Diet Optimization for Sustainability: INDIGOO, an Innovative Multilevel Model Combining Individual and Population Objectives
Abstract
1. Introduction
2. Materials and Methods
2.1. Population Sample and Dietary Data
2.2. Food Database
2.3. Description of the Diet Optimization Models
2.4. Feasibility
2.5. Identification of Four Population Classes Based on Dietary GHGEs Change between Observed and INDIGOO Optimized Diets
2.6. Comparison of IBDO and INDIGOO
2.7. Indicators Used to Estimate Each Dimension of Diet Sustainability
2.8. Comparison of Sociodemographic Characteristics and Nutritional, Cultural, Environmental and Economic Indicators Related to Observed Diets between the Four Population Classes
2.9. Impact of the INDIGOO Approach on Cultural, Environmental and Economic Indicators According to the Four Population Classes
2.10. Statistical Analyses
3. Results
3.1. Identification of Four Population Classes Based on Dietary GHGEs Changes among INDIGOO Feasible Diets
3.2. Comparison of INDIGOO and IBDO
3.3. Sociodemographic Characteristics by Population Class
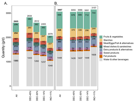
3.4. Description of the Observed Diets Regarding the Nutritional, Economic, Environmental and Cultural Dimensions of a Sustainable Diet by Population Class
3.5. Impact of the INDIGOO Approach on the Cultural, Environmental and Economic Dimensions of Diet Sustainability by Population Class
4. Discussion
5. Conclusions
Supplementary Materials
Author Contributions
Funding
Institutional Review Board Statement
Informed Consent Statement
Data Availability Statement
Conflicts of Interest
References
- Joint Research Center; Institute for Prospective Technological Studies. Environmental Impact of Products (EIPRO) Analysis of the Life Cycle Environmental Impacts Related to the Final Consumption of the EU-25: Main Report: IPTS/ESTO Project; Eder, P., Delgado, L., Eds.; Scientific Publications Office: Luxembourg, 2007; ISBN 92-79-02361-6. [Google Scholar]
- Food and Agriculture Organization of the United Nations (FAO). Sustainable Diets and Biodiversity: Directions and Solutions for Policy, Research and Action. In Proceedings of the The International Scientific Symposium on Biodiversity and Sustainable Diets: United Against Hunger, Rome, Italy, 3–5 November 2010; Burlingame, B., Dernini, S., Eds.; Food and Agriculture Organization of the United Nations (FAO): Rome, Italy, 2012; p. 309. [Google Scholar]
- Garnett, T. Where are the best opportunities for reducing greenhouse gas emissions in the food system (including the food chain)? Food Policy 2011, 36, S23–S32. [Google Scholar] [CrossRef]
- Perignon, M.; Darmon, N. Advantages and limitations of the methodological approaches used to study dietary shifts towards improved nutrition and sustainability. Nutr. Rev. 2022, 80, 579–597. [Google Scholar] [CrossRef] [PubMed]
- Gazan, R.; Brouzes, C.M.C.; Vieux, F.; Maillot, M.; Lluch, A.; Darmon, N. Mathematical Optimization to Explore Tomorrow’s Sustainable Diets: A Narrative Review. Adv. Nutr. 2018, 9, 602–616. [Google Scholar] [CrossRef] [PubMed]
- Van Dooren, C. A Review of the Use of Linear Programming to Optimize Diets, Nutritiously, Economically and Environmentally. Front. Nutr. 2018, 5, 48. [Google Scholar] [CrossRef] [PubMed]
- Maillot, M.; Vieux, F.; Amiot, M.J.; Darmon, N. Individual diet modeling translates nutrient recommendations into realistic and individual-specific food choices. Am. J. Clin. Nutr. 2010, 91, 421–430. [Google Scholar] [CrossRef]
- Ferrari, M.; Benvenuti, L.; Rossi, L.; De Santis, A.; Sette, S.; Martone, D.; Piccinelli, R.; Le Donne, C.; Leclercq, C.; Turrini, A. Could Dietary Goals and Climate Change Mitigation Be Achieved Through Optimized Diet? The Experience of Modeling the National Food Consumption Data in Italy. Front. Nutr. 2020, 7, 1–13. [Google Scholar] [CrossRef]
- Macdiarmid, J.I.; Kyle, J.; Horgan, G.W.; Loe, J.; Fyfe, C.; Johnstone, A.; McNeill, G. Sustainable diets for the future: Can we contribute to reducing greenhouse gas emissions by eating a healthy diet? Am. J. Clin. Nutr. 2012, 96, 632–639. [Google Scholar] [CrossRef]
- Verly-Jr, E.; de Carvalho, A.M.; Marchioni, D.M.L.; Darmon, N. The cost of eating more sustainable diets: A nutritional and environmental diet optimisation study. Glob. Public Health 2022, 17, 1073–1086. [Google Scholar] [CrossRef]
- Vieux, F.; Perignon, M.; Gazan, R.; Darmon, N. Dietary changes needed to improve diet sustainability: Are they similar across Europe? Eur. J. Clin. Nutr. 2018, 72, 951–960. [Google Scholar] [CrossRef]
- Perignon, M.; Masset, G.; Ferrari, G.; Barré, T.; Vieux, F.; Maillot, M.; Amiot, M.-J.; Darmon, N. How low can dietary greenhouse gas emissions be reduced without impairing nutritional adequacy, affordability and acceptability of the diet? A modelling study to guide sustainable food choices. Public Health Nutr. 2016, 19, 2662–2674. [Google Scholar] [CrossRef]
- Chaudhary, A.; Krishna, V. Country-specific sustainable diets using optimization algorithm. Environ. Sci. Technol. 2019, 53, 7694–7703. [Google Scholar] [CrossRef]
- Horgan, G.W.; Perrin, A.; Whybrow, S.; Macdiarmid, J.I. Achieving dietary recommendations and reducing greenhouse gas emissions: Modelling diets to minimise the change from current intakes. Int. J. Behav. Nutr. Phys. Act. 2016, 13, 46. [Google Scholar] [CrossRef]
- Gazan, R.; Vieux, F.; Lluch, A.; De Vriese, S.; Trotin, B.; Darmon, N. Individual diet optimization in French adults shows that plant-based “dairy-like” products may complement dairy in sustainable diets. Sustainability 2022, 14, 2817. [Google Scholar] [CrossRef]
- United nations Climate Change NDC Synthesis Report. Available online: https://unfccc.int/process-and-meetings/the-paris-agreement/nationally-determined-contributions-ndcs/nationally-determined-contributions-ndcs/ndc-synthesis-report#eq-4 (accessed on 15 September 2021).
- European Commission Paris Agreement. Available online: https://ec.europa.eu/clima/policies/international/negotiations/paris_en (accessed on 15 September 2021).
- AFSSA. Etude Individuelle Nationale des Consommations Alimentaires 2 2006–2007 (INCA2); Individual National Study of Food Consumption 2006–2007; AFSSA: Maisons-Alfort, France, 2009; Volume 2, Available online: https://www.anses.fr/fr/system/files/PASER-Ra-INCA2.pdf_ (accessed on 15 September 2021).
- Dubuisson, C.; Lioret, S.; Touvier, M.; Dufour, A.; Calamassi-Tran, G.; Volatier, J.-L.; Lafay, L. Trends in food and nutritional intakes of French adults from 1999 to 2007: Results from the INCA surveys. Br. J. Nutr. 2010, 103, 1035–1048. [Google Scholar] [CrossRef]
- Black, A.E. Critical evaluation of energy intake using the Goldberg cut-off for energy intake:basal metabolic rate. A practical guide to its calculation, use and limitations. Int. J. Obes. 2000, 24, 1119–1130. [Google Scholar] [CrossRef]
- Goldberg, G.R.; Black, A.E.; Jebb, S.A.; Cole, T.J.; Murgatroyd, P.R.; Coward, W.A.; Prentice, A.M. Critical evaluation of energy intake data using fundamental principles of energy physiology: 1. Derivation of cut-off limits to identify under-recording. Eur. J. Clin. Nutr. 1991, 45, 569–581. [Google Scholar]
- Hercberg, S.; Deheeger, M.; Preziosi, P. Portions Alimentaires Manuel Photos Pour l’Estimation des Quantités—(Portion Sizes: Picture Booklet for the Estimation of Quantities); SU-VI-MAX; Polytechnica: Paris, France, 1994. [Google Scholar]
- Lee, P.H.; Macfarlane, D.J.; Lam, T.H.; Stewart, S.M. Validity of the International Physical Activity Questionnaire Short Form (IPAQ-SF): A systematic review. Int. J. Behav. Nutr. Phys. Act. 2011, 8, 115. [Google Scholar] [CrossRef]
- Gazan, R.; Barré, T.; Perignon, M.; Maillot, M.; Darmon, N.; Vieux, F. A methodology to compile food metrics related to diet sustainability into a single food database: Application to the French case. Food Chem. 2018, 238, 125–133. [Google Scholar] [CrossRef]
- ANSES. Actualisation des Références Élaboration des Repères du PNNS: Élaboration des Références Nutritionnelles; ANSES: Maisons-Alfort, France, 2016.
- Lluch, A.; Maillot, M.; Gazan, R.; Vieux, F.; Delaere, F.; Vaudaine, S.; Darmon, N. Individual Diet Modeling Shows How to Balance the Diet of French Adults with or without Excessive Free Sugar Intakes. Nutrients 2017, 9, 162. [Google Scholar] [CrossRef]
- Maillot, M.; Vieux, F.; Delaere, F.; Lluch, A.; Darmon, N. Dietary changes needed to reach nutritional adequacy without increasing diet cost according to income: An analysis among French adults. PLoS ONE 2017, 12, e0174679. [Google Scholar] [CrossRef]
- Santé Publique France. Recommendations Concerning Diet, Physical Activity and Sedentary Behaviour for Adults; Santé Publique France: Saint-Maurice, France, 2019. [Google Scholar]
- ANSES. Poissons et Produits de la Pêche, Conseils de Consommation; ANSES: Maisons-Alfort, France, 2016.
- Vieux, F.; Soler, L.-G.; Touazi, D.; Darmon, N. High nutritional quality is not associated with low greenhouse gas emissions in self-selected diets of French adults. Am. J. Clin. Nutr. 2013, 97, 569–583. [Google Scholar] [CrossRef]
- Ledikwe, J.H.; Blanck, H.M.; Khan, L.K.; Serdula, M.K.; Seymour, J.D.; Tohill, B.C.; Rolls, B.J. Low-Energy-Density Diets Are Associated with High Diet Quality in Adults in the United States. J. Am. Diet. Assoc. 2006, 106, 1172–1180. [Google Scholar] [CrossRef]
- Walker, C.; Gibney, E.R.; Hellweg, S. Comparison of Environmental Impact and Nutritional Quality among a European Sample Population - findings from the Food4Me study. Sci. Rep. 2018, 8, 2330. [Google Scholar] [CrossRef]
- Vieux, F.; Darmon, N.; Touazi, D.; Soler, L.G. Greenhouse gas emissions of self-selected individual diets in France: Changing the diet structure or consuming less? Ecol. Econ. 2012, 75, 91–101. [Google Scholar] [CrossRef]
- Monsivais, P.; Scarborough, P.; Lloyd, T.; Mizdrak, A.; Luben, R.; Mulligan, A.A.; Wareham, N.J.; Woodcock, J. Greater accordance with the Dietary Approaches to Stop Hypertension dietary pattern is associated with lower diet-related greenhouse gas production but higher dietary costs in the United Kingdom. Am. J. Clin. Nutr. 2015, 102, 138–145. [Google Scholar] [CrossRef]
- Darmon, N.; Briend, A.; Drewnowski, A. Energy-dense diets are associated with lower diet costs: A community study of French adults. Public Health Nutr. 2004, 7, 21–27. [Google Scholar] [CrossRef] [PubMed]
- Steenson, S.; Buttriss, J.L. Healthier and more sustainable diets: What changes are needed in high-income countries? Nutr. Bull. 2021, 46, 279–309. [Google Scholar] [CrossRef]
- French Agency for Food Environmental and Occupational Health & Safety (ANSES). A Summary of the Agency’s Recommendations for Fish and Fishery Products. Available online: https://www.anses.fr/en/content/summary-agencys-recommendations-fish-and-fishery-products (accessed on 16 July 2019).
- Masset, G.; Vieux, F.; Darmon, N. Which functional unit to identify sustainable foods? Public Health Nutr. 2015, 18, 2488–2497. [Google Scholar] [CrossRef] [PubMed]
- Intergovernemental Panel on Climate Change. Climate change 2022. In Impacts, Adaptation and Vulnerability; Summary for Policymakers: Geneva, Switzerland, 2022. [Google Scholar]
- Fanzo, J.; Bellows, A.L.; Spiker, M.L.; Thorne-Lyman, A.L.; Bloem, M.W. The importance of food systems and the environment for nutrition. Am. J. Clin. Nutr. 2021, 113, 7–16. [Google Scholar] [CrossRef] [PubMed]
- Van Dooren, C.; Man, L.; Seves, M.; Biesbroek, S. A Food System Approach for Sustainable Food-Based Dietary Guidelines: An Exploratory Scenario Study on Dutch Animal Food Products. Front. Nutr. 2021, 8, 542. [Google Scholar] [CrossRef]
- Hallström, E.; Carlsson-Kanyama, A.; Börjesson, P. Environmental impact of dietary change: A systematic review. J. Clean. Prod. 2015, 91, 1–11. [Google Scholar] [CrossRef]
- Barré, T.; Perignon, M.; Gazan, R.; Vieux, F.; Micard, V.; Amiot, M.-J.; Darmon, N. Integrating nutrient bioavailability and co-production links when identifying sustainable diets: How low should we reduce meat consumption? PLoS ONE 2018, 13, e0191767. [Google Scholar] [CrossRef]
- Kramer, G.; Durlinger, B.; Kuling, L.; van Zeist, W.; Blonk, H.; Broekema, R.; Halevy, S. Eating for 2 Degrees New and Updated Livewell Plates; WWF: Surrey, UK, 2017. [Google Scholar]
- Equipe de Surveillance et d’Épidémiologie Nutritionnelle (Esen). Étude de Santé sur l’Environnement, la Biosurveillance, l’Activité Physique et la Nutrition (Esteban), 2014–2016. Volet Nutrition. Chapitre Consommations; Equipe de Surveillance et d’Épidémiologie Nutritionnelle (Esen): Saint-Maurice, France, 2018. [Google Scholar]
- Scheelbeek, P.; Green, R.; Papier, K.; Knuppel, A.; Alae-Carew, C.; Balkwill, A.; Key, T.J.; Beral, V.; Dangour, A.D. Health impacts and environmental footprints of diets that meet the Eatwell Guide recommendations: Analyses of multiple UK studies. BMJ Open 2020, 10, e037554. [Google Scholar] [CrossRef]
- French Agency for Ecological Transition (ADEME). Agribalyse V3. Available online: https://agribalyse.ademe.fr/ (accessed on 3 September 2021).
- Poore, J.; Nemecek, T. Reducing food’s environmental impacts through producers and consumers. Science 2018, 360, 987–992. [Google Scholar] [CrossRef]
- Bertoluci, G.; Masset, G.; Gomy, C.; Mottet, J.; Darmon, N. How to Build a Standardized Country-Specific Environmental Food Database for Nutritional Epidemiology Studies. PLoS ONE 2016, 11, e0150617. [Google Scholar] [CrossRef]





| All | DEC-45% | DEC-30% | DEC-14% | INC+11% | p-Values | |||||||
|---|---|---|---|---|---|---|---|---|---|---|---|---|
| Mean | Std | Mean | Std | Mean | Std | Mean | Std | Mean | Std | a 1 | b 2 | |
| Energy (kCal/day) | 2134.7 | 15.2 | 2267.1 | 25.6 | 2171.4 | 22.6 | 2050.6 | 24.5 | 1737 | 43.2 | <0.0001 | <0.0001 4 |
| SED (g/kCal) | 172.7 | 0.8 | 171.8 | 1.5 | 172.5 | 1.4 | 173.3 | 1.3 | 175.2 | 2.1 | 0.6678 | <0.0001 3 |
| MAR (%) | 84.7 | 0.2 | 87.2 | 0.3 | 85.5 | 0.4 | 83.5 | 0.4 | 75.1 | 0.7 | <0.0001 | <0.0001 3 |
| MER (%) | 20.8 | 0.5 | 23.6 | 1.1 | 21.8 | 0.8 | 19.5 | 0.9 | 9.3 | 0.9 | <0.0001 | 00.4386 |
| Dietary GHGEs (CO2 eq./day) | 4041.4 | 29.8 | 4893 | 44.1 | 4060.4 | 34.1 | 3474.9 | 32.1 | 2664.3 | 40.8 | <0.0001 | <0.0001 3 |
| Marine eutrophication (N eq./day) | 16.8 | 0.1 | 19.2 | 0.3 | 16.9 | 0.2 | 15.2 | 0.2 | 11.9 | 0.2 | <0.0001 | <0.0001 3 |
| Air acidification (SO2 eq./day) | 50.9 | 0.4 | 63.2 | 0.8 | 51.6 | 0.5 | 42.1 | 0.4 | 31 | 0.7 | <0.0001 | <0.0001 3 |
| Diet cost (€/day) | 6.3 | 0 | 7.0 | 0.1 | 6.4 | 0.1 | 5.9 | 0.1 | 4.7 | 0.1 | <0.0001 | <0.0001 3 |
| Environmental Indicator | Direction of Variation | DEC-45% (30.8% of Individuals) | DEC-30% (30.9% of Individuals) | DEC-14% (31.9% of Individuals) | INC+11% (6.4% of Individuals) |
|---|---|---|---|---|---|
| Air acidification | Increase | 0% | 0% | 2.5% | 24.1% |
| Decrease | 100% | 100% | 97.5% | 75.9% | |
| Marine eutrophication | Increase | 4.2% | 23.1% | 62.7% | 98.4% |
| Decrease | 95.8% | 76.9% | 37.3% | 1.9% |
Publisher’s Note: MDPI stays neutral with regard to jurisdictional claims in published maps and institutional affiliations. |
© 2022 by the authors. Licensee MDPI, Basel, Switzerland. This article is an open access article distributed under the terms and conditions of the Creative Commons Attribution (CC BY) license (https://creativecommons.org/licenses/by/4.0/).
Share and Cite
Rocabois, A.; Tompa, O.; Vieux, F.; Maillot, M.; Gazan, R. Diet Optimization for Sustainability: INDIGOO, an Innovative Multilevel Model Combining Individual and Population Objectives. Sustainability 2022, 14, 12667. https://doi.org/10.3390/su141912667
Rocabois A, Tompa O, Vieux F, Maillot M, Gazan R. Diet Optimization for Sustainability: INDIGOO, an Innovative Multilevel Model Combining Individual and Population Objectives. Sustainability. 2022; 14(19):12667. https://doi.org/10.3390/su141912667
Chicago/Turabian StyleRocabois, Audrey, Orsolya Tompa, Florent Vieux, Matthieu Maillot, and Rozenn Gazan. 2022. "Diet Optimization for Sustainability: INDIGOO, an Innovative Multilevel Model Combining Individual and Population Objectives" Sustainability 14, no. 19: 12667. https://doi.org/10.3390/su141912667
APA StyleRocabois, A., Tompa, O., Vieux, F., Maillot, M., & Gazan, R. (2022). Diet Optimization for Sustainability: INDIGOO, an Innovative Multilevel Model Combining Individual and Population Objectives. Sustainability, 14(19), 12667. https://doi.org/10.3390/su141912667

