Hybrid Wavelet Scattering Network-Based Model for Failure Identification of Reinforced Concrete Members
Abstract
:1. Introduction
2. Dataset of Damaged and Undamaged RC Elements
3. Hybrid Models’ Details
4. Results
5. Comparative Study
6. Conclusions
- WSNs were great for extracting domain features from image data.
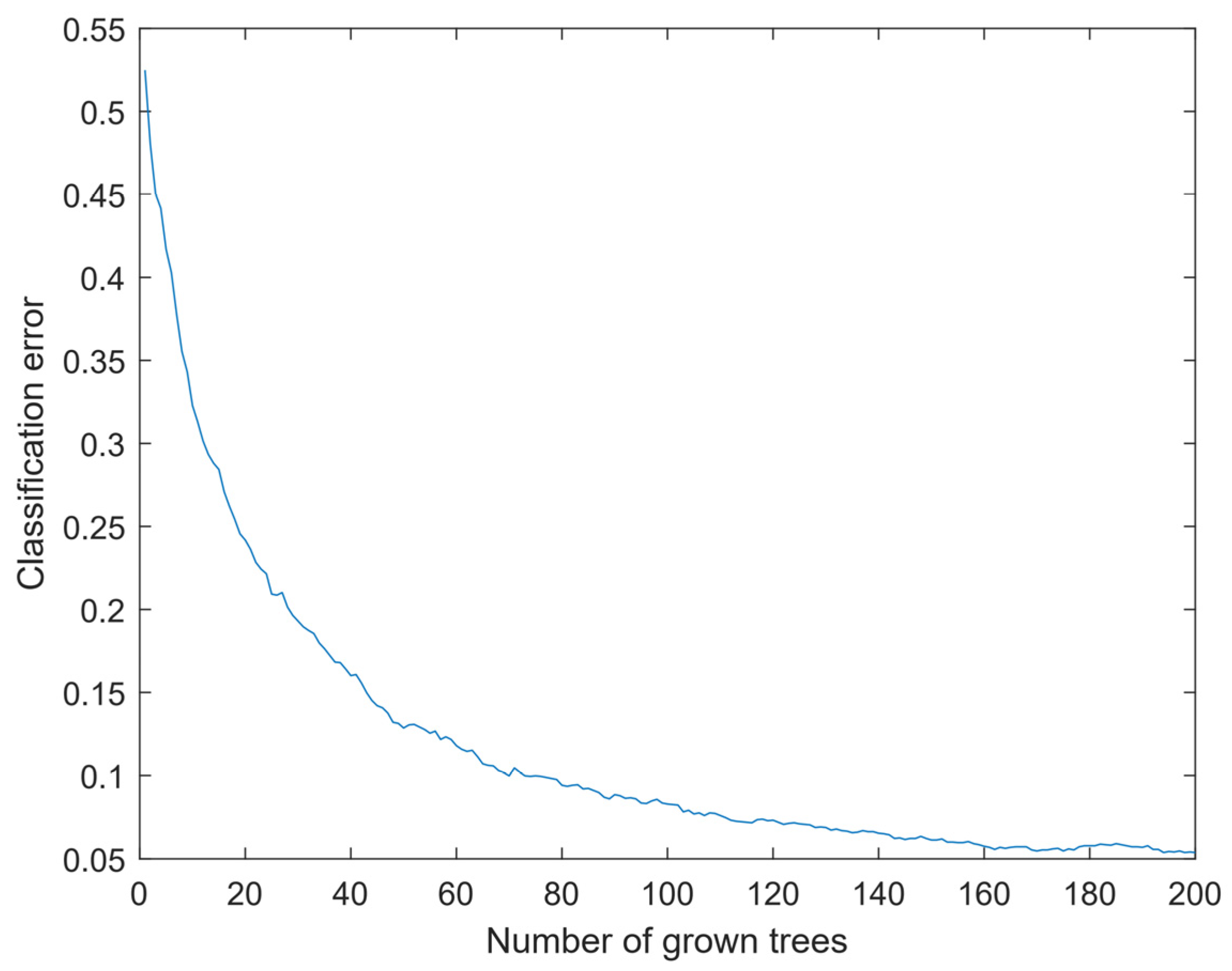
- In the training stage, all models, apart from the WSN-SVM algorithm, received the highest score (100%) across all criteria. Only the WSN-SVM technique had a 99.8% accuracy rate and had one error for SD type failure.
- The good performance of a model in the training phase does not mean it will have a good performance on new data.
- The WSN-SVM algorithm classified the damage the most accurately throughout the testing phase. With a value of 99.1 percent during testing, it had the hybrid models’ highest accuracy. The differences in the performance evaluation criteria for this model in the two phases of training and testing were very close.
Author Contributions
Funding
Institutional Review Board Statement
Informed Consent Statement
Data Availability Statement
Conflicts of Interest
References
- Barkhordari, M.S.; Es-Haghi, M.S. Straightforward Prediction for Responses of the Concrete Shear Wall Buildings Subject to Ground Motions Using Machine Learning Algorithms. Int. J. Eng. Trans. A Basics 2021, 34, 1586–1601. [Google Scholar] [CrossRef]
- Barkhordari, M.S.; Tehranizadeh, M. Ranking Passive Seismic Control Systems by Their Effectiveness in Reducing Responses of High-Rise Buildings with Concrete Shear Walls Using Multiple-Criteria Decision Making. Int. J. Eng. Trans. B Appl. 2020, 33, 1479–1490. [Google Scholar] [CrossRef]
- Doa’ei, Y.; Jahan, A.M. Application of Artificial Intelligence and Meta-Heuristic Algorithms in Civil Health Monitoring Systems. Civ. Eng. J. 2018, 4, 1653–1666. [Google Scholar] [CrossRef]
- He, Y.; Zhang, L.; Chen, Z.; Li, C.Y. A Framework of Structural Damage Detection for Civil Structures Using a Combined Multi-Scale Convolutional Neural Network and Echo State Network. Eng. Comput. 2022, 1–19. [Google Scholar] [CrossRef]
- Shamila Ebenezer, A.; Deepa Kanmani, S.; Sheela, V.; Ramalakshmi, K.; Chandran, V.; Sumithra, M.G.; Elakkiya, B.; Murugesan, B. Identification of Civil Infrastructure Damage Using Ensemble Transfer Learning Model. Adv. Civ. Eng. 2021, 2021, 5589688. [Google Scholar] [CrossRef]
- Fallahian, M.; Ahmadi, E.; Khoshnoudian, F. A Structural Damage Detection Algorithm Based on Discrete Wavelet Transform and Ensemble Pattern Recognition Models. J. Civ. Struct. Health Monit. 2022, 12, 323–338. [Google Scholar] [CrossRef]
- Liu, T.; Xu, H.; Ragulskis, M.; Cao, M.; Ostachowicz, W. A Data-Driven Damage Identification Framework Based on Transmissibility Function Datasets and One-Dimensional Convolutional Neural Networks: Verification on a Structural Health Monitoring Benchmark Structure. Sensors 2020, 20, 1059. [Google Scholar] [CrossRef]
- Forkan, A.R.M.; Kang, Y.-B.; Jayaraman, P.P.; Liao, K.; Kaul, R.; Morgan, G.; Ranjan, R.; Sinha, S. CorrDetector: A Framework for Structural Corrosion Detection from Drone Images Using Ensemble Deep Learning. Expert Syst. Appl. 2022, 193, 116461. [Google Scholar] [CrossRef]
- Wu, L.; Lin, X.; Chen, Z.; Lin, P.; Cheng, S. Surface Crack Detection Based on Image Stitching and Transfer Learning with Pretrained Convolutional Neural Network. Struct. Control Health Monit. 2021, 28, e2766. [Google Scholar] [CrossRef]
- Zawad, M.R.S.; Zawad, M.F.S.; Rahman, M.A.; Priyom, S.N. A Comparative Review of Image Processing Based Crack Detection Techniques on Civil Engineering Structures. J. Soft Comput. Civ. Eng. 2021, 5, 58–74. [Google Scholar] [CrossRef]
- Shahrokhinasab, E.; Hosseinzadeh, N.; Monir Abbasi, A.; Torkaman, S. Performance of Image-Based Crack Detection Systems in Concrete Structures. J. Soft Comput. Civ. Eng. 2020, 4, 127–139. [Google Scholar] [CrossRef]
- Padsumbiya, M.; Brahmbhatt, V.; Thakkar, S.P. Automatic Crack Detection Using Convolutional Neural Network. J. Soft Comput. Civ. Eng. 2022, 6, 1–17. [Google Scholar] [CrossRef]
- Li, S.; Zhao, X.; Zhou, G. Automatic Pixel-Level Multiple Damage Detection of Concrete Structure Using Fully Convolutional Network. Comput.-Aided Civ. Infrastruct. Eng. 2019, 34, 616–634. [Google Scholar] [CrossRef]
- Wang, X.; Zhang, X.; Shahzad, M.M. A Novel Structural Damage Identification Scheme Based on Deep Learning Framework. Structures 2021, 29, 1537–1549. [Google Scholar] [CrossRef]
- Zhan, Y.; Lu, S.; Xiang, T.; Wei, T. Application of Convolutional Neural Network in Random Structural Damage Identification. Structures 2021, 29, 570–576. [Google Scholar] [CrossRef]
- Seventekidis, P.; Giagopoulos, D. Model-Based Damage Identification with Simulated Transmittance Deviations and Deep Learning Classification. Struct Health Monit 2022, 21, 14759217211054348. [Google Scholar] [CrossRef]
- Ogunjinmi, P.D.; Park, S.S.; Kim, B.; Lee, D.E. Rapid Post-Earthquake Structural Damage Assessment Using Convolutional Neural Networks and Transfer Learning. Sensors 2022, 22, 3471. [Google Scholar] [CrossRef] [PubMed]
- Bai, X.; Yang, M.; Zhao, B. Image-Based Displacement Monitoring When Considering Translational and Rotational Camera Motions. Int. J. Civ. Eng. 2022, 20, 1–13. [Google Scholar] [CrossRef]
- He, Z.; Nguyen, H.; Vu, T.H.; Zhou, J.; Asteris, P.G.; Mammou, A. Novel Integrated Approaches for Predicting the Compressibility of Clay Using Cascade Forward Neural Networks Optimized by Swarm- and Evolution-Based Algorithms. Acta Geotech. 2022, 17, 1257–1272. [Google Scholar] [CrossRef]
- Dias-Oliveira, J.; Rodrigues, H.; Asteris, P.G.; Varum, H. On the Seismic Behavior of Masonry Infilled Frame Structures. Buildings 2022, 12, 1146. [Google Scholar] [CrossRef]
- Dam Nguyen, D.; Roussis, P.C.; Thai Pham, B.; Ferentinou, M.; Mamou, A.; Quang Vu, D.; Thi Bui, Q.-A.; Kien Trong, D.; Asteris, P.G. Bagging and Multilayer Perceptron Hybrid Intelligence Models Predicting the Swelling Potential of Soil. Transp. Geotech. 2022, 36, 100797. [Google Scholar] [CrossRef]
- Le, T.-T.; Skentou, A.D.; Mamou, A.; Asteris, P.G. Correlating the Unconfined Compressive Strength of Rock with the Compressional Wave Velocity Effective Porosity and Schmidt Hammer Rebound Number Using Artificial Neural Networks. Rock Mech. Rock Eng. 2022, 1–36. [Google Scholar] [CrossRef]
- Asteris, P.G.; Rizal, F.I.M.; Koopialipoor, M.; Roussis, P.C.; Ferentinou, M.; Armaghani, D.J.; Gordan, B. Slope Stability Classification under Seismic Conditions Using Several Tree-Based Intelligent Techniques. Appl. Sci. 2022, 12, 1753. [Google Scholar] [CrossRef]
- Asteris, P.G.; Lourenço, P.B.; Roussis, P.C.; Elpida Adami, C.; Armaghani, D.J.; Cavaleri, L.; Chalioris, C.E.; Hajihassani, M.; Lemonis, M.E.; Mohammed, A.S.; et al. Revealing the Nature of Metakaolin-Based Concrete Materials Using Artificial Intelligence Techniques. Constr. Build. Mater. 2022, 322, 126500. [Google Scholar] [CrossRef]
- Koopialipoor, M.; Asteris, P.G.; Salih Mohammed, A.; Alexakis, D.E.; Mamou, A.; Armaghani, D.J. Introducing Stacking Machine Learning Approaches for the Prediction of Rock Deformation. Transp. Geotech. 2022, 34, 100756. [Google Scholar] [CrossRef]
- Liu, Z.; Jahed Armaghani, D.; Fakharian, P.; Li, D.; Vladimirovich Ulrikh, D.; Nikolaevna Orekhova, N.; Mohamed Khedher, K. Rock Strength Estimation Using Several Tree-Based ML Techniques. Comput. Model. Eng. Sci. 2022, 133, 799–824. [Google Scholar] [CrossRef]
- Armaghani, D.J.; Asteris, P.G.; Fatemi, S.A.; Hasanipanah, M.; Tarinejad, R.; Rashid, A.S.A.; Huynh, V. van On the Use of Neuro-Swarm System to Forecast the Pile Settlement. Appl. Sci. 2020, 10, 1904. [Google Scholar] [CrossRef]
- Lu, S.; Koopialipoor, M.; Asteris, P.G.; Bahri, M.; Armaghani, D.J. A Novel Feature Selection Approach Based on Tree Models for Evaluating the Punching Shear Capacity of Steel Fiber-Reinforced Concrete Flat Slabs. Materials 2020, 13, 3902. [Google Scholar] [CrossRef]
- Asteris, P.G.; Argyropoulos, I.; Cavaleri, L.; Rodrigues, H.; Varum, H.; Thomas, J.; Lourenço, P.B. Masonry Compressive Strength Prediction Using Artificial Neural Networks. In Communications in Computer and Information Science; Springer: Berlin/Heidelberg, Germany, 2019; Volume 962, pp. 200–224. [Google Scholar]
- Huang, J.; Asteris, P.G.; Manafi Khajeh Pasha, S.; Mohammed, A.S.; Hasanipanah, M. A New Auto-Tuning Model for Predicting the Rock Fragmentation: A Cat Swarm Optimization Algorithm. Eng. Comput. 2022, 38, 2209–2220. [Google Scholar] [CrossRef]
- Asteris, P.G.; Gavriilaki, E.; Touloumenidou, T.; Koravou, E.; Koutra, M.; Papayanni, P.G.; Pouleres, A.; Karali, V.; Lemonis, M.E.; Mamou, A.; et al. Genetic Prediction of ICU Hospitalization and Mortality in COVID-19 Patients Using Artificial Neural Networks. J. Cell. Mol. Med. 2022, 26, 1445–1455. [Google Scholar] [CrossRef]
- Asteris, P.G.; Douvika, M.G.; Karamani, C.A.; Skentou, A.D.; Chlichlia, K.; Cavaleri, L.; Daras, T.; Armaghani, D.J.; Zaoutis, T.E. A Novel Heuristic Algorithm for the Modeling and Risk Assessment of the COVID-19 Pandemic Phenomenon. CMES—Comput. Model. Eng. Sci. 2020, 125, 815–828. [Google Scholar] [CrossRef]
- Psyllaki, P.; Stamatiou, K.; Iliadis, I.; Mourlas, A.; Asteris, P.; Vaxevanidis, N. Surface Treatment of Tool Steels against Galling Failure. MATEC Web Conf. 2018, 188, 04024. [Google Scholar] [CrossRef]
- Barkhordari, M.S. A Modeling Strategy for Predicting the Response of Steel Plate-Concrete Composite Walls. J. Rehabil. Civ. Eng. 2022, in press. [Google Scholar] [CrossRef]
- Soro, B.; Lee, C. A Wavelet Scattering Feature Extraction Approach for Deep Neural Network Based Indoor Fingerprinting Localization. Sensors 2019, 19, 1790. [Google Scholar] [CrossRef]
- Abdollahi, A.; Amini, A.; Hariri-Ardebili, M.A. An Uncertainty-Aware Dynamic Shape Optimization Framework: Gravity Dam Design. Reliab. Eng. Syst. Saf. 2022, 222, 108402. [Google Scholar] [CrossRef]
- Gao, Y.; Mosalam, K.M. PEER Hub ImageNet: A Large-Scale Multiattribute Benchmark Data Set of Structural Images. J. Struct. Eng. 2020, 146, 04020198. [Google Scholar] [CrossRef]
- Gao, Y.; Mosalam, K.M. PEER Hub ImageNet (ϕ − Net): A Large-Scale Multi-Attribute Benchmark Dataset of Structural Images (Report No. 2019/07); Pacific Earthquake Engineering Research Center (PEER): Berkeley, CA, USA, 2019. [Google Scholar]
- Domingos, P. Every Model Learned by Gradient Descent Is Approximately a Kernel Machine. arXiv 2020, arXiv:2012.00152. [Google Scholar]
- Barkhordari, M.S.; Tehranizadeh, M.; Scott, M.H. Numerical Modelling Strategy for Predicting the Response of Reinforced Concrete Walls Using Timoshenko Theory. Mag. Concr. Res. 2021, 73, 988–1010. [Google Scholar] [CrossRef]
- Barkhordari, M.S.; Massone, L.M. Failure Mode Detection of Reinforced Concrete Shear Walls Using Ensemble Deep Neural Networks. Int. J. Concr. Struct. Mater. 2022, 16, 1–18. [Google Scholar] [CrossRef]
- Simonyan, K.; Zisserman, A. Very Deep Convolutional Networks for Large-Scale Image Recognition. arXiv 2014, arXiv:1409.1556. [Google Scholar]
- He, K.; Zhang, X.; Ren, S.; Sun, J. Deep Residual Learning for Image Recognition. In Proceedings of the IEEE Conference on Computer Vision and Pattern Recognition, Las Vegas, NV, USA, 27–30 June 2016. [Google Scholar] [CrossRef]
- Barkhordari, M.S.; Jahed Armaghani, D.; Asteris, P.G. Structural Damage Identification Using Ensemble Deep Convolutional Neural Network Models. Comput. Model. Eng. Sci. 2022, 134, 835–855. [Google Scholar] [CrossRef]










| State | Undamaged | Flexural Damage | Flexural-Shear (Combined) Damage | Shear Damage | Total |
|---|---|---|---|---|---|
| Symbol | UN | FD | CD | SD | - |
| Sample number | 1813 | 522 | 1325 | 925 | 4585 |
| Models | Accuracy (%) |
|---|---|
| WSN-ANN | 0.943 |
| WSN-BT | 0.953 |
| WSN-RSE | 0.953 |
| WSN-SVM | 0.991 |
| Models | Accuracy (%) |
|---|---|
| VGG-16 [38] | 70.53 |
| VGG-19 [38] | 72.36 |
| ResNet-50 [38] | 68.09 |
| WAE-DE [44] | 94.04 |
| WSN-SVM | 99.1 |
| Models | Failure Mode | ||||
|---|---|---|---|---|---|
| CD | FD | UD | SD | ||
| Recall (%) | WAE-DE | 96.17 | 91.57 | 97.3 | 87.73 |
| WSN-SVM | 99.1 | 98.6 | 99.6 | 98.5 | |
| Precision (%) | WAE-DE | 93.12 | 96.7 | 91.97 | 96.62 |
| WSN-SVM | 99.5 | 97.3 | 99.3 | 99.2 | |
Publisher’s Note: MDPI stays neutral with regard to jurisdictional claims in published maps and institutional affiliations. |
© 2022 by the authors. Licensee MDPI, Basel, Switzerland. This article is an open access article distributed under the terms and conditions of the Creative Commons Attribution (CC BY) license (https://creativecommons.org/licenses/by/4.0/).
Share and Cite
Barkhordari, M.S.; Barkhordari, M.M.; Armaghani, D.J.; Rashid, A.S.A.; Ulrikh, D.V. Hybrid Wavelet Scattering Network-Based Model for Failure Identification of Reinforced Concrete Members. Sustainability 2022, 14, 12041. https://doi.org/10.3390/su141912041
Barkhordari MS, Barkhordari MM, Armaghani DJ, Rashid ASA, Ulrikh DV. Hybrid Wavelet Scattering Network-Based Model for Failure Identification of Reinforced Concrete Members. Sustainability. 2022; 14(19):12041. https://doi.org/10.3390/su141912041
Chicago/Turabian StyleBarkhordari, Mohammad Sadegh, Mohammad Mahdi Barkhordari, Danial Jahed Armaghani, Ahmad Safuan A. Rashid, and Dmitrii Vladimirovich Ulrikh. 2022. "Hybrid Wavelet Scattering Network-Based Model for Failure Identification of Reinforced Concrete Members" Sustainability 14, no. 19: 12041. https://doi.org/10.3390/su141912041
APA StyleBarkhordari, M. S., Barkhordari, M. M., Armaghani, D. J., Rashid, A. S. A., & Ulrikh, D. V. (2022). Hybrid Wavelet Scattering Network-Based Model for Failure Identification of Reinforced Concrete Members. Sustainability, 14(19), 12041. https://doi.org/10.3390/su141912041

