Study on Creep Characteristics of Water Saturated Phyllite
Abstract
:1. Introduction
2. Materials and Methods
2.1. Sample Preparation
2.2. Testing System
3. Results and Discussion
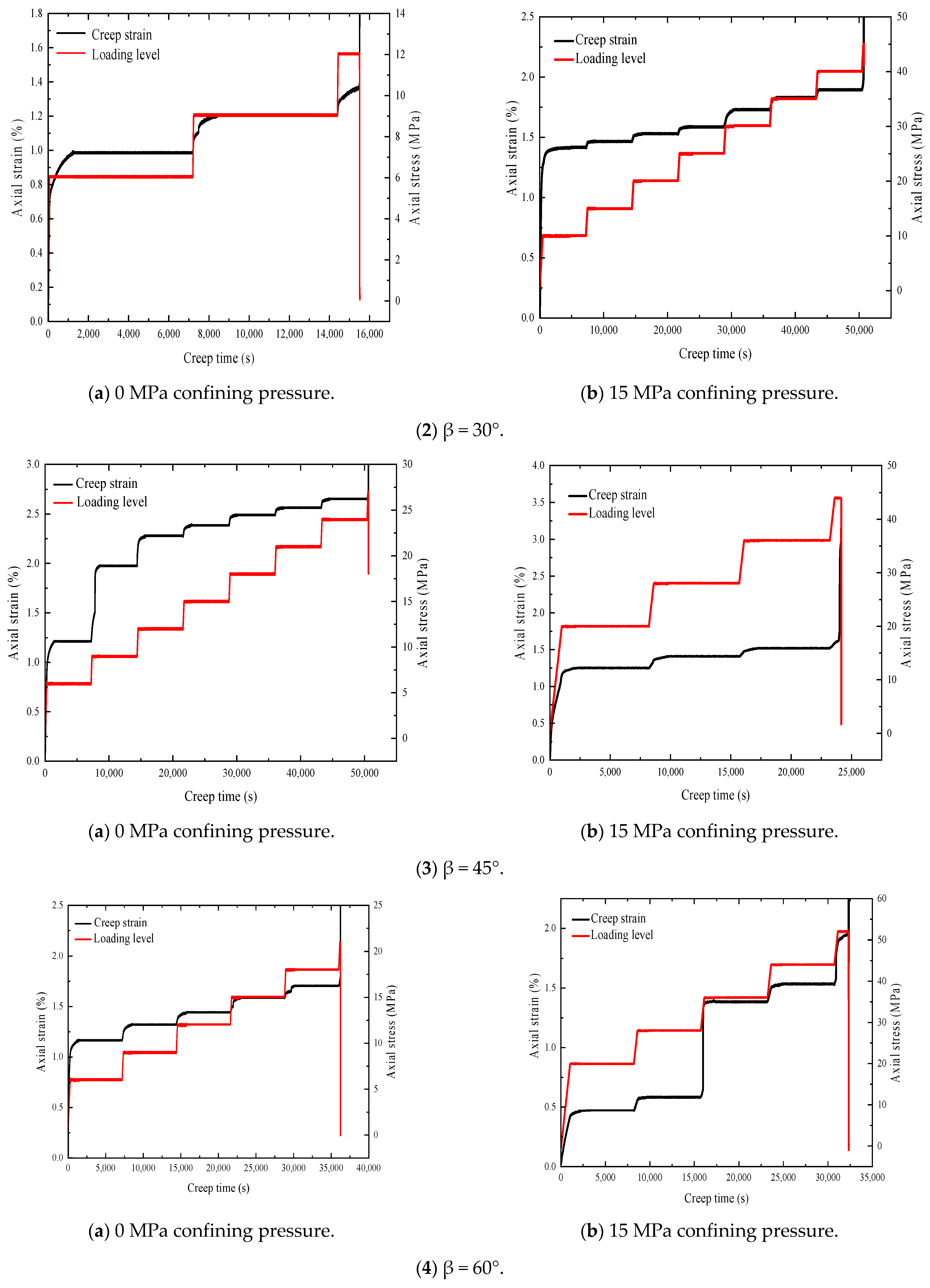
3.1. Creep Time–Axial Strain Curve
- (1)
- In the process of multi-level stress loading, during the first level loading, due to the pores in the rock and the expansion of kaolinite after being saturated with water, the internal space of the sample was compacted under the load and the instantaneous stress of the sample was significantly greater than that of the later loading process. The maximum axial stress of the compaction process was displayed by the 0° bedding sample, and the minimum was for the 90° bedding sample. When the initial load was completed and the axial stress was loaded in the later stages, the creep deformation increased rapidly at first. After the loading was completed, the creep rate decreased rapidly, and the displacement remained unchanged. The creep rate was close to zero and entered the constant speed creep stage. Under the application of the last level of stress, there were three obvious stages of slow creep, constant speed creep and accelerated creep, where the 0° and 30° bedding specimens were more prominently affected, and the accelerated creep stage of the 90° bedding specimen was not obvious, which reflected its brittleness.
- (2)
- Compared with the failure strength of all the creep samples, the water-saturated phyllite samples with bedding angles of 0°, 30°, 45°, 60° and 90° were subjected to uniaxial creep tests at the stress levels of 52 MPa, 12 MPa, 27 MPa, 21 MPa and 87 MPa (when the 84 MPa grade was completed and ready to be loaded into the next grade), along with the triaxial creep tests at the stress levels of 128 MPa, 45 MPa, 44 MPa, 52 MPa and 142 MPa. Under the same bedding angle, the triaxial creep failure strength was obviously greater than the uniaxial creep failure strength. Under the confining pressure, the triaxial creep strength increased by a larger factor than the uniaxial creep strength for the 30° bedding specimen.
3.2. Relationship between Strain and Time
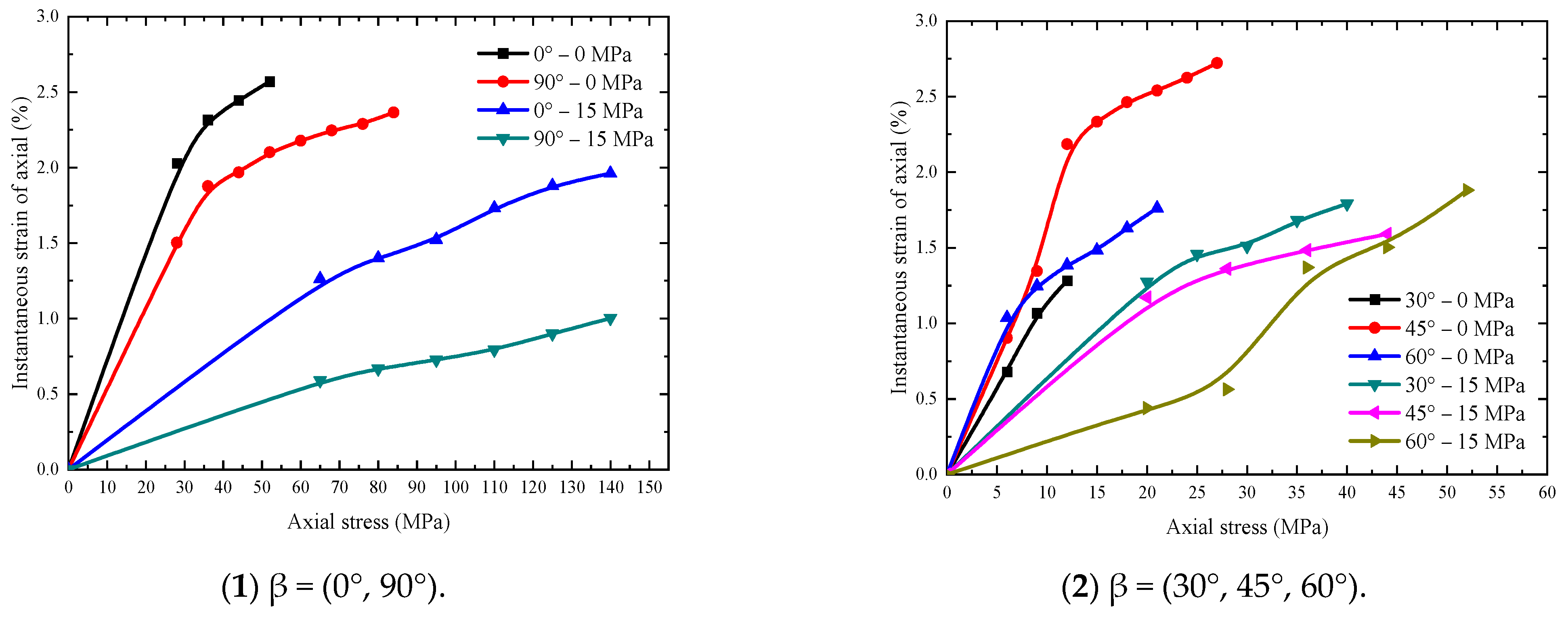
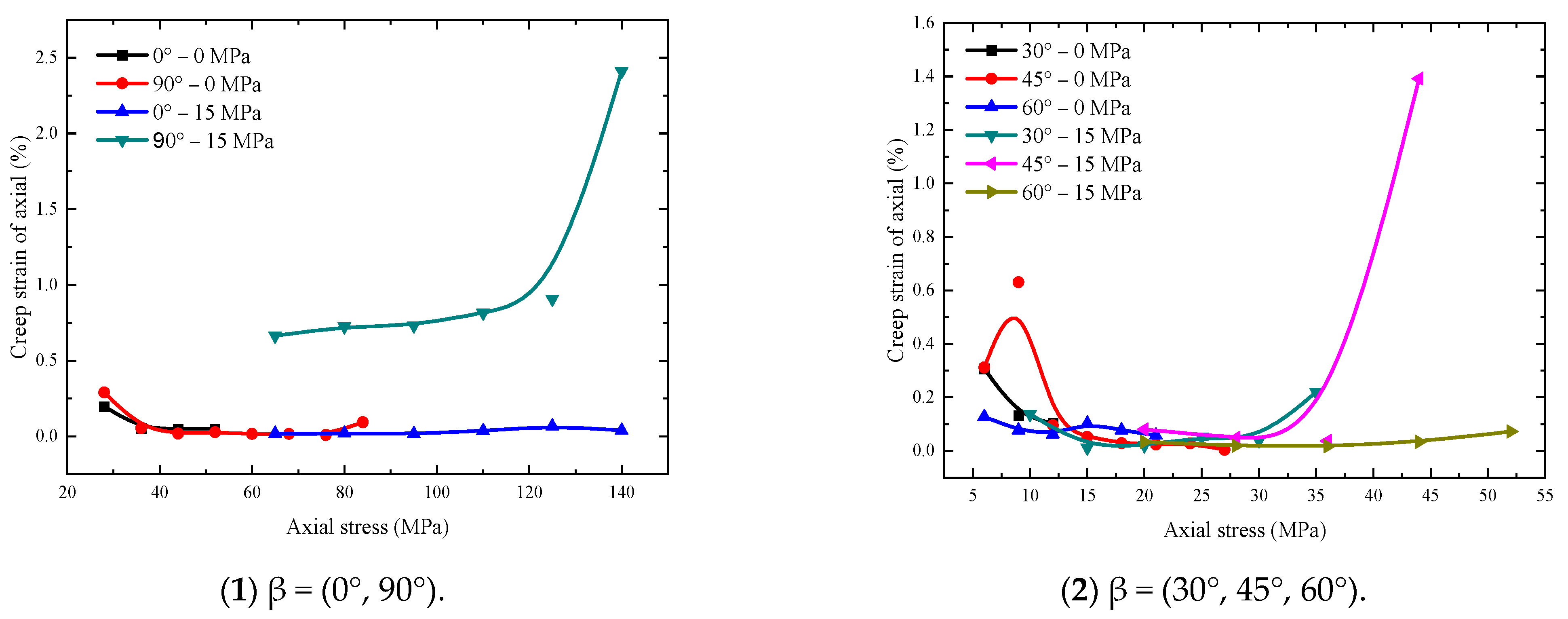
- (1)
- The sum of the first three grades of creep stress under stress loading was the largest, and the creep phenomenon was obvious. The uniaxial compression creep stress of the 45° bedding specimen was the largest, and its creep deformation mainly occurred at the first two stress levels. The next creep strain was the 30° bedding specimen, which also had a large creep deformation at 9 MPa. The maximum stress of the 90° bedding specimen occurred near the last loading stress level. The main reason for this was that the 90° bedding specimen had the smallest compressible space, and its stress variable was the crack before the failure.
- (2)
- Under the low-stress condition, the creep process occurred along the bedding. In the creep curves of the specimens with 30°, 45° and 60° bedding angles, it can be seen that the deformation suddenly increased when the stress load was constant, especially for the specimen with 45° bedding. When the axial stress was a 9 MPa dead load, the axial deformation suddenly increased in the creep attenuation stage, and the strain increased by about 0.4%. The specimen with a 30° bedding angle had the same situation at 9 MPa. Similar situations occurred at 15 MPa and 18 MPa for the specimen with a bedding inclination of 60°, but the specimen did not undergo structural damage or the subsequent sustainable bearing capacity creep. The main reason for this phenomenon was the appearance of bedding control.
3.3. Instantaneous Strain and Creep Strain
3.4. Failure Strength
3.5. Creep Failure Mode
4. Engineering Examples
- (1)
- The deformation speed of the deep roadway support steel frame was fast and the deformation was large.
- (2)
- The creep characteristics of the surrounding rock were obvious, and the horizontal deformation of the roadway support steel frame was serious.
- (3)
- Serious floor heave in the deep roadway.
- (4)
- The deformation of different bedding dip angles of roadway surrounding rocks varied greatly.
5. Conclusions
- (1)
- When the bedding dip angle was 30~60°, under the control of the bedding, the phenomenon of sliding along the bedding appeared under the condition of a low-stress constant load, and the slip instantaneous creep deformation suddenly increased, but the sample did not have structural damage and could continuously bear multi-level stress and produce creep deformation. The sudden increase in instantaneous creep deformation had a large destructive effect on the rigid support of the roadway. At this time, it was more suitable to provide a rigid–flexible combination support method.
- (2)
- In the multi-level stress loading process of the creep test, the initial instantaneous stress variable was directly proportional to the size of the loading stress. When the stress was loaded to 50% of the failure strength, the instantaneous stress variable tended to be stable and maintained a linear, slightly increasing relationship with the stress level. When the bedding dip angle was 30~60°, the creep deformation accounted for more than 50% of the total deformation, while the bedding dip angles of 0° and 90° were dominated by the instantaneous strain in the stress loading process. The experimental results clearly showed that the main cause of deep large deformation was the stress environment, and the long-term creep deformation of the roadway was greater when the maximum principal stress and the dip angle of the rock bedding were at 30~60°.
- (3)
- The confining pressure had an obvious influence on the creep failure mode. The uniaxial creep specimens mainly displayed compression shear tensile failure, with a small number of parallel cracks along the main fracture surface. The mode of triaxial creep rupture changed the failure mode to single shear failure. The confining pressure had a greater inhibitory effect on the creep of samples with bedding dips of 0° and 90°. The creep deformation and failure of samples with bedding dips of 30~60° were mainly controlled by the bedding. Therefore, the main method of phyllite roadway reinforcement is to control the slip of the bedding.
Author Contributions
Funding
Institutional Review Board Statement
Informed Consent Statement
Data Availability Statement
Conflicts of Interest
References
- Xie, C.; Nguyen, H.; Bui, X.-N.; Nguyen, V.-T.; Zhou, J. Predicting roof displacement of roadways in underground coal mines using adaptive neuro-fuzzy inference system optimized by various physics-based optimization algorithms. J. Rock Mech. Geotech. Eng. 2021, 13, 1452–1465. [Google Scholar] [CrossRef]
- Xie, C.; Nguyen, H.; Choi, Y.; Armaghani, D.J. Optimized functional linked neural network for predicting diaphragm wall deflection induced by braced excavations in clays. Geosci. Front. 2021, 13, 101313. [Google Scholar] [CrossRef]
- Zhang, X.; Zou, J. Research on collaborative control technology of coal spontaneous combustion and gas coupling disaster in goaf based on dynamic isolation. Fuel 2022, 321, 124123. [Google Scholar] [CrossRef]
- Cao, J.; Xie, C.; Hou, Z. Ecological evaluation of heavy metal pollution in the soil of Pb-Zn mines. Ecotoxicology 2022, 31, 259–270. [Google Scholar] [CrossRef]
- Ramamurthy, T. Engineering performance of phyllite foreign. Sci. Technol. 1994, 25, 48–52. [Google Scholar]
- Chen, Z.; He, C.; Xu, G.; Ma, G.; Wu, D. A Case Study on the Asymmetric Deformation Characteristics and Mechanical Behavior of Deep-Buried Tunnel in Phyllite. Rock Mech. Rock Eng. 2019, 52, 4527–4545. [Google Scholar] [CrossRef]
- Si, X.-F.; Huang, L.-Q.; Li, X.-B.; Gong, F.-Q.; Liu, X.-L. Mechanical properties and rockburst proneness of phyllite under uniaxial compression. Trans. Nonferrous Met. Soc. China 2021, 31, 3862–3878. [Google Scholar] [CrossRef]
- Zhao, J.; Jie, M.; Li, T. Softening effect of phyllite with water saturation. J. Eng. Geol. 2017, 25, 1449–1454. [Google Scholar] [CrossRef]
- Chang, X.; Zhang, X.; Qian, L.; Chen, S.; Yu, J. Influence of bedding anisotropy on the dynamic fracture behavior of layered phyllite. Eng. Fract. Mech. 2021, 260, 108183. [Google Scholar] [CrossRef]
- Xu, G.; Gutierrez, M. Study on the damage evolution in secondary tunnel lining under the combined actions of corrosion degradation of preliminary support and creep deformation of surrounding rock. Transp. Geotech. 2020, 27, 100501. [Google Scholar] [CrossRef]
- Lyu, C.; Liu, J.; Ren, Y.; Liang, C.; Liao, Y. Study on very long-term creep tests and nonlinear creep-damage constitutive model of salt rock. Int. J. Rock Mech. Min. Sci. 2021, 146, 104873. [Google Scholar] [CrossRef]
- Discenza, M.E.; Martino, S.; Bretschneider, A.; Mugnozza, G.S. Influence of joints on creep processes involving rock masses: Results from physical-analogue laboratory tests. Int. J. Rock Mech. Min. Sci. 2020, 128, 104261. [Google Scholar] [CrossRef]
- Ma, L.; Wang, Y.; Wang, M.; Xue, B.; Duan, L. Mechanical properties of rock salt under combined creep and fatigue. Int. J. Rock Mech. Min. Sci. 2021, 141, 104654. [Google Scholar] [CrossRef]
- Xu, G.; He, C.; Chen, Z.; Yang, Q. Transversely isotropic creep behavior of phyllite and its influence on the long-term safety of the secondary lining of tunnels. Eng. Geol. 2020, 278, 105834. [Google Scholar] [CrossRef]
- Tang, H.; Wang, D.; Huang, R.; Pei, X.; Chen, W. A new rock creep model based on variable-order fractional derivatives and continuum damage mechanics. Bull. Eng. Geol. Environ. 2017, 77, 375–383. [Google Scholar] [CrossRef]
- Tang, S.B.; Yu, C.Y.; Heap, M.J. The Influence of Water Saturation on the Short-and Long-Term Mechanical Behavior of Red Sandstone. Rock Mech. Rock Eng. 2018, 51, 2669–2687. [Google Scholar] [CrossRef]
- Yu, C.; Tang, S.; Duan, D.; Zhang, Y.; Liang, Z.; Ma, K.; Ma, T. The effect of water on the creep behavior of red sandstone. Eng. Geol. 2019, 253, 64–74. [Google Scholar] [CrossRef]
- Yi, H.; Zhou, H.; Wang, R.; Liu, D.; Ding, J. On the Relationship between Creep Strain and Permeability of Granite: Experiment and Model Investigation. Energies 2018, 11, 2859. [Google Scholar] [CrossRef]
- Wang, Q.; Hu, X.; Xu, C. Time-dependent behavior of saturated silty mudstone under different confining pressures. Bull. Eng. Geol. Environ. 2020, 79, 2621–2634. [Google Scholar] [CrossRef]
- Bérest, P.; Gharbi, H.; Brouard, B.; Brückner, D.; DeVries, K.; Hévin, G.; Hofer, G.; Spiers, C.; Urai, J. Very Slow Creep Tests on Salt Samples. Rock Mech. Rock Eng. 2019, 52, 2917–2934. [Google Scholar] [CrossRef]
- Yang, S.; Hu, B. Creep and Long-Term Permeability of a Red Sandstone Subjected to Cyclic Loading after Thermal Treatments. Rock Mech. Rock Eng. 2018, 51, 2981–3004. [Google Scholar] [CrossRef]
- Huang, Y.; Li, J.; Ma, D.; Gao, H.; Guo, Y.; Ouyang, S. Triaxial compression behaviour of gangue solid wastes under effects of particle size and confining pressure. Sci. Total Environ. 2019, 693, 133607. [Google Scholar] [CrossRef] [PubMed]
- Yuan, Z.; Zhao, J.; Li, S.; Jiang, Z.; Huang, F. A Unified Solution for Surrounding Rock of Roadway Considering Seepage, Dilatancy, Strain-Softening and Intermediate Principal Stress. Sustainability 2022, 14, 8099. [Google Scholar] [CrossRef]
- Zhan, X.; Zhang, P.; Wen, Z.; Ma, Z.; Kong, D.; Kang, X.; Han, S. Study on the Dip Angle Effect of Asymmetric Deformation and Failure of the Gob-Side Coal–Rock Roadway in Gently Inclined Coal Seam. Sustainability 2022, 14, 7299. [Google Scholar] [CrossRef]
- Wang, Z.; Zhang, J.; Li, J.; Wang, P.; Wu, C.; Shi, L. Research of Surrounding Rock Control of Gob-Side Entry Retaining Based on Deviatoric Stress Distribution Characteristics. Sustainability 2022, 14, 5660. [Google Scholar] [CrossRef]
- Wu, H.; Jia, Q.; Wang, W.; Zhang, N.; Zhao, Y. Experimental Test on Nonuniform Deformation in the Tilted Strata of a Deep Coal Mine. Sustainability 2021, 13, 13280. [Google Scholar] [CrossRef]














| Group | Confining Pressure (MPa) | β (°) | Loading Stress Level σ1 (MPa) | Duration of Each Level of Load (s) |
|---|---|---|---|---|
| 1 | 0 | 0, 90 | 28, 36, 44, 52, 60, 68, 76, 84 | 7200 |
| 30, 45, 60 | 6, 9, 12, 15, 18, 21, 24, 27 | |||
| 2 | 15 | 0, 90 | 65, 80, 95, 110, 125, 140, 155 | 7200 |
| 30, 45, 60 | 20, 28, 36, 44, 52, 60, 68, 76 |
| Confining Pressure Level | Creep Test Failure Mode of Phyllite with Different Dip Angles | ||||
|---|---|---|---|---|---|
| 0° | 30° | 45° | 60° | 90° | |
| 0 MPa | ![]() | ![]() | ![]() | ![]() | ![]() |
| Shear slip and tension | Shear slip and tension | Shear slip | Shear slip and tension | Mainly parallel cutting | |
| 15 MPa | ![]() | ![]() | ![]() | ![]() | ![]() |
| Shear failure | Shear slip | Shear slip | Shear slip | Mainly parallel cutting | |
Publisher’s Note: MDPI stays neutral with regard to jurisdictional claims in published maps and institutional affiliations. |
© 2022 by the authors. Licensee MDPI, Basel, Switzerland. This article is an open access article distributed under the terms and conditions of the Creative Commons Attribution (CC BY) license (https://creativecommons.org/licenses/by/4.0/).
Share and Cite
Wu, Y.; Hu, J.; Wen, G. Study on Creep Characteristics of Water Saturated Phyllite. Sustainability 2022, 14, 12508. https://doi.org/10.3390/su141912508
Wu Y, Hu J, Wen G. Study on Creep Characteristics of Water Saturated Phyllite. Sustainability. 2022; 14(19):12508. https://doi.org/10.3390/su141912508
Chicago/Turabian StyleWu, Yabin, Jianhua Hu, and Guanping Wen. 2022. "Study on Creep Characteristics of Water Saturated Phyllite" Sustainability 14, no. 19: 12508. https://doi.org/10.3390/su141912508
APA StyleWu, Y., Hu, J., & Wen, G. (2022). Study on Creep Characteristics of Water Saturated Phyllite. Sustainability, 14(19), 12508. https://doi.org/10.3390/su141912508











