The Influence of Shield Tunneling Characteristics on the Safety of Buildings Above-Case Study for Shanghai Zone
Abstract
:1. Introduction
2. Numerical Simulation
2.1. Numerical Model
2.2. Material Parameters
2.3. Simulation Scheme
2.4. Constitutive Model
2.5. Tunnel Face Support Force and Grouting Pressure
2.5.1. Support Force of Tunnel Face
2.5.2. Grouting Pressure
2.6. Model Validation
3. Results
3.1. Parametric Study of the Surface Settlement
3.1.1. Buried Depth (H)
3.1.2. Horizontal Distance (D)
3.2. Deformation Characteristics and Stress Analysis of Buildings
3.2.1. Building Deformation and Internal Force
3.2.2. Building Inclination
4. Impact Zoning of Shield Tunnel
4.1. Project Impact Zoning Method
4.2. Strength Reduction Method
4.3. Analysis of the Impact Zoning Results
5. Conclusions
- 1.
- In this work, the influence of shield tunneling on the surface and overlying shallow foundation buildings in typical soft soil areas of Shanghai is studied, and the following conclusions are drawn from the aspects of surface settlement, deformation, and stress characteristics of buildings and the zoning of safety effects.
- 2.
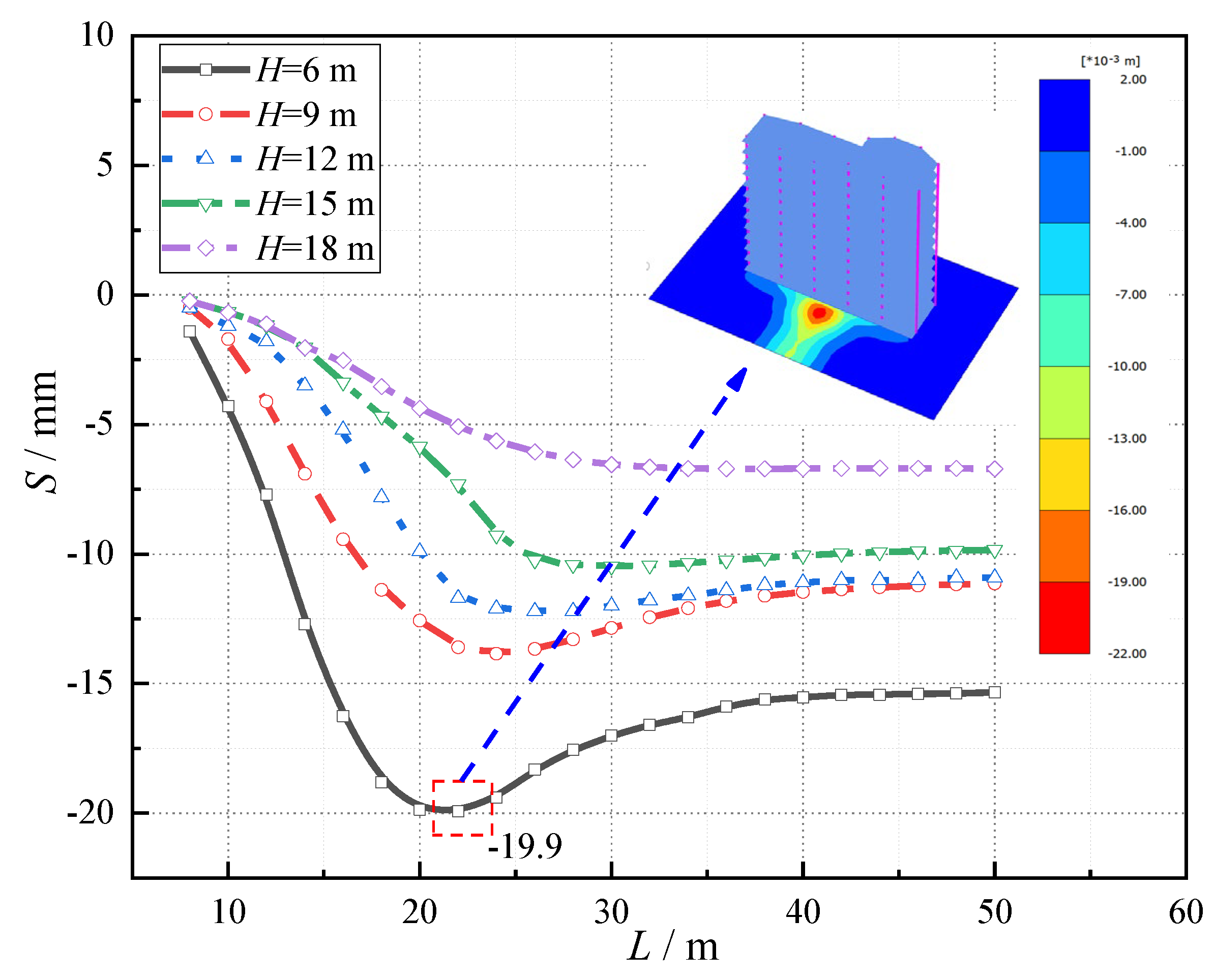
- The shield tunneling will cause the soft soil to rebound, and the amount of rebound will gradually decrease with the increase in H. The maximum settlement value of the land surface is 19.931 mm at H = 6 m and 6.709 mm at H = 18 m. Subsequently, the degree of the influence of different shield tunneling positions on the soil is described by the surface subsidence increment ΔS. The research shows that ΔS is the largest when 10 m < L < 20 m, which indicates that shield tunneling has the strongest influence on the surface of the monitoring point.
- 3.
- The change of shaft force caused by shield tunneling through buildings is mainly reflected in the building plate structure. At H = 6 m, the shaft force increase in the plates reaches 49.7%. The change of shear force and bending moment is mainly reflected in the column structure, with a maximum increase of 13.6% and 23.9%, respectively. The maximum point of the axial force appears at the junction of the foundation slab and side plate, and the maximum point of shear force and bending moment appears at the junction of the foundation slab and column. This shows that the foundation plays a key role in resisting the influence of shield tunneling on buildings.
- 4.
- The strength reduction method, which is used to study the engineering impact zone of the model and the variation law of the safety factor of the lining of the surrounding clay with or without building load, is obtained. The influence degree of the building load on the tunnel construction is reflected by the relative ratio ξ of the safety factor with or without building load.
Author Contributions
Funding
Institutional Review Board Statement
Informed Consent Statement
Data Availability Statement
Conflicts of Interest
References
- He, M.D.; Liu, J.; Le, G.P.; Wang, M.S.; Zhang, D.L. Study of impact of shield tunneling side-crossing on adjacent high buildings. Chin. J. Rock Mech. Eng. 2010, 29, 603–608. [Google Scholar]
- Peck, R.B. Deep excavations and tunneling in soft ground. In Proceedings of the 7th International Conference on Soil Mechanics and Foundation Engineering, Mexico City, Mexico, 25 August 1969; pp. 225–290. [Google Scholar]
- Sagaseta, C. Analysis of undraind soil deformation due to ground loss. Geotechnique 1987, 37, 301–312. [Google Scholar] [CrossRef]
- Verruijt, A.; Booker, J.R. Surface settlements due to deformation of a tunnel in an elastic half plane. Geotechnique 1996, 46, 753–756. [Google Scholar] [CrossRef]
- Li, S.H.; Zhang, M.J.; Li, P.F. Analytical solutions to ground settlement induced by ground loss and construction loadings during curved shield tunneling. J. Zhejiang Univ. Sci. A 2021, 37, 296–313. [Google Scholar] [CrossRef]
- Wei, G.; Xu, R.Q. Prediction of longitudinal ground deformation due to tunnel construction with shield in soft soil. Chin. J. Geotech. Eng. 2005, 9, 1077–1081. [Google Scholar]
- Ouyang, W.B.; Ding, W.Q.; Xie, D.W. Calculation method for settlement due to shield tunnelling considering structure stiffness. Chin. J. Undergr. Space Eng. 2013, 9, 155–160. [Google Scholar]
- Lai, H.P.; Wang, T.T.; Kang, Z. Theoretical method of chamber pressure for EPB shield tunneling under-crossing existing metro tunnels. KSCE J. Civ. Eng. 2021, 25, 2725–2736. [Google Scholar] [CrossRef]
- Jin, D.L.; Shen, X.; Yuan, D.J. Theoretical analysis of three-dimensional ground displacements induced by shield tunneling. Appl. Math. Model 2020, 79, 85–105. [Google Scholar] [CrossRef]
- Fang, Y.; Chen, Z.T.; Tao, L.M. Model tests on longitudinal surface settlement caused by shield tunnelling in sandy soil. Sustain. Cities Soc. 2019, 47, 101504. [Google Scholar] [CrossRef]
- Hu, X.Y.; He, C.; Walton, G.; Fang, Y.; Dai, G.H. Laboratory model test of EPB shield tunneling in a Cobble-Rich soil. J. Geotech. Geoenviron. Eng. 2020, 146, 4020112. [Google Scholar] [CrossRef]
- Huang, Z.; Zhang, C.L.; Fu, H.L. Numerical study on the disturbance effect of short-distance parallel shield tunnelling undercrossing existing tunnels. Adv. Civ. Eng. 2020, 2020, 8810658. [Google Scholar] [CrossRef]
- Lin, X.T.; Chen, R.P.; Wu, H.N. Deformation behaviors of existing tunnels caused by shield tunneling undercrossing with oblique angle. Tunn. Undergr. Space Technol. 2019, 89, 78–90. [Google Scholar] [CrossRef]
- Liu, Z.; Ming, W.H.; Li, J.M.; Zhou, C.Y.; Zhang, L.H. Numerical prediction of the optimal shield tunneling strategy for tunnel construction in karst regions. PLoS ONE 2021, 16, e0252733. [Google Scholar] [CrossRef]
- Nagel, F.; Stascheit, J.; Meschke, G. Numerical simulation of interactions between the shield-supported tunnel construction process and the response of soft water-saturated soils. Int. J. Geomech. 2012, 12, 689–696. [Google Scholar] [CrossRef]
- Gong, C.J.; Ding, W.Q.; Xie, D.W. Twin EPB tunneling-induced deformation and assessment of a historical masonry building on Shanghai soft clay. Tunn. Undergr. Space Technol. 2020, 98, 103300. [Google Scholar] [CrossRef]
- Dai, X.; Guo, W.; Cheng, X.S.; Huo, H.F.; Liu, G.G. Field measurement and numerical analysis for evaluating longitudinal settlement induced by shield tunneling parallel to building. Rock Soil Mech. 2021, 42, 233–244. [Google Scholar] [CrossRef]
- Sirivachiraporn, A.; Phienwej, N. Ground movements in EPB shield tunneling of Bangkok subway project and impacts on adjacent buildings. Tunn. Undergr. Space Technol. 2012, 30, 10–24. [Google Scholar] [CrossRef]
- Zhu, J.T. Influence Zoning Analysis of Shield Tunneling on Adjacent Building and Its Numerical Simulation; Anhui Jianzhu University: Hefei, China, 2018. [Google Scholar]
- Tao, S.H. Application of Peck formula in Quasi-rectangular shield tunnel construction in soft ground. Subgrade Eng. 2021, 2021, 153–157. [Google Scholar]
- Huang, Z.; Zhang, H.; Fu, H.L.; Ma, S.K.; Liu, Y. Deformation response induced by surcharge loading above shallow shield tunnels in soft soil. KSCE J. Civ. Eng. 2020, 24, 2533–2545. [Google Scholar] [CrossRef]
- Lv, X.L.; Li, F.D.; Huang, M.S.; Wan, J.L. Three-dimensional numerical and analytical solutions of limit support pressure at shield tunnel face. J. Tongji Univ. 2012, 40, 1469–1473. [Google Scholar]
- Lv, X.L.; Wang, H.R.; Huang, M.S. Limit theoretical study on face stability of shield tunnels. Chin. J. Geotech. Eng. 2011, 33, 57–62. [Google Scholar]
- Schanz, T.; Vermeer, P.A.; Bonnier, P.G. The hardening soil model: Formulation and verification. In Plaxis Symposium on beyond 2000 in Computational Geotechnics; Taylor & Francis Group: London, UK, 1999; pp. 281–296. [Google Scholar]
- Huang, B.Q.; Zhu, H.H. Volumetric yielding mechanism of hardening-soil model and its constitutive integration algorithm. Rock Soil Mech. 2015, 36, 31–37, 42. [Google Scholar]
- Ye, F.; Gou, C.F.; Mao, J.H.; Yang, P.B.; Chen, Z.; Jia, T. Calculation of critical grouting pressure during shield tunneling in clay stratum and analysis of the influencing factors. Rock Soil Mech. 2015, 36, 937–945. [Google Scholar]
- Li, S.H.; Song, Z.P. Research on the calculation of the settlement width through influenced by shield tunneling. Highway 2018, 63, 302–308. [Google Scholar]
- Lee, K.M.; Rowe, R.K. Subsidence owing to tunnelling. II. Evaluation of a prediction technique. Can. Geotech. J. 1992, 29, 941–954. [Google Scholar] [CrossRef]
- Zhu, C.H.; Li, L. Estimation and regularity analysis of maximal surface settlement induced by subway construction. Chin. J. Rock Mech. Eng. 2017, 36, 3543–3560. [Google Scholar]
- Wei, X.J.; Zhang, J.J.; Zhang, S.M. Grope for shield tunnel construction induced ground maximal settlement. Rock Soil Mech. 2008, 29, 445–448. [Google Scholar]
- Atkinson, J.H.; Potts, D.M. Subsidence above shallow tunnels in soft ground. J. Geotech. Eng. Div. 1977, 103, 307–325. [Google Scholar] [CrossRef]
- Clough, G.W.; Schmidt, B. Design and Performance of Excavations and Tunnels in Soft Clay; Elsevier Science Publishing Company: New York, NY, USA, 1981; pp. 569–634. [Google Scholar] [CrossRef]
- Ministry of Housing and Urban Rural Development of the people’s Republic of China. Code for Deformation Measurement of Building and Structure JGJ8-2016; Construction Industry Press: Beijing, China, 2016.
- Chou, W.G.; Sun, K.Q.; Zheng, Q.; Lu, F. Study on influence division of fill and excavation above tunnel by the initial depth. China Civ. Eng. J. 2017, 50, 8–13. [Google Scholar]
- China Academy of Building Research Technical. Code for Tall Building Raft Foundations and Box Foundations JGJ6-2011; China Architecture & Building Press: Beijing, China, 2011. [Google Scholar]
- Zhang, Z.G.; Chou, W.G. Study of the zones influenced by the construction of metro running tunnels approaching existing buildings. Mod. Tunn. Technol. 2016, 53, 75–82. [Google Scholar]
















| Layer | Thickness/d (m) | Unit Weight of Soil/γ (kN·m−3) | (kN m−2) | (kN m−2) | (kN m−2) | Cohesion/c (kN·m−2) | Internal Friction Angle/φ (°) | Vur |
|---|---|---|---|---|---|---|---|---|
| Plain fill | 6.45 | 17.8 | 11.25 × 103 | 9 × 103 | 55.56 × 103 | 5 | 25 | 0.25 |
| Mucky clay | 3 | 19 | 20 × 103 | 25.61 × 103 | 94.84 × 103 | 10 | 18 | 0.2 |
| Clay | 1.4 | 19.7 | 13.5 × 103 | 13.5 × 103 | 40.5 × 103 | 27 | 22 | 0.2 |
| Plastic oak Sandy clay | 8.1 | 18.3 | 30 × 103 | 36 × 103 | 110.8 × 103 | 5 | 25 | 0.2 |
| Weathered rock | 16.05 | 20 | 15 × 103 | 15 × 103 | 45 × 103 | 25 | 32 | 0.2 |
| Material | Severe/γ (kN·m−3) | Elastic Modulus/E (kN/m−2) | Thickness/d (m) | Poisson’s Ratio/v |
|---|---|---|---|---|
| Lining | 27 | 27.6 × 106 | 0.3 | 0.167 |
| Shield machine plate and shell plate and shell | 120 | 23 × 106 | 0.3 | 0 |
| Floor | 25 | 30 × 106 | 0.1 | 0 |
| Foundation side wall | 25 | 30 × 106 | 0.2 | 0 |
| Foundation slab | 25 | 30 × 106 | 0.25 | 0 |
| Beam | 25 | 30 × 106 | / | / |
| Change Rate | H = 6 m | H = 9 m | H = 12 m | H = 15 m | H = 18 m |
|---|---|---|---|---|---|
| D = 0–5 m | 41.1% | 13.1% | 10.1% | 6.5% | 7.6% |
| D = 5–10 m | 45.4% | 34.4% | 25.2% | 15.8% | 15.6% |
| D = 10–15 m | 25.4% | 40.6% | 34.0% | 29.5% | 24.3% |
| D = 15–20 m | 42.3% | 36.2% | 38.7% | 37.3% | 34.6% |
| D = 20–25 m | 38.9% | 43.5% | 41.9% | 39.6% | 40.9% |
| D = 25–30 m | 57.1% | 48.5% | 44.6% | 40.5% | 37.9% |
| D = 30–35 m | 54.1% | 50.6% | 44.9% | 40.5% | 39.5% |
| Maximum Settlement Difference of Adjacent Columns (mm) | H = 6 m | H = 9 m | H = 12 m |
|---|---|---|---|
| D = 0 m | 8.763 | 9.4100 | 7.821 |
| D = 5 m | 16.700 | 12.504 | 8.261 |
| D = 10 m | 12.701 | 10.736 | 8.394 |
| D = 15 m | 13.882 | 11.330 | 7.741 |
| D = 20 m | 15.518 | 12.756 | 8.855 |
| D = 25 m | 8.600 | 7.654 | 6.993 |
| D = 30 m | 12.600 | 11.174 | 9.065 |
| D = 35 m | 6.397 | 7.875 | 7.897 |
| Influence Area | 7 Floors (0.27 MPa) | 10 Floors (0.38 MPa) | 13 Floors (0.5 MPa) |
|---|---|---|---|
| Strong influence area | 20.0% | 20.0% | 20.0% |
| Weak influence area | 22.5% | 27.5% | 35% |
| No influence area | 57.5% | 52.5% | 45% |
Publisher’s Note: MDPI stays neutral with regard to jurisdictional claims in published maps and institutional affiliations. |
© 2022 by the authors. Licensee MDPI, Basel, Switzerland. This article is an open access article distributed under the terms and conditions of the Creative Commons Attribution (CC BY) license (https://creativecommons.org/licenses/by/4.0/).
Share and Cite
Feng, X.; Hou, D.; Huang, Z. The Influence of Shield Tunneling Characteristics on the Safety of Buildings Above-Case Study for Shanghai Zone. Sustainability 2022, 14, 13391. https://doi.org/10.3390/su142013391
Feng X, Hou D, Huang Z. The Influence of Shield Tunneling Characteristics on the Safety of Buildings Above-Case Study for Shanghai Zone. Sustainability. 2022; 14(20):13391. https://doi.org/10.3390/su142013391
Chicago/Turabian StyleFeng, Xuemao, Dongxiang Hou, and Zhen Huang. 2022. "The Influence of Shield Tunneling Characteristics on the Safety of Buildings Above-Case Study for Shanghai Zone" Sustainability 14, no. 20: 13391. https://doi.org/10.3390/su142013391
APA StyleFeng, X., Hou, D., & Huang, Z. (2022). The Influence of Shield Tunneling Characteristics on the Safety of Buildings Above-Case Study for Shanghai Zone. Sustainability, 14(20), 13391. https://doi.org/10.3390/su142013391

