Estimation of Appropriate Acceleration Lane Length for Safe and Efficient Truck Platooning Operation on Freeway Merge Areas
Abstract
1. Introduction
1.1. Acceleration Lane
1.2. Heavy Commercial Vehicle Platooning
1.3. Study Goal and Objectives
- Improve an existing analytical model (hereafter, AASHTO (2018) recommended acceleration lane length model) to estimate the acceleration lane length required for safe and efficient operation of Level 4 HCV platooning on freeway merging areas near on-ramps; and
- Evaluate the operational impact of Level 4 HCV platooning market penetration rates (0%, 5%, and 10%) on the safety and mobility of traffic at freeway merge areas near on-ramps.
2. Study Area and Data Descriptions
3. Estimation of Acceleration Lane Length Using Analytical Models
3.1. AASHTO Model
3.2. CAMMSE Model
3.3. NCHRP 3-35 Model
3.4. Proposed Model
3.5. Estimation of Acceleration Lane Length Using Analytical Model
- HCV platoons with a longer headway (1.2 s) required a longer acceleration lane than HCV platoons with a shorter headway (0.6 s); and
- The longest acceleration lane length estimated was 685 m for a platoon with a headway of 1.2 s traveling at 81 km/h at the start of the ramp with a ramp design speed of 89 km/h.
- Our model’s longest acceleration lane length estimate (685 m) was approximately 75 m longer than the 2018 AASHTO maximum recommended acceleration lane length. This difference is particularly striking as our model was estimated for platooned HCVs merging onto a freeway with a 25 km/h lower speed than the 2018 AASHTO speed. Furthermore, the estimated acceleration lane was 325 m longer than the 2018 AASHTO’s minimum recommended value.
- The acceleration lane recommended by 2017 TAC was about 350 m [2], i.e., considerably less than many of our estimates and 335 m less than our highest estimate of 685 m.
- As stated in the 2018 AASHTO and the 2017 TAC, the minimum acceleration lane length was defined as the 85th percentile of vehicles merging onto the freeway in the provided acceleration lane to meet the desired freeway speed. This resulted in some acceleration lane lengths in 2018 AASHTO and the 2017 TAC that were smaller than their stated minimum values. Our model also estimated some acceleration lane lengths that were shorter than the minimum values given in the 2018 AASHTO (360 m) and the 2017 TAC (350 m). For example, for a platoon with a headway of 1.2 s travelling on a ramp with a design speed of 102 km/h (63 mph), the acceleration lane length estimated by our proposed model was less than the minimum values given in both North American design guidelines. This was primarily caused by some platooned HCVs on the ramp roadway having already reached a 102 km/h (63 mph) speed prior to matching the freeway’s 105 km/h (65 mph) speed. By contrast, it will take a longer distance for platooned HCVs accelerating from a slow-speed ramp, i.e., 57 km/h (35 mph), to reach the freeway 105 km/h (65 mph) speed.
- The estimated acceleration lane length for platooned HCVs for our proposed model was always longer than the suggested value for the different speed ramp roadways in the design guidelines. This was due to the gap searching length that was not considered in either the 2018 AASHTO or 2017 TAC.
- Regardless of ramp speed, the acceleration lane length estimated by our proposed model for merging passenger vehicles was about half the length required for merging HCV platoons travelling with a headway of 1.2 s.
- The 2017 TAC recommended acceleration lane lengths were also noticeably shorter than those estimated by our model. For instance, in platooned HCVs with a headway of 1.2 s travelling through a ramp of 57 km/h (35 mph) speed, our estimated acceleration lane length was longer than the 350 m minimum stated in the 2017 TAC. In this circumstance, platooned HCVs needed to accelerate to 105 km/h (65 mph) in the acceleration lane and find a suitable gap to merge onto the freeways. The acceleration segment length and gap searching length factors led to the necessity for a longer acceleration lane length than the 2017 TAC minimum value.
4. A Micro-Simulation Model to Estimate Acceleration Lane Length
4.1. Model Development
4.1.1. Input Parameters
- The “maximum look ahead distance” and “maximum look back distance” are the farthest distance a driver may view in front and behind in order to notice the surrounding traffic. The maximum look ahead and look back distances for passenger vehicles and HCVs were assigned in accordance with PTV’s [52] recommendations. As Level 4 HCV platooning allows HCVs to communicate up to a distance of about 300 m [55,56,57], we used 300 m the maximum look head and look back distance for HCV platooning. This distance allows platooning vehicles to examine the freeway’s right-most lane and determine whether the gap available is adequate.
- “Number of interaction objects” refers to the interaction of a vehicle with a variety of objects including traffic signals and other vehicles. The “number of interaction vehicles” refers only to interaction with other vehicles. Because passenger vehicles and HCVs have human drivers, the number of interaction objects and the number of interaction vehicles are defined as one for passenger vehicles and HCVs as recommended by PTV [52]. As HCV platoons can communicate with HCVs within the same platoon, the number of interaction vehicles and the number of interaction objects is defined as greater than one [58].
- The “standstill distance for following passenger vehicle”, “standstill distance for following HCV or HCV platooning”, and “standstill distance for following HCV in a platoon” indicate the minimum desired distance needed to avoid a collision between a leading and following vehicle. For the standstill distances for following passenger vehicles, we used the distances suggested by Lu et al. [59] for passenger vehicles, HCVs, and HCV platoons. For the standstill distance for an HCV platoon following an HCV platoon, we used the distance suggested by Deng [60] and Deng and Boughout [61].
- The “following distance oscillation (m)” indicates the maximum additional distance that a following vehicle driver can accept in addition to the desired safety distance. We used the observed following distance oscillation for HCVs and for HCV platoons developed by Durrani et al. [62].
- The “negative speed difference” refers to the relatively lower (negative) speed a following vehicle driver may adopt compared to the lead vehicle’s slower speed, and the “positive speed difference” refers to the relatively higher (positive) speed a following vehicle driver may adopt compared to the lead vehicle’s faster speed. We used the values suggested by Durrani et al. [62].
- “Oscillation acceleration” refers to the minimum acceleration/deceleration rate of the following vehicle while one vehicle is following another one in front it. We used the values suggested by Durrani et al. [62].
- “Acceleration from standstill” refers to the acceleration rate of a following vehicle (i.e., a passenger vehicle, an HCV, or an HCV platoon) from a standstill. “Acceleration at 80 km/h” refers to the acceleration rate of a following vehicle traveling at 80 km/h. We used the values suggested by Durrani et al. [62].
- In the lane changing model, “maximum deceleration rate for cooperative braking” refers to the rate at which a target vehicle needs to decelerate in order to allow another vehicle to perform a lane change and enter the target vehicle’s lane. We used the values suggested by Harwood et al. [6].
- The “safety distance reduction factor” indicates when a lead vehicle initiates a lane changing maneuver, and the following vehicle on the target lane accepts a reduced minimum safety distance between the lead and following vehicles. A value of 0.6 for the safety distance reduction factor 0.6 means that the vehicle on the target lane accepts an additional 40% reduction in the safety distance. Ahmed et al. [56] suggested a value of one for HCVs in a platoon, i.e., they suggested that HCV platoons must use extremely cautious behavior and maintain the minimum safe distance when changing lanes.
4.1.2. Calibration of Micro-Simulation Model
4.1.3. Development of Test Scenarios
5. Results of Micro-Simulation Modeling
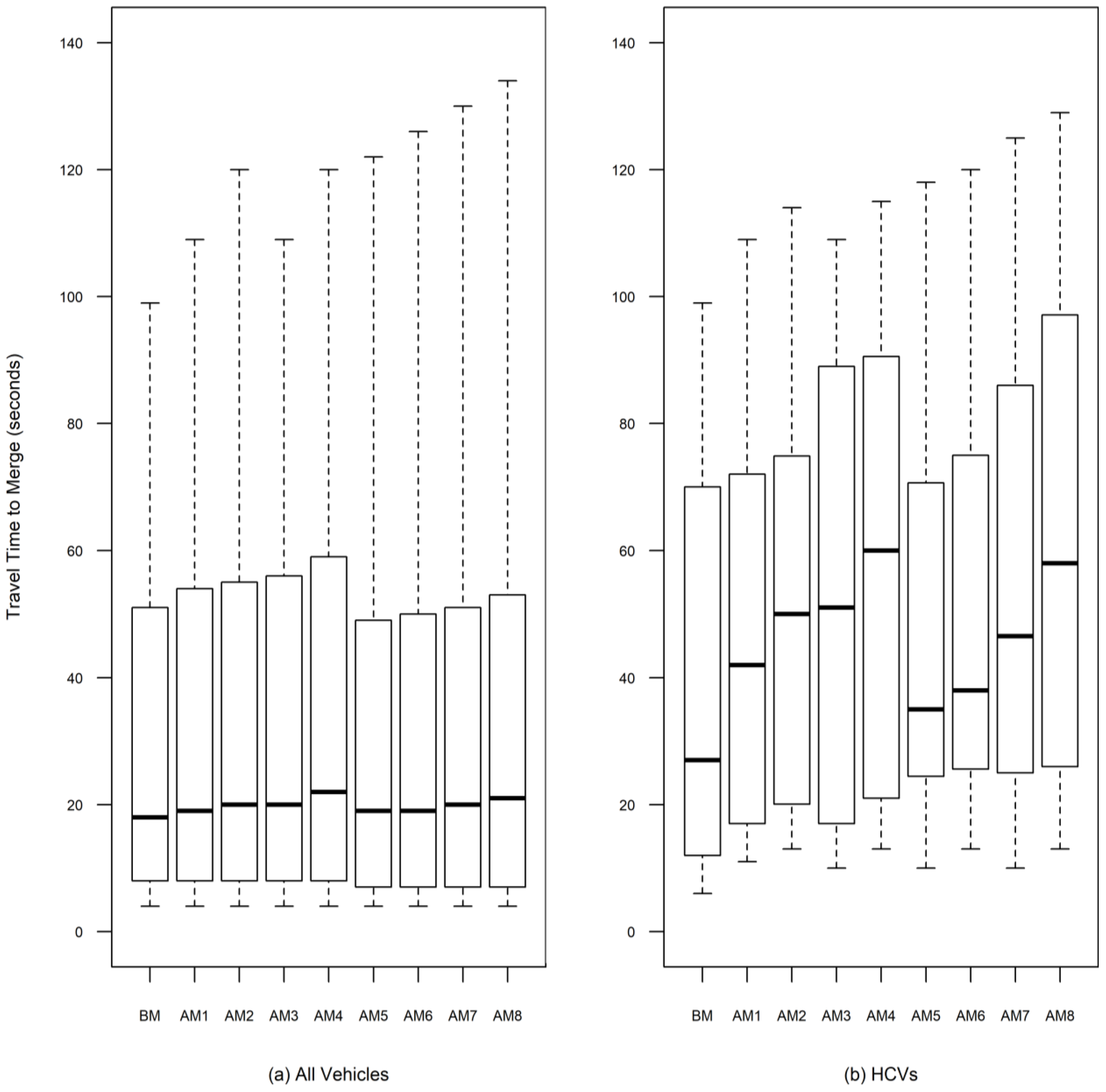
5.1. Travel Time to Merge
5.2. Number of Conflicts
- Compared to the BM, the models for the existing acceleration lane length of 350 m (AM1, AM2, AM3, and AM4) had a higher number of conflicts. This result implies that an acceleration lane length of 350 m in this context leads to serious safety concerns on the merging ramp segment, regardless of HCV platooning penetration rate or headway. Compared to the BM value of 448 conflicts, the models for the extended acceleration lane length of 600 m had reduced conflicts of 362, 366, 378, and 410 for AM5, AM6, AM7, and AM8, respectively.
- Within the models for an acceleration lane length of 350 m, the number of conflicts was higher for the 1.2 s headway models than for the 0.6 s headway models, and the number of conflicts was higher for the 10% market penetration models than for the 5% market penetration models. The same relationship was observed for the extended acceleration lane length of 600 m.
6. Conclusions and Recommendations
6.1. Summary of Results
6.2. Limitations and Future Research
Author Contributions
Funding
Institutional Review Board Statement
Informed Consent Statement
Data Availability Statement
Acknowledgments
Conflicts of Interest
Appendix A
References
- Zhang, M. Empirical Study of Freeway Interchange Crash Characteristics and Influence Areas. Ph.D. Thesis, University of Missouri—Columbia, Columbia, MO, USA, 2016. [Google Scholar]
- TAC. Geometric Design Guide for Canadian Roads; TAC: Edmonton, AB, Canada, 2017. [Google Scholar]
- AASHTO. A Policy on Geometric Design of Highways and Streets, 7th ed.; American Association of State Highway and Transportation Officials: Wahington, DC, USA, 2018; 1048p. [Google Scholar]
- AASHTO. A Policy on Design Standards, Interstate System; American Association of State Highway Officials: Washington, DC, USA, 1965. [Google Scholar]
- Yang, G.; Xu, H.; Tian, Z.; Wang, Z. Vehicle speed and acceleration profile study for metered on-ramps in California. J. Transp. Eng. 2016, 142, 04015046. [Google Scholar] [CrossRef]
- Harwood, D.W.; Torbic, D.J.; Richard, K.R.; Glauz, W.D.; Elefteriadou, L. NCHRP Report 505 : Review of Truck Characteristics as Factors in Roadway Design; Transportation Research Board: Washington, DC, USA, 2003. [Google Scholar]
- Fitzpatrick, K.; Zimmerman, K. Potential Updates to 2004 Green Book’s Acceleration Lengths for Entrance Terminals. Transp. Res. Rec. 2007, 2023, 130–139. [Google Scholar] [CrossRef]
- Torbic, D.J.; Hutton, J.M.; Bokenkroger, C.D.; Brewer, M.A. Design guidance for freeway main-line ramp terminals. Transp. Res. Rec. 2012, 2309, 48–60. [Google Scholar] [CrossRef]
- Lee, G. Modeling Gap Acceptance at Freeway Merges. PhD Thesis, Massachusetts Institute of Technology, Cambridge, MA, USA, 2006. [Google Scholar]
- Dabbour, E.; Easa, S.M.; Dabbour, O. Minimum Lengths of Acceleration Lanes Based on Actual Driver Behavior and Vehicle Capabilities. J. Transp. Eng. Part A Syst. 2021, 147, 04020162. [Google Scholar] [CrossRef]
- Guo, Y.; Xiang, Q.; Li, S.; Zhang, T.; Yao, R. Impacts of Large Vehicles on Traffic Safety in Freeway Interchange Merging Areas and Improvement Measures. MATEC Web Conf. 2017, 124, 1–7. [Google Scholar] [CrossRef]
- Qi, Y.; Zhao, Q.; Liu, S.; Qu, W.; Li, J. Determination of Freeway Acceleration Lane Length for Smooth and Safe Truck Merging; CAMMSE: Charlotte, NC, USA, 2019. [Google Scholar]
- Gattis, J.L.; Bryant, M.; Duncan, L.K. Acceleration Lane Design for Higher Truck Volumes; (No. MBTC FR 2094/3003); Mack-Blackwell National Rural Transportation Study Center: Fayetteville, AR, USA, 2008; pp. 1–104. [Google Scholar]
- Bareket, Z.; Fancher, P.S. Effect of Large Trucks on Traffic Safety Operations; The University of Michigan Transportation Research Institute: Ann Arbor, MI, USA, 1993. [Google Scholar]
- Reilly, W.R.; Pfefer, R.C.; Michaels, R.M.; Polus, A.; Schoen, J.M. NCHRP 3-35: Speed-Change Lanes; JHK & Associates and Northwestern University, The Traffic Institute: Evanston, IL, USA, 1989. [Google Scholar]
- Ferrari, P. The effect of the competition between cars and trucks on the evolution of the motorway transport system. Transp. Res. Part C Emerg. Technol. 2009, 17, 558–570. [Google Scholar] [CrossRef]
- Ran, B.; Leight, S.; Chang, B. A microscopic simulation model for merging control on a dedicated-lane automated highway system. Transp. Res. Part C Emerg. Technol. 1999, 7, 369–388. [Google Scholar] [CrossRef]
- Marczak, F.; Daamen, W.; Buisson, C. Key Variables of Merging Behaviour: Empirical Comparison between Two Sites and Assessment of Gap Acceptance Theory. Procedia—Soc. Behav. Sci. 2013, 80, 678–697. [Google Scholar] [CrossRef]
- Sun, J.; Zuo, K.; Jiang, S.; Zheng, Z. Modeling and Predicting Stochastic Merging Behaviors at Freeway On-Ramp Bottlenecks. J. Adv. Transp. 2018, 2018, 9308580. [Google Scholar] [CrossRef]
- SAE International Standard. Automated Driving: Levels of Driving Automation. SAE J3016. 2022. Available online: https://www.sae.org/news/2019/01/sae-updates-j3016-automated-driving-graphic (accessed on 2 August 2022).
- USDOT. Automated Vehicles: Truck Platooning ITS Benefits, Costs, and Lessons Learned: 2018 Update Report. 2018. Available online: https://www.itskrs.its.dot.gov/sites/default/files/executive-briefings/2018/BCLL_Automated%20Vehicles%20(CMV)%20Final%20Draft%20v4.pdf (accessed on 2 August 2022).
- Bishop, R. New Moves, New Markets for Truck Platooning Revealed at AVS2020. Forbes:Transportation. 2020. Available online: https://www.forbes.com/sites/richardbishop1/2020/09/27/new-moves-new-markets-for-truck-platooning-revealed-at-avs2020/#7e0ebe1e6297 (accessed on 8 October 2020).
- Kuijpers, A.G.J. Truck Platooning: A Framework to Optimize Traffic Management Near the Port Area of Rotterdam. Master’s Thesis, Eindhoven University of Technology, Eindhoven, The Netherlands, 2017. [Google Scholar]
- Wang, M.; van Maarseveen, S.; Happee, R.; Tool, O.; van Arem, B. Benefits and risks of truck platooning on freeway operations near entrance ramp. Transp. Res. Rec. 2019, 2673, 588–602. [Google Scholar] [CrossRef]
- Arnold, S.; Roorda, M. Infrastructure to Enable Freight Platooning Ramp Operations in the GTHA. In: Transformative Transportation ’20, iCity-CATTS Research Day. University of Toronto. 2020. Available online: https://uttri.utoronto.ca/files/2020/06/Arnold-Freight_Platooning-2020-06-02.pdf (accessed on 2 August 2022).
- Lee, S.; Oh, C.; Lee, G. Impact of automated truck platooning on the performance of freeway mixed traffic flow. J. Adv. Transp. 2021, 2021, 8888930. [Google Scholar] [CrossRef]
- Faber, T.; Sharma, S.; Snelder, M.; Klunder, G.; Tavasszy, L.; van Lint, H. Evaluating traffic efficiency and safety by varying truck platoon characteristics in a critical traffic situation. Transp. Res. Rec. 2020, 2674, 525–547. [Google Scholar] [CrossRef]
- Ye, X.; Wang, X. Operational design domain of automated vehicles at freeway entrance terminals. Accid. Anal. Prev. 2022, 174, 106776. [Google Scholar] [CrossRef]
- Browand, F.; McArthur, J.; Radovich, C. Fuel Saving Achieved in the Field Test of Two Tandem Trucks; University of California: Berkeley, CA, USA, 2004. [Google Scholar]
- Alam, A.; Besselink, B.; Turri, V.; Martensson, J.; Johansson, K.H. Heavy-duty vehicle platooning for sustainable freight transportation: A cooperative method to enhance safety and efficiency. IEEE Control. Syst. Mag. 2015, 35, 34–56. [Google Scholar]
- Patten, J.; McAuliffe, B.; Mayda, W.; Tanguay, B. Review of aerodynamic drag reduction devices for heavy trucks and buses. Natl. Res. Counc. Can. 2012, 205, 3. [Google Scholar]
- Zabat, M.; Stabile, N.; Farascaroli, S.; Browand, F. The Aerodynamic Performance of Platoons: A Final Report; University of California: Berkeley, CA, USA, 1995. [Google Scholar]
- Tavasszy, L.A.; Janssen, R. The Value Case for Truck Platooning; working paper; Delft University of Technology: Delft, The Netherlands, 2017. [Google Scholar]
- Ramezani, H.; Shladover, S.E.; Lu, X.-Y.; Chou, F.-C. Microsimulation Framework to Explore Impact of Truck Platooning on Traffic Operation and Energy Consumption: Development and Case Study; University of California: Berkeley, CA, USA, 2018; 54p. [Google Scholar]
- Proust, E.; Smith, P.; Pierce, D.; Ward, J.; Bevly, D. Evaluation of Platooning on Resource Roads. In Proceedings of the 2019 TAC-ITS Canada Joint Conference, Halifax, NS, Canada, 22–25 September 2019. [Google Scholar]
- Bujanovic, P.; Lochrane, T. Capacity predictions and capacity passenger car equivalents of platooning vehicles on basic segments. J. Transp. Eng. Part A Syst. 2018, 144, 4018063. [Google Scholar] [CrossRef]
- Gordon, M.; Turochy, R.E. Evaluation of the Effects of Driver Assistive Truck Platooning on Freeway Traffic Flow; Transportation Research Board: Washington, DC, USA, 2016; 15p. [Google Scholar]
- Van Maarseveen, S. Impacts of Truck Platooning at Motorway On-Ramps. Master’s Thesis, Delft University of Technology, Delft, The Netherlands, 2017. [Google Scholar]
- Seraj, M.; Qiu, T.Z. Multilane Microscopic Modeling to Measure Mobility and Safety Consequences of Mixed Traffic in Freeway Weaving Sections. J. Adv. Transp. 2021, 2021, 6639649. [Google Scholar] [CrossRef]
- Li, H.; Zhang, J.; Li, Y.; Huang, Z.; Cao, H. Modeling and simulation of vehicle group collaboration behaviors in an on-ramp area with a connected vehicle environment. Simul. Model. Pract. Theory 2021, 110, 102332. [Google Scholar] [CrossRef]
- Gettman, D.; Pu, L.; Sayed, T.; Shelby, S. Surrogate Safety Assessment Model and Validation: Final Report; US Department of Transportation: McLean, VA, USA, 2008. [Google Scholar]
- Habtemichael, F.G.; de Picado Santos, L. Safety and operational benefits of variable speed limits under different traffic conditions and driver compliance levels. Transp. Res. Rec. 2013, 2386, 7–15. [Google Scholar] [CrossRef]
- MTO. 2019 Travel Speed and Performance Measure-Truck. MTO iCorridor. 2021. Available online: https://icorridor-mto-on-ca.hub.arcgis.com/datasets/71111ea2631c415492f5acd32fa6964d/explore?location=43.866992%2C-79.553875%2C16.94 (accessed on 28 October 2021).
- HERE. Map Data|Static Map API. HERE.COM. 2021. Available online: https://www.here.com/platform/map-data (accessed on 20 October 2021).
- MTO. Hourly Traffic. MTO iCorridor. 2021. Available online: https://icorridor-mto-on-ca.hub.arcgis.com/maps/5316688a32c049798385867076b27ee4/about (accessed on 2 August 2022).
- Greenshields, B.D.; Schapiro, D.; Ericksen, E.L. Traffic Performance at Urban Street Intersections; Bureau Highway Traffic, Yale University & Eno Foundation for Highway Traffic Control: Washington, DC, USA, 1946; 15p. [Google Scholar]
- WisDOT. Traffic Analysis and Modeling Section 20: Microscopic Simulation Traffic Analysis. In: Traffic Engineering, Operations & Safety Manual; Wisconsin Department of Transportation: Madison, WI, USA, 2019; pp. 1–47. Available online: https://wisconsindot.gov/dtsdManuals/traffic-ops/manuals-and-standards/teops/16-20.pdf#16-20-8 (accessed on 2 August 2022).
- Ramezani, H.; Shladover, S.E.; Lu, X.Y.; Altan, O.D. Micro-simulation of truck platooning with cooperative adaptive cruise control: Model development and a case study. Transp. Res. Rec. 2018, 2672, 55–65. [Google Scholar] [CrossRef]
- Shladover, S.E.; Lu, X.-Y.; Yang, S.; Ramezani, H.; Spring, J.; Nowakowski, C.; Nelson, D. Cooperative Adaptive Cruise Control (CACC) for Partially Automated Truck Platooning: Final Report. 2018. Available online: https://escholarship.org/uc/item/260060w4 (accessed on 12 August 2022).
- Kuhn, B.T.; Lukuc, M.R.; Poorsartep, M.; Wagner, J.; Balke, K.N.; Middleton, D.R.; Songchitruksa, P.; Wood, N.; Moran, M.M. Commercial Truck Platooning Demonstration in Texas–Level 2 Automation. Texas Department of Transportation. Research and Technology Implementation Office. 2017. Available online: https://tti.tamu.edu/tti-publication/commercial-truck-platooning-demonstration-in-texas-level-2-automation/ (accessed on 10 August 2022).
- VDOT. VDOT VISSIM User Guide. Virginia Department of Transportation (VDOT). January 2020. Available online: https://www.virginiadot.org/business/resources/VDOT_Vissim_UserGuide_Version2.0_Final_2020-01-10.pdf (accessed on 2 September 2021).
- PTV. PTV Vissim 2021 User Manual; PTV: Karlsruhe, Germany, 2021; 1278p.
- Zeidler, V.; Buck, H.S.; Kautzsch, L.; Vortisch, P.; Weyland, C.M. Simulation of Autonomous Vehicles Based on Wiedemann’s Car Following Model in PTV Vissim. In Proceedings of the 98th Annual Meeting of the Transportation Research Board (TRB), Washington, DC, USA, 13–17 January 2019. [Google Scholar]
- ITE. Traffic Engineering Handbook, 5th ed.; Pline, J.L., Ed.; Institute of Transportation Engineers (ITE): Washington, DC, USA, 2000. [Google Scholar]
- Sukennik, P. Micro-Simulation Guide for Automated Vehicles—Final. Deliverable 2.11 of the CoEXist Project. 2020. Available online: https://www.h2020-coexist.eu/wp-content/uploads/2020/04/D2.11-Guide-for-the-simulation-of-AVs-with-microscopic-modelling-tool-Final.pdf (accessed on 12 August 2022).
- Ahmed, H.U.; Huang, Y.; Lu, P. A Review of Car-Following Models and Modeling Tools for Human and Autonomous-Ready Driving Behaviors in Micro-Simulation. Smart Cities 2021, 4, 314–335. [Google Scholar] [CrossRef]
- NHTSA. Vehicle-to-Vehicle Communication. U.S. Department of Transportation. 2020. Available online: https://www.nhtsa.gov/technology-innovation/vehicle-vehicle-communication (accessed on 8 August 2022).
- Sukennik, P. Micro-Simulation Guide for Automated Vehicles—Deliverable 2.0-D2.5. 2019. Available online: https://www.h2020-coexist.eu/wp-content/uploads/2018/11/D2.5-Micro-simulation-guide-for-automated-vehicles.pdf (accessed on 23 August 2022).
- Lu, C.; Dong, J.; Houchin, A.; Liu, C. Incorporating the standstill distance and time headway distributions into freeway car-following models and an application to estimating freeway travel time reliability. J. Intell. Transp. Syst. 2021, 25, 21–40. [Google Scholar] [CrossRef]
- Deng, Q. A general simulation framework for modeling and analysis of heavy-duty vehicle platooning. IEEE Trans. Intell. Transp. Syst. 2016, 17, 3252–3262. [Google Scholar] [CrossRef]
- Deng, Q.; Boughout, W. The Impacts of Heavy-Duty Vehicle Platoon Spacing Policy on Traffic Flow. 2016. Available online: https://trid.trb.org/view/1392278 (accessed on 8 August 2022).
- Durrani, U.; Lee, C.; Maoh, H. Calibrating the Wiedemann’s vehicle-following model using mixed vehicle-pair interactions. Transp. Res. Part C Emerg. Technol. 2016, 67, 227–242. [Google Scholar] [CrossRef]
- Shahdah, U.; Saccomanno, F.; Persaud, B. Integrated traffic conflict model for estimating crash modification factors. Accid. Anal. Prev. 2014, 71, 228–235. [Google Scholar] [CrossRef] [PubMed]
- Shelby, S.G. Delta-V as a measure of traffic conflict severity. In Proceedings of the 3rd International Conference on Road Safety and Simulati, Indianapolis, Indiana, 14–15 September 2011; pp. 14–16. [Google Scholar]
- Hydén, C. The Development of a Method for Traffic Safety Evaluation: The Swedish Traffic Conflicts Technique; Bulletin Lund Institute of Technology Department, Trafikteknik Tekniska Hoegskdan i Lund: Lund, Sweden, 1987; Volume 70, 57p. [Google Scholar]
- Beeston, L.; Blewitt, R.; Bulmer, S.; Wilson, J. Traffic Modelling Guidelines v4. Transport for London: London, UK, 2021. [Google Scholar]
- Dowling, R.; Skabardonis, A.; Halkias, J.; McHale, G.; Zammit, G. Guidelines for calibration of microsimulation models: Framework and applications. Transp. Res. Rec. 2004, 1876, 1–9. [Google Scholar] [CrossRef]
- Welch, B.L. The generalization of ‘STUDENT’S’problem when several different population varlances are involved. Biometrika 1947, 34, 28–35. [Google Scholar]
- Doustmohammadi, M.; Anderson, M.; Kesaveraddy, S.; Jones, S. Examining Model Accuracy: How Well Did We do in the 1990′s Predicting 2015. Int. J. Traffic Transp. Eng. 2017, 6, 15–21. [Google Scholar]
- FDOT. Traffic Analysis Handbook. A Reference for Planning and Operations 2014, Florida Department of Transportation, Tallahassee, Florida. 2014. Available online: https://fdotwww.blob.core.windows.net/sitefinity/docs/default-source/planning/systems/systems-management/sm-old-files/traffic-analysis/traffic-analysis-handbook_march-2014.pdf?sfvrsn=51c88e22_0 (accessed on 3 August 2022).
- Arafat, M.; Nafis, S.R.; Sadeghvaziri, E.; Tousif, F. A data-driven approach to calibrate microsimulation models based on the degree of saturation at signalized intersections. Transp. Res. Interdiscip. Perspect. 2020, 8, 100231. [Google Scholar] [CrossRef]
- Marsaglia, G.; Tsang, W.W.; Wang, J. Evaluating Kolmogorov’s distribution. J. Stat. Softw. 2003, 8, 1–4. [Google Scholar] [CrossRef]
- Simard, R.; L’Ecuyer, P. Computing the two-sided Kolmogorov-Smirnov distribution. J. Stat. Softw. 2011, 39, 1–18. [Google Scholar] [CrossRef]
- Shladover, S.E. Connected and automated vehicle systems: Introduction and overview. J. Intell. Transp. Syst. 2018, 22, 190–200. [Google Scholar] [CrossRef]
- Xiao, L.; Wang, M.; Van Arem, B. Realistic car-following models for microscopic simulation of adaptive and cooperative adaptive cruise control vehicles. Transp. Res. Rec. 2017, 2623, 1–9. [Google Scholar] [CrossRef]
- Houchin, A.; Dong, J.; Hawkins, N.; Knickerbocker, S. Measurement and Analysis of Heterogenous Vehicle Following Behavior on Urban Freeways: Time Headways and Standstill Distances. In Proceedings of the 2015 IEEE 18th International Conference on Intelligent Transportation Systems, Gran Canaria, Spain, 15–18 September 2015; pp. 888–893. Available online: http://ieeexplore.ieee.org/document/7313241/ (accessed on 15 August 2022).



| Vehicle Classification | Estimated Time Gap (s) | Observed Critical Time Gap (s) (Qi et al., 2019) [12] | t-Test | p-Value |
|---|---|---|---|---|
| Passenger vehicle | 2.60 | 2.58 | 0.89 | 0.44 |
| WB-20 HCV | 3.07 | 3.06 | 1.41 | 0.25 |
| Average Running Speed at the Beginning of Ramp (km/h) | ||||||||
|---|---|---|---|---|---|---|---|---|
| 44 | 50 | 57 | 63 | 70 | 76 | 81 | ||
| Required Acceleration Lane Length (m)—2 HCV Platooning 0.6 s Headway | ||||||||
| 105 | 49 | 390 | ||||||
| 105 | 57 | 365 | 420 | |||||
| 105 | 65 | 340 | 395 | 405 | ||||
| 105 | 73 | 310 | 370 | 390 | 450 | |||
| 105 | 81 | 275 | 325 | 350 | 410 | 480 | 585 | |
| 105 | 89 | 235 | 280 | 305 | 360 | 430 | 490 | 630 |
| 105 | 92 | 215 | 260 | 285 | 335 | 405 | 500 | 605 |
| 105 | 102 | 155 | 190 | 215 | 260 | 320 | 400 | 490 |
| Required Acceleration Lane Length (m)—2 HCV Platooning 1.2 s Headway | ||||||||
| 105 | 49 | 400 | ||||||
| 105 | 57 | 375 | 430 | |||||
| 105 | 65 | 350 | 405 | 420 | ||||
| 105 | 73 | 320 | 385 | 405 | 470 | |||
| 105 | 81 | 285 | 340 | 370 | 430 | 510 | 620 | |
| 105 | 89 | 245 | 295 | 325 | 380 | 455 | 545 | 685 |
| 105 | 92 | 230 | 275 | 305 | 360 | 435 | 540 | 660 |
| 105 | 102 | 170 | 205 | 240 | 285 | 350 | 445 | 545 |
| Input Parameters | Wiedemann 99 (W99) Car Following Model | |||
|---|---|---|---|---|
| Default | Passenger Vehicles | HCVs 2 or LCVs 3 | HCV Platooning | |
| Maximum look ahead distance (m) | 250 | 250 | 250 | 300 |
| Maximum look back distance (m) | 150 | 150 | 150 | 300 |
| Number of interaction objects | 2 | 1 | 1 | 3 |
| Number of interaction vehicles | 99 | 1 | 1 | 2 |
| Standstill distance (m) for following passenger vehicle | 1.5 | 1.5 | 3.77 | 3.77 |
| Standstill distance (m) for following HCV or HCV platooning | 1.5 | 3.05 | 3.37 | 3.37 |
| Standstill distance (m) for following HCV in Platoon | 1.5 | NA 1 | NA 1 | 1 |
| Time headway (s) for following passenger vehicle | 0.9 | 1.8 | 1.84 | 1.84 |
| Time headway (s) for following HCV or an HCV platoon | 0.9 | 2.39 | 1.84 | NA 1 |
| Time headway (s) between HCVs in platoon | 0.9 | NA 1 | NA 1 | 0.6/ |
| 1.2 | ||||
| Following distance oscillation (m) | 4 | 4 | 14 | 14 |
| Negative speed difference (m/s) | −0.35 | −1.65 | −2.07 | −2.07 |
| Positive speed difference (m/s) | 0.35 | 1.65 | 2.07 | 2.07 |
| Oscillation acceleration (m/s2) | 0.25 | 0.09 | 0.097 | 0.097 |
| Acceleration from standstill (m/s2) | 3.5 | 0.5 | 0.3 | 0.3 |
| Acceleration at 80 km/h (m/s2) | 1.5 | 0.45 | 0.25 | 0.25 |
| Lane Changing Model | ||||
| Maximum deceleration (m/s2) | −3 | −3 | −1.62 | −1.62 |
| Safety distance reduction factor | 0.6 | 0.6 | 0.6 | 1 |
| Roadway Type | Field Observed Traffic Volume (vph) | Simulated Base Model Traffic Volume (vph) | GEH Value |
|---|---|---|---|
| Freeway | 6100 | 6033 | 0.86 |
| Ramp | 1100 | 1058 | 1.28 |
| Freeway Lanes | Average Speed (Simulation Result) (Km/h) | Standard Deviation (Km/h) | Two Sample | ||
|---|---|---|---|---|---|
| Degrees of Freedom (df) | t-Statistic | p-Value | |||
| Lane 1 | 105.69 | 5.15 | 6093.10 | −1.56 | 0.12 |
| Lane 2 | 97.75 | 6.38 | 6095.30 | 0.87 | 0.38 |
| Lane 3 | 95.62 | 7.63 | 6094.40 | −1.03 | 0.31 |
| Lane 4 | 92.98 | 8.55 | 6094.70 | −0.91 | 0.36 |
| Lane 5 | 91.69 | 8.55 | 6093.60 | −0.44 | 0.66 |
| Alternative Models | Headway (s) | Market Penetration Rates (%) | Acceleration Lane Length (m) |
|---|---|---|---|
| AM1 | 0.6 | 5 | 350 |
| AM2 | 1.2 | ||
| AM3 | 0.6 | 10 | |
| AM4 | 1.2 | ||
| AM5 | 0.6 | 5 | 600 |
| AM6 | 1.2 | ||
| AM7 | 0.6 | 10 | |
| AM8 | 1.2 |
| Vehicle Category | VISSIM Model | 15th Percentile | Average | 85th Percentile | KS Test | p-Value | Significance Level * |
|---|---|---|---|---|---|---|---|
| D-Statistic | |||||||
| All | BM | 8 | 18 | 51 | NA 1 | NA 1 | |
| AM1 | 8 | 19 | 54 | 0.021 | 0.2 | ||
| AM2 | 8 | 20 | 55 | 0.042 | 2.20 × 10−16 | *** | |
| AM3 | 8 | 20 | 56 | 0.039 | 2.20 × 10−16 | *** | |
| AM4 | 8 | 22 | 59 | 0.063 | 2.20 × 10−16 | *** | |
| AM5 | 7 | 19 | 49 | 0.141 | 2.20 × 10−16 | *** | |
| AM6 | 7 | 19 | 50 | 0.135 | 2.20 × 10−16 | *** | |
| AM7 | 7 | 20 | 51 | 0.065 | 2.20 × 10−16 | *** | |
| AM8 | 7 | 21 | 53 | 0.062 | 2.20 × 10−16 | *** | |
| HCVs | BM | 12 | 27 | 70 | NA 1 | NA 1 | |
| AM1 | 17 | 42 | 72 | 0.034 | 0.14 | ||
| AM2 | 20 | 50 | 75 | 0.277 | 0.002 | ** | |
| AM3 | 17 | 51 | 89 | 0.252 | 7.32 × 10−7 | *** | |
| AM4 | 21 | 60 | 91 | 0.327 | 2.42 × 10−11 | *** | |
| AM5 | 24 | 35 | 71 | 0.387 | 4.77 × 10−6 | *** | |
| AM6 | 26 | 38 | 75 | 0.371 | 1.01 × 10−5 | *** | |
| AM7 | 25 | 46 | 86 | 0.428 | 2.22 × 10−16 | *** | |
| AM8 | 26 | 58 | 97 | 0.414 | 1.22 × 10−15 | *** |
Publisher’s Note: MDPI stays neutral with regard to jurisdictional claims in published maps and institutional affiliations. |
© 2022 by the authors. Licensee MDPI, Basel, Switzerland. This article is an open access article distributed under the terms and conditions of the Creative Commons Attribution (CC BY) license (https://creativecommons.org/licenses/by/4.0/).
Share and Cite
Chowdhury, T.U.; Park, P.Y.; Gingerich, K. Estimation of Appropriate Acceleration Lane Length for Safe and Efficient Truck Platooning Operation on Freeway Merge Areas. Sustainability 2022, 14, 12946. https://doi.org/10.3390/su141912946
Chowdhury TU, Park PY, Gingerich K. Estimation of Appropriate Acceleration Lane Length for Safe and Efficient Truck Platooning Operation on Freeway Merge Areas. Sustainability. 2022; 14(19):12946. https://doi.org/10.3390/su141912946
Chicago/Turabian StyleChowdhury, Tanvir Uddin, Peter Y. Park, and Kevin Gingerich. 2022. "Estimation of Appropriate Acceleration Lane Length for Safe and Efficient Truck Platooning Operation on Freeway Merge Areas" Sustainability 14, no. 19: 12946. https://doi.org/10.3390/su141912946
APA StyleChowdhury, T. U., Park, P. Y., & Gingerich, K. (2022). Estimation of Appropriate Acceleration Lane Length for Safe and Efficient Truck Platooning Operation on Freeway Merge Areas. Sustainability, 14(19), 12946. https://doi.org/10.3390/su141912946

