Effect of Different Types of Erosion on the Aerodynamic Performance of Wind Turbine Airfoils
Abstract
:1. Introduction
2. Erosion Type
3. Simulation Method
3.1. Governing Equation and Flow Field Solution Process
3.2. Simulation Domain and Mesh
3.3. Boundary Conditions
4. Results and Discussion
4.1. Lift and Drag Coefficients
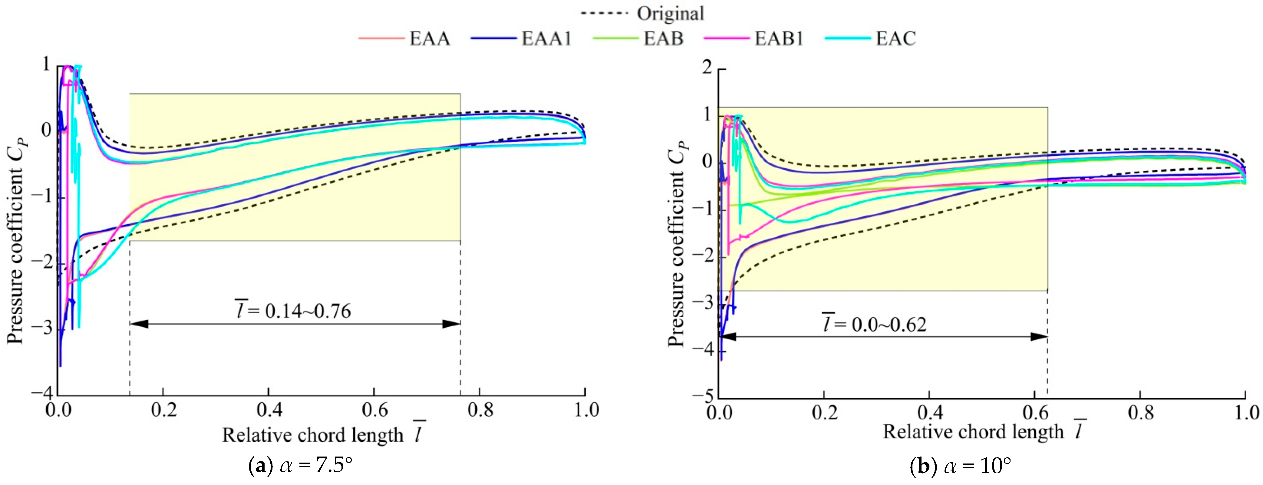
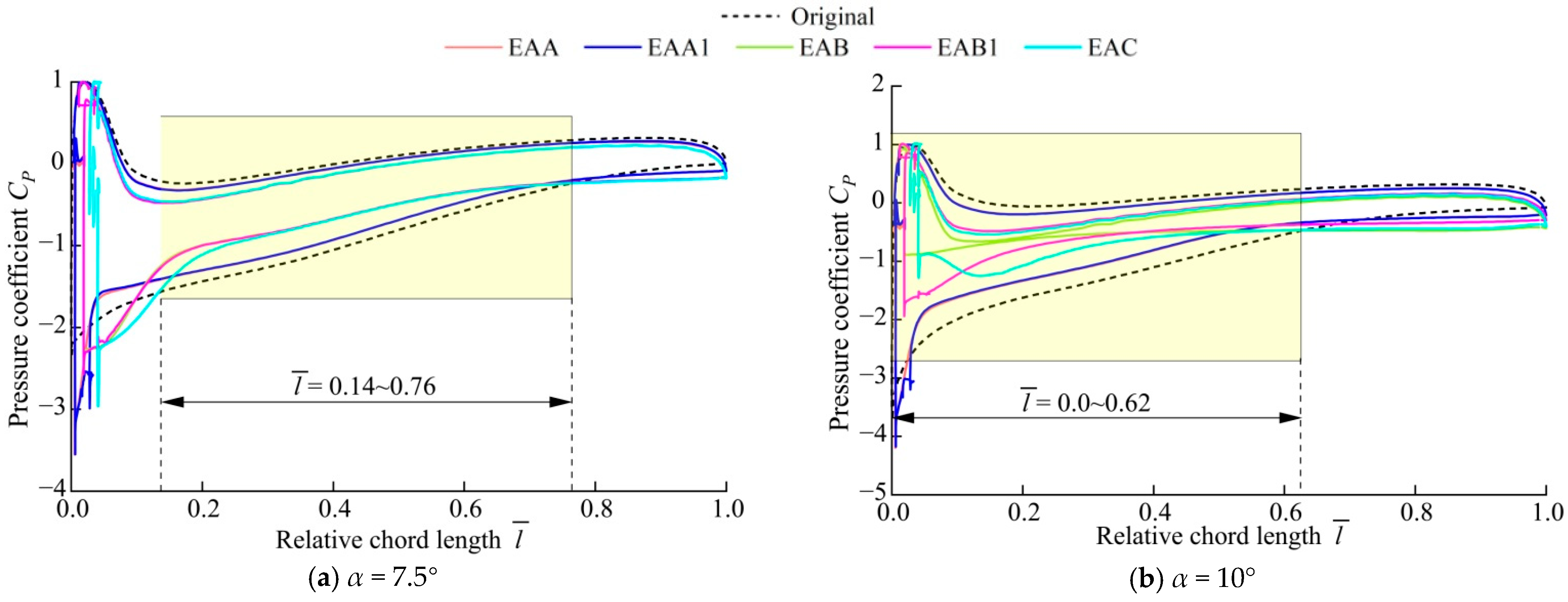
4.2. Pressure Distribution around the Airfoil
4.3. Analysis of Flow Characteristics
5. Conclusions
Author Contributions
Funding
Institutional Review Board Statement
Informed Consent Statement
Data Availability Statement
Conflicts of Interest
References
- Junlei, C.; Jihui, W.; Aiqing, N. A review on rain erosion protection of wind turbine blades. J. Coat. Technol. Res. 2019, 16, 15–24. [Google Scholar]
- Deshun, L.; Chengze, W.; Yinran, L. Numerical simulation of wind turbine blade erosion in sandy environment. Acta Energ. Sol. Sin. 2018, 3, 627–632. [Google Scholar]
- Yan, W.; Ruifeng, H.; Ping, W. Research on the aerodynamicand flow field characteristics of s809 airfoil based on the leading edge erosion modeling. Acta Energ. Sol. Sin. 2017, 38, 607–615. [Google Scholar]
- Han, W.; Kim, J.; Kim, B. Effects of contamination and erosion at the leading edge of blade tip airfoils on the annual energy production of wind turbines. Renew. Energy 2018, 115, 817–823. [Google Scholar] [CrossRef]
- Im, H.; Kim, B. Numerical study on the effect of blade surface deterioration by erosion on the performance of a large wind turbine. J. Renew. Sustain. Energy 2019, 11, 063308. [Google Scholar] [CrossRef]
- Bartolomé, L.; Teuwen, J. Prospective challenges in the experimentation of the rain erosion on the leading edge of wind turbine blades. Wind. Energy 2019, 22, 140–151. [Google Scholar] [CrossRef]
- Dai, L.; Yao, S.; Wang, X.; Kang, S. Numerical investigation of wind turbine blades erosion characteristics impacted by air flow containing sand particles. Acta Energ. Sol. Sin. 2018, 39, 247–252. [Google Scholar]
- Sareen, A.; Sapre, C.A.; Selig, M.S. Effects of leading edge erosion on wind turbine blade performance. Wind. Energy 2014, 17, 1531–1542. [Google Scholar] [CrossRef]
- Mingwei, G.; Huan, Z.; Ying, W. Effects of leading edge defects on aerodynamic performance of the S809 airfoil. Energy Convers. Manag. 2019, 195, 466–479. [Google Scholar]
- Li, D.; Wang, C.; Li, Y.; Li, R.; Zhao, Z.; Chen, X. Influence of blade leading edge erosion features on aerodynamic characteristics of wind turbine airfoil. Trans. Chin. Soc. Agric. Eng. 2017, 33, 269–275. [Google Scholar]
- Ravishankara, A.K.; Ozdemir, H.; van der Weide, E. Analysis of leading edge erosion effects on turbulent flow over airfoils. Renew. Energy 2021, 172, 765–779. [Google Scholar] [CrossRef]
- Cappugi, L.; Castorrini, A.; Bonfiglioli, A.; Minisci, E.; Campobasso, M.S. Machine learning-enabled prediction of wind turbine energy yield losses due to general blade leading edge erosion. Energy Convers. Manag. 2021, 245, 114567. [Google Scholar] [CrossRef]
- Pathak, S.M.; Kumar, V.P.; Bonu, V.; Latha, S.; Mishnaevsky, L., Jr.; Lakshmi, R.V.; Bera, P.; Barshilia, H.C. Solid particle erosion studies of ceramic oxides reinforced water-based PU nanocomposite coatings for wind turbine blade protection. Ceram. Int. 2022. [Google Scholar] [CrossRef]
- Zhu, C.; Qiu, Y.; Feng, Y.; Wang, T.; Li, H. Combined effect of passive vortex generators and leading-edge roughness on dynamic stall of the wind turbine airfoil. Energy Convers. Manag. 2022, 251, 115015. [Google Scholar] [CrossRef]
- Kuthe, N.; Mahajan, P.; Ahmad, S.; Mishnaevsky, L., Jr. Engineered anti-erosion coating for wind turbine blade protection: Computational analysis. Mater. Today Commun. 2022, 31, 103362. [Google Scholar] [CrossRef]
- Mishnaevsky, L., Jr.; Hasager, C.B.; Bak, C.; Tilg, A.M.; Bech, J.I.; Rad, S.D.; Fæster, S. Leading edge erosion of wind turbine blades: Understanding, prevention and protection. Renew. Energy 2021, 169, 953–969. [Google Scholar] [CrossRef]
- Herring, R.; Dyer, K.; Martin, F.; Ward, C. The increasing importance of leading edge erosion and a review of existing protection solutions. Renew. Sustain. Energy Rev. 2019, 115, 109382. [Google Scholar] [CrossRef]
- Tao, W. Numerical Heattransfer, 2nd ed.; Xi’an JiaoTong University Press: Xi’an, China, 2001; pp. 5–6. [Google Scholar]
- Zhang, J.; Yuan, Q.; Cong, W.U.; Wang, M. Numerical Simulation on the Effect of Surface Roughness for Large Wind Turbine Blades. Proc. CSEE 2014, 34, 3384–3391. [Google Scholar]
- Al Jubori, A.; Daabo, A.; Al-Dadah, R.K.; Mahmoud, S.; Ennil, A.B. Development of micro-scale axial and radial turbines for low-temperature heat source driven organic Rankine cycle. Energy Convers. Manag. 2016, 130, 141–155. [Google Scholar] [CrossRef]
- Selig, M.S.; Guglielmo, J.J.; BROEREN, A.P.; Giguere, P. Summary of Low Speed Airfoil Data; SOARTECH Publications: Ann Arbor, MI, USA, 1995. [Google Scholar]













| Eroded Airfoil | EAA | EAA1 | EAB | EAB1 | EAC | ||
|---|---|---|---|---|---|---|---|
| Type of erosion pit | 1 | 1 | 2 | 1 | 1 | 2 | 1 |
| tE/(mm) | 4.07 | 4.07 | 2.04 | 8.14 | 8.14 | 4.07 | 16.25 |
| hE/(mm) | 3.05 | 3.05 | 1.53 | 6.10 | 6.10 | 3.05 | 6.09 |
| Relative erosion thickness | 12% | 12% | 6% | 24% | 24% | 12% | 48% |
| Relative depth of erosion | 2% | 2% | 1% | 4% | 4% | 2% | 4% |
| Grid Scheme 1 | Grid Scheme 2 | Grid Scheme 3 | Grid Scheme 4 | |
|---|---|---|---|---|
| Number of grids | 105,315 | 179,692 | 245,915 | 363,512 |
Publisher’s Note: MDPI stays neutral with regard to jurisdictional claims in published maps and institutional affiliations. |
© 2022 by the authors. Licensee MDPI, Basel, Switzerland. This article is an open access article distributed under the terms and conditions of the Creative Commons Attribution (CC BY) license (https://creativecommons.org/licenses/by/4.0/).
Share and Cite
Wang, X.; Tang, Z.; Yan, N.; Zhu, G. Effect of Different Types of Erosion on the Aerodynamic Performance of Wind Turbine Airfoils. Sustainability 2022, 14, 12344. https://doi.org/10.3390/su141912344
Wang X, Tang Z, Yan N, Zhu G. Effect of Different Types of Erosion on the Aerodynamic Performance of Wind Turbine Airfoils. Sustainability. 2022; 14(19):12344. https://doi.org/10.3390/su141912344
Chicago/Turabian StyleWang, Xiaohang, Zhenbo Tang, Na Yan, and Guojun Zhu. 2022. "Effect of Different Types of Erosion on the Aerodynamic Performance of Wind Turbine Airfoils" Sustainability 14, no. 19: 12344. https://doi.org/10.3390/su141912344
APA StyleWang, X., Tang, Z., Yan, N., & Zhu, G. (2022). Effect of Different Types of Erosion on the Aerodynamic Performance of Wind Turbine Airfoils. Sustainability, 14(19), 12344. https://doi.org/10.3390/su141912344
