method (Figure 11a,c,i) and the mass method (Figure 11b,d–h). For the buoy method, the volume of the displacement liquid decreases with the rise of the buoy, so it is difficult to obtain an accurate scale value of the water level in the test process. There are two main problems: first, the soil disintegration amount needs to be converted by the scale line reading; second, the inner cylinder will float up and down when there is a large of instantaneous disintegration. This makes the readings unstable and prone to errors. For the mass method, the process of placing the sample in water will disturb the water balance and affect the reading precision, which makes it difficult to obtain the initial value.
2.2.2. Numerical Method
The establishment and development of Euclidean geometry have laid the foundation of all science, and it has become a powerful tool for human exploring the nature [110]. The physical achievements based on Euclidean geometric space continuously promote the development of science, technology and productivity. Since the American mathematician Mandelbrot revealed the relationship between physics and fractal geometry in the early 1980s, fractal geometry has been widely used in the fields of physics, mechanics, biological science, chemistry, geological science, social science, human science and so on [111]. Compared with Euclidean geometry, the advantage of fractal geometry is that it is based on the fractal dimension space, which breaks through the existing mechanics and theories based on Euclidean space and adopts recursive algorithms to describe various shapes and phenomena in nature. The disintegration of remoulded red soil at each moment is a complicated and random phenomenon, which is difficult to describe in traditional Euclidean geometry. Du et al. (2013) used fractal geometric theory to analyse and study the mechanical properties of granular materials in a dumping site and recognised the changing rules of the mechanical properties of such materials from the perspective of a continuously changing fractal dimension [112]. It was pointed out that the inundation and disintegration of granular materials are chronological processes, and the fractal dimension of granular disintegration particle sizes tends toward a stable value gradually with the change in flooding time, which can be used to measure the degree of flooding and disintegration in granular soils. Based on the fractional Brownian motion model in the fractal theory, Li et al. (2015) established a fractal model of the disintegration rate of remoulded red soil samples and determined that the fractal dimension of the disintegration rate was between 1.44 and 1.66 [113]. The fractal dimension will increase with the increase in the moisture content of the samples, and the fractal dimension has a great correlation with the moisture content of the samples. Zhao et al. (2017) studied the crack formation and evolution of red soil using laboratory tests and MATLAB analysis methods, taking into account many factors such as initial dry density, times of humidification and the dehumidification processes [44]. It was pointed out that clay samples with high initial dry density are more prone to cracking than those with low initial dry density under the conditions of a dry-wet cycle. The dry-wet cycle is the key factor leading to the uneven expansion of red soil in the humidification process. Li et al. (2020) preliminarily established an 18-cell method to calculate the unsaturated effective stress under different saturations based on the Pore Algorithm (PM) [35] (Figure 12). Combined with the transient infiltration method, the initial disintegration process was approximately simulated, and the disintegration mechanism was analysed from the perspective of unsaturated effective stress.
Figure 12.
Soil disintegration model and calculation results [35].
A large number of laboratory tests show that the disintegration of red soil is not a completely regular process. It is not only related to the complex characteristics of red soil but also a result of the cross-influence of multiple factors and forces; it is full of uncertainty and contingency. Comparatively speaking, the current research on red soil disintegration is still biased to the laboratory test, and numerical research is relatively less.
3. Studies of Intergranular Suction Characteristics
3.1. Theoretical Studies
In 1936, the first international soil mechanics conference was organised, which provided an opportunity for unsaturated soil mechanics research. Terzaghi (1984) defined the difference between the total stress and pore water pressure as the effective stress for saturated soils [114]. In the 1950s, Bishop proposed several concepts of unsaturated soil properties based on the study of saturated soils [115]. Based on the principle of continuous energetics, Lytton and Kher (1969) revealed the three-phase essence of unsaturated soils and highlighted the direction for future research on unsaturated soils [116]. Furthermore, during the construction of urban and traffic projects in western countries in the 1930s, the phenomenon of water flow in the soil above the groundwater level was discovered, which was termed “capillarity”. Ostashev (1936) identified a number of factors affecting capillarity, the most important of which pertained to the pore water pressure and capillary force [117]. Hogentogler (1937) believed that capillarity affected the strength and deformation characteristics of unsaturated soil to a certain extent [118]. Richards and Coombs (1915) found that the presence of a hydrogas cross-section could lead to an increase in soil strength [119].
Before the 1960s, most researchers studied unsaturated soils based on the flow of capillary water. The results highlighted the direction for future research on unsaturated soils and directed the research attention to capillary suction, including pore water pressure and pore air pressure. To enhance the understanding of unsaturated soil mechanics, it is necessary to establish a theory different from saturated soil mechanics, including the stress theory and the constitutive theory of unsaturated soil.
Bishop (1960) proposed the effective stress formula of unsaturated soil, which has valuable guiding significance [115]:
where σ’ is the intergranular effective stress; σ is the total stress; ua is the pore air pressure; uw is the pore water pressure; ua−uw is the matric suction; and χ is a material property that depends on the saturation or matric suction.
In 1960, an academic conference on the pore pressure and suction of soil was held in London, which marked the first unsaturated soil research upsurge [120]. In the 1970s, Fredlund proposed the two-stress variable theory based on the summary and analysis of previous studies [121]. It was found that the structure and saturation of unsaturated soil were controlled by (σ − ua) and (ua − uw), respectively. Although the double stress variables for unsaturated soil have been comprehensively analysed, the matric suction pertaining to the strength and deformation of independent state variables involves certain differences because the matrix suction of unsaturated soil represents the water absorbance capacity, which primarily influences the flow of pore water. Matric suction was originally used in soil science and applied to soil mechanics to describe the corresponding influence on pore water movement. However, this aspect must also be considered from the viewpoint of deformation intensity. Because of the unsaturated property, the influence of the tension suction on the stress system in unsaturated soil should be considered.
The strength theories of unsaturated soil at this stage were mainly Bishop’s effective stress theory and Fredlund’s two-stress variable theory [122]. Both theories consider the suction factor in unsaturated soil; however, both theories are inadequate to a certain extent. The main reason is that water in unsaturated soil causes the formation of a flexural-level contraction film between the particles, resulting in the suction between the particles being greater than the matric suction. Both strength theories ignore the role of tension suction and only consider the role of matric suction. Matric suction has long played a key role in the study of unsaturated soils [123,124]. However, the interaction between the particles cannot be explained simply by matric suction under the action of the gas-liquid phase in unsaturated soil. Therefore, an increasing number of scholars have directed their research to the relationship between soil particles and proposed the concept of suction, which can reflect the real action of soil particles. Lian et al. (1993) attributed the interaction between particles to the liquid bridge between the particles and termed this force the liquid bridge stress [125,126]. Shen (1996) highlighted that all the factors that increase the sliding resistance between the grains correspond to the generalised suction principle and extended the generalised effective stress principle based on the effective stress principle of saturated soil [127]. Tang (2000) and Tang and Wang (2000) proposed the concept of suction between grains and indicated that the force along the line direction of the grain centre notably influenced the adjacent grains, corresponding to the absorbed suction and structural suction [85,128]. Under different soil saturation degrees, the suction between the grains is expected to be considerably different. This theory has been accepted by other scholars worldwide [129,130,131,132,133]. Lu (2004) proposed the concept of suction stress [129], according to which the surface tension is directly related to the strength of the unsaturated soil only in the direction of the soil particle connection, and the proposed suction stress is essentially the same as the one presented by Tang et al. (2000). Luan et al. (2006) proposed the concept of tension suction by using the thermodynamics theory in the study of unsaturated soil meniscus [134]. Based on the intergranular suction proposed by Tang (2000), Jiang and Li (2016) considered the cementing area between soil particles and deduced and established the distribution of the forces at each contact point of the microstructure of unsaturated soil materials [135].
The proposal of intergranular suction (or other suction concepts) is valuable in the study of unsaturated soil mechanics, mainly because the intergranular suction directly reflects the suction between the soil particles, which is fundamentally different from matric suction and more in line with the essence of the effective stress principle of soil mechanics. However, in recent years, the research on the intergranular suction of unsaturated soils has developed gradually, especially in terms of the quantitative and qualitative analysis of intergranular suction in natural unsaturated clays, which are mainly lump-shaped particles. Nevertheless, notable deficiencies remain, which hinder the further development of unsaturated soils to a certain extent [136,137,138].
3.2. Experimental Studies
The most notable mechanical difference between unsaturated and saturated soils is the presence of suction. Owing to suction, the properties of unsaturated soil are significantly different from those of saturated soil and notably influence the strength and deformation of unsaturated soil. Therefore, the suction measurement is the key to study the mechanical properties of unsaturated soil [139]. Suction is usually determined through direct and indirect testing methods [140]. The direct methods mainly include the use of hygrometers, tensiometers and pressure plate meters [141]. The indirect methods include the filter paper method, the heat conduction method, the resistivity sensing technology and the TDR method [142,143]. The indoor measurement techniques mainly employ hygrometers, pressure plate meters (films), tensiometers (negative pressure meters) or the filter paper method, while field tests mostly adopt heat conduction probes and tensiometers [144,145].
3.2.1. Direct Testing Methods
Hygrometer Method
The hygrometer method adopts a thermocouple-based humidity measurement to measure the relative humidity in the soil to obtain the total suction. A psychrometer commonly used in geotechnical engineering is the Peltier hygrometer (also known as the Spanner hygrometer) [146]. Based on the Seebeck effect (first thermoelectric effect) and Peltier effect (electromotive force generated by a unit temperature difference), and considering the connection between the humidity, temperature difference and voltage output, the voltage output value reflects the air humidity (Figure 13a). Campbell and Gardner (1971) tested three types of soils by using a thermocouple hygrometer and found that, when the water potential was lower than 2 MPa, significant differences existed in the temperature of well-graded soil and the volume density of the underlying clay [147]. Albrecht et al. (2003) indicated that a high polymer capacitive moisture meter could test more dry soils [148]. By testing nine types of soils, the authors suggested that the capacitance sensor could determine a wide range of relative humidity values with an accuracy of 3%. Moreover, the experiment indicated that the sensor exhibited no hysteresis and low sensitivity to temperature. Zhang (2016) tested the relationship between the moisture content and the matric suction of remoulded Malan loess by using a hygrometer [149]. Because the hygrometer method is not sensitive to the water storage characteristics of porous materials, it can be used to measure the high-value suction force accurately in a brief period [150]. However, the corresponding calibration and measurement equipment are highly complex and involve stringent environmental requirements, and, thus, this method cannot be applied to field measurement.
Figure 13.
(a) Thermocouple soil psychrometer [146]; (b) tension meter [179]; (c) operation principle of pressure plate apparatus [164]; (d) filter paper method [48,167,169,170,171]; (e) heat conduction sensing method [174,175,176]; (f) basic principles of the TDR system [177,178].
Tensiometer Method
Ridley and Burland (1993) of Imperial College London successfully developed a tensiometer that could measure a suction force of up to 1.8 MPa [151]. The water in the suction probe could withstand a tension of nearly 1.7 MPa without cavitation. To examine the mechanical characteristics of unsaturated soil, Becker and Meibner (2002) improved the triaxial experiment device by combining the tension measurement technology with the axial translation technology (ATM-tensiometer technique) [152]. The axial and radial loads were controlled using oil and water pressure systems, respectively. Consequently, the measurement range of the tensiometer was 85–285 kPa, and the device responded promptly to the change in the pore water pressure. Muraleetharan and Granger (1999) used chemical technology to enhance the tensiometer, and a comparison with the measurement results of the traditional Bourdon-type tensiometer indicated that the improved tensiometer reached equilibrium considerably faster than the ordinary tensiometer and was more sensitive to changes in the pore water pressure [153]. Marinho (2000) emphasised that chemical techniques could reduce the presence of small bubbles (usually hidden in the cracks of the vessel wall) and the pre-pressure required for the wetting device [154]; however, in this technique, the osmotic effect was required to be considered. Due to the osmotic effect, the tensiometer readings were unstable and gradually decreased. In 1997, Marinho and Pinto developed a high-capacity tensiometer that could measure a suction of 600 kPa and resolve the cavitation problem. Li et al. (2016) studied the effects of the surface tension coefficient and water-insoluble micropores in the soil moisture content under a specific matric suction and clarified the reasons for the differences in the measurement and control results of unsaturated soil matric suction under natural and axial translation conditions [155]. Overall, tensiometers are the most direct and commonly used instruments to measure the matric suction of unsaturated soil [156,157], as shown in Figure 13b. However, cavitation may occur when the tensiometer is used to measure high suction, and the measurement range is limited by the intake value. Consequently, the tensiometer can only measure and not control the suction, which is another disadvantage of this method.
Pressure Plate Method
In 1943, Richards preliminarily tested and analysed the soil water absorption capacity and water transport by using a pressure plate instrument [158]. Stevenson (1982) tested the residual moisture content in the soil of a sunflower field [159] (Figure 13c). Gong et al. (2006) conducted dehumidification and hygroscopic suction tests by using a volumetric pressure plate instrument and found that the instability of the soil water characteristic curve was related to the change path of the soil water content [160]. In the dry-wet cycle, the strength contribution was different under the same suction condition. Cresswell et al. (2008) measured the water retention characteristics of soil with matric suction at −0.5 and −1.5 MPa by using a pressure plate instrument [161]. Wang et al. (2009) and Wang et al. (2017) tested remoulded soils with different initial dry densities and performed comparative tests using the same pressure plate meter [162,163]. The authors reported that when the suction was high, the initial dry density of the samples did not notably influence the SWCC characterised by the gravity water content. Xu and Jian (2015) conducted SWCC curve tests on soils with different vertical stresses, soils subjected to different numbers of dry and wet cycles and different types of undisturbed soils by using a pressure plate meter [164]. Moreover, the authors compared and analysed the hysteretic loop area of the soil SWCC and variation rules of the inlet and outlet air values under two conditions, both considering and not considering the volume change. Wang and Yang (2018) used sandy soil as the test material to identify the soil water characteristic curve by using a tension meter, filter paper and a pressure plate apparatus and noted that the suction measured using the pressure plate meter (dehumidification) under the same water content was greater than that measured using the continuous and intermittent tensiometer methods [165]. The intermittent force measured using the tensiometer was nearly equivalent to that measured using the filter paper method. Under natural conditions, the results of the filter paper method and tensiometer are highly similar. Moreover, it is challenging to ensure that no bubbles are present in the hydraulic force measurement system when using the pressure plate instrument to test the suction. Due to the low permeability coefficient of the soil samples and ceramic plates with a high intake value, the equilibrium time is often larger. During this period, the pore air may pass through the ceramic plate with a high intake value and emerge under the ceramic plate in a bubble state, resulting in measuring a low matric suction. In addition, certain other problems are involved in the suction measurement through the pressure plate instrument, such as those pertaining to the standard of drainage stability, contact between the sample and pressure plate and the saturation of the drainage pipe.
3.2.2. Indirect Testing Method
Filter Paper Method
Al-Khafaf and Hanks (1974) measured soil water potential using the filter paper method and noted that the absolute temperature did not considerably influence the prediction of the soil water potential [166]. In contrast, the temperature changes considerably influenced the prediction of the soil water potential, and the authors provided suggestions for testing soil suction by using the filter paper method. Pincus et al. (1994) noted that the total suction rate-determination curve of filter paper was inconsistent with that of the matric suction rate-determination curve [167]. Bicalho et al. (2007) measured the matric suction of unsaturated and compacted sand soil by using the contact filter paper method, and a comparison with the data measured using other methods indicated that the test results of this method were reasonably accurate [168]. Hao (2014) calibrated the relationship between the moisture content and total suction of domestic double-circle ashless filter paper and indicated that the filter paper method exhibited a wide range and high accuracy in measuring the matrix suction, although the test results depended considerably on the operator [169]. Sun et al. (2011) invented an experimental device to measure suction by using the filter paper method, and this device was also used to perform the suction–water content relation curve test for the saturated salt solution ratio determination [170]. Bai et al. (2011) compared the total suction and matric suction rate-setting curves of double-loop filter paper No. 203 and Whatman’s No. 42 filter paper, respectively, and indicated that the matric suction rate-setting curves of the two types of filter paper were basically identical [171,172]. Moreover, the rotational point moisture content of the total suction rate-setting curve of double-loop filter paper No. 203 was higher. The principle of the filter paper method is illustrated in Figure 13d.
The filter paper method can obtain soil suction without disturbing the initial state of the soil [172]. This method has the advantages of simple operation, high adaptability, low price, large range, high precision and the ability to conduct multiple experiments simultaneously. This approach is widely used in the laboratory. However, the filter paper method is difficult to automate and is implemented manually at present, especially in the data acquisition stage, which requires great expertise. The results are considerably dependent on the operators and laboratory conditions, and the accuracy cannot be easily ensured. Moreover, the balance time for the filter paper method is relatively large. For dry and wet filter papers, the time required is 7–10 d and 21–25 d, respectively. The water storage characteristics of the filter paper may affect the high suction range.
Heat Conduction Sensing Method
The heat conduction sensor is mainly composed of a micro heater and a porous ceramic head. The thermal conductivity of porous ceramic is a single-value function of the water content. The matric suction can be obtained indirectly by measuring the thermal diffusion of porous ceramics. Fan and Ke (1995) indicated that, in their study, when the soil layer exhibited intercrystalline suction and overburden pressure and was supplied with sufficient water, the heat conduction suction probe could not measure the soil layer suction [173]. Wang et al. (2002) indicated that the advantages of the heat conduction probe were low cost and reliable accuracy compared with the traditional pressure plate method [174]. Yao et al. (2011) conducted an immersion test by embedding a heat conduction suction probe in a thick collapsible loess site in the Lanzhou area and examined the different variation rules of the volume moisture content at different depths in the soil [175] (Figure 13e). Shi et al. (2014) used a heat conduction sensor to monitor the matric suction at the top and bottom of the expansive slope model under the action of dry and wet cycles. The variation of matric suction of expansive soil slope with depth and time was tested in laboratory [176]. Nevertheless, certain problems remain in the measurement of suction through the heat conduction method. The main problem is that thermal diffusion generates a temperature gradient along the radial direction of the probe, which is prone to cracking after long-term use. Moreover, the permeability coefficient of the soil decreases with a decrease in the water content, and the balance time of the sensor is large when measuring high suction; thus, this sensor cannot perform real-time and continuous measurements.
Time Domain Reflectometry Method/TDR
Time domain reflectometry techniques involve a ceramic sensor and a short probe rod. The approach uses standing wave technology to measure soil permittivity. When Topp et al. (1980) first used the TDR method [177], they stated that the method was not affected by physical factors such as soil texture, bulk density and temperature. Later studies showed that this conclusion was correct when the measurement accuracy was low, and the principle is shown in Figure 13f. For mineral soil, when the error requirement is 0.05 cm−1, the unified calibration curve can generally be used to determine the water content relationship between various soils. However, when the error is small, the relationship is influenced by physical factors such as texture, bulk density and temperature. Zhou et al. (2003) used the Polish ET-FOM/MTS TDR moisture tester to measure the moisture content of the soil under different temperatures and capacity conditions [178]. However, permittivity is not only affected by the moisture content of the soil but also by the specific gravity, humidity, salt content and mineral composition of the soil, among which the particle size and bulk density of the soil most notably influence the calibration curve. The TDR method is more commonly used to test the soil moisture content. To test the suction of unsaturated soil, TDR needs to be combined with other testing methods.
3.2.3. Cross-Technical Test Method
As both the direct and indirect methods have their own advantages and disadvantages, both methods are often used in a suction test. Xu et al. (2000) compared and discussed the advantages and disadvantages of hygrometers, tensiometers [140], pressure plate meters, the heat conduction sensor method and the application of various methods in engineering and indicated that the measurement range of the indirect method is wider than that of the direct method according to the existing theories and technologies. Wang et al. (2001) used tensiometers, heat conduction probes and the filter paper method to perform onsite matric suction measurement for 3 months and suggested that the heat conduction probe exhibited the advantage of rapid response [25]. Nevertheless, the accuracy was considerably reduced when the conditions were inconsistent. Tang et al. (2003) conducted shear tests on unsaturated, undisturbed and remoulded soils by using a direct shear apparatus and analysed the structural suction (variable and intrinsic structural suction) and wet suction in unsaturated soil [180]. Lu et al. (2007) studied the internal relationship between tensile strength and absorption stress by performing tensile tests and established the relationship between absorption stress and macroscopic physical index (saturation) based on the principles of internal energy conservation and the mechanical balance of the soil [181]. Li et al. (2007) comprehensively studied the relationship between the water content and suction in soil by combining the pressure plate meter, salt solution, temperature meter, dew-point potentiometer, TDR and other methods [182]. Bulut and Leong (2008) indicated that the main suction testing methods for practitioners include thermocouple hygrometers, transistor hygrometers and cold mirror hygrometers [183]. These technologies have been widely used in engineering and laboratory research; however, each technology involves inherent limitations. Jiang and Shen (1997) and Jiang et al. (2009) studied the mechanical properties of cemented particles by performing tensile, shear and torsion tests [184,185]. The cementing force is closely related to structural suction in unsaturated soil. Nam et al. (2010) considered embankment soils in Southern California as the research object and used six different methods to obtain soil and water characteristic curves [186]. When the undisturbed soil is saturated, the wet suction and variable structural suction disappear, and the intrinsic structural suction can be considered constant. When the moisture content and pore ratio are constant, and unsaturated undisturbed soil is completely disturbed, the change in the wet suction is small, while the structural suction is basically lost [187]. Sun et al. (2013) used the pressure plate method, the filter paper method and the steam balance method to conduct soil-water characteristic testing on Nanyang expansive soil and obtained a soil-water characteristic curve within a full suction range [188]. Liu (2017) established a joint monitoring system for soil response, including a micro-TDR, a tensiometer and a bending element, and realised the joint monitoring of multiple physical quantities, such as the moisture content, suction and the shear wave velocity of unsaturated soil under supergravity [189]. Zhang et al. (2019) focused on the ruins of Jiaohe soil and used five kinds of suction measurement methods (the salt solution method of steam balance, a water dew point meter, the filter paper method, the pressure meter method and the high-capacity tensiometer method) to test the total soil suction and matric suction in the drying process, and they analysed the suction difference by using different methods [190]. Using the van Genuchten (vG) and Fredlund-Xing (FX) models, the soil water characteristic curves were fitted. With the cross-use of indirect and direct measurement techniques, a more complete soil–water characteristic curve can be obtained, and the suction results are relatively more accurate.
4. Research on the Relationship between Disintegration Characteristics and Intergranular Suction
Intergranular suction, which includes matric suction, absorbed suction, structure suction, suction stress and liquid bridge force, plays a key role in unsaturated soil. These suction types are caused by a dynamic change in the gas, liquid and solid phases. Furthermore, the disintegration of residual soil pertains to a dynamic change in the gas, liquid and solid phases under the action of water immersion or dry-wet cycles. Therefore, to extensively study the disintegration failure of residual soil, the analysis should be conducted from the perspective of suction.
According to the failure mechanism of soil disintegration proposed by Chugh and Missavage (1981), (1) the compression of gas in the closed pores or cracks leads to the generation of tensile stress. Essentially, the failure is caused by matric suction and absorbed suction reducing to zero. (2) Tensile stress or shear stress due to different expansion is a key factor. This aspect corresponds to a decrease in the structure suction. (3) The weakening of the cementation between the mineral particles due to dissolution is also a key factor [191]. This process reduces the cementation force. When a sample is immersed in water, the larger particles outside detach from the soil mass due to water erosion. Due to the polarization of the soil pores, the soil matric potential is unbalanced. First, the water enters the small pores, the air between the pores is compressed and the effective stress between the soil particles decreases. Because the intergranular suction cannot withstand the air pressure, disintegration occurs. This phase is the main process of disintegration, corresponding to the maximum disintegration amount in the soil and the highest disintegration rate [46]. Zhang and Tang (2013) indicated that the disintegration of unsaturated granite residual soil is essentially caused by the repulsive force generated by the gas cavity exceeding the suction force between the particles from the micro perspective [61]. In other words, the main factors controlling the disintegration property of unsaturated soil are pore pressure and matric suction. The average disintegration rate increases exponentially and logarithmically with the increase in the effective porosity and matric suction, respectively. A unique relationship exists between the void ratio, matric suction and net mean stress. A unique aspect of the void ratio is observed when disintegration occurs (decrease in the void ratio) due to a reduction in the applied matric suction at a constant net mean stress. This decrease (disintegration) in the void ratio can be attributed to the loss of additional rigidity provided by suction to the soil structure as the suction is suddenly reduced [192]. Due to the evaporation of water, the water film thickness between the soil particles declines; consequently, the cementation between the soil particles decreases and the cracking increases. Under this condition, the pores in the soil are mostly occupied by air, and the internal pore suction is considerably larger than that of soil that contains water (in the natural condition). When these dry soils are immersed in water, a portion of the soil pores’ air is entrapped and compressed by the infiltrating water; subsequently, the entrapped air increases the pressure and slaking forces [58]. The repulsive force produced by compressed air in the soil exceeds the suction between the soil particles. The resulting rapid release of energy and unequal pressures cause considerable soil disintegration. For different soil layers, the number of coarse particles in the sandy soil layer and detritus layer is higher than in the surface layer and the red soil layer. In the sandy soil layer and detritus layer, the cohesive force between the soil particles reduces due to the low cementation agents (such as free Fe, Al oxides and clay), which causes the sandy soil layer and detritus layer to exhibit an unstable soil structure. When the soil of the sandy soil layer and detritus layer comes into contact with water or rainfall, the hydrated films surrounding the soil particles, namely, the diffusion layer, weaken the suction among the soil particles, and the soil disintegrates [58]. Conversely, the surface layer and red soil layer involve a large number of cementation agents (especially free Fe and Al oxides, SOM and clay content), and thus, these layers are more stable than the sandy soil and detritus layers (that is, the surface layer and red soil layer do not easily disintegrate). In the transient infiltration stage, the gas inside the sample cannot be discharged in time. The pore pressure inside the sample increases rapidly and stabilises within a certain range. The comprehensive force between the unsaturated particles rapidly attenuates to zero, and a lower initial saturation corresponds to a higher attenuation rate. If the initial saturation is sufficiently low, the comprehensive force between the unsaturated grains of the sample becomes negative at the moment of infiltration; that is, tensile stress occurs inside the soil. If the tensile stress is greater than the strength between the soil particles, the microstructure of the soil is easily destroyed, corresponding to the initial disintegration failure in the test [35]. A higher matric suction corresponds to water more rapidly penetrating the soil. The rapid water infiltration can help increase the internal pore water pressure of the soil and dissolve the cementation between the loess particles to soften the soil. Water rapidly occupies the internal pores of the soil, and thus, the air inside the soil is extruded in the form of bubbles to form external pressure [97]. By testing intergranular suction, including absorbed and structure suctions, Sun et al. (2020) noted that the absorbed suction first increases and later decreases; nevertheless, a ripple crest occurs with the increase in the moisture content [56,95]. The variable structure suction increases with an increase in moisture content; however, the intrinsic structure suction remains constant. Moreover, the changes in the intergranular suction are similar to those of the absorbed suction. As the grain size increases, the stresses, including the absorbed suction, variable structure suction, intrinsic structure suction and intergranular suction relatively decrease. Moreover, the intrinsic structure suction is greater than the absorbed suction and variable structure suction, which indicates that the intrinsic structure suction notably influences the intergranular suction of granite residual soil. With low moisture content, the variable structure suction is greater than the absorbed suction, and the opposite trend occurs in the case of high moisture content. However, the tensile strength of unsaturated soil is mainly equal to the intergranular suction. In other words, the tensile strength (disintegration) of the unsaturated soil is derived from the absorbed suction and structure suction. The main suctions or forces are illustrated in Figure 14. Although the intergranular suction and disintegration of red soil are inextricably linked, only a few researchers have analysed the two parts together because conducting suction testing during disintegration is extremely challenging [56].
Figure 14.
Classification of forces in soil during disintegration [56].
5. Problems in the Existing Research
The disintegrating mechanism has received much concern from various soil researchers over the past three decades, all over the world. The discourse on disintegrating behaviour and the intergranular suction of red soil in the literature are summarised in this paper. However, there are some problems with the research on disintegration and intergranular suction that have seriously hindered the development of soil mechanics. The main problems are as follows:
- Compared with the systematic disintegration test standards of soft rock, such as clay rock and shale, no uniform standard exists for testing the disintegration of red soil, especially quantitative testing. Although many scholars have designed different testing devices, the accuracy is unsatisfactory.
- Red soil is the product of the parent rock in long-term leaching and weathering, and the climate environment is a key factor affecting its geotechnical nature and water stability. The disintegration characteristics of fresh undisturbed soil and soil with different degrees of weathering are notably different. The existing studies only rarely consider the influence of climate factors on soil disintegration, and the conclusions obtained are slightly different from the actual situation.
- The disintegration of the red soil is controlled by the parent rock types, material composition, structural characteristics and other factors, and the corresponding mechanism is highly complex. Although scholars have examined this aspect from various perspectives, such as by using the unsaturated soil theory, the influence of material composition and fractal theory, a unified understanding has not been achieved. Therefore, the evaluation methods and analysis techniques for the mechanism of red soil disintegration must be further examined.
- The research on the disintegration mechanism of red soil is still in the macro stage, involving the consideration of the different disturbance states, moisture contents, soil compaction degrees, water temperature and other conditions directly influencing disintegration characteristics. Soil disintegration characteristics have not been extensively analysed from the micro perspective (including pore structure and distribution, fracture development degree and particle arrangements).
- The analysis of the intergranular suction of unsaturated soils is conducted considering sandy soil with sand particles that are considered spherical. The most notable difference between clay and sandy and silty soils is that the shape of the particles in the former type is mostly lamellar, and, thus, the assumption of sphericity is not applicable. Moreover, the existing intergranular suction constitutive model is not suitable for red soil structures. Thus, it is necessary to study the microstructure of red soil to clarify the essence of intergranular suction.
- The current research has not fully focused on that the essence of soil disintegration is the gradual loss of the internal intergranular suction, including absorbed suction and structural suction.
- The key objective of the quantitative microscopic study of intergranular suction and disintegration is to establish constitutive equations consistent with the macroscopic mechanical mechanisms and enhance the mechanics of unsaturated soil based on microscopic morphology. Therefore, it is necessary to comprehensively examine the macroscopic physical and mechanical properties of unsaturated soil to study intergranular suction from a microscopic viewpoint.
6. Summary and Conclusions
The disintegration properties of red soil vary dramatically with the saturation/water content, which can be fully interpreted from the dynamic structure evolution of the liquid bridge, distribution characteristics of suction chains and the correlation between these aspects. The following conclusions can be derived from the information considered in this work:
- The key to testing intergranular suction (including matric suction and other suction types) is to describe the contact type of the particles and identify the geometric characteristics of the bending surface between the particles. At present, the microwork is mostly based on dry soil, and the calculation of intergranular suction between particles after the reconstruction of the microstructure is not in agreement with the nature of unsaturated soil. Future research directions pertain to the direct scanning and reconstruction of undisturbed and unsaturated soil and the measurement of intergranular suction. Microscopic tomography technology can be used to reconstruct the three-dimensional microstructure of wet soil, and this aspect can promote the development of microscopic scanning technology.
- The liquid bridge in unsaturated soil must attain an equilibrium state under the action of the gas and liquid phases; however, the dynamic process of the liquid bridge in unsaturated soil reaching the equilibrium state is not clear. A relatively ideal quantitative and qualitative description method for the change in the liquid bridge must be established in future work.
- The mechanical properties of disintegration must be determined considering the dynamic structure evolution of the liquid bridge between red soil particles and the distribution characteristics of suction force chains.
- Researchers must focus on the stress transfer (redistribution) law and tension–shear coupling failure law of unsaturated red soil in the process of disintegration, perform theoretical research on the progressive failure of unsaturated soil and establish an evaluation method for soil disintegration.
- Both intergranular suction and disintegration are caused by dynamic changes in the gas, liquid and solid phases. Therefore, to examine the failure mechanism of residual soil, analyses must be conducted from the perspective of intergranular suction.
Author Contributions
Conceptualization, Y.S. and L.T.; methodology, Y.S.; software, Y.S.; validation, L.T. and J.X.; formal analysis, Y.S.; investigation, L.T.; resources, L.T.; data curation, Y.S. and L.T.; writing—original draft preparation, Y.S.; writing—review and editing, Y.S.; visualization, Y.S.; supervision, L.T.; project administration, Y.S.; funding acquisition, L.T. All authors have read and agreed to the published version of the manuscript.
Funding
This research was supported by the National Natural Science Foundation of China (41877228, 41877229, 42102303 and 42277142), the Guangdong Basic and Applied Basic Research Foundation (2018B030311066 and 2019A1515010554) and Science and Technology of Guangzhou City, China (201904010136).
Informed Consent Statement
Informed consent was obtained from all subjects involved in the study.
Data Availability Statement
The data used to support the findings of this study are included within the article.
Conflicts of Interest
The authors declare no conflict of interest.
References
- Cabrera, J.G.; Malomo, S. Strength characteristics of a tropical Red Soil from Northeast Brazil. J. Min. Geol. 1980, 17, 197–208. [Google Scholar]
- Cao, Z.; Zhu, X. Aspects of red soil properties and water management in China. Int. Agrophys. 1999, 13, 241–246. [Google Scholar]
- Pankhurst, C.E.; Pierret, A.; Hawke, B.G.; Kirby, J.M. Microbiological and chemical properties of soil associated with macropores at different depths in a red-duplex soil in NSW Australia. Plant Soil 2002, 238, 11–20. [Google Scholar] [CrossRef]
- Trapnell, C.G.; Webster, R.; Hesse, P.R. Microaggregates in red earths and related soils in East and Central Africa, their classification and occurrence. Eur. J. Soil Sci. 2010, 37, 109–123. [Google Scholar] [CrossRef]
- Wiseman, G.; Zeitlen, J.G.; Komornik, A. Investigation methods used in Israe1 for problematic soils. In Proceedings of the International Conference on Engineering Problems, Beijing, China, 11–15 August 1988; pp. 723–728. [Google Scholar]
- Ali, M.M. Identifying and Analyzing Problematic Soils. Geotech. Geol. Eng. 2011, 29, 343–350. [Google Scholar] [CrossRef]
- Kong, L.W.; Chen, Z.H. Advancement in the techniques for special soils and slopes. China Civ. Eng. J. 2012, 45, 141–159. [Google Scholar]
- Chen, Z.H.; Guo, N. New developments of mechanics and application for unsaturated soils and special soils. Rock Soil Mech. 2019, 40, 1–54. [Google Scholar]
- Evans, R.D.; Jefferson, I.; Northmore, K.J.; Jackson, P. In-situ investigation of problematical soils. In Proceedings of the Advances in Geotechnical Engineering: The Skempton Conference, London, UK, 29–31 March 2004; pp. 1269–1279. [Google Scholar]
- Zhu, X.M. Red clay and red residuum in South China. Quat. Sci. 1993, 1, 75–84. [Google Scholar]
- Kong, L.W.; Sayem, H.M.; Tian, H.H. Influence of drying-wetting cycles on soil-water characteristic curve of undisturbed granite residual soils and microstructure mechanism by nuclear magnetic resonance (NMR) spin-spin relaxation time (T2) relaxometry. Can. Geotech. J. 2018, 55, 208–216. [Google Scholar] [CrossRef]
- An, R.; Kong, L.W.; Li, C.S.; Luo, X.Q. Strength attenuation and microstructure damage of granite residual soils under hot and rainy weather. Chin. J. Rock Mech. Eng. 2020, 39, 1902–1911. [Google Scholar]
- Chen, Z.H. On basic theories of unsaturated soils and special soils. Chin. J. Geotech. Eng. 2014, 36, 201–271. [Google Scholar]
- Soil Survey, S. Keys to Soil Taxonomy, 11th ed.; USDA: Washington, DC, USA, 2010. [Google Scholar]
- Cassell, F.L. Slips in fissured clay. In Proceedings of the Second International Conference on Soil Mechanics and Foundation Engineering, Rotterdam, The Netherlands, 21–30 June 1948. [Google Scholar]
- Dudley, J.H. Review of collapsing soils. J. Soil Mech. Found. Eng. 1970, 96, 925–947. [Google Scholar] [CrossRef]
- Foss, I. Red soil from Kenya as a foundation material. Proceedings of 8th International Conference on Soil Mechanics and Foundation Engineering, Moscow, Russia, 15–19 August 1973. [Google Scholar]
- Yudhbir, Y. Collapsing behaviour of collapsing soils. Proceeding of the 7th Southeast Asia Geotechnical Conference, Hong Kong, China, 22–26 November 1982. [Google Scholar]
- Popescu, M.E. A comparison between the behaviour of swelling and of collapsing soils. Eng. Geol. 1986, 23, 145–163. [Google Scholar] [CrossRef]
- Lawton, E.C.; Fragaszy, R.J.; Hardcastle, J.H. Collapse of compacted clayey sand. J. Geotech. Eng. 1989, 115, 1252–1267. [Google Scholar] [CrossRef]
- Tadepalli, R.; Fredlund, D.G. The collapse behaviour of a compacted soil during inundation. Can. Geotech. J. 1991, 28, 477–488. [Google Scholar] [CrossRef]
- Lawton, E.C.; Fragaszy, R.J.; Hetherington, M.D. Review of wetting induced collapse in compacted soils. J. Geotech. Eng. 1992, 118, 1376–1394. [Google Scholar] [CrossRef]
- Wang, M. The interaction between water and clay particles in saturated clayey soils. Hydrogeol. Eng. Geol. 1987, 3, 5–16. [Google Scholar]
- Wang, Y.; Wang, Y. Effects of soil-water interaction on the flow in soil fissure. Chin. J. Rock Mech. Eng. 1999, 18, 554–557. [Google Scholar]
- Wang, Z.; Gong, B.W.; Bao, C.G. Measurement of matrix suction of expansive soil slope in Northern Hubei. Chin. J. Geotech. Eng. 2001, 25, 304–307. [Google Scholar]
- Liao, Y.L. Interaction between three phases of cohesive soil and its effects on related indexes. Geotech. Investig. Surv. 2001, 6–8. [Google Scholar]
- Zhang, X.G.; Wu, H.; Fang, C. Analysis of X-Ray Diffraction on Variation of Soil Ministructure and Interaction Between Groundwater and Soil. J. Guilin Univ. Technol. 2005, 25, 37–40. [Google Scholar]
- Hu, G.F.; Wang, J.; Cai, X.F. Advances in the Effects of Initial Water Content on Soil Erosion. Guizhou Agric. Sci. 2013, 41, 100–103. [Google Scholar]
- Liu, D.W.; Xiong, C.R. Experimental Study on Properties of Red Sandstone for Road Applications. Cent. South Highw. Eng. 2002, 22, 19–22. [Google Scholar]
- Zheng, M.Z. Disintegration Behavior of Residual Soil and Nonlinear Time Series Analysis for Its Slope Displacement. Master’s Thesis, Fuzhou University, Fuzhou, China, 2005. [Google Scholar]
- Cai, X.L. Study on disintegration characteristics of granite residual soil. Water Conserv. Sci. Technol. Econ. 2010, 16, 882–883. [Google Scholar]
- Xue, L.; Li, X.H. Study on Disintegrating Property of Granodiorite Residual Soil and Completely Strong Weathered Rock. Subgrade Engineering 2011, 144–147. [Google Scholar]
- Zeng, P. A Study Compaction Characteristics and Disintegration Behavior of Granite Residual Soil. Master’s Thesis, South China University of Technology, Guangzhou, China, 2012. [Google Scholar]
- Jian, W.B.; Hu, H.R.; Luo, Y.H.; Tang, W.Y. Experimental study on deterioration of granitic residual soil strength in wetting-drying cycles. J. Eng. Geol. 2017, 25, 592–597. [Google Scholar]
- Li, C.S.; An, R.; Shu, R.J.; Kong, L.W. Initial-disintegration analysis of granite residual soil and approximate simulation of mathematical morphology. Chin. J. Rock Mech. Eng. 2020, 39, 201–210. [Google Scholar]
- Liu, D.L.; Zhao, Y.; Ding, S.W.; Deng, Y.S.; Wang, Q.X.; Lv, G.A. Correlation between initial soil moisture content and the characteristics of collapsing gullies in granite regions. Sci. Soil Water Conserv. 2016, 14, 17–22. [Google Scholar]
- Li, Z.; Liu, Y.W.; Zhao, J.F. In-door Experiment of Granite Weathered Residual Soil Disintegration at Sea-cliff. Water Power 2018, 44, 107–110. [Google Scholar]
- Zhou, C.Y.; Jing, X.D.; Liu, Z. Disintegration characteristics and modification of weathered soil in red beds in Southern China. J. Eng. Geol. 2019, 27, 1253–1261. [Google Scholar]
- Wang, Y.F.; Niu, J. Soil Disintegration Rate in the Upper and Middle Reaches of the Yangtze River. J. Yangtze River Entific Res. Inst. 2015, 32, 40–43. [Google Scholar]
- Zhu, Z.Y.; He, G.C.; Li, F.X.; Wang, Z. Experimental Investigation on the Failure Mechanism of Red Soil Slope under Cyclic Wetting and Drying. J. Yangtze River Sci. Res. Inst. 2018, 35, 73–77. [Google Scholar]
- Zhang, F.Z.; Chen, X.P. Influence of repeated drying and wetting cycles on mechanical behaviors of unsaturated soil. Chin. J. Geotech. Eng. 2010, 32, 41–46. [Google Scholar]
- Tang, J.; Yu, P.; Wei, H.Z.; Meng, Q.S. Slaking behaviour of weathered basalt residual soil in Guizhou. J. Eng. Geol. 2011, 19, 778–783. [Google Scholar]
- Chen, D.X.; Yang, Y.; Yang, K.; Kang, K.G. Experimental study on strength and water-stable behavior of unsaturated residual soils. In Proceedings of the International Conference on Remote Sensing, Environment and Transportation Engineering, Nanjing, China, 24–26 June 2011. [Google Scholar]
- Zhao, G.G.; Huang, Y.; Zhang, J.F.; Cheng, F.Y.; Zhou, Z.W. Investigation on the Development of Cracks of Laterite of Yunnan Under Wetting-drying Cycles. J. Soil Water Conserv. 2017, 31, 157–165. [Google Scholar]
- Zhang, S.; Zheng, X.Y.; Xiong, D.H.; Zhang, B.J.; Yang, D.; Guo, M.; Jiao, L. The Influence of Dry-wet Alternation on the Disintegration of Different Types of Soil in Gully Development Region of Dry-hot Valley. J. Soil Water Conserv 2016, 30, 111–121. [Google Scholar]
- Yan, B.; Tang, L.S.; Hu, H.; Wang, D.Z.; Lin, G.W. The mechanism of disintegration damage of granite weathered soil. Hydrogeol. Eng. Geol. 2009, 36, 68–70. [Google Scholar]
- Huang, Z.P.; Sun, J.L.; Cao, Y.B.; Zeng, H.J. Temperature effect on strength evolution of saturated granite residual soil. Nonferrous Met. (Min. Sect.) 2017, 69, 54–60. [Google Scholar]
- Zeng, Q.J.; Liu, B.C.; Zhang, B.H.; Xiong, J.H.; Xiao, S.D. An experimental study of the disintegration characteristics of red clay. Hydrogeol. Eng. Geol. 2018, 45, 99–103. [Google Scholar]
- Wang, Y.; Tang, L.S.; Gao, Q.C.; Liao, H.R. Effects of Water-Soil Interaction on Mechanical Strength of Residual Red Clay. Acta Sci. Nat. Univ. Sunyatseni 2007, 46, 128–132. [Google Scholar]
- Zhang, B.H.; Xie, Y.H.; Liu, L. Water absorption of red clay and its influence on the slaking test. Soil Eng. Found. 2020, 34, 98–101. [Google Scholar]
- GambleGamble, J. Durability-Plasticity Classification of Shales and Other Argillaceous Rocks. Ph.D. Thesis, University of Illinois at Urbana-Champaign, Champaign, IL, USA, 1971. [Google Scholar]
- Yamaguchi, H.; Yoshida, K.; Kuroshima, I.; Fukuda, M. Slaking and Shear Properties of Mudstone. Rock Mech. Power Plants 1988, 1, 133–144. [Google Scholar]
- Tang, Q.Y. A Study on the Temperature Effect on the Structural Strength of Granite Residual Red Soil. Master’s Thesis, Jilin University, Changchun, China, 2005. [Google Scholar]
- Zhang, X.W.; Kong, L.W. Experimental investigation on relative contribution of hot and humid weather and heavy rainfall in disintegration of basalt residual soil. Sci. Sin. 2016, 46, 1175–1184. [Google Scholar] [CrossRef]
- Guo, T. Study on Disintegration Properties and Microstructure of Guilin Red Clay under Different Environmental Conditions. Master’s Thesis, Guilin University of Technology, Guilin, China, 2017. [Google Scholar]
- Sun, Y.L.; Tang, L.S.; Liu, J. Advances in research on microstructure and intergranular suction of unsaturated soils. Rock Soil Mech. 2020, 41, 1095–1122. [Google Scholar]
- Chugh, Y.P.; Missavage, R.A. Effects of moisture on strata control in coal mines. Eng. Geol. 1981, 17, 241–255. [Google Scholar] [CrossRef]
- Xia, D.; Zhao, B.Q.; Liu, D.X.; Deng, Y.S.; Cheng, H.; Yan, Y.J.; Ding, S.W.; Cai, C.F. Effect of soil moisture on soil disintegration characteristics of different weathering profiles of collapsing gully in the hilly granitic region, South China. PLoS ONE 2018, 13, e0209427. [Google Scholar] [CrossRef] [PubMed]
- Zhang, X.W.; Kong, L.W.; Li, H.C. Engineering geological properties and micro-mechanism of residual soils derived from mudstone in Harare, Zimbabwe. J. Eng. Geol. 2018, 26, 1424–1432. [Google Scholar]
- Zhang, H.Z.; Liu, J.F. Microstructures, Mineral Compositions, and Mechanical Properties of Red-Layers in Southern China. Adv. Mater. Sci. Eng. 2018, 2018, 9601386. [Google Scholar] [CrossRef]
- Zhang, S.; Tang, H.M. Experimental study of disintegration mechanism for unsaturated granite residual soil. Rock Soil Mech. 2013, 34, 1668–1674. [Google Scholar]
- Deng, Y.; Duan, X.; Ding, S.; Cai, C.; Chen, J. Suction stress characteristics in granite red soils and their relationship with the collapsing gully in south China. Catena 2018, 171, 505–522. [Google Scholar] [CrossRef]
- Reginatto, A.R.; Ferrero, J.C. Collapse potential of soils and soil-water chemistry. Int. J. Rock Mech. Min. Sci. Geomech. 1975, 12, 59. [Google Scholar] [CrossRef]
- Cheng, B.C.; Xu, C.W. Property of the Cementing Material and Its Influence on Mechanical Characteristics for Residual Soil from Granite. Rock Soil Mech. 1986, 7, 64–69. [Google Scholar]
- Wang, Q.; Jiang, H.Z.; Tang, D.X. Study on engineering geological properties of granite residual soil in South Fujian. Geol. Fujian 1990, 9, 90–99. [Google Scholar]
- Wang, Q.; Tang, D.X.; Zhang, Q.Y.; Zhao, J.Z. A study on the material structure and composition of granite residual soils in the eastern China. J. Chang. Univ. Earth Sci. 1991, 21, 73–81. [Google Scholar]
- Chen, Q.; Li, J.; Zhao, L. Experimental Research on Disintegration Characteristics of Weathered Granite in Nanyue Region. Chin. J. Undergr. Space Eng. 2015, 11, 119–124. [Google Scholar]
- Huang, Y.; Fu, B.C.; Fu, J.Q.; Li, Q.S. The Section Properties of the Substance Composition of the Basalt Laterite in Kunming Area. J. Kunming Univ. Sci. Technol. 2000, 25, 88–92. [Google Scholar]
- Liu, C.W.; Lu, S.L. Research on mechanism of mudstone degradation and softening in water. Rock Soil Mech. 2000, 21, 29–31. [Google Scholar]
- Tan, L.R. Discussion on mechanism of disintegration and argillitization of clay-rock. Rock Soil Mech. 2001, 22, 1–5. [Google Scholar]
- Zhou, H.Y.; Li, H.X. The Study on Soil Disintegration Characteristics and Its Influence Factors of Collapsing Wall in the Collapsing Hill Erosion Region of Southern China. J. Soil Water Conserv. 2017, 31, 74–79. [Google Scholar]
- Wang, J.Z. The dffects of free iron Oxides on the engineering properties of red clay. Chin. J. Geotech. Eng. 1983, 5, 147–156. [Google Scholar]
- Jin, X.; Xiong, C.X.; Zhong, F.L. Experimental Study on Disintegration Characteristics of Granite Residual Soil Under Acid Pollution. J. Water Resour. Archit. Eng. 2017, 15, 194–198. [Google Scholar]
- Li, B.; Wu, S.R.; Shi, J.S.; Feng, Z. Engineering geological properties and hazard effects of Hipparion laterite in Baoji, Shaanxi Province. Geol. Bull. China 2013, 32, 1918–1924. [Google Scholar]
- Gao, G.R. The Microstructures and Engineering Properties of Red Soil in China. J. Geotech. Eng. 1985, 7, 10–21. [Google Scholar]
- Feng, J.L.; Zhao, Z.S.; Gao, G.R. An Exploration for Action and Action Mechanisim of Free Ferric Oxide in Laterite. J. Hebei Acad. Sci. 1994, 1, 35–43. [Google Scholar]
- Zhang, Z.; Ma, W.; Zhao, S.P.; Feng, W.J.; Wu, J.J.; Xiao, D.H. Morphological characteristics of the disintegration of cryogenic clay loam, natural and air-dried. J. Glaciol. Geocryol. 2014, 36, 118–122. [Google Scholar]
- Xu, Q.Y.; Wang, H.; Wu, J. Preliminary research on the factors affecting the disintegration characteristics of soil. J. Eng. Geol. 2016, 24, 855–860. [Google Scholar]
- Xu, H.D.; Wu, S.L. Countermeasures for the Prevention and Control of the Disintegration Disaster Caused by the Yuan Baoshan Red Soil in North China. J. China Univ. Min. Technol. 1996, 25, 30–34. [Google Scholar]
- Liu, Z.R.; Liu, C.Y.; Liang, B. Soil Mechanics; Tongji University Press: Shanghai, China, 2005. [Google Scholar]
- Wu, N.S. A study on calving property and softening damage parameter of GRS. J. Hebei Inst. Archit. Sci. Technol. 2006, 23, 58–62. [Google Scholar]
- Zhang, Z.; Ma, W.; Pendin, V.V.; Zhang, Z.Q.; He, R.X. Experimental study of the disintegration characteristics of loam with different moisture content. Hydrogeol. Eng. Geol. 2014, 41, 104–108. [Google Scholar] [CrossRef]
- Yuan, W.; Gao, D. The geotechnical characteristics of red clay. China Civ. Eng. J. 1983, 18, 71–78. [Google Scholar]
- Tang, L.S.; Sang, H.T.; Song, J.; Liu, F.T.; Zhang, P.C. Research on soil particle joint function and brittle-elastoplastic cement damage model of unsaturated granite residual soil. Rock Soil Mech. 2000, 34, 2877–2888. [Google Scholar]
- Tang, L.S. Structure Suction and Principle of General Effective Stress in Unsaturated Soils. Acta Sci. Nat. Univ. Sunyatsen 2000, 39, 95–100. [Google Scholar]
- Tang, L.S. New suggestion on shear strength in unsaturated soil based on suction between grains. Chin. J. Geotech. Eng. 2001, 23, 412–417. [Google Scholar]
- Sun, Y.L.; Tang, L.S. Use of X-ray computed tomography to study structures and particle contacts of granite residual soil. J. Cent. South Univ. 2019, 26, 938–954. [Google Scholar] [CrossRef]
- Ma, L.; Wang, Q.; Yuan, G.H. Fractal geometry research on the effect of pH on granulometric composition of red soil. Hydrogeol. Eng. Geol. 2007, 2, 41–44. [Google Scholar]
- Ma, L.; Wang, Q.; Yuan, G.H. Effect of pH on properties of red soil. J. Harbin Inst. Technol. 2009, 41, 255–258. [Google Scholar]
- Auzet, A.; Kirkby, M.J.; Dijk, P.V. Surface characterisation for soil erosion forecasting. Catena 2005, 62, 77–78. [Google Scholar] [CrossRef]
- Bo, S.Z.; Huang, Y.; Shi, C.X. Variation characteristics of physical properties of acid pollution laterite. Hydrogeol. Eng. Geol. 2012, 39, 111–115. [Google Scholar]
- Ren, L.Q. Study on Macro and Micro Characteristics of Alkali-Contaminated Laterite. Master’s Thesis, Kunming University of Science and Technology, Kunming, China, 2014. [Google Scholar]
- Wang, Z.K.; Gao, W.Z.; Liu, F. Soil Slaking Studies on Samples from Guilin Karst Terrain. Soil Eng. Found. 2017, 31, 59–62. [Google Scholar]
- Guo, Y.F. The anti-disintegration effect of different curing agents on granite residual soil. J. Fujian Agric. For. Univ. 2019, 48, 225–230. [Google Scholar]
- Sun, Y.; Liu, Q.; Xu, H.; Wang, Y.; Tang, L. Influences of different modifiers on the disintegration of improved granite residual soil under wet and dry cycles. Int. J. Min. Sci. Technol. 2022, 32, 831–845. [Google Scholar] [CrossRef]
- Jiang, D.S.; Li, X.H.; Fan, X.K.; Zhang, H.X. Research on the law of soil disintegration rate change an It’s effect factors on the loess plateau. Bull. Soil Water Conserv. 1995, 15, 20–27. [Google Scholar]
- Wang, J.E.; Xiang, W.; Bi, R.N. Experimental study of influence of matric suction on disintegration of unsaturated remolded loess. Rock Soil Mech. 2011, 32, 3258–3262. [Google Scholar]
- Peng, Y.; Zhang, H.Y.; Lin, C.B.; Wang, X.W.; Yang, L. Engineering properties and improvement mechanism of loess soil modified by consolid system. Chin. J. Rock Mech. Eng. 2017, 36, 762–772. [Google Scholar]
- Zhou, X.W.; Liu, P.; Lan, Z. Experimental Study on Disintegration Behavior of Granite Residual Soil. In Proceedings of the Geo-hubei International Conference on Sustainable Civil Infrastructure, Yichang, China, 20–22 July 2014. [Google Scholar]
- Liu, W.P.; Song, X.Q.; Huang, F.M.; Hu, L.N. Experimental study on the disintegration of granite residual soil under the combined influence of wetting-drying cycles and acid rain. Geomat. Nat. Hazards Risk 2019, 10, 1912–1927. [Google Scholar] [CrossRef]
- Lan, Z.X. Experimental Study on Disintegration Behavior of Granite Residual Soil. Master’s Thesis, South China University of Technology, Guangzhou, China, 2013. [Google Scholar]
- Li, C.S.; Kong, L.W.; Shu, R.J.; An, R.; Zhang, X.W. Disintegration characteristics in granite residual soil and their relationship with the collapsing gully in South China. Open Geosci. 2020, 12, 1116–1126. [Google Scholar] [CrossRef]
- Gu, T.F.; Yuan, L.; Hu, W.; Zhu, L.F.; Wang, X. Experimental research on disintegration of the Heifangtai loess. Hydrogeol. Eng. Geol. 2017, 44, 62–70. [Google Scholar]
- Dmitriev, V.V.; Yarg, L.A. Method and Evaluation of Soil Test; Student’s Book: Moscow, Russia, 2008. (In Russian) [Google Scholar]
- Zhang, Z.; Vadim, P.; Svetlana, N.; Zhang, Z.Q.; Wu, J.J. Disintegration characteristics of a cryolithogenic clay loam with different water content: Moscow covering loam (prQIII), case study. Eng. Geol. 2019, 258, 105159. [Google Scholar]
- Tong, D.K.; Feng, D.; Huang, S.Y.; Ji, X.Z. Experimental Investigation of Compacted Soil Disintegration Property. Sci. Technol. Eng. 2018, 18, 129–136. [Google Scholar]
- Li, Q.Y.; Wang, Y.L. Experimental study on some geotechnical humidification characteristics. In Proceedings of the National Engineering Geology Congress, Beijing, China, 21 May 1992. [Google Scholar]
- Wang, N.Q.; Wang, Q.T.; Xue, Q.; Liu, X.L. Experimental study of static disintegration on unsaturated soil. Appl. Mech. Mater. 2014, 580–583, 68–72. [Google Scholar] [CrossRef]
- Li, J.C.; Tian, W.P. Experiment of compacted loess disintegration. J. Chongqing Jiaotong Univ. 2005, 24, 74–77. [Google Scholar]
- Lozano-Pérez, T. Spatial Planning: A Configuration Space Approach; Springer: New York, NY, USA, 1990. [Google Scholar]
- Santaló, L.; Kac, F. Integral Geometry and Geometric Probability; Addison Wesley Publishing Company: Glenview, IL, USA, 1976. [Google Scholar]
- Du, J.; Hou, K.P.; Yang, F. Application of fractal geometry to mechanical properties study of granular material. J. Kunming Univ. Sci. Technol. 2013, 38, 30–35. [Google Scholar]
- Li, J.; Chen, Q.; Liu, Z.; He, C. Experimental research on disintegration characteristics of weathered granite in Nanyue. J. Hunan Univ. Sci. Technol. 2015, 30, 59–64. [Google Scholar]
- Terzaghi, K. Theory of Consolidation. In Fundamentals of Transport Phenomena in Porous Media; Springer: Berlin/Heidelberg, Germany, 1984. [Google Scholar]
- Bishop, A.W. The Principle of Effective Stress. Tek. Ukebl. 1959, 39, 859–863. [Google Scholar]
- Lytton, R.L.; Kher, R.K. Prediction of Moisture Movement in Expansive Clays; Study of Expansive Clays in Roadway Structural Systems: Austin, TX, USA, 1969. [Google Scholar]
- Mondal, S.; Sharma, V.; Apte, P.; Singh, D.N. Electrical analogy for modelling thermal regime and moisture distribution in sandy soils. Geomech. Geoengin. 2017, 13, 22–32. [Google Scholar] [CrossRef]
- Guo, L.H. Investigation of Soil Stabilization Using Biopolymers. Doctoral Dissertation, Iowa State University, Iowa City, IA, USA, 2014. [Google Scholar]
- Richards, T.W.; Coombs, L.B. The Determination of Surface-Tension. Chemistry 1915, 5, 404–407. [Google Scholar]
- Chen, Z.H.; Guo, N. New developments of mechanics and application for unsaturated soils and special soils. Rock Soil Mech. 2018, 40, 1–54. [Google Scholar]
- Fredlund, D.G.; Morgenstern, N.R. Stress state variables for unsaturated soils. J. Geotech. Eng. Div. 1977, 103, 447–466. [Google Scholar] [CrossRef]
- Blight, G.E. Effective stress evaluation for unsaturated soils. J. Soil Mech. Found. Div. 1967, 2, 125–148. [Google Scholar] [CrossRef]
- Van, G. A closed-form equation for predicting the hydraulic conductivity of unsaturated soils. Soil Sci Soc. Am. J. 1980, 44, 892–898. [Google Scholar]
- Fredlund, D.G.; Xing, A. Equations for the soil-water characteristic curve. Can. Geotech. J. 1994, 31, 521–532. [Google Scholar] [CrossRef]
- Lian, G.P.; Thornton, C.; Adams, M.J. A Theoretical Study of the Liquid Bridge Forces between Two Rigid Spherical Bodies. J. Colloid Interface Sci. 1993, 161, 138–147. [Google Scholar] [CrossRef]
- Coelho, R.; Cordeiro, L.; Gazola, R.B.; Teixeira, P. Dynamics of two-dimensional liquid bridges. Soft Condens. Matter 2022, 1, 205001. [Google Scholar] [CrossRef] [PubMed]
- Shen, Z.J. Generalized Suction and Unified Deformation Theory for Unsaturated Soils. Chin. J. Geotech. Eng. 1996, 18, 1–9. [Google Scholar]
- Tang, L.; Wang, S.J. Absorbed suction and principle of effective stress in unsaturated soils. Chin. J. Geotech. Eng. 2000, 22, 83–88. [Google Scholar]
- Lu, N. Profiles of Steady-State Suction Stress in Unsaturated Soils. J. Geotech. Geoenviron. Eng. 2004, 130, 1063–1076. [Google Scholar] [CrossRef]
- Lu, N.; Asce, M.; Likos, W.J. Suction Stress Characteristic Curve for Unsaturated Soil. J. Geotech. Geoenviron. Eng. 2006, 132, 131–142. [Google Scholar] [CrossRef]
- Kim, B.S.; Shibuya, S.; Park, S.W.; Kato, S. Application of suction stress for estimating unsaturated shear strength of soils using direct shear testing under low confining pressure. Can. Geotech. J. 2010, 47, 955–970. [Google Scholar] [CrossRef]
- Song, Y.S.; Hwang, W.K.; Jung, S.J.; Kim, T.H. A comparative study of suction stress between sand and silt under unsaturated conditions. Eng. Geol. 2012, 124, 90–97. [Google Scholar] [CrossRef]
- Lu, N.; Murat, K. A Drying Cake Method for Measuring Suction-Stress Characteristic Curve, Soil-Water-Retention Curve, and Hydraulic Conductivity Function. Geotech. Test. J. 2013, 36, 1–19. [Google Scholar] [CrossRef]
- Luan, M.T.; Li, S.Q.; Yang, Q. Matric suction and tension suction of unsaturated soils. Chin. J. Geotech. Eng. 2006, 28, 864–868. [Google Scholar]
- Jiang, X.L.; Li, P.C. Calculation of intergranular suction considering cementing area between soil particles. Chin. J. Geotech. Eng. 2016, 38, 1160–1164. [Google Scholar]
- Sang, H.T. Intergranular Suction Test of Unsaturated Soil and Its Relationship with Tensile Strength. Ph.D. Thesis, Sun Yat-sen University, Guangzhou, China, 2015. [Google Scholar]
- Sun, Y.L. Study on Suction between Particles of Clay Soil Based on Micro-Tomography Method. Ph.D. Thesis, Sun Yat-sen University, Guangzhou, China, 2018. [Google Scholar]
- Biglari, M.; Ashayeri, I.; Gallipoli, D.; Moradpour, S. A unified small-strain shear stiffness model for saturated and unsaturated soils. Comput. Geotech. 2021, 136, 136–149. [Google Scholar] [CrossRef]
- Yuan, J.P. Transmit Mechanization and Measurement Method of Suction Pressure in Unsaturated Soil. Geotech. Eng. 2003, 15, 27–29. [Google Scholar]
- Xu, J.; Wang, Z.; Li, W.X. The Measuring Techniques of Unsaturated-soil Suction. Chin. J. Rock Mech. Eng. 2000, 19, 905–909. [Google Scholar]
- Chi, F.Q. A new method for determining soil moisture-tensiometer method. Mod. Agric. 1988, 5. [Google Scholar]
- Wang, Z.; Yang, J.X.; Kuang, J.J.; An, J.Y.; Luo, Y.D. Application of filter paper method in field measurement of matric suction. Chin. J. Geotech. Eng. 2003, 25, 405–408. [Google Scholar]
- Lu, N.; Likos, W.J.; Wei, C.F. Mechanics of Unsaturated Soil; Higher Education Press: Beijing, China, 2004. [Google Scholar]
- Gong, B.W.; Bao, C.G. On-Site Observation Technology of Unsaturated Expansive Soils. South-North Water Transf. Water Sci. Technol. 2008, 6, 291–294. [Google Scholar]
- Gunjal, A.; Atrey, M.D.; Srivastava, A. Two-Phase Pressure Drop Study for Cryosurgical Probes Using One-Dimensional Homogeneous Model; IOP Publishing Ltd.: Bristol, UK, 2022; Volume 1240, pp. 1–9. [Google Scholar]
- Brown, R.W.; Collins, J.M. A Screen-Caged Thermocouple Psychrometer and Calibration Chamber for Measurements of Plant and Soil Water Potential. Agron. J. 1980, 72, 851–854. [Google Scholar] [CrossRef]
- Campbell, G.S.; Gardne, W.H. Psychrometric Measurement of Soil Water Potential: Temperature and Bulk Density Effects. Soil Sci. Soc. Am. 1971, 35, 8. [Google Scholar] [CrossRef]
- Albrecht, B.A.; Benson, C.H.; Beuermann, S. Polymer Capacitance Sensors for Measuring Soil Gas Humidity in Drier Soils. Geotech. Test. J. 2003, 26, 3–11. [Google Scholar]
- Zhang, Y.Q. Experimental Research on Infiltration in Unsaturated Loess. Master’s Thesis, Chang’an University, Xi’an, China, 2016. [Google Scholar]
- Segales, A.R.; Chilson, P.B.; Salazar-Cerreno, J.L. Considerations for improving data quality of thermo-hygrometer sensors on board unmanned aerial systems for planetary boundary layer research. Atmos. Meas. Tech. 2022, 15, 2607–2621. [Google Scholar] [CrossRef]
- Ridley, A.M.; Burland, J.B. A new instrument for the measurementof soil moisture suction. Geotechnique 1993, 43, 321–324. [Google Scholar] [CrossRef]
- Becker, T.; Meibner, H. Direct suction measurement in cyclic triaxial test devices. In Unsaturated Soil; Swets & Zeitlinger: Lisse, The Netherlands, 2002. [Google Scholar]
- Muraleetharan, K.; Granger, K. The Use of Miniature Pore Pressure Transducers in Measuring Matric Suction in Unsaturated Soils. Geotech. Test. J. 1999, 22, 226–234. [Google Scholar]
- Marinho, F.A. Discussion on “The use of miniature pore pressure transducers in measuring matrix suction in unsaturated soils” by Muralleetharan K K & Granger K K. Geotech. Test. J. 2000, 23, 532–534. [Google Scholar]
- Li, S.Q.; Jia, H.J.; Wang, X.X.; Gui, C. Limitation and error analysis of axis translation technique for measuring and controlling matric suction. Rock Soil Mech. 2016, 37, 3089–3095. [Google Scholar]
- Sanlon, P.; Sivakumar, V.; Solan, B.; Tripathy, S.; Mackinnon, P.; Donohue, S.; Ramaiah, B.J. Assessment of Skempton’s pore water pressure parameters B and A using a high-capacity tensiometer. Geotechnique 2021, 71, 110–119. [Google Scholar] [CrossRef]
- Rahul, R.; Manikandan, M. Estimation of irrigation interval and soil water content distribution for drip irrigated eggplant using tensiometer under mulching condition. Indian J. Soil Conserv. 2021, 49, 23–31. [Google Scholar]
- Richards, L.A.; Fireman, M. Pressure-Plate Apparatus for Measuring Moisture Sorption and Transmission By Soils. Soil Sci. 1943, 56, 395–404. [Google Scholar] [CrossRef]
- Stevenson, D.S. Unreliabilities of pressure plate 1500 kilopascal data in predicting soil water contents at which plants become wilted in soil-peat mixes. Can. J. Soil Sci. 1982, 62, 415–419. [Google Scholar] [CrossRef]
- Gong, B.W.; Zhou, X.W.; Zhou, W.H. Test on suction and strength of expansive soil in a desorption-absorption cycle of moisture. Chin. J. Geotech. Eng. 2006, 28, 207–209. [Google Scholar]
- Cresswell, H.; Green, T.; McKenzie, N. The Adequacy of Pressure Plate Apparatus for Determining Soil Water Retention. Soil Sci Soc. Am. J. 2008, 72, 41–49. [Google Scholar] [CrossRef]
- Wang, D.L.; Luan, M.T.; Yang, Q. Experimental study of soil-water characteristic curve of remolded unsaturated clay. Rock Soil Mech. 2009, 30, 751–756. [Google Scholar]
- Wang, X.Q.; Hu, Z.W.; Zhang, J.F.; Zou, W.L. Experimental Verification of the Existing Problems of Soil-water Characteristic Curve Determined with Pressure Plate. J. Wuhan Univ. Technol. 2017, 313, 61–67. [Google Scholar]
- Xu, X.T.; Jian, W.B. Research on SWCC of Unsaturated Natural Residual soil. J. Eng. Geol. 2015, 23, 668–674. [Google Scholar]
- Wang, L.; Yang, S. Effect of Soil Suction Test Method on Soil Water Characteristic Curve. Water Sav. Irrig. 2018, 8, 5–8. [Google Scholar]
- Al-Khafaf, S.; Hanks, R.J. Evaluation of the filter paper method for estimating soil water potential. Soil Sci 1974, 117, 194–199. [Google Scholar] [CrossRef]
- Pincus, H.J.; Houston, S.L.; Houston, W.N.; Wagner, A.M. Laboratory Filter Paper Suction Measurements. Geotech. Test. J. 1994, 17, 185–194. [Google Scholar] [CrossRef]
- Bicalho, K.V.; Gomes, C.A.; Ferreira, S.; Fleureau, J.M.; Marinho, F.A.M. Filter paper method of soil suction measurement. In Proceedings of the XIII Panamerican Conference on Soil Mechanics and Geotechnical Engineering, Isla Margarita, Venezuela, 16–20 July 2007. [Google Scholar]
- Hao, K.N. Research for Soil-Water Characteristic Curve of Unsaturated Reticulate Red Clay. Master’s Thesis, Central South University, Changsha, China, 2014. [Google Scholar]
- Sun, D.A.; Meng, D.L.; Sun, W.J.; Liu, Y.M. Soil-water characteristic curves of two bentonites. Rock Soil Mech. 2011, 32, 973–978. [Google Scholar]
- Bai, F.Q.; Liu, S.H.; Yuan, J. Calibration test for total suction wetting curve of filter paper. Rock Soil Mech. 2011, 32, 2336–2340. [Google Scholar]
- Lin, J.; Zou, W.; Han, Z.; Zhang, Z.; Wang, X. Structural, volumetric and water retention behaviors of a compacted clay upon saline intrusion and freeze-thaw cycles. J. Rock Mech. Geotech. 2022, 14, 953–966. [Google Scholar] [CrossRef]
- Fan, Q.Y.; Ke, Z.J. Discussion on Suction Characteristics and Measurement of Expansive soil. Subgrade Eng. 1995, 36–39. [Google Scholar]
- Wang, Z.; Luo, Y.D.; Xiao, H.L.; Yao, Z.F. Experimental study on suction characteristics of loess in Yuncheng Region. Rock Soil Mech. 2002, 23, 51–54. [Google Scholar]
- Yao, Z.H.; Huang, X.F.; Chen, Z.H.; Zhang, J.H. Comprehensive soaking tests on self-weight collapse loess with heavy section in Lanzhou region. Chin. J. Geotech. Eng. 2011, 34, 65–74. [Google Scholar]
- Shi, B.X.; Chen, S.S.; Han, H.Q.; Wang, T.B. Failure law of the expansive soil slope considering the suction changes. J. Hydraul Eng. 2014, 45, 1499–1506. [Google Scholar]
- Topp, G.C.; Davis, J.L.; Annan, A.P. Electromagnetic determination of soil water content: Measurements in coaxial transmission lines. Water Resour Res. 1980, 16, 574–582. [Google Scholar] [CrossRef]
- Zhou, L.Y.; Chen, Z.X.; Li, W.M. Calibration on Measurement of Soil Water Content Using Time Domain Reflectrometry(TDR). Acta Pedol. Sin. 2003, 40, 59–64. [Google Scholar]
- Liu, S.C.; Wang, G.D.; Zhu, J.C.; Ma, A.S.; Xu, A.M. Improvement and Application on Soil Tension Meter with Negative-pressure Mercury. Acta Agric. Boreali-Occident. Sin. 2002, 11, 29–33. [Google Scholar]
- Tang, L.S.; Wang, Y.; Zhang, P.C.; Zhang, Q.H. Definition and exploration for effective stress and related conception in unsaturated soil. Chin. J. Geotech. Eng. 2003, 25, 304–307. [Google Scholar]
- Lu, N.; Wu, B.; Tan, C.P. Tensile Strength Characteristics of Unsaturated Sands. J. Geotech. Geoenviron. Eng. 2007, 133, 144–154. [Google Scholar] [CrossRef]
- Li, Z.Q.; Li, T.; Hu, R.L. Methods for Testing and Prediction of SWCC in Unsaturated Soilk Mechanics. J. Eng. Geol. 2007, 15, 700–707. [Google Scholar]
- Bulut, R.; Leong, E.C. Indirect Measurement of Suction. Geotech. Geol. Eng. 2008, 26, 633–644. [Google Scholar] [CrossRef]
- Jiang, M.J.; Shen, Z.J. On expansive of cylindrecal cavity with linear softening and shear dilatation behaviour. Chin. J. Rock Mech. Eng. 1997, 16, 550–557. [Google Scholar]
- Jiang, M.J.; Li, X.M.; Sun, Y.G.; Hu, H.J. Discrete element simulation of biaxial compression test considering rolling resistance. Rock Soil Mech. 2009, 30, 514–517. [Google Scholar]
- Nam, S.; Gutierrez, M.; Diplas, P.; Petrie, J.; Wayllace, A.; Ning, L.; Mu Oz, J.J. Comparison of testing techniques and models for establishing the SWCC of riverbank soils. Eng. Geol. 2010, 110, 1–10. [Google Scholar] [CrossRef]
- Zhang, P.; Ying, H.J.; Wu, H. Study on absorbed suction of unsaturated sandy soil. J. Liaoning Tech. Univ. (Nat. Sci.) 2011, 30, 389–391. [Google Scholar]
- Sun, D.A.; Zhang, J.R.; Lv, H.B. Soil-water characteristic curve of Nanyang expansive soil in full suction range. Rock Soil Mech. 2013, 34, 1839–1846. [Google Scholar]
- Liu, X.C. Centrifuge Modelling and Analysis of Rainfall-induced Shallow Failure in Unsaturated Soil Slope. Ph.D. Thesis, Zhejiang University, Hangzhou, China, 2017. [Google Scholar]
- Zhang, Y.; Wei-Min, Y.E.; Wang, Q.; Tarantino, A. Suction measurement and SWRC modelling for reconstituted salt-laden soils in earthen heritages. Chin. J. Geotech. Eng. 2019, 41, 1661–1669. [Google Scholar]
- Jiang, X.Z.; Lei, M.T.; Guan, Z.D. Formation mechanism of karst soil-void in single-layer soil structure condition. Carsologica Sinica 2012, 31, 426–432. [Google Scholar]
- Kim Huat, B.; Ali, F.; Choong, F.H. Collapsibility and Volume Change Behavior of Unsaturated Residual Soil. Am. J. Environ. Sci. 2006, 2, 161–166. [Google Scholar]
Publisher’s Note: MDPI stays neutral with regard to jurisdictional claims in published maps and institutional affiliations. |
© 2022 by the authors. Licensee MDPI, Basel, Switzerland. This article is an open access article distributed under the terms and conditions of the Creative Commons Attribution (CC BY) license (https://creativecommons.org/licenses/by/4.0/).













