Durability Assessment Method of Hollow Thin-Walled Bridge Piers under Rockfall Impact Based on Damage Response Surface
Abstract
1. Introduction
2. Rockfall-HTWBP Impact Model
2.1. FE Model of the Bridge and Rockfall
2.2. Material Model
2.3. Verification
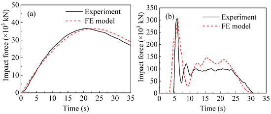
2.3.1. Verification against Two Experiments
2.3.2. Mesh Independence Verification
3. Rockfall Impact Resistance
3.1. Impact Force Characteristics
3.2. Damage Characteristics
3.3. Deformation Characteristics
4. Damage Assessment Criterion Based on the Response Surface Model
4.1. Definition of Damage Index
4.2. Establishment of the Response Surface Model
4.3. Damage Assessment Method
5. Discussion
6. Conclusions
- (1)
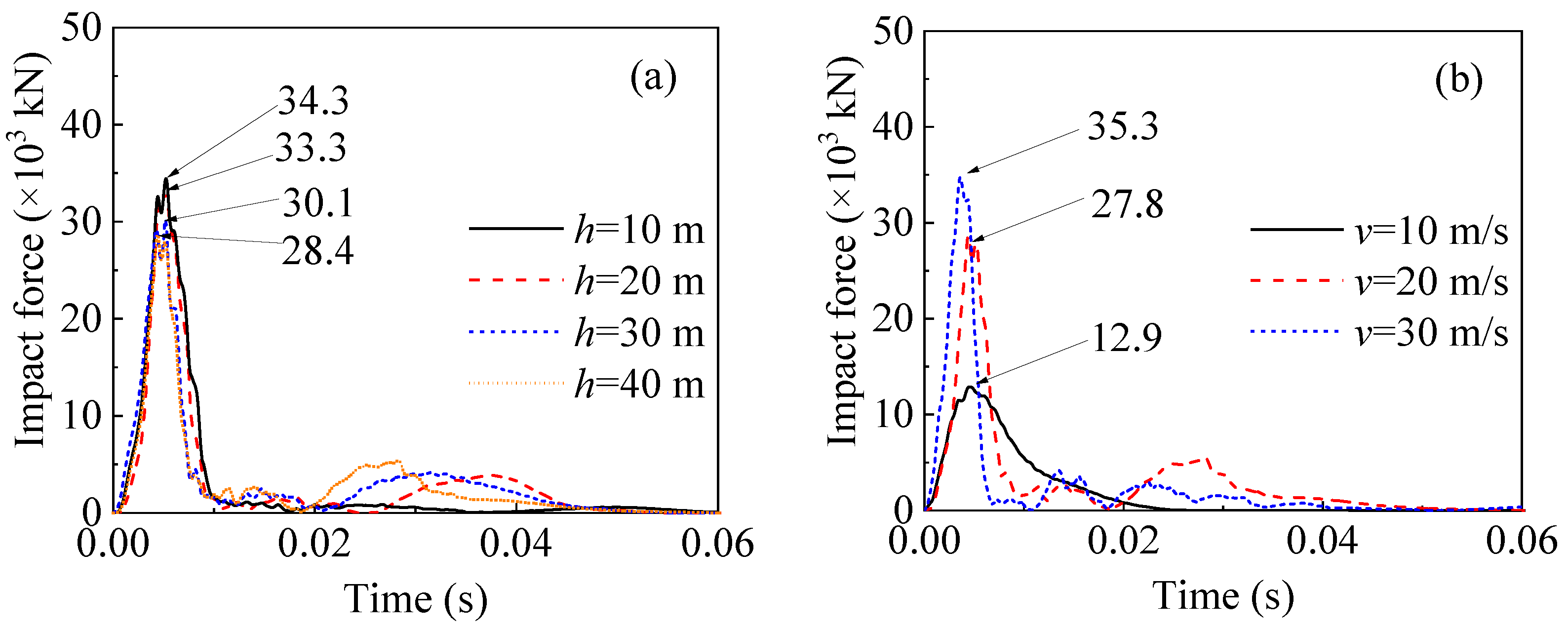
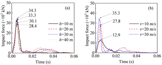
- The impact force of rockfalls has a considerable impulse characteristic, and the duration of the impulse load is approximately 0.01 s. When the impact position is closer to the pile cap, the pier is constrained more strongly, and the corresponding peak impact force is larger. The peak impact force increases with the increase in impact velocity, rockfall diameter, and concrete strength. When the concrete strength grade increases from 30 MPa to 50 MPa, the peak impact force only increases by approximately 5%.
- (2)
- The impacted surface is dominated by the final elliptic damage with the conical and strip damage areas as the symmetry axis. At the side surface, the damage develops from a triangular damage area into a radial damage area across the side surface of the pier. The cross-sectional damage mode is compression failure in the impact area and shear failure at the corner.
- (3)
- The displacement of the top and bottom of the pier is significantly lower than that of other cross-sections due to constraints. The time when the maximum displacement occurs of the cross-sections below the impact position is earlier than the cross-sections upper the impact position because the upper part of the pier has greater flexibility and is more prone to deformation.
- (4)
- The maximum displacement occurs in the middle height of the pier. This is because the HTWBP has a smaller cross-section at the top and a larger cross-section at the bottom. The lower part of the pier has a larger stiffness and a stronger ability to resist deformation. The maximum displacement increases with impact height, impact velocity, and rockfall diameter and decreases with the uniaxial compressive strength of the concrete.
- (5)
- The initial impact velocity and diameter of the rockfall are the most remarkable parameters affecting the damage indices. The damage assessment method with a damage zoning diagram based on the response surface method is established. With the proposed damage assessment method with a damage zoning diagram, the fast assessment of the damage level of impacted HTWBP can be realized according to rockfall diameter and velocity after rockfall impact.
7. Limitations
Author Contributions
Funding
Conflicts of Interest
References
- Xie, R.; Fan, W.; Liu, B.; Shen, D. Dynamic behavior and vulnerability analysis of bridge columns with different cross-sectional shapes under rockfall impacts. Structures 2020, 26, 471–486. [Google Scholar] [CrossRef]
- Zhang, X.; Wang, X.; Chen, W.; Wen, Z.; Li, X. Numerical study of rockfall impact on bridge piers and its effect on the safe operation of high-speed trains. Struct. Infrastruct. Eng. 2021, 17, 1–19. [Google Scholar] [CrossRef]
- Consolazio, G.R.; Cook, R.A.; McVay, M.C.; Cowan, D.; Biggs, A.; Bui, L. Barge Impact Testing of the St. George Island Causeway Bridge, Phase III: Physical Testing and Data Interpretation; The National Academies of Sciences, Engineering, and Medicine: Washington, DC, USA, 2006. [Google Scholar]
- Buth, C.E.; Brackin, M.S.; Williams, W.F.; Fry, G.T. Collision Loads on Bridge Piers: Phase 2, Report of Guidelines for Designing Bridge Piers and Abutments for Vehicle Collisions; Texas Transportation Institute: College Station, TX, USA, 2011. [Google Scholar]
- He, S.; Yan, S.; Deng, Y.; Liu, W. Impact protection of bridge piers against rockfall. Bull. Eng. Geol. Environ. 2019, 78, 2671–2680. [Google Scholar] [CrossRef]
- Sun, X.; Bi, Y.; Zhou, R.; Zhao, H.; Fu, X.-L.; Zhao, P.; Jiang, Z.Y. Experimental Study on the Damage of Bridge Pier under the Impact of Rockfall. Adv. Civ. Eng. 2021, 2021, 6610652. [Google Scholar] [CrossRef]
- Bertrand, D.; Kassem, F.; Delhomme, F.; Limam, A. Reliability analysis of an RC member impacted by a rockfall using a nonlinear SDOF model. Eng. Struct. 2015, 89, 93–102. [Google Scholar] [CrossRef]
- Ventura, A.; De Biagi, V.; Chiaia, B. Effects of rockfall on an elastic-plastic member: A novel compliance contact model and dynamic response. Eng. Struct. 2017, 148, 126–144. [Google Scholar] [CrossRef]
- Deng, L.; Wang, F.; He, W. Dynamic Impact Factors for Simply-Supported Bridges Due to Vehicle Braking. Adv. Struct. Eng. 2015, 18, 791–801. [Google Scholar] [CrossRef]
- Deng, L.; Yan, W.; Zhu, Q. Vehicle Impact on the Deck Slab of Concrete Box-Girder Bridges due to Damaged Expansion Joints. J. Bridge Eng. 2016, 21, 06015006. [Google Scholar] [CrossRef]
- Yu, Y.; Deng, L.; Wang, W.; Cai, C.S. Local impact analysis for deck slabs of prestressed concrete box-girder bridges subject to vehicle loading. J. Vib. Control. 2017, 23, 31–45. [Google Scholar] [CrossRef]
- Do, T.V.; Pham, T.M.; Hao, H. Proposed design procedure for reinforced concrete bridge columns subjected to vehicle collisions. Structures 2019, 22, 213–229. [Google Scholar] [CrossRef]
- Shi, Y.; Hao, H.; Li, Z.-X. Numerical derivation of pressure-impulse diagrams for prediction of RC column damage to blast loads. Int. J. Impact Eng. 2008, 35, 1213–1227. [Google Scholar] [CrossRef]
- Fan, W.; Liu, B.; Consolazio, G.R. Residual Capacity of Axially Loaded Circular RC Columns after Lateral Low-Velocity Impact. J. Struct. Eng. 2019, 145, 04019039. [Google Scholar] [CrossRef]
- Wang, S.; Xu, W.; Huang, X.; Yan, X.; Ma, J.; Sun, H.; Wang, J.; Chen, Y. Research on the Pounding Response and Pounding Effect of a Continuous Rigid-Frame Bridge with Fabricated Super-High Piers Connected by Grouting Sleeves. Sustainability 2022, 14, 11334. [Google Scholar] [CrossRef]
- Zeng, X.; Deng, K.; Wang, Y.; Yan, G.; Zhao, C. Field Investigation and Numerical Analysis of Damage to a High-pier Long-span Continuous Rigid Frame Bridge in the 2008 Wenchuan Earthquake. J. Earthqu. Eng. 2021, 26, 5204–5220. [Google Scholar] [CrossRef]
- Wang, Y.; Liang, S.; Huang, C.; Wang, R. Foundation Settlement Response of Existing High-Speed Railway Bridge Induced by Construction of Undercrossing Roads. Sustainability 2022, 14, 8700. [Google Scholar] [CrossRef]
- Li, F.; Sun, R.; Zhang, Y.; Wang, G.; Xiang, G. Dynamic Response Characteristics and Damage Evolution of Multi-Layer Combined Coal and Rock Mass under Impact Loading. Sustainability 2022, 14, 9175. [Google Scholar] [CrossRef]
- Li, P.; Li, T.; Lu, Z.; Li, J. Study on Dynamic Response of Novel Masonry Structures Impacted by Debris Flow. Sustainability 2017, 9, 1122. [Google Scholar] [CrossRef]
- Tan, B. Experimental Study on Damage Evolution Characteristics of Concrete under Impact Load Based on EMI Method. Sustainability 2022, 14, 10557. [Google Scholar] [CrossRef]
- Liu, Y. The Study of Dynamic Response and Interaction Mechanism of Rock Shed Subject to Rockfall Impacting. M.A. Dissertation, Chengdu University of Technology, Chengdu, China, 2017. (In Chinese). [Google Scholar]
- Xiao, L. Research on the Impact of Mountain Rolling Stone on the Pier and Its Reinforcement. M.A. Dissertation, Southwest Jiaotong University, Chengdu, China, 2017. (In Chinese). [Google Scholar]
- Fujikake, K.; Li, B.; Soeun, S. Impact Response of Reinforced Concrete Beam and Its Analytical Evaluation. J. Struct. Eng. 2009, 135, 938–950. [Google Scholar] [CrossRef]
- Zhang, X.; Hao, H.; Li, C. Experimental investigation of the response of precast segmental columns subjected to impact loading. Int. J. Impact Eng. 2016, 95, 105–124. [Google Scholar] [CrossRef]
- Meng, J.; Xu, Z.; Liu, Z.; Chen, S.; Wang, C.; Zhao, B.; Zhou, A. Experimental Study on the Mechanics and Impact Resistance of Multiphase Lightweight Aggregate Concrete. Sustainability 2022, 14, 9606. [Google Scholar] [CrossRef]
- Fan, W.; Xu, X.; Zhang, Z.; Shao, X. Performance and sensitivity analysis of UHPFRC-strengthened bridge columns subjected to vehicle collisions. Eng. Struct. 2018, 173, 251–268. [Google Scholar] [CrossRef]
























| Component | Element Type | Grid Size (mm) |
|---|---|---|
| Impacted pier | Solid | 50 |
| Other piers | Solid | 100 |
| Pile cap | Solid | 200 |
| Material Type | Keyword in LS-DYNA | Parameter | Value |
|---|---|---|---|
| Transverse reinforcement | * MAT_PLASTIC_KINEMATIC | Elastic modulus (GPa) | 210 |
| Density (g/cm3) | 7.85 | ||
| Poisson’s ratio | 0.3 | ||
| Failure strain | 0.25 | ||
| Yield strain (MPa) | 300 | ||
| Longitudinal reinforcement | * MAT_PLASTIC_KINEMATIC | Elastic modulus (GPa) | 210 |
| Density (g/cm3) | 7.85 | ||
| Poisson’s ratio | 0.3 | ||
| Failure strain | 0.2 | ||
| Yield strain (MPa) | 400 | ||
| Rockfall | * MAT_RIGID | Elastic modulus (GPa) | 26.0 |
| Density (g/cm3) | 2.6 | ||
| Poisson’s ratio | 0.22 |
| Impact Height | Peak Impact Force (kN) | Mid-Span Displacement (mm) | ||||
|---|---|---|---|---|---|---|
| Experiment [23] | FE Analysis | Difference | Experiment [23] | FE Analysis | Difference | |
| 0.15 m | 124.3 | 125.8 | 1.2% | 6.1 | 6.2 | 1.6% |
| 0.30 m | 182.7 | 180.9 | 1.0% | 10.9 | 10.6 | 2.8% |
| 0.60 m | 243.8 | 250.7 | 2.8% | 20 | 20.2 | 1.0% |
| 1.20 m | 308.4 | 310.9 | 0.8% | 36.6 | 36.5 | 0.3% |
| Case Study | h (m) | v (m/s) | d (m) | s (MPa) |
|---|---|---|---|---|
| C1 (Reference case study) | 40 | 20 | 1.5 | 30 |
| C2 | 10 | 20 | 1.5 | 30 |
| C3 | 20 | 20 | 1.5 | 30 |
| C4 | 30 | 20 | 1.5 | 30 |
| C5 | 40 | 10 | 1.5 | 30 |
| C6 | 40 | 30 | 1.5 | 30 |
| C7 | 40 | 20 | 2 | 30 |
| C8 | 40 | 20 | 2.5 | 30 |
| C9 | 40 | 20 | 3.0 | 30 |
| C10 | 40 | 20 | 3.5 | 30 |
| C11 | 40 | 20 | 4.0 | 30 |
| C12 | 40 | 20 | 1.5 | 40 |
| C13 | 40 | 20 | 1.5 | 50 |
| Factor | Level | ||
|---|---|---|---|
| −1 | 0 | 1 | |
| h (m) | 20 | 40 | 60 |
| v (m/s) | 10 | 20 | 30 |
| d (m) | 1.5 | 2.0 | 2.5 |
| s (MPa) | 30 | 40 | 50 |
| Std | Run | h (m) | v (m/s) | d (m) | s (MPa) | dv (×10−3) | D |
|---|---|---|---|---|---|---|---|
| 1 | 24 | 20 | 10 | 2 | 40 | 0.89 | 0.156 |
| 2 | 28 | 60 | 10 | 2 | 40 | 0.67 | 0.117 |
| 3 | 17 | 20 | 30 | 2 | 40 | 1.49 | 0.260 |
| 4 | 9 | 60 | 30 | 2 | 40 | 1.61 | 0.281 |
| 5 | 16 | 40 | 20 | 1.5 | 30 | 1.12 | 0.196 |
| 6 | 7 | 40 | 20 | 2.5 | 30 | 1.32 | 0.231 |
| 7 | 12 | 40 | 20 | 1.5 | 50 | 0.89 | 0.156 |
| 8 | 23 | 40 | 20 | 2.5 | 50 | 1.63 | 0.285 |
| 9 | 4 | 20 | 20 | 2 | 30 | 1.20 | 0.210 |
| 10 | 22 | 60 | 20 | 2 | 30 | 1.14 | 0.199 |
| 11 | 18 | 20 | 20 | 2 | 50 | 1.13 | 0.198 |
| 12 | 5 | 60 | 20 | 2 | 50 | 0.93 | 0.162 |
| 13 | 21 | 40 | 10 | 1.5 | 40 | 0.78 | 0.136 |
| 14 | 8 | 40 | 30 | 1.5 | 40 | 1.16 | 0.203 |
| 15 | 29 | 40 | 10 | 2.5 | 40 | 1.16 | 0.203 |
| 16 | 15 | 40 | 30 | 2.5 | 40 | 1.95 | 0.341 |
| 17 | 6 | 20 | 20 | 1.5 | 40 | 1.00 | 0.175 |
| 18 | 2 | 60 | 20 | 1.5 | 40 | 1.00 | 0.175 |
| 19 | 27 | 20 | 20 | 2.5 | 40 | 1.62 | 0.283 |
| 20 | 14 | 60 | 20 | 2.5 | 40 | 1.39 | 0.243 |
| 21 | 1 | 40 | 10 | 2 | 30 | 0.93 | 0.163 |
| 22 | 11 | 40 | 30 | 2 | 30 | 1.48 | 0.259 |
| 23 | 10 | 40 | 10 | 2 | 50 | 1.08 | 0.189 |
| 24 | 26 | 40 | 30 | 2 | 50 | 1.51 | 0.264 |
| 25 | 3 | 40 | 20 | 2 | 40 | 1.02 | 0.178 |
| 26 | 25 | 40 | 20 | 2 | 40 | 0.99 | 0.173 |
| 27 | 20 | 40 | 20 | 2 | 40 | 1.11 | 0.194 |
| 28 | 19 | 40 | 20 | 2 | 40 | 1.01 | 0.177 |
| 29 | 13 | 40 | 20 | 2 | 40 | 0.94 | 0.164 |
| Run | h (m) | v (m/s) | d (m) | s (MPa) | D | Difference | |
|---|---|---|---|---|---|---|---|
| FE Results | RSM Results | ||||||
| 30 | 40 | 20 | 1.5 | 50 | 0.16 | 0.15 | 4.8% |
| 31 | 40 | 20 | 1.5 | 40 | 0.16 | 0.16 | 1.2% |
| 32 | 40 | 20 | 2 | 30 | 0.19 | 0.19 | 1.6% |
| 33 | 40 | 15 | 1.5 | 30 | 0.19 | 0.18 | 4.7% |
| 34 | 40 | 25 | 2.5 | 30 | 0.35 | 0.34 | 2.7% |
| 35 | 60 | 20 | 2.5 | 30 | 0.24 | 0.24 | 3.2% |
| Factor | Level | ||||
|---|---|---|---|---|---|
| v (m/s) | 10 | 20 | 30 | 40 | 50 |
| d (m) | 1.0 | 1.375 | 1.75 | 2.125 | 2.5 |
| Std | Run | V (m/s) | D (m) | dv (×10−3) | D |
|---|---|---|---|---|---|
| 1 | 2 | 10 | 1 | 0.0476 | 0.01 |
| 2 | 8 | 50 | 1 | 2.61 | 0.46 |
| 3 | 9 | 10 | 2.5 | 1.24 | 0.22 |
| 4 | 6 | 50 | 2.5 | 5.72 | 1.00 |
| 5 | 3 | 20 | 1.75 | 2.18 | 0.38 |
| 6 | 5 | 40 | 1.75 | 3.84 | 0.67 |
| 7 | 1 | 30 | 1.375 | 2.43 | 0.42 |
| 8 | 7 | 30 | 2.125 | 3.49 | 0.61 |
| 9 | 4 | 30 | 1.75 | 2.81 | 0.49 |
| 10 | 4 | 30 | 1.75 | 3.14 | 0.55 |
| 11 | 8 | 30 | 1.75 | 2.94 | 0.51 |
| 12 | 13 | 30 | 1.75 | 2.92 | 0.51 |
| 13 | 3 | 30 | 1.75 | 3.26 | 0.57 |
Publisher’s Note: MDPI stays neutral with regard to jurisdictional claims in published maps and institutional affiliations. |
© 2022 by the authors. Licensee MDPI, Basel, Switzerland. This article is an open access article distributed under the terms and conditions of the Creative Commons Attribution (CC BY) license (https://creativecommons.org/licenses/by/4.0/).
Share and Cite
Li, F.; Liu, Y.; Yang, J. Durability Assessment Method of Hollow Thin-Walled Bridge Piers under Rockfall Impact Based on Damage Response Surface. Sustainability 2022, 14, 12196. https://doi.org/10.3390/su141912196
Li F, Liu Y, Yang J. Durability Assessment Method of Hollow Thin-Walled Bridge Piers under Rockfall Impact Based on Damage Response Surface. Sustainability. 2022; 14(19):12196. https://doi.org/10.3390/su141912196
Chicago/Turabian StyleLi, Fei, Yikang Liu, and Jian Yang. 2022. "Durability Assessment Method of Hollow Thin-Walled Bridge Piers under Rockfall Impact Based on Damage Response Surface" Sustainability 14, no. 19: 12196. https://doi.org/10.3390/su141912196
APA StyleLi, F., Liu, Y., & Yang, J. (2022). Durability Assessment Method of Hollow Thin-Walled Bridge Piers under Rockfall Impact Based on Damage Response Surface. Sustainability, 14(19), 12196. https://doi.org/10.3390/su141912196
