Species-Abundance Distribution Patterns of Plant Communities in the Gurbantünggüt Desert, China
Abstract
1. Introduction
2. Study Areas
3. Research Methods
3.1. Sampling Setting and Sampling Method
3.2. Soil Collection and Analysis
3.3. Important Value
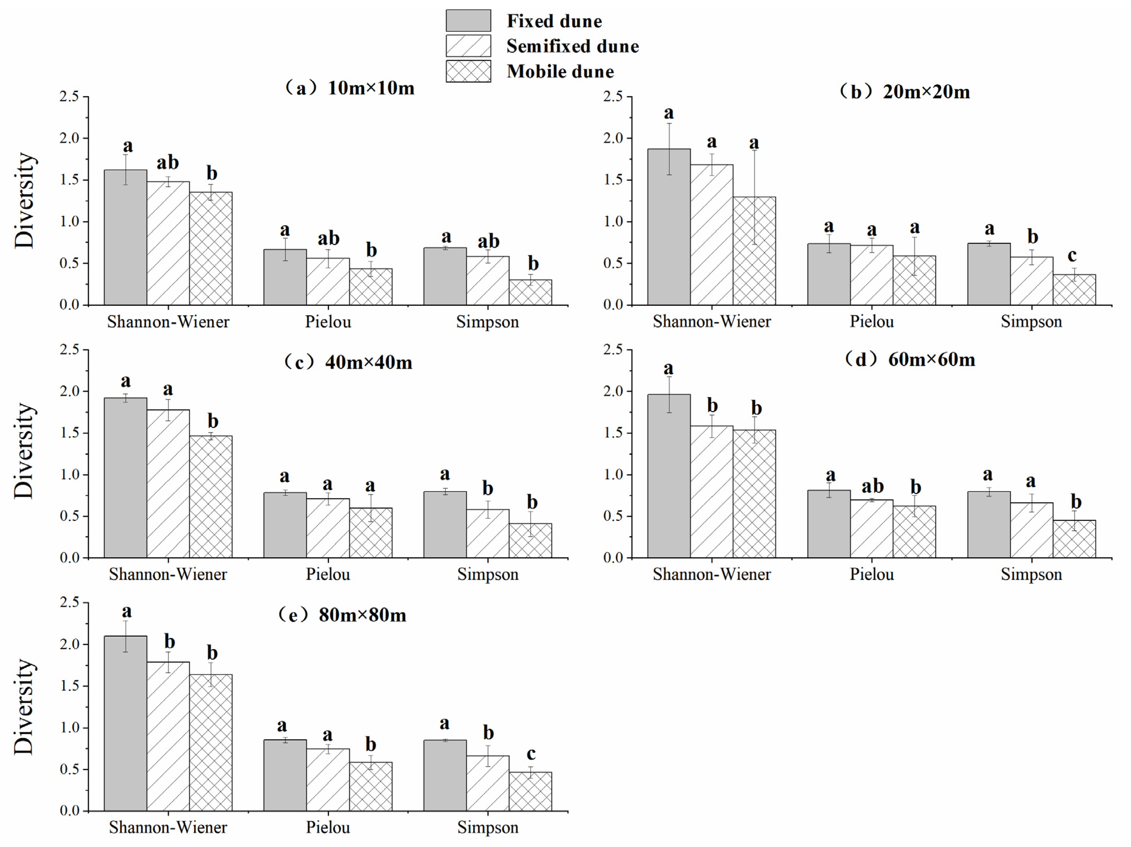
3.4. Species Diversity Indices
3.5. Abundance-Fitting Model Selection
3.5.1. Statistical Model
- Log-normal distribution model
3.5.2. Niche Model
- Niche preemption model
- Broken stick model
- Zipf model
- Zipf–Mandelbrot model
3.5.3. Volkov Neutral Model
3.6. Model Fit Test
3.6.1. Statistical Tests
3.6.2. AIC
3.7. 95% Confidence Interval Test
3.8. Data Processing
4. Results
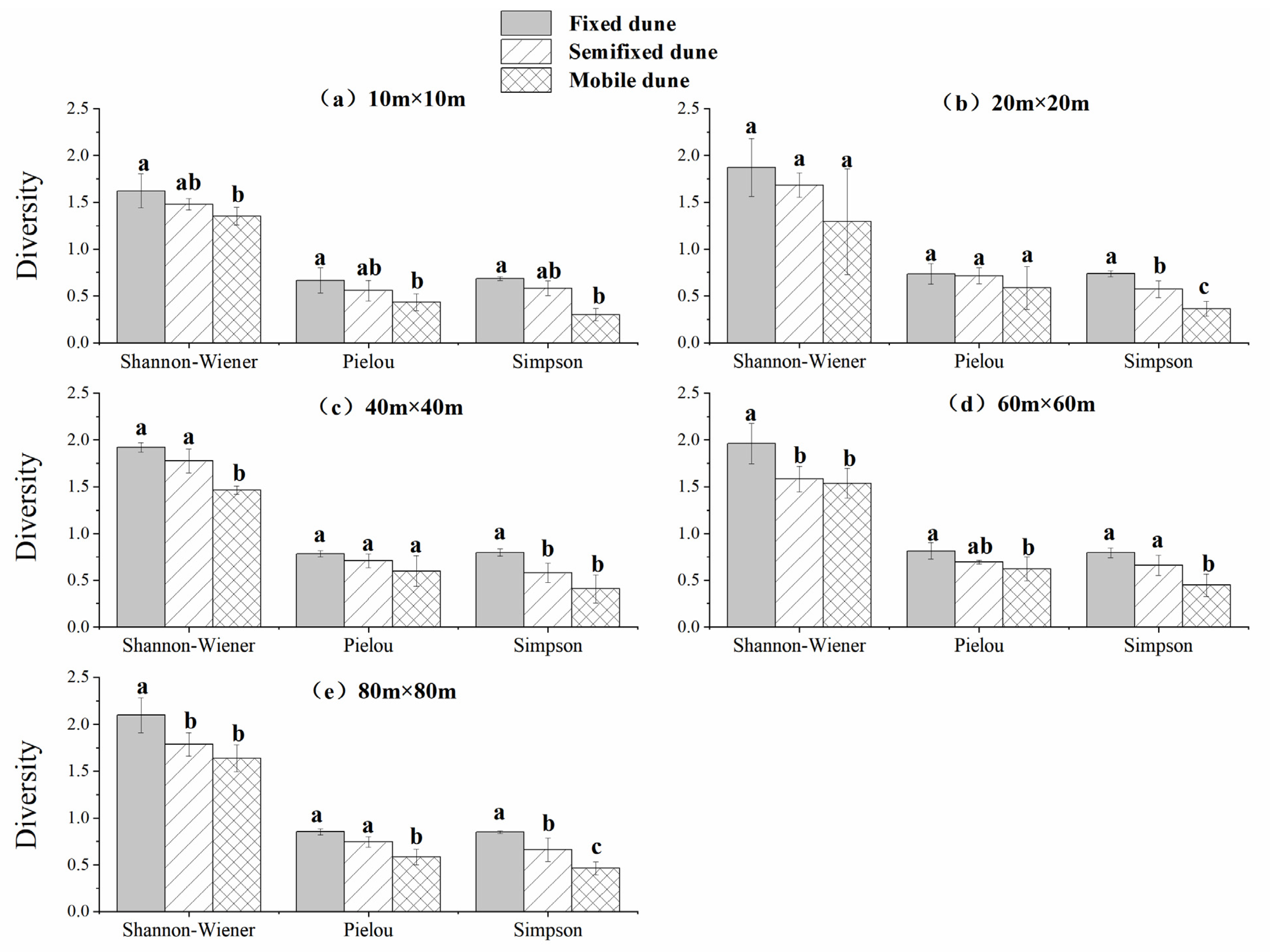
4.1. Soil Salinity and Water Content in Different Dune Habitats
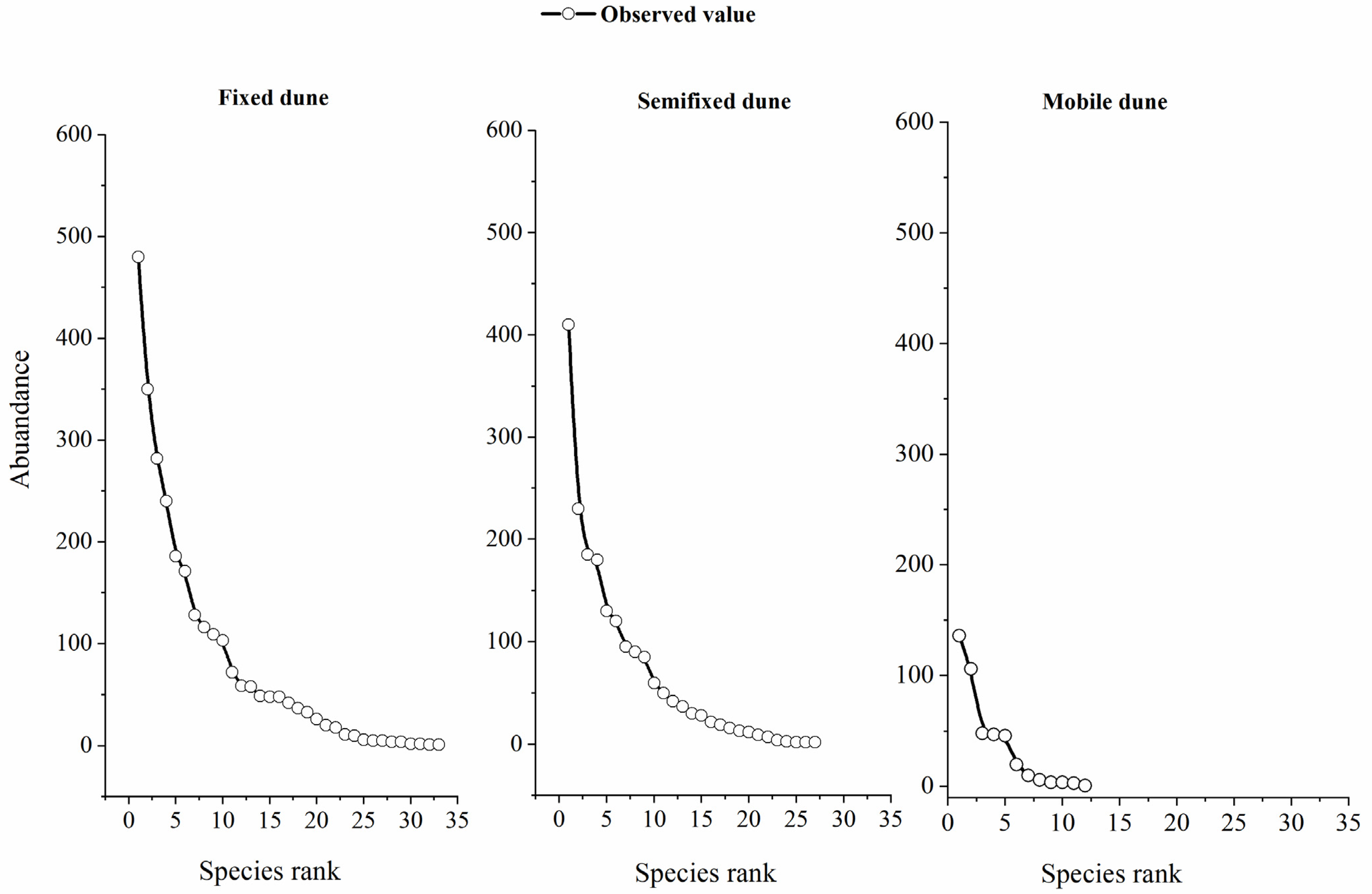
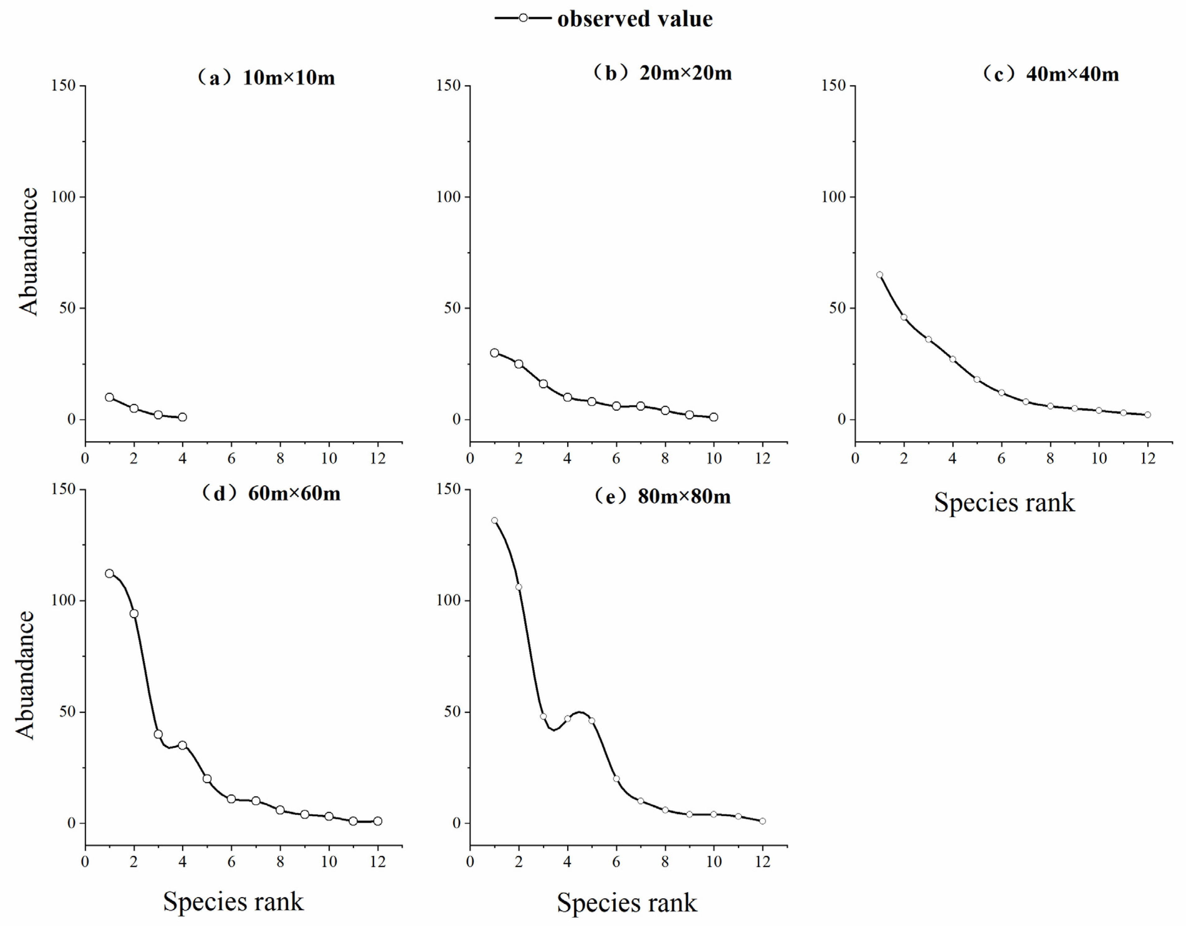
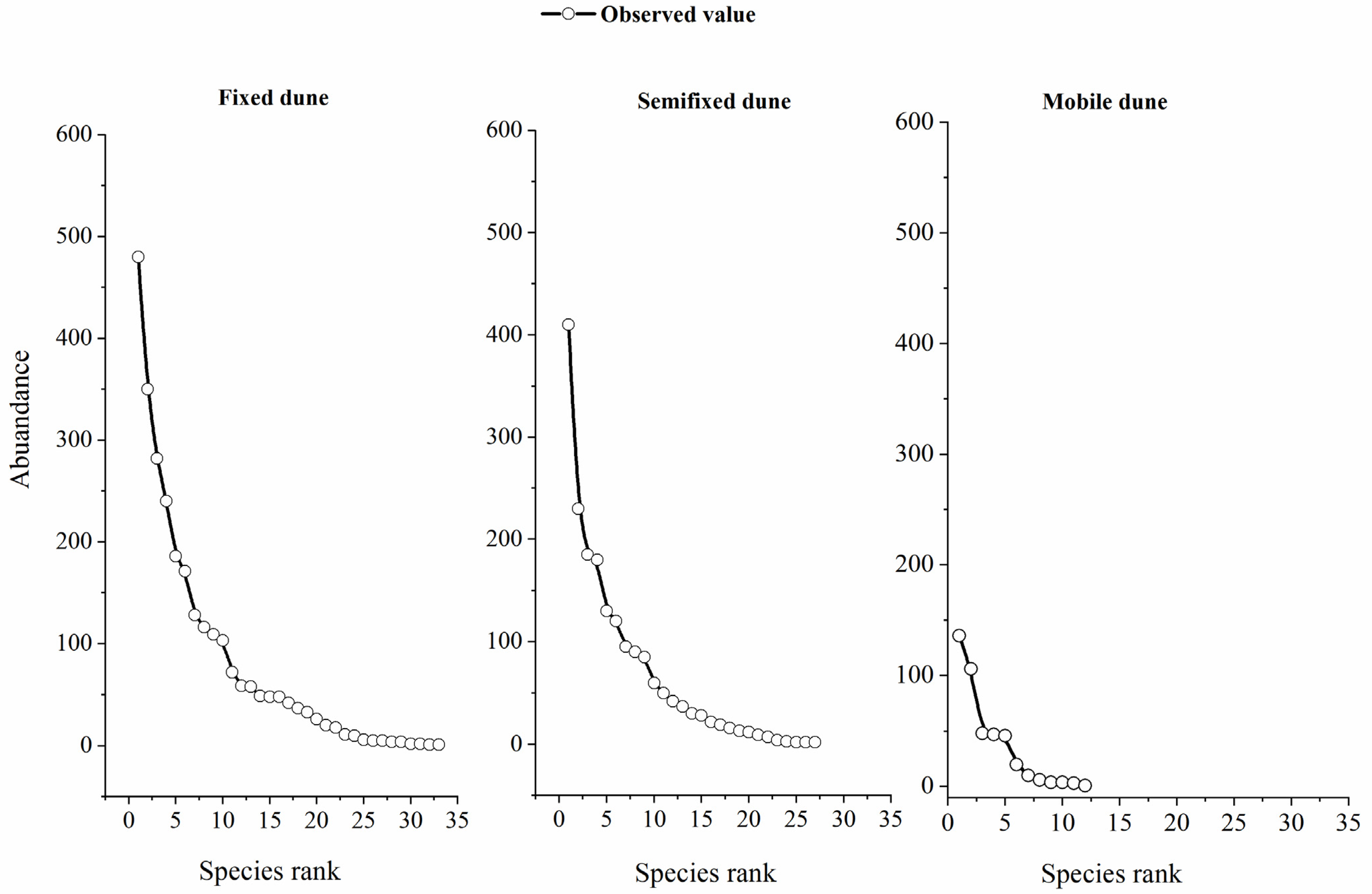
4.2. Species-Abundance Distribution by Habitat
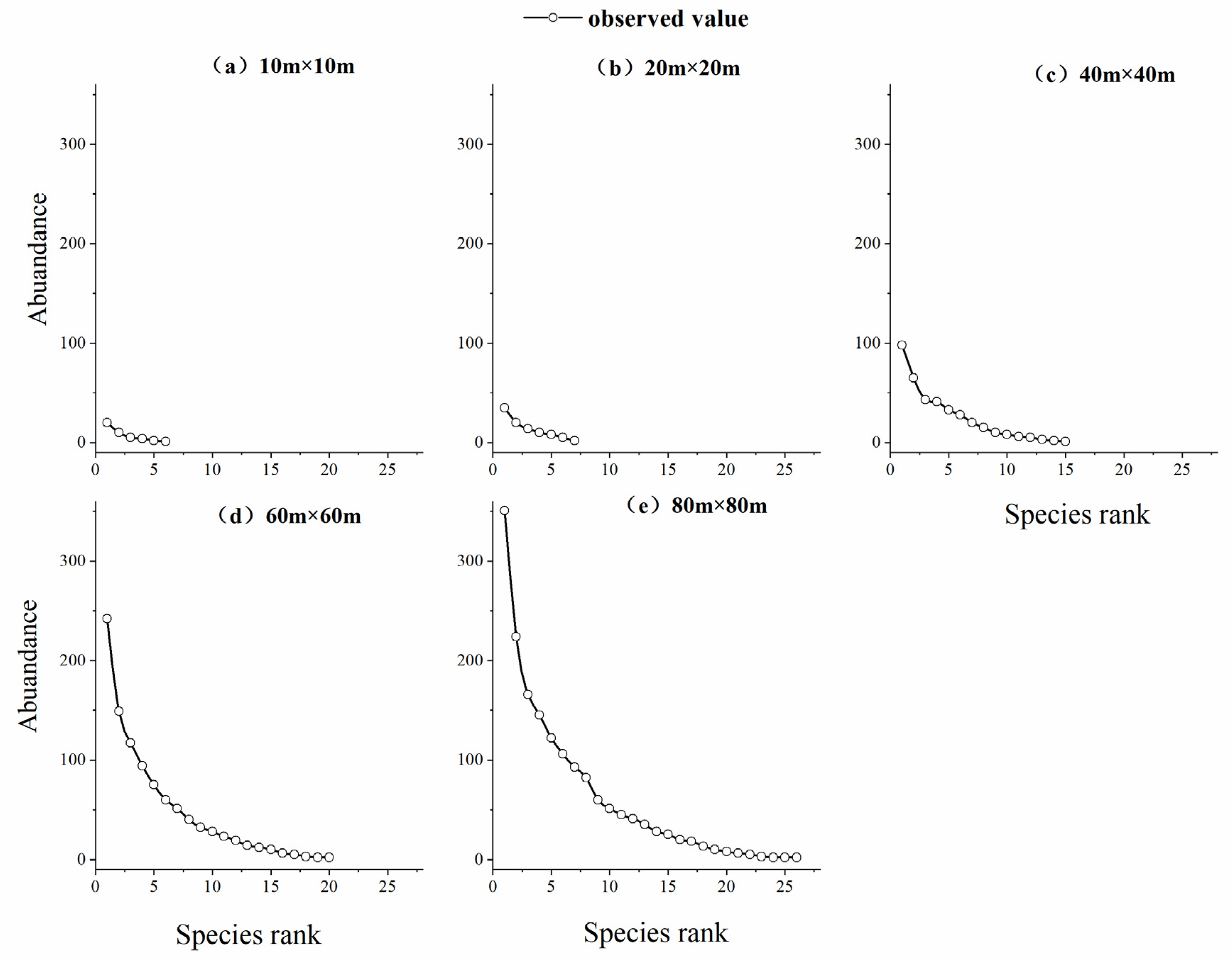
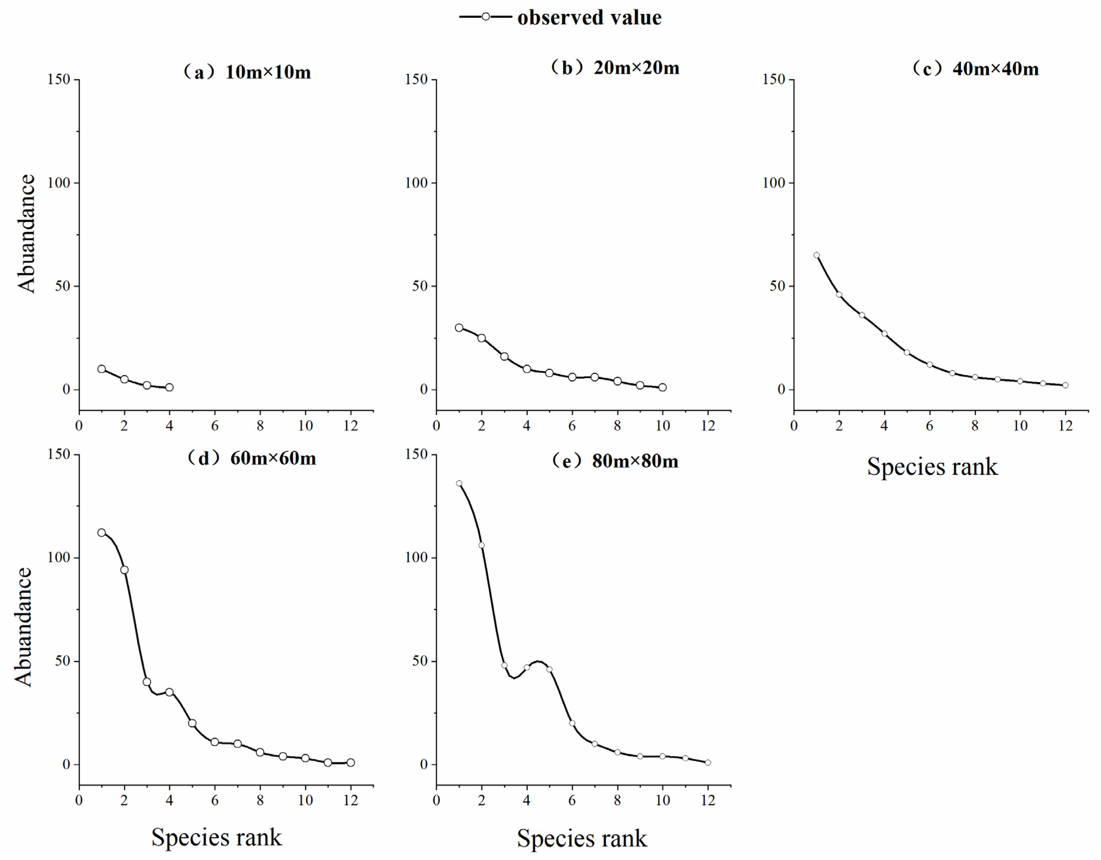
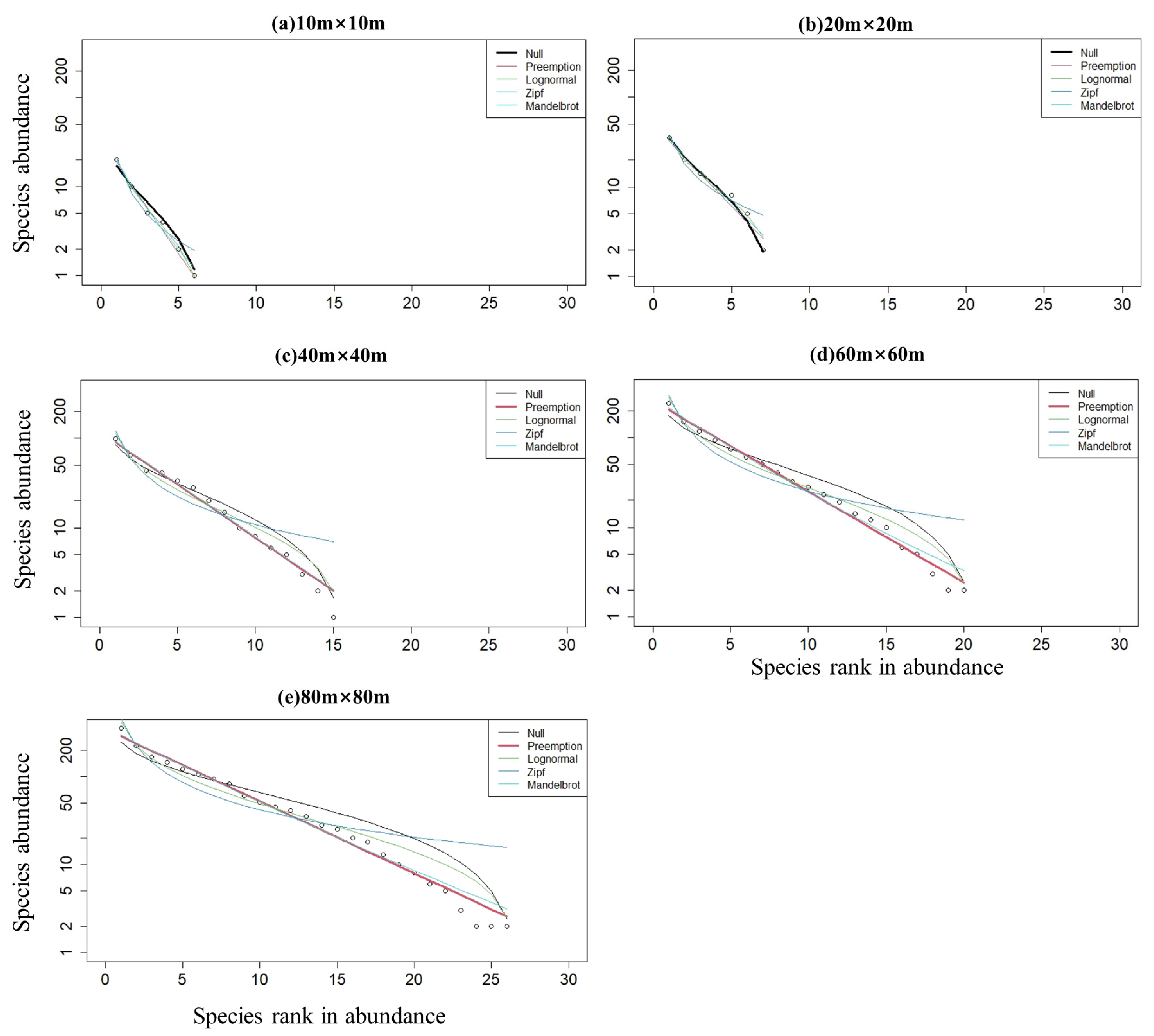
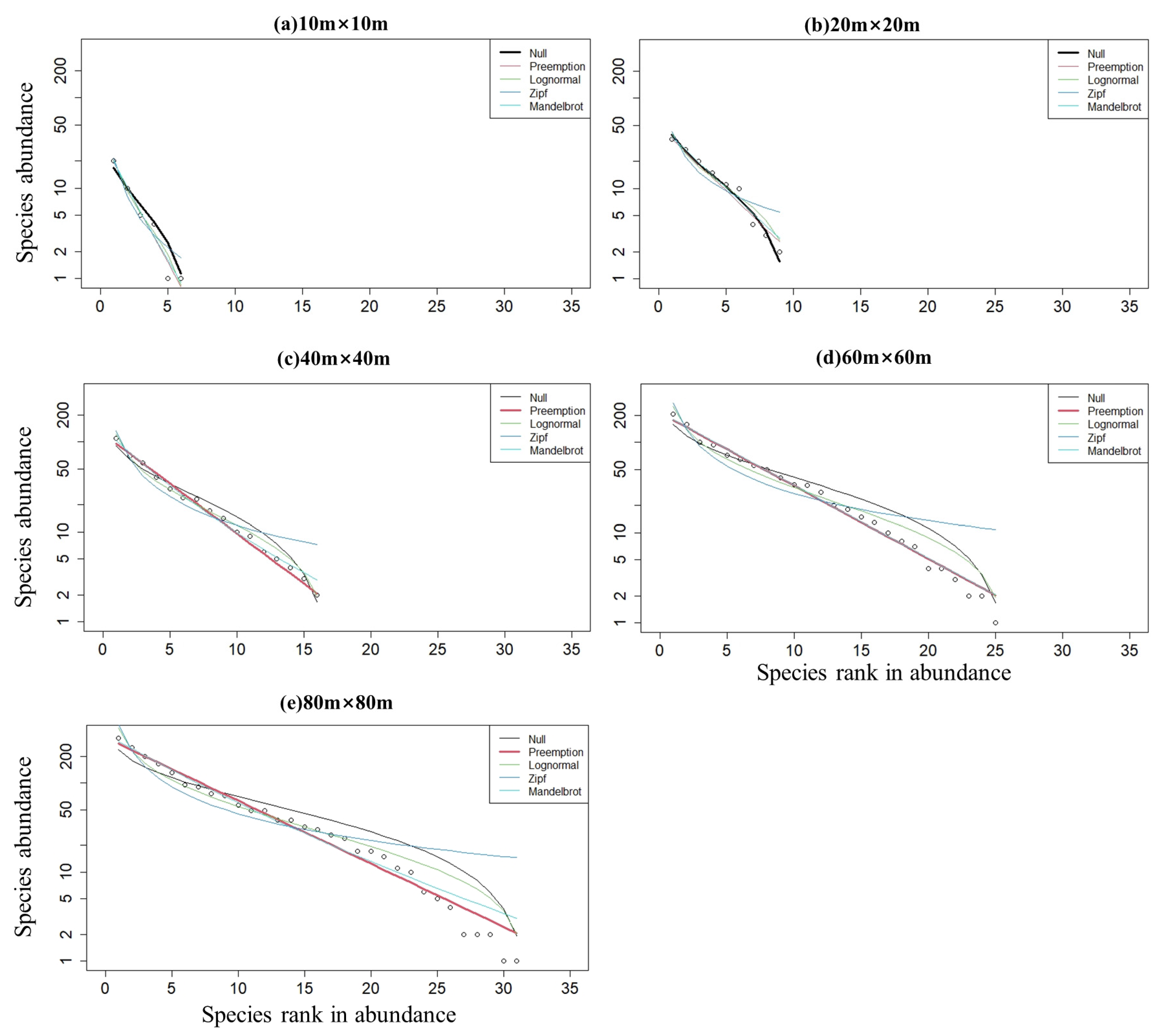
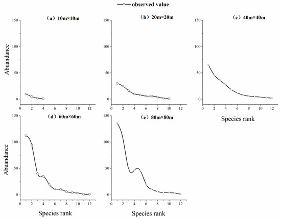
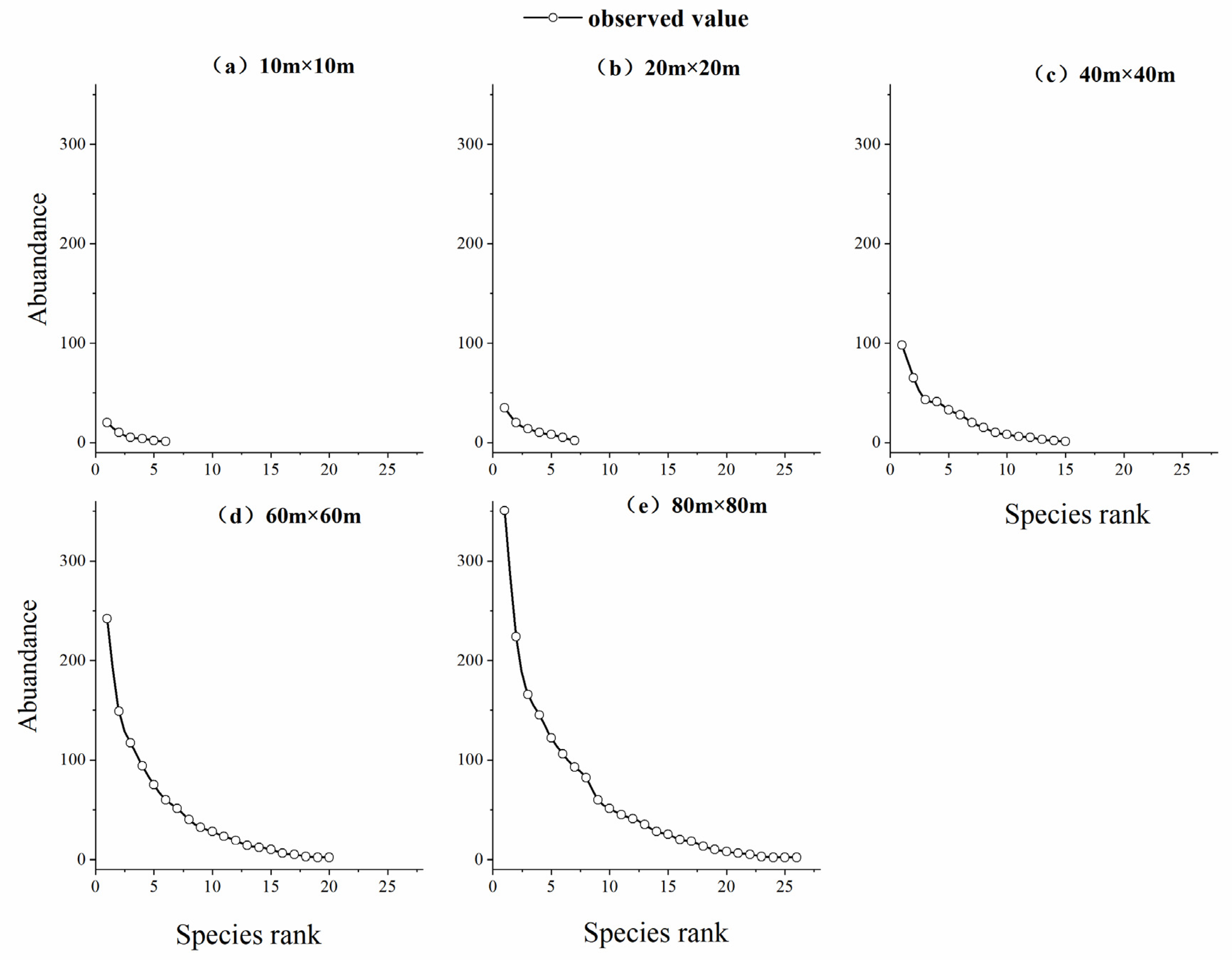
4.3. Species-Abundance Distribution at Different Scales
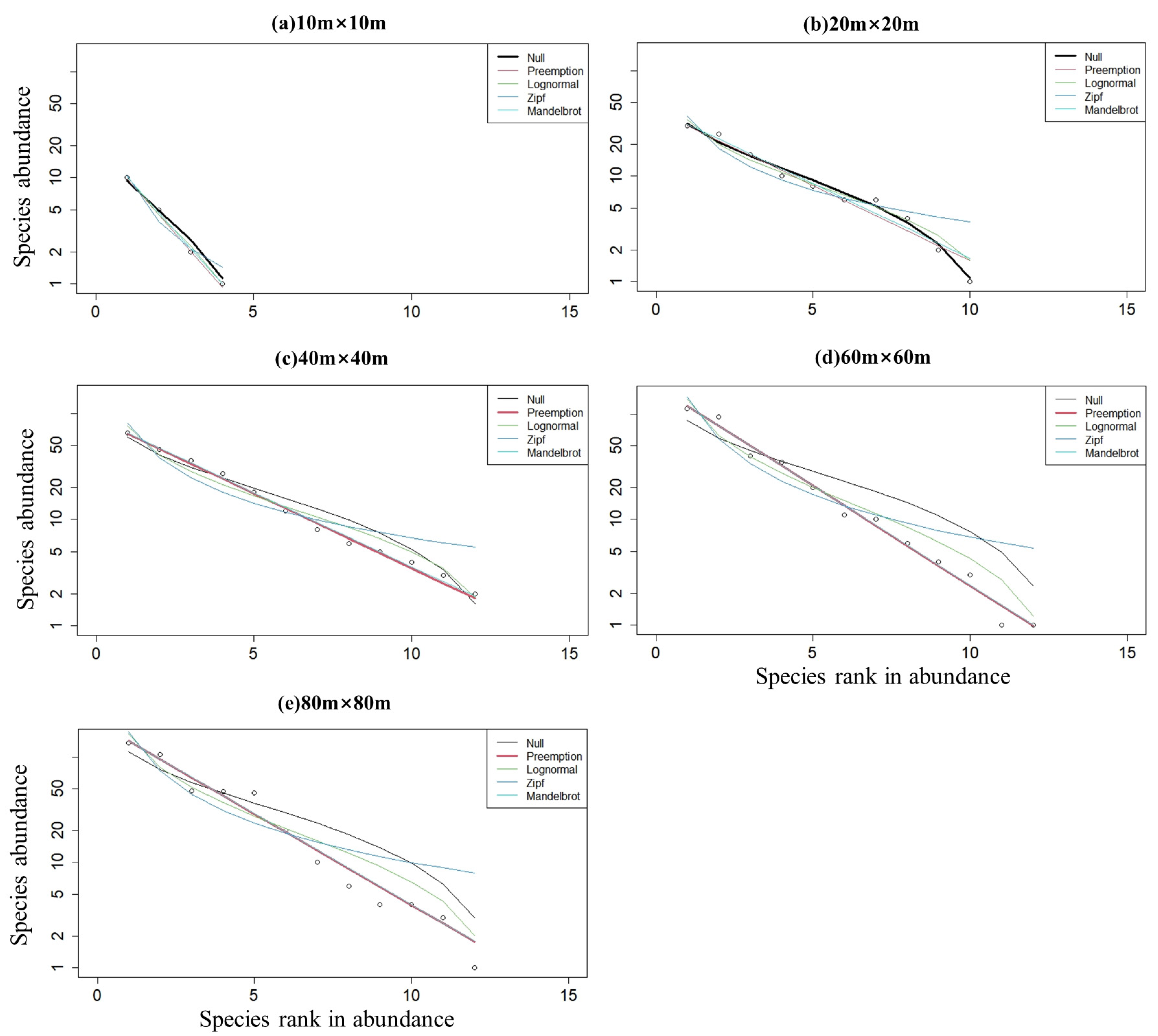
4.4. Species-Abundance Distribution Pattern Curve Fitting in Different Habitats
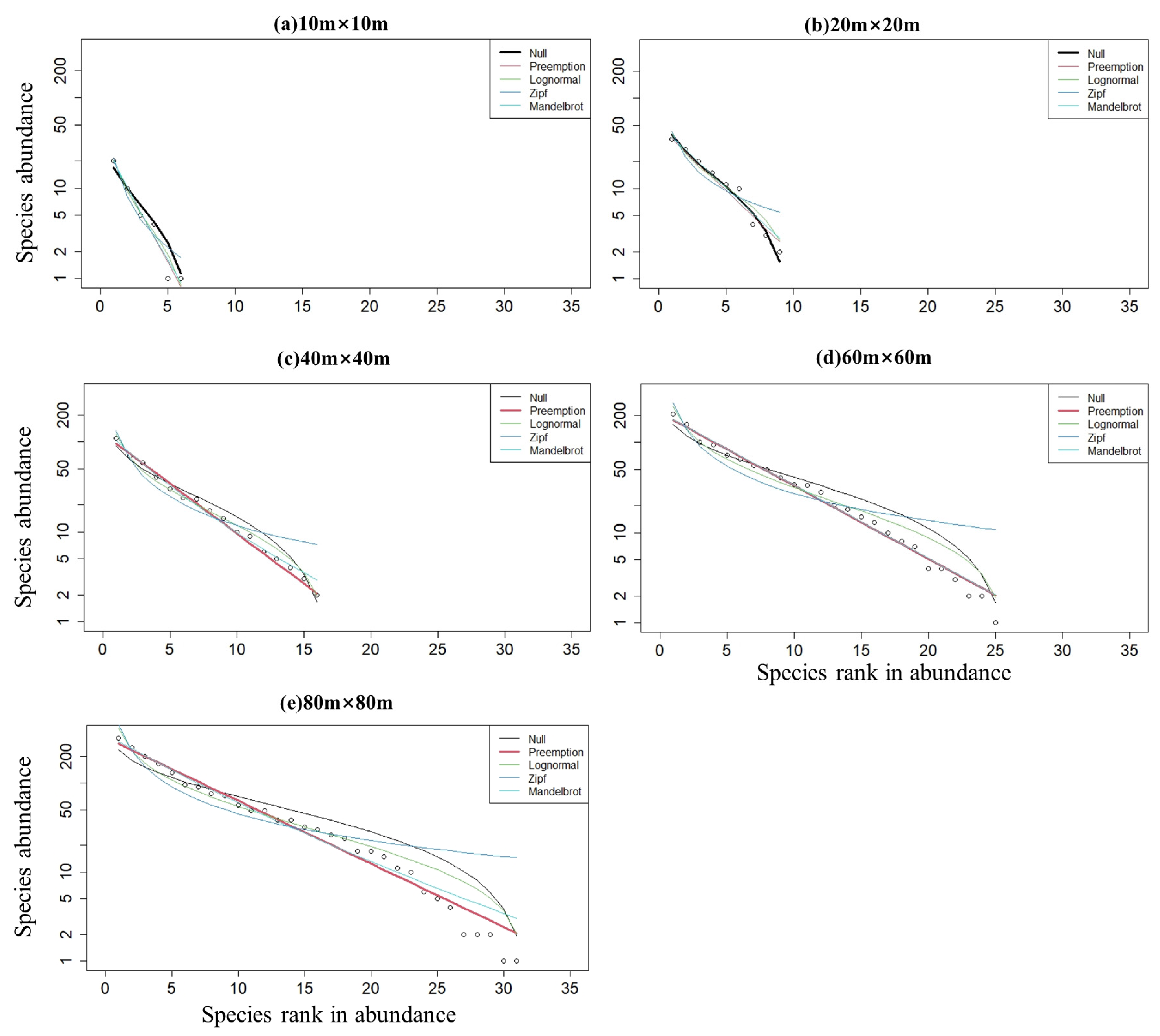
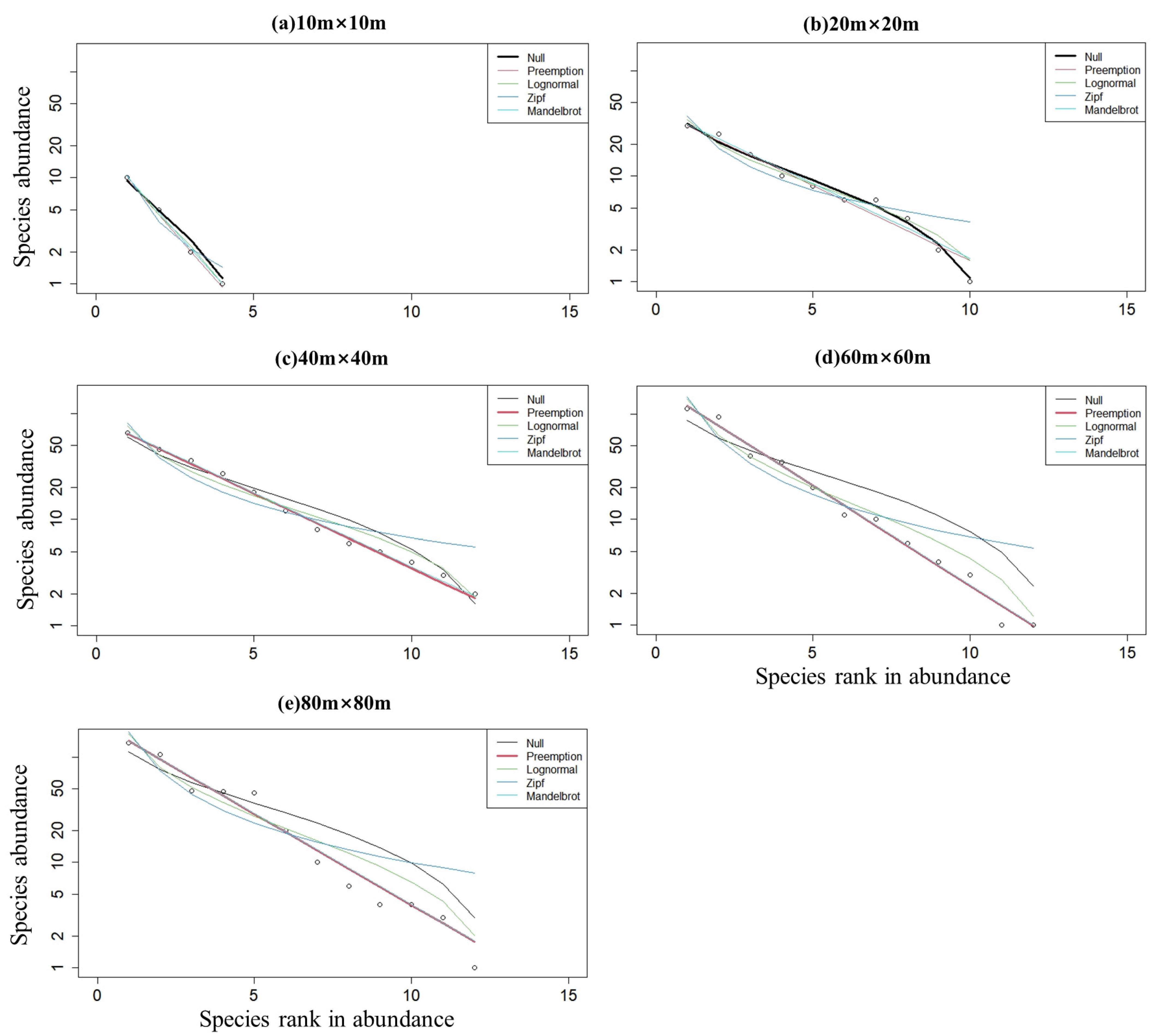
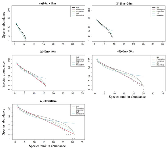
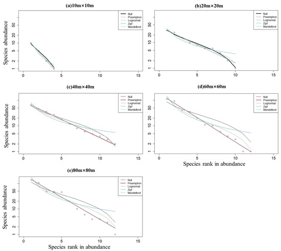
4.5. Fitting Species-Abundance Distribution Curves at Different Scales
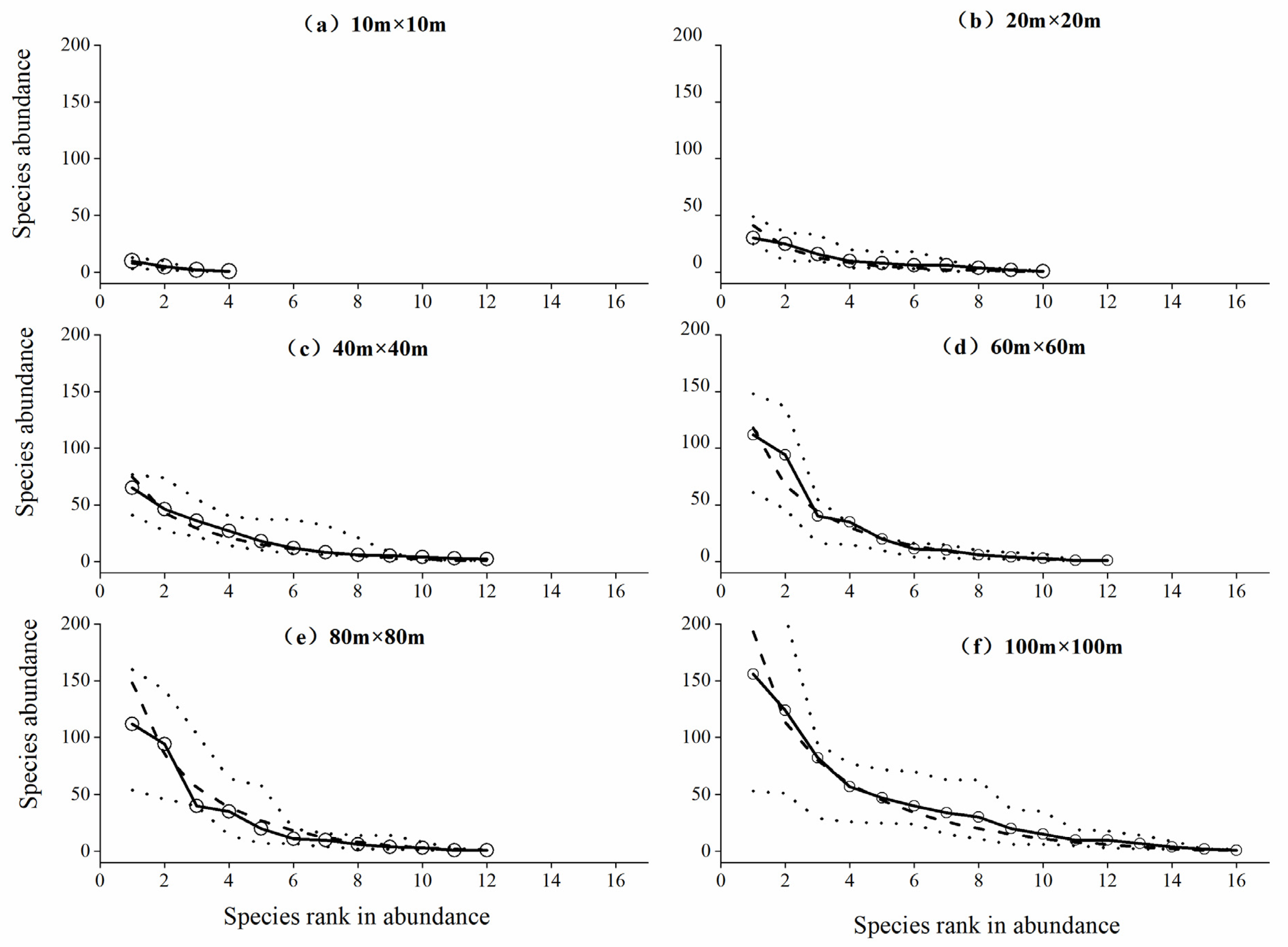
4.6. Neutral Theory Test
5. Discussion
5.1. Species-Abundance Distribution Patterns
5.2. Ecological Processes in Dune Habitats at Different Scales
5.3. Ecological Processes in Different Dune Habitats
5.4. The Embodiment of the Community Niche-Neutral Continuum
Author Contributions
Funding
Institutional Review Board Statement
Informed Consent Statement
Data Availability Statement
Conflicts of Interest
References
- Guisan, A.; Thuiller, W.; Zimmermann, N.E. Habitat Suitability and Distribution Models: With Applications in R; Cambridge University Press: Cambridge, UK, 2017. [Google Scholar]
- Ren, P.; Wang, X.A.; Guo, H. Species abundance distribution pattern of forest communities on Loess Plateau. Chin. J. Ecol. 2009, 29, 1449–1455. [Google Scholar]
- Shi, J.M.; Fan, C.F.; Liu, Y.; Yang, Q.P.; Fang, K.; Fan, F.L.; Yang, G.Y. Species-abundance distribution patterns along succession series of Phyllostachys glauca forest in a limestone mountain. J. Appl. Ecol. 2015, 26, 3595–3601. [Google Scholar]
- McGill, B.J.; Rampal, S.; Etienne, R.S.; Gray, J.S.; Alonso, D.; Anderson, M.J.; Benecha, H.K.; Dornelas, M.; Enquist, B.J.; Green, J.L.; et al. Species abundance distributions: Moving beyond single prediction theories to integration within an ecological framework. Ecol. Lett. 2007, 10, 995–1015. [Google Scholar] [CrossRef] [PubMed]
- Borda-de-Água, L.; Borges, P.A.V.; Hubbell, S.P.; Pereira, H.M. Spatial scaling of species abundance distributions. Ecography 2012, 35, 549–556. [Google Scholar] [CrossRef]
- Baldridge, E.; Harris, D.J.; Xiao, X.; White, E.P. An extensive comparison of species-abundance distribution models. Peer J. 2016, 4, e2823. [Google Scholar] [CrossRef]
- Liu, M.X.; Li, Q.D.; Jang, X.X.; Xia, S.J.; Nan, X.N.; Zhang, Y.Y.; Li, B.W. Contribution of rare species to species diversity and species abundance distribution pattern in the Gannan subalpine meadow. Biodivers. Sci. 2020, 28, 107. [Google Scholar]
- Leibovich, N.; Rothschild, J.; Goyal, S.; Zilman, A. Phenomenology and dynamics of competitive ecosystems beyond the niche-neutral regimes. arXiv 2022, arXiv:2205.02650v1. [Google Scholar]
- Hou, Z.; Lv, G.; Jiang, L. Functional diversity can predict ecosystem functions better than dominant species: The case of desert plants in the Ebinur Lake Basin. Sustainability 2021, 13, 2858. [Google Scholar] [CrossRef]
- Ulrich, W.; Soliveres, S.; Thomas, A.D.; Dougill, A.J.; Maestre, F.T. Environmental correlates of species rank—Abundance distributions in global drylands. Perspect. Plant Ecol. Evol. Syst. 2016, 20, 56–64. [Google Scholar] [CrossRef]
- Zhang, X.N.; Yang, X.D.; Lü, G.H. Diversity patterns and response mechanisms of desert plants to the soil environment along soil water and salinity gradients. Acta Ecol. Sin. 2016, 36, 3206–3215. [Google Scholar]
- Mitchell, E.G.; Harris, S.; Kenchington, C.G.; Vixseboxse, P.; Roberts, L.; Clark, C.; Dennis, A.; Liu, A.G.; Wilby, P.R. The importance of neutral over niche processes in structuring Ediacaran early animal communities. Ecol. Lett. 2019, 22, 2028–2038. [Google Scholar] [CrossRef] [PubMed]
- Vergnon, R.; van Nes, E.H.; Scheffer, M. Interpretation and predictions of the Emergent neutrality model: A reply to Barabás et al. Oikos 2013, 122, 1573–1575. [Google Scholar] [CrossRef]
- Matthews, T.J.; Whittaker, R.J. Neutral theory and the species abundance distribution: Recent developments and prospects for unifying niche and neutral perspectives. Ecol. Evol. 2014, 4, 2263–2277. [Google Scholar] [CrossRef] [PubMed]
- Kang, J.P. Study on the Spatial Pattern Dynamics and Construction Assembly of Populus Euphratica Communities in the Upper Reaches of Tarim River; Tarim University: Alar, China, 2021. [Google Scholar]
- Matthews, T.J.; Whittaker, R.J. On the species abundance distribution in applied ecology and biodiversity management. J. Appl. Ecol. 2015, 52, 443–454. [Google Scholar] [CrossRef]
- Kunduz, S.; Lü, G.H.; Jiang, L.M.; Wang, H.F.; Wang, J.L. Responses of species abundance distribution to varying sampling scales in a desert plant community in the Ebinur Lake Basin. Arid. Zone Res. 2020, 37, 1273–1283. [Google Scholar]
- Fisher, R.A.; Corbet, A.S.; Williams, C.B. The relation between the number of species and the number of individuals in a random sample of an animal population. J. Anim. Ecol. 1943, 12, 42–58. [Google Scholar] [CrossRef]
- Preston, F.W. The commonness, and rarity, of species. Ecology 1948, 29, 254–283. [Google Scholar] [CrossRef]
- Zhou, S.Y.; Zhang, D.Y. Neutral theory in community ecology. J. Plant Ecol. 2006, 30, 868–877. [Google Scholar] [CrossRef]
- Takolander, A.; Hickler, T.; Meller, L.; Caneza, M. Comparing future shifts in tree species distributions across Europe projected by statistical and dynamic process-based models. Reg. Environ. Chang. 2019, 19, 251–266. [Google Scholar] [CrossRef]
- Ulrich, W.; Matthews, T.J.; Biurrun, I.; Campos, J.A.; Czortek, P.; Dembicz, I.; Essl, F.; Filibeck, G.; Galdo, G.-P.G.D.; Güler, B.; et al. Environmental drivers and spatial scaling of species abundance distributions in Palaearctic grassland vegetation. Ecology 2022, 103, 3725. [Google Scholar] [CrossRef]
- Duan, Y.Z.; Wang, C.; Wang, H.T.; Du, Z.Y.; He, Y.M.; Chai, G.Q. Predicting the potential distribution of Ammopiptanthus species in China under different climates using ecological niche models. Acta Ecol. Sin. 2020, 40, 7668–7680. [Google Scholar]
- Motomura, I. On the statistical treatment of communities. Zool Mag. 1932, 44, 379–383. [Google Scholar]
- MacArthur, R.H. On the relative abundance of bird species. Proc. Natl. Acad. Sci. USA 1957, 43, 293. [Google Scholar] [CrossRef] [PubMed]
- Hubbell, S.P. The Unified Neutral Theory of Biodiversity and Biogeography (MPB-32); Princeton University Press: Princeton, NJ, USA, 2011. [Google Scholar]
- Zhang, S. Study on the Maintenance Mechanisms of Species Diversity in the Natural Old Growth Tropical Forests on Hainan Island, China; Chinese Academy of Forestry Sciences: Beijing, China, 2017. [Google Scholar]
- Yang, X.; Lin, W.; Wu, J. The species-abundance distribution pattern of broad-leaved Korean pine forest in the Lesser Khingan mountains. J. Cent. South Univ. For. Technol. 2020, 40, 104–113. [Google Scholar]
- Carmel, Y.; Suprunenko, Y.F.; Kunin, W.E.; Kent, R.; Belmaker, J.; Bar-Massada, A.; Cornell, S.J. Using exclusion rate to unify niche and neutral perspectives on coexistence. Oikos 2017, 126, 1451–1458. [Google Scholar] [CrossRef]
- Chen, B.D.; Li, X.J.; Xu, T.J.; Xie, W. Advances in the biogeography of arbuscular mycorrhizal fungi. Acta Ecol. Sin. 2018, 38, 1167–1175. [Google Scholar]
- Güler, B.; Jentsch, A.; Apostolova, I. How plot shape and spatial arrangement affect plant species richness counts: Implications for sampling design and rarefaction analyses. J. Veg. Sci. 2016, 27, 692–703. [Google Scholar] [CrossRef]
- Cheng, J.; Mi, X.; Nadrowski, K.; Ren, H.B.; Zhang, J.T.; Ma, K.P. Separating the effect of mechanisms shaping species-abundance distributions at multiple scales in a subtropical forest. Oikos 2012, 121, 236–244. [Google Scholar] [CrossRef]
- Tan, L.; Zhang, P.; Zhao, X.; Fan, C.; Zhang, C.; Yan, Y.; Von, G.K. Analysing species abundance distribution patterns across sampling scales in three natural forests in Northeastern China. iForest 2020, 13, 482–489. [Google Scholar] [CrossRef]
- Wu, A.; Deng, X.; He, H.; Ren, X.L.; Jing, Y.R.; Xiang, W.H.; Ouyang, S.; Yan, W.D.; Fang, X. Responses of species abundance distribution patterns to spatial scaling in subtropical secondary forests. Ecol. Evol. 2019, 9, 5338–5347. [Google Scholar] [CrossRef]
- Zhu, Q.; Ai, X.; Yao, L.; Zhu, J.; Peng, Z. Species abundance distribution pattern of evergreen and deciduons broad -leaved mixed forest in the Subtropical Mountains of southwestern Hubei. Acta Bot. Boreali-Occident. Sin. 2020, 40, 1061–1069. [Google Scholar]
- Spake, R.; Mori, A.S.; Beckmann, M.; Martin, P.A.; Christie, A.P.; Duguid, M.C.; Doncaster, C.P. Implications of scale dependence for cross-study syntheses of biodiversity differences. Ecol. Lett. 2021, 24, 374–390. [Google Scholar] [CrossRef] [PubMed]
- Gabrielsen, C.G.; Murphy, M.A.; Jeffrey, S.E. Testing the effect of wetland spatiotemporal variability on amphibian occurrence across scales. Landsc. Ecol. 2022, 37, 477–492. [Google Scholar] [CrossRef]
- Baldeck, C.A.; Harms, K.E.; Yavitt, J.B.; John, R.; Turner, B.L.; Valencia, R.; Navarrete, H.; Davies, S.J.; Chuyong, G.B.; Kenfack, D.; et al. Soil resources and topography shape local tree community structure in tropical forests. Proc. R. Soc. B Biol. Sci. 2013, 280, 20122532. [Google Scholar] [CrossRef] [PubMed]
- Ahmad, Z.; Khan, S.M.; Abd_Allah, E.F.; Alqarawi, A.A.; Hashem, A. Weed species composition and distribution pattern in the maize crop under the influence of edaphic factors and farming practices: A case study from Mardan, Pakistan. Saudi J. Biol. Sci. 2016, 23, 741–748. [Google Scholar] [CrossRef] [PubMed]
- Bano, S.; Khan, S.M.; Alam, J.; Alqarawi, A.A.; Abd_Allah, E.F.; Ahmad, Z.; Hashem, A. Eco-floristic studies of native plants of the beer hills along the indus river in the districts Haripur and Abbottabad, Pakistan. Saudi J. Biol. Sci. 2018, 25, 801–810. [Google Scholar] [CrossRef] [PubMed]
- Metzen, D.; Sheridan, G.J.; Benyon, R.G.; Bolstad, P.V.; Griebel, A.; Lane, P.N. Spatio-temporal transpiration patterns reflect vegetation structure in complex aupland terrain. Sci. Total Environ. 2019, 694, 133551. [Google Scholar] [CrossRef] [PubMed]
- He, G.; Zhang, Z.; Zhang, J.; Huang, X. Stoichiometric characteristics of nutrients in a soil-vegetation system of the rare plant Davidia involucrata Baill. Glob. Ecol. Conserv. 2020, 24, e01266. [Google Scholar] [CrossRef]
- Zhang, J.; Luo, J.; DeLuca, T.H.; Wang, G.; Sun, S.; Sun, X.; Zhang, W. Biogeochemical stoichiometry of soil and plant functional groups along a primary successional gradient following glacial retreat on the eastern Tibetan plateau. Glob. Ecol. Conserv. 2021, 26, e01491. [Google Scholar] [CrossRef]
- Bohlman, S.A.; Laurance, W.F.; Laurance, S.G.; Nascimento, H.E.M.; Fearnside, P.M.; Andrade, A. Importance of soils, topography and geographic distance in structuring central Amazonian tree communities. J. Veg. Sci. 2008, 19, 863–874. [Google Scholar]
- Hu, D.; Lu, G.; Wang, H.; Yang, Q.; Cai, Y. Response of desert plant diversity and stability to soil factors based on water gradient. Acta Ecol. Sin. 2021, 41, 6738–6748. [Google Scholar]
- Rahman, A.U.; Khan, S.M.; Ahmad, Z.; Alamri, S.; Hashem, M.; Ilyas, M.; Aksoy, A.; Dülgeroğlu, C.; Khan, G.; Ali, S. -Impact of multiple environmental factors on species abundance in various forest layers using an integrative modeling approach. Glob. Ecol. Conserv. 2021, 29, e01712. [Google Scholar] [CrossRef]
- Djordjević, V.; Spyros, T. The role of ecological factors in distribution and abundance of terrestrial orchids. In Orchids Phytochemistry, Biology and Horticulture; Mérillon, J.-M., Kodja, H., Eds.; Springer: Cham, Switzerland, 2022; pp. 3–72. [Google Scholar]
- Ma, X.; Wu, L.; Liu, D.; Ma, M. Impacts of habitat fragmentation on biological characteristics of Alhagi sparsifolia populations at the southern margin of the Gurbantünggüt Desert. Acta Ecol. Sin. 2021, 41, 4935–4941. [Google Scholar]
- Jia, F.Q.; Ren, J.J.; Zhang, Y.M. Effect of slope aspect and terrain of sand dune on herbaceous diversity in Gurbantünggüt desert. Chin. J. Ecol. 2018, 37, 26–34. [Google Scholar]
- Duan, C.; Wu, L.; Wang, S.; He, L. Analysis of Spatiotemporal patterns of ephemeral plants in the Gurbantünggüt Desert over the last 30 years. Acta Ecol. Sin. 2017, 37, 2642–2652. [Google Scholar]
- Li, G.L.; Zhang, D.H.; Zhang, Z.S.; Hu, Y.G.; Huang, L.; Lu, L.N. Population dynamics of main sand-fixing shrubs in the Gurbantünggüt Desert. J. Desert Res. 2021, 41, 129–137. [Google Scholar]
- Yuan, Z. The Study on Species Abundance Distribution and Main Species Spatial Point Patterns of Bothriochloa ischaemun Community in the Loess Hilly and Gully Region, China; Northwest A&F University: Xianyang, China, 2012. [Google Scholar]
- Dong, Z.W.; Li, S.Y.; Mao, D.L.; Lei, S. Distribution pattern of soil grain size in Tamarix Sand Dune in the southwest of Gurbantünggüt Desert. J. Soil Water Conserv. 2021, 35, 64–72. [Google Scholar]
- Gou, B.W.; Wei, B.; Ma, S.M.; Nie, Y.L. Distribution characteristics of soil nutrients in roots of Haloxylon ammodendron in southern margin of Gurbantünggüt Desert. Southwest China J. Agric. Sci. 2020, 33, 1229–1234. [Google Scholar]
- Guo, T.; Yu, H. Summary of soil moisture content. Inn. Mong. Sci. Technol. Econ. 2018, 2018, 66–67. [Google Scholar]
- Bao, S. Soil Agrochemical Analysis; China Agricultural Press: Beijing, China, 2000. [Google Scholar]
- Fang, J.Y.; Wang, X.P.; Shen, Z.H.; Tang, Z.Y.; He, J.S.; Yu, D.; Jiang, Y.; Wang, Z.H.; Zheng, C.Y.; Zhu, J.L.; et al. Methods and protocols for plant community inventory. Biodivers. Sci. 2009, 17, 533. [Google Scholar]
- Chen, S.; Zhang, X.; She, D.; Zhang, Z.; Zhou, Z.; Wang, H.; Wang, W. Effects of plant species diversity, dominant species importance, and soil properties on glomalin-related soil protein. Biodivers. Sci. 2022, 30, 51–63. [Google Scholar] [CrossRef]
- Hill, M.O. Diversity and evenness: A unifying notation and its consequences. Ecology 1973, 54, 427–432. [Google Scholar] [CrossRef]
- Chen, T.G.; Zhang, J.T. A comparison of fifteen species diversity indices. Henan Sci. 1999, 17, 55–57, 71. [Google Scholar]
- May, R.M. Patterns of species abundance and diversity. Ecol. Evol. Communities 1975, 40, 81–120. [Google Scholar]
- Peng, S.; Yin, Z.; Ren, H.; Guo, Q.F. Advances in research on the species-abundance relationship models in multi-species collection. Acta Ecol. Sin. 2003, 23, 1590–1605. [Google Scholar]
- Su, Q. Analyzing fractal property of species abundance distribution in a community. Adv. Earth Sci. 2015, 30, 1144. [Google Scholar]
- Akaike, H. A new look at the statistical model identification. IEEE Trans. Autom. Control. 1974, 19, 716–723. [Google Scholar] [CrossRef]
- Walker, S.C.; Cyr, H. Testing the standard neutral model of biodiversity in lake communities. Oikos 2007, 116, 143–155. [Google Scholar] [CrossRef]
- Kang, J.; Han, L.; Feng, C.; Wang, H. Species abundance distribution in two riparian forests under contrasting environmental regimes in the Tarim Desert. Biodivers. Sci. 2021, 29, 875. [Google Scholar] [CrossRef]
- Cao, Y.; Mao, D.; Xue, J.; Su, S.; Kaimerguli, A.; Cai, Y.Y. Dynamic changes and driving factors of vegetation cover in the oasis-desert ecotone: A case study of Cele, Xinjiang. Arid. Zone Res. 2022, 3902, 510–521. [Google Scholar]
- Han, L.; Wang, J.Q.; Wang, H.Z.; Niu, J.; Yu, J. Niche and spatial distribution pattern analysis of the main populations of the Tarim desert-oasis ecotone. Plant Sci. J. 2016, 34, 352–360. [Google Scholar]
- Chen, J.; Ai, X.; Yao, L.; Chen, S.Y. Responses of species-abundance distribution to varying sampling scales in a typical forest community in Mulinzi Nature Reserve. J. Hubei Univ. Natl. Nat. Sci. Ed. 2018, 36, 130–133. [Google Scholar]
- Zhang, J.; Cheng, K.; Zang, R. The spatial distribution patterns and associations of the principal trees and shrubs in a natural tropical coniferous forest on Hainan Island, China. Biodivers. Sci. 2014, 22, 129. [Google Scholar]
- Shen, Z.H.; Fang, J.Y.; Liu, Z.L.; Wu, J. Patterns of biodiversity along the vertical vegetation spectrum of the east aspect of Gongga Mountain. Chin. J. Plant Ecol. 2001, 25, 721. [Google Scholar]
- Feng, L. Spatial Characteristics of Soil Chemical and Physical Property Influenced Distribution of Plant Diversity in Gurbantünggüt Desert; Shihezi University: Shihezi, China, 2015. [Google Scholar]
- Qian, Y.B.; Wu, Z.N.; Zhang, L.Y.; Shi, Q.D.; Jiang, J.; Tang, L.S. Impact of eco environment on vegetation community pattern in Gurbantünggüt Desert. Acta Geogr. Sin. 2004, 59, 895–902. [Google Scholar]
- Antunes, A.C.; Gauzens, B.; Brose, U.; Potapov, A.M.; Jochum, M.; Santini, L.; Eisenhauer, N.; Ferlian, O.; Cesarz, S.; Scheu, S.; et al. Global environmental drivers of local abundance-mass scaling in soil animal communities. bioRxiv 2022. [Google Scholar] [CrossRef]
- Huang, Y.R.; Ma, Y.B.; Li, Y.H.; Duan, R.B.; Liu, Y.; Dong, X.; Han, C.X.; Hao, X.T. Relationships between soil factors and sap flow of Tamarix chinensis Lour. at Different Time Scales. Xinjiang Agric. Sci. 2022, 59, 1697–1707. [Google Scholar]
- Qian, Y.B.; Wu, Z.N.; Zhang, L.Y.; Zhao, R.F.; Wang, X.Y.; Li, Y.M. Vegetation-environment relationships in Gurbantünggüt Desert. Acta Ecol. Sin. 2007, 27, 2802–2811. [Google Scholar]
- Ma, X.F.; Chu, X.Z.; Ma, Q.; Jin, W.G. Study on the Differences of Soil Characteristics in Root Zone of Haloxylon ammodendron in Various Dunes. Chin. J. Soil Sci. 2016, 47, 156–163. [Google Scholar]
- Han, L.; Wang, H.; Peng, J.; Mo, Z. Spatial distribution patterns and dynamics of major population in Populus euphratica forest in upper reaches of Tarim River. Acta Bot. Boreali-Occident. Sin. 2007, 27, 1668. [Google Scholar]
- Jia, M.Y.; Li, X.H.; Oh, C.H.; Park, H.C.; Miao, C.P.; Han, X. Spatial distribution pattern and allometric growth of three common species on moving sand dunes in Horqin Sandy Land, China. J. Appl. Ecol. 2015, 26, 2953–2960. [Google Scholar]
- Duffy, J.E. Why biodiversity is important to the functioning of real-world ecosystems. Front. Ecol. Environ. 2009, 7, 437–444. [Google Scholar] [CrossRef]
- Sun, X.L.; Kang, S.; Zhang, Q.; Chang, C.; Ma, W.; Niu, J. Relationship between species diversity, productivity, climatic factors and soil nutrients in the desert steppe. Acta Prataculturae Sin. 2015, 24, 10–19. [Google Scholar]
- Wu, Y.N.; Zheng, Y.M.; Wang, Y.; Wei, B.L.; Wu, C.P.; Shen, A.H.; Lu, X.K.; Zheng, F.D.; Yu, Z.C.; Ni, J.; et al. Relationship between the number of Cunninghamia lanceolata and community species diversity in abandoned Chinese fir forests. Acta Ecol. Sin. 2022, 42, 884–894. [Google Scholar]
- Yu, W.; Song, W.C.; Guo, Y.C.; Zhang, H.F.; Yan, Y.; Zhang, S.X. Species-abundance distribution patterns of Quercus aliena var. Acutiserrata forest in Taibai Mountain, China. Chin. J. Appl. Ecol. 2021, 32, 1717–1725. [Google Scholar]
- Liu, Z.Q. Maintenance Mechanisms of Species Diversity at Different Spatial Scales in Gaole Mountain National Nature Reserve; Henan Agricultural University: Zhengzhou, China, 2021. [Google Scholar]
- Stokes, C.J.; Archer, S.R. Niche differentiation and neutral theory: An integrated perspective on shrub assemblages in a parkland savanna. Ecology 2010, 91, 1152–1162. [Google Scholar] [CrossRef]
- Chisholm, R.A.; Pacala, S.W. Niche and neutral models predict asymptotically equivalent species abundance distributions in high-diversity ecological communities. Proc. Natl. Acad. Sci. USA 2010, 107, 15821–15825. [Google Scholar] [CrossRef]
- Zhang, L.M.; Chen, B.; Li, Z.Y. Analysis of the species diversity and community stability in local-community using the Neutral Theory. Acta Ecol. Sin. 2010, 30, 1556–1563. [Google Scholar]
- Laurance, W.F.; Ferreira, L.V.; Rankin-de, M.J.M.; Laurance, S.G. Rain forest fragmentation and the dynamics of Amazonian tree communities. Ecology 1998, 79, 2032–2040. [Google Scholar] [CrossRef]
- Shi, Y.F.; Zhang, Z.S.; Huang, L.; Hu, Y.G.; Li, J.; Yang, Y.G. Species composition and population structure of plant communities on semi-fixed dunes of the Gurbantünggüt Desert, China. J. Appl. Ecol. 2016, 27, 1024–1030. [Google Scholar]
- Wang, J.; Wang, W.; Li, J.; Feng, Y.; Wu, B.; Lu, Q. Biogeographic patterns and environmental interpretation of plant species richness in desert regions of Northwest China. Biodivers. Sci. 2017, 25, 1192–1201. [Google Scholar] [CrossRef]
- Kraft, N.J.B.; Ackerly, D.D. Assembly of plant communities. Ecol. Environ. 2014, 8, 67–88. [Google Scholar]
- Yang, J.; Liu, Q.R.; Wang, X.T. Plant community and soil nutrient of alpine meadow in different degradation stages on the Tibetan Plateau, China. J. Appl. Ecol. 2020, 31, 4067–4072. [Google Scholar]
- Matali, S.; Metali, F. Selected soil physico-chemical properties in the Acacia mangium plantation and the adjacent heath forest at Andulau Forest Reserve. Malays. J. Soil Sci. 2015, 19, 45–48. [Google Scholar]
- Gravel, D.; Canham, C.D.; Beaudet, M.; Messier, C. Reconciling niche and neutrality: The continuum hypothesis. Ecol. Lett. 2006, 9, 399–409. [Google Scholar] [CrossRef]
- May, F.; Huth, A.; Wiegand, T. Moving beyond abundance distributions: Neutral theory and spatial patterns in a tropical forest. Proc. R. Soc. B Biol. Sciences 2015, 282, 20141657. [Google Scholar] [CrossRef]
- Chu, C.J.; Wang, Y.S.; Du, G.Z.; Maestre, F.T.; Luo, Y.J.; Wang, G. On the balance between niche and neutral processes as drivers of community structure along a successional gradient: Insights from alpine and sub-alpine meadow communities. Ann. Bot. 2007, 100, 807–812. [Google Scholar] [CrossRef]
- Wang, Y. Effects of Large-Scale Species Abundance Distribution Pattern and Environmental Heterogeneity on Local Community Structure under Different Assembly Mechanisms; Lanzhou University: Lanzhou, China, 2019. [Google Scholar]
- Kim, H.; Jeon, J.; Lee, K.K.; Lee, Y.H. Longitudinal transmission of bacterial and fungal communities from seed to seed in rice. Commun. Biol. 2022, 5, 772. [Google Scholar] [CrossRef]
- Adler, P.B.; Hille, R.L.J.; Levine, J.M. A niche for neutrality. Ecol. Lett. 2007, 10, 95–104. [Google Scholar] [CrossRef]
- Chesson, P. Mechanisms of maintenance of species diversity. Annu. Rev. Ecol. Syst. 2000, 31, 343–366. [Google Scholar] [CrossRef]
- Kechang, N.; Yining, L.; Zehao, S.; Fangliang, H.; Jingyun, F. Community assembly: The relative importance of neutral theory and niche theory. Biodivers. Sci. 2009, 17, 579–593. [Google Scholar] [CrossRef]
- Fisher, C.K.; Mehta, P. The transition between the niche and neutral regimes in ecology. Proc. Natl. Acad. Sci. USA 2014, 111, 13111–13116. [Google Scholar] [CrossRef] [PubMed]
- Letcher, S.G.; Chazdon, R.L.; Andrade, A.C.S.; Bongers, F.; Breugel, M.V.; Finegan, B.; Laurance, S.G.; Mesquita, R.C.G.; Martínez-Ramos, M.; Williamson, G. Phylogenetic community structure during succession: Evidence from three Neotropical forest sites. Perspect. Plant Ecol. Evol. Syst. 2012, 14, 79–87. [Google Scholar] [CrossRef]
- Cai, J.D.; Liu, Y.; Xu, C.Y.; Ma, C.; Zhuang, Z.D. The study on community structure of nekton based on abundance patterns model: A case study on the Minnan sea area. Haiyang Xuebao 2022, 44, 63–78. [Google Scholar]
- Villa, P.M.; Martins, S.V.; Rodrigues, A.C.; Safar, N.V.H.; Bonilla, M.A.C.; Ali, A. Testing species abundance distribution models in tropical forest successions: Implications for fine-scale passive restoration. Ecol. Eng. 2019, 135, 28–35. [Google Scholar] [CrossRef]














| Fixed Dune | Semifixed Dune | Mobile Dune | p | |
|---|---|---|---|---|
| Soil water content (%) | 1.403 ± 0.623 a | 0.988 ± 0.318 a | 0.463 ± 0.134 b | <0.01 |
| Electrical conductivity (ms/cm) | 1.049 ± 0.730 a | 0.499 ± 0.385 a | 0.155 ± 0.033 a | 0.04 |
| Soil pH | 8.573 ± 0.190 a | 8.492 ± 0.1824 a | 8.450 ± 0.190 a | 0.80 |
| Soil organic carbon (g/kg) | 1.439 ± 0.735 a | 1.117 ± 0.364 ab | 0.640 ± 0.279 b | 0.01 |
| CO32− (g/kg) | 0.017 ± 0.007 a | 0.009 ± 0.003 b | 0.008 ± 0.002 b | <0.01 |
| HCO3−(g/kg) | 0.115 ± 0.111 a | 0.087 ± 0.070 a | 0.063 ± 0.033 a | 0.25 |
| Cl− (g/kg) | 0.070 ± 0.039 a | 0.061 ± 0.029 a | 0.058 ± 0.031 a | 0.53 |
| SO42− (g/kg) | 0.022 ± 0.006 a | 0.020 ± 0.003 a | 0.022 ± 0.013 a | 0.96 |
| Ca2+ (g/kg) | 0.034 ± 0.021 a | 0.026 ± 0.022 a | 0.047 ± 0.048 a | 0.51 |
| Mg2+ (g/kg) | 0.032 ± 0.023 a | 0.030 ± 0.017 a | 0.038 ± 0.019 a | 0.60 |
| K+ (g/kg) | 0.004 ± 0.002 a | 0.003 ± 0.001 a | 0.003 ± 0.002 a | 0.10 |
| Na+ (g/kg) | 0.002 ± 0.002 a | 0.002 ± 0.001 a | 0.001 ± 0.001 a | 0.24 |
| Total salt (g/kg) | 0.296 ± 0.129 a | 0.238 ± 0.097 a | 0.221 ± 0.063 a | 0.20 |
| Family | Genus | Species | RF (%) | IV (%) |
|---|---|---|---|---|
| Chenopodiaceae | Haloxylon | Haloxylon ammodendron | 33.00 | 48.81 |
| Haloxylon persicum | 30.00 | 28.07 | ||
| Salsola | Salsola praecox | 13.33 | 10.42 | |
| Salsola nitraria | 3.67 | 0.32 | ||
| Horaninovia | Horaninowia ulicina | 25.33 | 15.05 | |
| Ceratocarpus | Ceratocarpus arenarius | 25.33 | 27.45 | |
| Agriophyllum | Agriophyllum squarrosum | 13.33 | 15.23 | |
| Corispermum | Corispermum lehmannianum | 16.00 | 18.69 | |
| Calligonum | Calligonum leucocladum | 26.33 | 7.3 | |
| Suaeda | Suaeda glauca | 13.33 | 14.12 | |
| Grubovia | Bassia dasyphylla | 14.00 | 12.17 | |
| Atriplex | Atriplex dimorphostegia | 8.33 | 1.23 | |
| Chenopodium | Chenopodium glaucum | 2.33 | 0.46 | |
| Kochia | Kochia iranica | 0.33 | 0.26 | |
| Peganum | Peganum harmala | 2.33 | 0.23 | |
| Gramineae | Stipagrostis | Stipagrostis pennata | 3.33 | 0.49 |
| Eremopyrum | Eremopyrum orientale | 17.33 | 12.23 | |
| Brassicaceae | Alyssum | Alyssum desertorum | 5.67 | 3.5 |
| Isatis | Isatis violascens | 12.67 | 2.2 | |
| Tetracme | Tetracme quadricornis | 13.33 | 7.2 | |
| Malcolmia | Malcolmia africana | 3.33 | 0.42 | |
| Compositae | Echinops | Echinops sphaerocephalus | 5.67 | 6.53 |
| Cancrinia | Cancrinia discoidea | 1.67 | 0.14 | |
| Seriphidium | Seriphidium terraealbae | 25.33 | 37.19 | |
| Hyalea | Hyalea pulchella | 11.33 | 1.1 | |
| Amberboa | Amberboa turanica | 1.00 | 0.58 | |
| Chondrilla | Chondrilla ambigua | 19.00 | 1.37 | |
| Boraginaceae | Lappula | Lappula semiglabra | 13.67 | 1.73 |
| Arnebia | Arnebia decumbens | 0.67 | 4.11 | |
| Asphodelaceae | Eremurus | Eremurus inderiensis | 5.67 | 4.74 |
| Liliaceae | Gagea | Gagea nakaiana | 9.67 | 1.67 |
| Fabaceae | Alhagi | Alhagi sparsifolia | 13.67 | 9.74 |
| Eremosparton | Eremosparton songoricum | 4.00 | 0.64 | |
| Umbelliferae | Soranthus | Soranthus meyeri | 13.67 | 2.91 |
| Plumbaginaceae | Limonium | Limonium sinense | 1.00 | 0.28 |
| Lamiaceae | Nepeta | Nepeta micrantha | 1.00 | 0.12 |
| Tamaricaceae | Tamarix | Tamarix chinensis | 5.33 | 1.32 |
| Salicaceae | Populus | Populus euphratica | 5.67 | 2.59 |
| Habitat | Test Way | Model | ||||
|---|---|---|---|---|---|---|
| Broken-Stick Model | Preemption Model | Log-Normal Model | Zipf Model | Zipf–Mandelbrot Model | ||
| Fixed dune | AIC | 533.14 | 228.44 | 322.16 | 670.19 | 232.37 |
| D | 0.86 | 0.49 | 0.49 | 1.48 * | 0.49 | |
| x2 | 321.56 ** | 55.87 | 514.75 ** | 411.09 ** | 52.01 | |
| Semifixed dune | AIC | 497.12 | 195.46 | 271.07 | 573.17 | 199.39 |
| D | 0.82 | 0.41 | 0.86 | 1.87 * | 1.29 | |
| x2 | 317.7 ** | 47.41 | 367.71 ** | 349.33 ** | 43.53 | |
| Mobile dune | AIC | 115.93 | 85.36 | 100.34 | 155.93 | 89.27 |
| D | 0.53 | 0.35 | 0.35 | 1.06 | 0.35 | |
| x2 | 29.29 | 8.66 | 49.12 * | 66.79 ** | 8.95 | |
| Habitat | Scale(m) | Test Way | Model | ||||
|---|---|---|---|---|---|---|---|
| Broken STICK Model | Preemptio Model | Log-Normal Model | Zipf Model | Zipf–Mandelbrot Model | |||
| Fixed dune | 10 × 10 | AIC | 21.92 | 22.45 | 24.52 | 25.79 | 26.42 |
| D | 0.58 | 0.29 | 0.29 | 0.58 | 0.29 | ||
| x2 | 1.91 | 0.69 | 1.90 | 1.88 | 0.67 | ||
| 20 × 20 | AIC | 39.21 | 41.52 | 44.88 | 52.81 | 45.15 | |
| D | 0.24 | 0.24 | 0.47 | 0.71 | 0.24 | ||
| x2 | 2.00 | 1.95 | 4.12 | 10.59 | 2.81 | ||
| 40 × 40 | AIC | 86.56 | 80.25 | 82.40 | 108.34 | 82.23 | |
| D | 0.35 | 0.18 | 0.35 | 0.88 | 0.35 | ||
| x2 | 14.40 | 4.57 | 6.41 | 29.87 | 2.98 | ||
| 60 × 60 | AIC | 190.66 | 137.90 | 160.09 | 268.43 | 141.80 | |
| D | 0.57 | 0.42 | 0.28 | 1.27 | 0.42 | ||
| x2 | 66.27 * | 16.31 | 80.67 ** | 124.52 ** | 15.88 | ||
| 80 × 80 | AIC | 350.31 | 228.44 | 241.69 | 455.36 | 189.49 | |
| D | 0.76 | 0.64 | 0.38 | 1.27 | 0.64 | ||
| x2 | 178.46 * | 55.87 | 249.36 ** | 246.78 ** | 29.67 | ||
| Semifixed dune | 10 × 10 | AIC | 21.44 | 22.78 | 24.53 | 25.49 | 26.64 |
| D | 0.29 | 0.29 | 0.29 | 0.29 | 0.29 | ||
| x2 | 1.06 | 1.61 | 0.39 | 1.06 | 0.33 | ||
| 20 × 20 | AIC | 29.40 | 32.29 | 33.27 | 36.25 | 35.97 | |
| D | 0.51 | 0.51 | 0.47 | 0.47 | 0.51 | ||
| x2 | 0.50 | 1.04 | 0.96 | 2.87 | 1.02 | ||
| 40 × 40 | AIC | 79.71 | 73.59 | 82.30 | 114.54 | 77.48 | |
| D | 0.37 | 0.37 | 0.37 | 0.91 | 0.37 | ||
| x2 | 12.30 | 4.92 | 20.98 | 39.76 | 5.51 | ||
| 60 × 60 | AIC | 170.40 | 114.26 | 124.94 | 211.80 | 116.59 | |
| D | 0.47 | 0.32 | 0.32 | 0.95 | 0.47 | ||
| x2 | 67.19 ** | 13.27 | 41.19 | 94.37 ** | 11.12 | ||
| 80 × 80 | AIC | 284.64 | 165.51 | 193.7 | 373.34 | 168.52 | |
| D | 0.69 | 0.42 | 0.28 | 1.25 | 0.56 | ||
| x2 | 138.97 ** | 30.74 | 144.76 ** | 203.20 ** | 28.98 | ||
| Mobile dune | 10 × 10 | AIC | 12.47 | 14.32 | 16.36 | 16.73 | 18.29 |
| D | 0.35 | 0.35 | 0.35 | 0.35 | 0.35 | ||
| x2 | 0.20 | 0.03 | 0.86 | 0.49 | 0.05 | ||
| 20 × 20 | AIC | 39.90 | 42.05 | 44.93 | 51.10 | 45.88 | |
| D | 0.22 | 0.22 | 0.22 | 0.45 | 0.22 | ||
| x2 | 1.71 | 1.68 | 3.13 | 8.08 | 1.74 | ||
| 40 × 40 | AIC | 59.64 | 54.21 | 63.27 | 77.76 | 58.11 | |
| D | 0.41 | 0.20 | 0.41 | 0.82 | 0.20 | ||
| x2 | 7.73 | 0.84 | 8.94 | 22.16 | 0.93 | ||
| 60 × 60 | AIC | 112.12 | 60.39 | 80.82 | 107.78 | 64.38 | |
| D | 0.61 | 0.20 | 0.20 | 0.82 | 0.41 | ||
| x2 | 56.89 ** | 7.38 | 32.07 | 51.37 ** | 7.66 | ||
| 80 × 80 | AIC | 117.09 | 74.15 | 98.02 | 137.16 | 78.12 | |
| D | 0.82 | 0.41 | 0.41 | 1.02 | 0.41 | ||
| x2 | 54.26 ** | 18.42 | 56.09 ** | 76.63 ** | 19.90 | ||
| Habitat | Scale (m) | Species Number | Individual Number | Fundamental Diversity θ | Migration Rate m | x2 | D |
|---|---|---|---|---|---|---|---|
| Fixed dune | 10 × 10 | 6 | 41 | 9.88 | 0.07 | 1.47 | 0.29 |
| 20 × 20 | 9 | 127 | 5.14 | 0.07 | 13.44 | 0.47 | |
| 40 × 40 | 16 | 425 | 6.76 | 0.05 | 17.54 | 0.35 | |
| 60 × 60 | 25 | 1039 | 10.26 | 0.03 | 22.09 | 0.28 | |
| 80 × 80 | 31 | 1828 | 12.44 | 0.02 | 31.80 | 0.38 | |
| 100 × 100 | 33 | 2726 | 13.79 | 0.01 | 38.00 | 0.37 | |
| Semifixed dune | 10 × 10 | 6 | 42 | 5.84 | 0.01 | 0.97 | 0.30 |
| 20 × 20 | 7 | 94 | 3.79 | 0.08 | 11.68 | 0.54 | |
| 40 × 40 | 15 | 378 | 7.59 | 0.04 | 15.37 | 0.37 | |
| 60 × 60 | 20 | 984 | 7.80 | 0.03 | 20.18 | 0.32 | |
| 80 × 80 | 26 | 1663 | 9.60 | 0.02 | 28.51 | 0.28 | |
| 100 × 100 | 27 | 1883 | 10.12 | 0.01 | 34.15 | 0.21 | |
| Mobile dune | 10 × 10 | 4 | 18 | 6.69 | 0.13 | 0.75 | 0.35 |
| 20 × 20 | 10 | 108 | 6.31 | 0.09 | 8.35 | 0.45 | |
| 40 × 40 | 12 | 232 | 6.17 | 0.05 | 13.09 | 0.41 | |
| 60 × 60 | 12 | 337 | 11.27 | 0.02 | 13.64 | 0.20 | |
| 80 × 80 | 12 | 431 | 7.57 | 0.02 | 24.40 | 0.41 | |
| 100 × 100 | 16 | 639 | 6.55 | 0.03 | 28.15 | 0.35 |
Publisher’s Note: MDPI stays neutral with regard to jurisdictional claims in published maps and institutional affiliations. |
© 2022 by the authors. Licensee MDPI, Basel, Switzerland. This article is an open access article distributed under the terms and conditions of the Creative Commons Attribution (CC BY) license (https://creativecommons.org/licenses/by/4.0/).
Share and Cite
Zang, Z.; Zeng, Y.; Wang, D.; Shi, F.; Dong, Y.; Liu, N.; Liang, Y. Species-Abundance Distribution Patterns of Plant Communities in the Gurbantünggüt Desert, China. Sustainability 2022, 14, 12957. https://doi.org/10.3390/su142012957
Zang Z, Zeng Y, Wang D, Shi F, Dong Y, Liu N, Liang Y. Species-Abundance Distribution Patterns of Plant Communities in the Gurbantünggüt Desert, China. Sustainability. 2022; 14(20):12957. https://doi.org/10.3390/su142012957
Chicago/Turabian StyleZang, Zexuan, Yong Zeng, Dandan Wang, Fengzhi Shi, Yiyang Dong, Na Liu, and Yuejia Liang. 2022. "Species-Abundance Distribution Patterns of Plant Communities in the Gurbantünggüt Desert, China" Sustainability 14, no. 20: 12957. https://doi.org/10.3390/su142012957
APA StyleZang, Z., Zeng, Y., Wang, D., Shi, F., Dong, Y., Liu, N., & Liang, Y. (2022). Species-Abundance Distribution Patterns of Plant Communities in the Gurbantünggüt Desert, China. Sustainability, 14(20), 12957. https://doi.org/10.3390/su142012957

