Fuzzy Sensitivity Analysis of Structural Performance
Abstract
:1. Introduction
2. Fuzzy Randomness and Sensitivity Analysis
2.1. Fundamentals
2.2. Framework for Sensitivity Analysis of Fuzzy Probabilistic Models
2.3. Formulation of Sensitivity Analyses
2.4. Application of α-Level Optimization
3. Uncertainty Propagation Methods
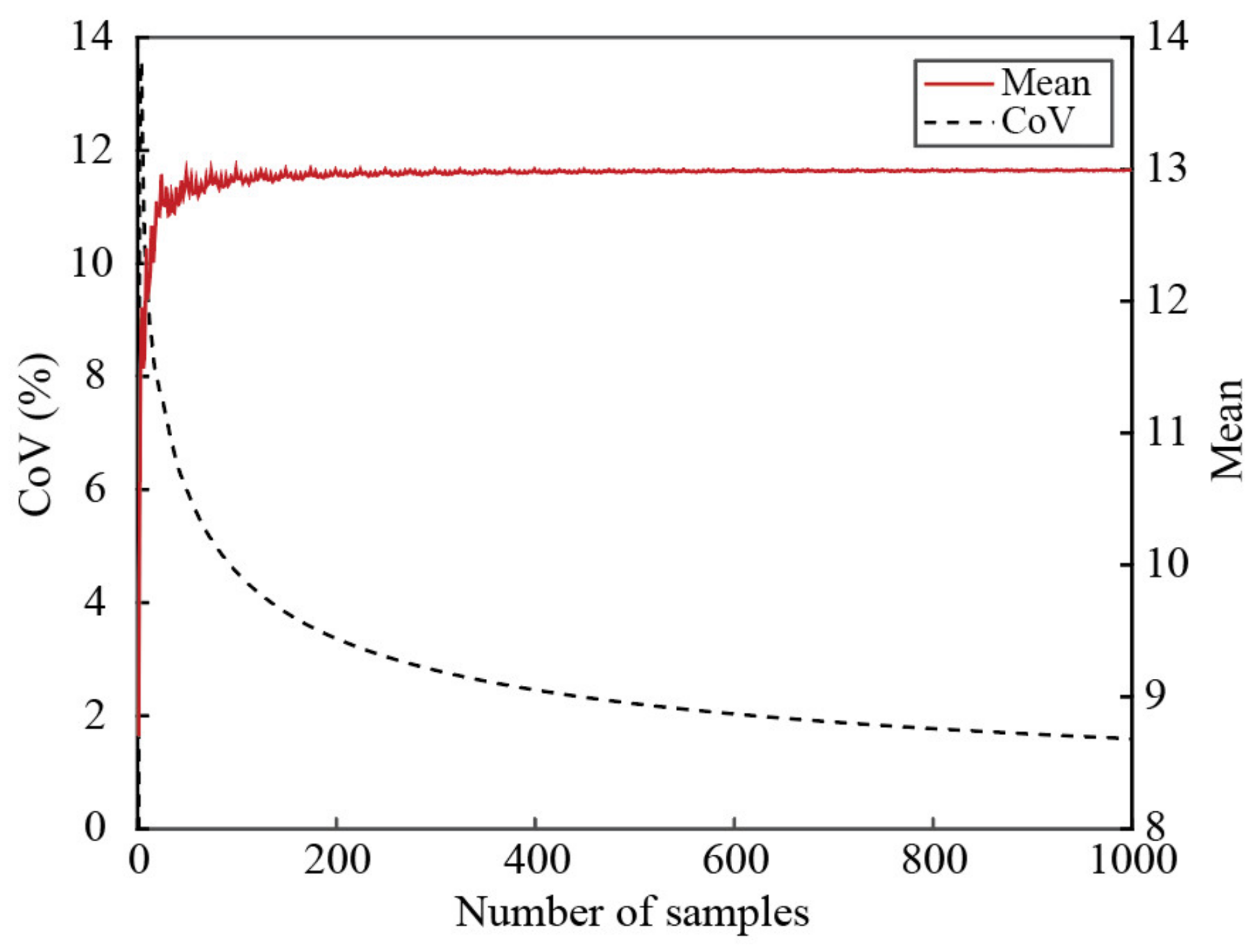
3.1. Monte Carlo Simulation
3.2. Tornado Diagram Analysis
3.3. First-Order Second-Moment Method
4. Examples
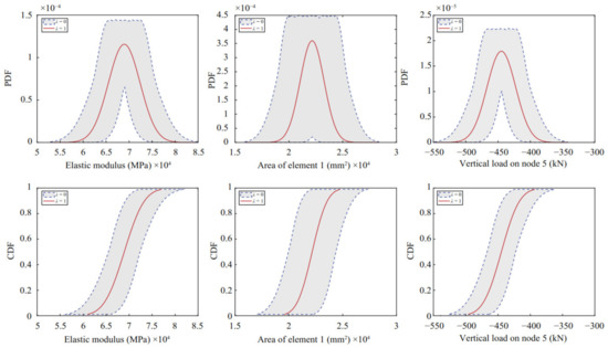
4.1. Numerical Example
4.2. Ten-Bar Truss Example
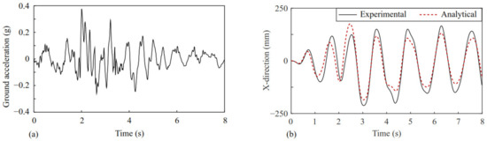
4.3. Nonlinear Seismic Response of a Building Structure
5. Conclusions
Author Contributions
Funding
Data Availability Statement
Acknowledgments
Conflicts of Interest
Notation
| a fuzzy parameter which is a set defined on the fundamental set as | |
| fuzzy area of the ith element in the truss example | |
| crisp subset of the fuzzy parameter defined using the α-level as | |
| fuzzy elastic modulus in the truss example | |
| fuzzy cumulative distribution function of the th fuzzy probabilistic variable | |
| fuzzy input vector defined on the input space consisting all fuzzy variables and fuzzy distribution parameters | |
| fuzzy mass of stories in the building structure example | |
| th fuzzy variable | |
| fuzzy load on node 3 in the truss example | |
| fuzzy load on node 5 in the truss example | |
| fuzzy failure probability | |
| fuzzy distribution parameter of the th fuzzy probabilistic variable | |
| vector of sensitivity indices due to the uncertainty of the th fuzzy probabilistic variable | |
| vector of sensitivity indices due to the uncertainty of the th fuzzy variable | |
| sensitivity index of the th fuzzy output result due to the uncertainty of the th fuzzy probabilistic variable | |
| sensitivity index of the th fuzzy output result due to the uncertainty of th fuzzy variable | |
| fundamental set, consisting of the elements | |
| a trajectory of the th fuzzy probabilistic variable | |
| th fuzzy probabilistic variable whose distribution parameters are fuzzy | |
| fuzzy result vector which is composed of fuzzy output results | |
| th fuzzy output results | |
| an arbitrary number belonging to set | |
| maximum value at the base of the triangular membership function corresponding to | |
| mean value of the fuzzy number corresponding to | |
| minimum value at the base of the triangular membership function corresponding to | |
| fuzzy compressive strength of beams in the building structure example | |
| fuzzy compressive strength of columns in the building structure example | |
| fuzzy yield strength of beam reinforcements in the building structure example | |
| fuzzy yield strength of column reinforcements in the building structure example | |
| fuzzy probability density function of the th fuzzy probabilistic variable | |
| a function giving the nth output result | |
| an element of the th fuzzy variable | |
| lower bound of the α-level set on the th fuzzy variable | |
| upper bound of the α-level set on the th fuzzy variable | |
| an element of fuzzy failure probability | |
| lower bound of the α-level set on the fuzzy failure probability | |
| upper bound of the α-level set on the fuzzy failure probability | |
| an element of the fuzzy distribution parameter of the th fuzzy probabilistic variable | |
| lower bound of the α-level set on the fuzzy distribution parameter of the th fuzzy probabilistic variable | |
| upper bound of the α-level set on the fuzzy distribution parameter of the th fuzzy probabilistic variable | |
| lower bound of the realizations for the th output result due to the uncertainty of a trajectory of the th fuzzy probabilistic variable | |
| upper bound of the realizations for the th output result due to the uncertainty of a trajectory of the th fuzzy probabilistic variable | |
| lower bound of the α-level set on the fuzzy sensitivity index | |
| upper bound of the α-level set on the fuzzy sensitivity index | |
| lower bound of the α-level set on the fuzzy sensitivity index | |
| upper bound of the α-level set on the fuzzy sensitivity index | |
| a value for the trajectory of the th fuzzy probabilistic variable | |
| left of perturbation to estimate the output uncertainty for a trajectory of the th fuzzy probabilistic variable , considered equal to | |
| an element of the th fuzzy result | |
| inverse of the standard normal cumulative distribution function | |
| α-level, used for defining the crisp α-level set | |
| reliability index equal to | |
| membership function of a fuzzy number, which is convex and continuous with the range of showing the uncertainty level of elements of | |
| output result when all input parameters are defuzzified and fixed at their mean values | |
| fuzzy mean area of the th element in the truss example | |
| fuzzy elastic modulus of elements in the truss example | |
| mean value for a trajectory of the th fuzzy probabilistic variable | |
| fuzzy mean of the th fuzzy probabilistic variable | |
| fuzzy load on the th node in the truss example | |
| mean value of the th result for a combination of fuzzy probabilistic variables in the input space | |
| standard deviation for a trajectory of the th fuzzy probabilistic variable | |
| fuzzy standard deviation of the th fuzzy probabilistic variable | |
| standard deviation of the th result for a combination of fuzzy probabilistic variables in the input space |
References
- Benjamin, J.R.; Cornell, C.A. Probability, Statistics, and Decision for Civil Engineers; Courier Corporation: Chelmsford, MA, USA, 2014; ISBN 0486780724. [Google Scholar]
- Zhang, H.; Mullen, R.L.; Muhanna, R.L. Interval Monte Carlo Methods for Structural Reliability. Struct. Saf. 2010, 32, 183–190. [Google Scholar] [CrossRef]
- Jaulin, L.; Kieffer, M.; Didrit, O.; Walter, É. Applied Interval Analysis; Springer: London, UK, 2001; ISBN 978-1-4471-1067-5. [Google Scholar]
- Muhanna, R.L.; Mullen, R.L. Uncertainty in Mechanics Problems—Interval–Based Approach. J. Eng. Mech. 2001, 127, 557–566. [Google Scholar] [CrossRef]
- Divya, P.; Ananthi, G.B.G. Estimation of Probability on Delay in Desalination Plant Construction Projects in Lakshadweep Island. Lect. Notes Civ. Eng. 2022, 191, 533–545. [Google Scholar] [CrossRef]
- Möller, B.; Beer, M.; Graf, W.; Hoffmann, A. Possibility Theory Based Safety Assessment. Comput.-Aided Civ. Infrastruct. Eng. 1999, 14, 81–91. [Google Scholar] [CrossRef]
- Muhanna, R.L.; Mullen, R.L. Formulation of Fuzzy Finite-Element Methods for Solid Mechanics Problems. Comput.-Aided Civ. Infrastruct. Eng. 1999, 14, 107–117. [Google Scholar] [CrossRef]
- Schoefs, F.; Yáñez-Godoy, H.; Lanata, F. Polynomial Chaos Representation for Identification of Mechanical Characteristics of Instrumented Structures. Comput.-Aided Civ. Infrastruct. Eng. 2011, 26, 173–189. [Google Scholar] [CrossRef]
- Kapitaniak, T. Chaos for Engineers: Theory, Applications, and Control; Springer: Berlin/Heidelberg, Germany, 2000; ISBN 9783642571435. [Google Scholar]
- Möller, B.; Beer, M. Fuzzy Randomness: Uncertainty in Civil Engineering and Computational Mechanics; Springer: Berlin/Heidelberg, Germany, 2004; ISBN 3540402942. [Google Scholar]
- Kwakernaak, H. Fuzzy Random Variables—I. Definitions and Theorems. Inf. Sci. 1978, 15, 1–29. [Google Scholar] [CrossRef]
- Yubin, L.; Zhong, Q.; Guangyuan, W. Fuzzy Random Reliability of Structures Based on Fuzzy Random Variables. Fuzzy Sets Syst. 1997, 86, 345–355. [Google Scholar] [CrossRef]
- Möller, B.; Graf, W.; Beer, M. Fuzzy Structural Analysis Using α-Level Optimization. Comput. Mech. 2000, 26, 547–565. [Google Scholar] [CrossRef]
- Graf, W.; Hoffmann, A.; Möller, B.; Sickert, J.U.; Steinigen, F. Analysis of Textile-Reinforced Concrete Structures under Consideration of Non-Traditional Uncertainty Models. Eng. Struct. 2007, 29, 3420–3431. [Google Scholar] [CrossRef]
- Möller, B.; Beer, M.; Graf, W.; Sickert, J.U. Time-Dependent Reliability of Textile-Strengthened RC Structures under Consideration of Fuzzy Randomness. Comput. Struct. 2006, 84, 585–603. [Google Scholar] [CrossRef]
- Möller, B.; Liebscher, M.; Schweizerhof, K.; Mattern, S.; Blankenhorn, G. Structural Collapse Simulation under Consideration of Uncertainty–Improvement of Numerical Efficiency. Comput. Struct. 2008, 86, 1875–1884. [Google Scholar] [CrossRef]
- Jahani, E.; Muhanna, R.L.; Shayanfar, M.A.; Barkhordari, M.A. Reliability Assessment with Fuzzy Random Variables Using Interval Monte Carlo Simulation. Comput.-Aided Civ. Infrastruct. Eng. 2014, 29, 208–220. [Google Scholar] [CrossRef]
- Saltelli, A.; Ratto, M.; Andres, T.; Campolongo, F.; Cariboni, J.; Gatelli, D.; Saisana, M.; Tarantola, S. Global Sensitivity Analysis: The Primer; John Wiley & Sons: Chichester, UK, 2008. [Google Scholar]
- Javidan, M.M.; Kim, J. Experimental and Numerical Sensitivity Assessment of Viscoelasticity for Polymer Composite Materials. Sci. Rep. 2020, 10, 675. [Google Scholar] [CrossRef] [PubMed]
- Kim, J.; Park, J.-H.; Lee, T.-H. Sensitivity Analysis of Steel Buildings Subjected to Column Loss. Eng. Struct. 2011, 33, 421–432. [Google Scholar] [CrossRef]
- Lee, T.-H.; Mosalam, K.M. Seismic Demand Sensitivity of Reinforced Concrete Shear-Wall Building Using FOSM Method. Earthq. Eng. Struct. Dyn. 2005, 34, 1719–1736. [Google Scholar] [CrossRef]
- Morris, M.D. Factorial Sampling Plans for Preliminary Computational Experiments. Technometrics 1991, 33, 161. [Google Scholar] [CrossRef]
- Wu, M.; Xiahou, T.; Chen, J.; Liu, Y. Differentiating Effects of Input Aleatory and Epistemic Uncertainties on System Output: A Separating Sensitivity Analysis Approach. Mech. Syst. Signal Process. 2022, 181, 109421. [Google Scholar] [CrossRef]
- Xiao, S.; Oladyshkin, S.; Nowak, W. Forward-Reverse Switch between Density-Based and Regional Sensitivity Analysis. Appl. Math. Model. 2020, 84, 377–392. [Google Scholar] [CrossRef]
- Jafari, P.; Jahani, E. Reliability Sensitivities with Fuzzy Random Uncertainties Using Genetic Algorithm. Struct. Eng. Mech. 2016, 60, 413–431. [Google Scholar] [CrossRef]
- Javidan, M.M.; Kim, J. Variance-Based Global Sensitivity Analysis for Fuzzy Random Structural Systems. Comput.-Aided Civ. Infrastruct. Eng. 2019, 34, 602–615. [Google Scholar] [CrossRef]
- Kala, Z. Sensitivity Assessment of Steel Members under Compression. Eng. Struct. 2009, 31, 1344–1348. [Google Scholar] [CrossRef]
- Arwade, S.R.; Moradi, M.; Louhghalam, A. Variance Decomposition and Global Sensitivity for Structural Systems. Eng. Struct. 2010, 32, 6022–6032. [Google Scholar] [CrossRef]
- Kala, Z. Sensitivity Analysis of Steel Plane Frames with Initial Imperfections. Eng. Struct. 2011, 33, 2342–2349. [Google Scholar] [CrossRef]
- Kim, J.; Han, S. Sensitivity Analysis for Seismic Response of Reinforced Concrete Staggered Wall Structures. Mag. Concr. Res. 2013, 65, 1348–1359. [Google Scholar] [CrossRef]
- Nour El-Din, M.; Kim, J. Sensitivity Analysis of Pile-Founded Fixed Steel Jacket Platforms Subjected to Seismic Loads. Ocean. Eng. 2014, 85, 1–11. [Google Scholar] [CrossRef]
- Kala, Z. Global Sensitivity Analysis in Stability Problems of Steel Frame Structures. J. Civ. Eng. Manag. 2016, 22, 417–424. [Google Scholar] [CrossRef]
- Yu, X.H.; Lu, D.G.; Qian, K.; Li, B. Uncertainty and Sensitivity Analysis of Reinforced Concrete Frame Structures Subjected to Column Loss. J. Perform. Constr. Facil. 2017, 31, 04016069. [Google Scholar] [CrossRef]
- Kang, H.; Kim, J. Response of a Steel Column-Footing Connection Subjected to Vehicle Impact. Struct. Eng. Mech. 2017, 63, 125–136. [Google Scholar] [CrossRef]
- Javidan, M.M.; Kang, H.; Isobe, D.; Kim, J. Computationally Efficient Framework for Probabilistic Collapse Analysis of Structures under Extreme Actions. Eng. Struct. 2018, 172, 440–452. [Google Scholar] [CrossRef]
- Parisi, F.; Scalvenzi, M.; Brunesi, E. Performance Limit States for Progressive Collapse Analysis of Reinforced Concrete Framed Buildings. Struct. Concr. 2019, 20, 68–84. [Google Scholar] [CrossRef]
- Elmeligy, O.; Aly, N.; Galal, K. Sensitivity Analysis of the Numerical Simulations of Partially Grouted Reinforced Masonry Shear Walls. Eng. Struct. 2021, 245, 112876. [Google Scholar] [CrossRef]
- Chisari, C.; Cacace, D.; de Matteis, G. A Mechanics-Based Model for Simplified Seismic Vulnerability Assessment of Masonry Bell Towers. Eng. Struct. 2022, 270, 114876. [Google Scholar] [CrossRef]
- Zadeh, L.A. Fuzzy Sets. Inf. Control. 1965, 8, 338–353. [Google Scholar] [CrossRef]
- MATLAB 2019; The MathWorks: Natick, MA, USA, 2019.
- Dai, H.; Wang, W. Application of Low-Discrepancy Sampling Method in Structural Reliability Analysis. Struct. Saf. 2009, 31, 55–64. [Google Scholar] [CrossRef]
- Rahman, S.; Wei, D. Design Sensitivity and Reliability-Based Structural Optimization by Univariate Decomposition. Struct. Multidiscip. Optim. 2008, 35, 245–261. [Google Scholar] [CrossRef]
- Luo, X.; Grandhi, R.V. Astros for Reliability-Based Multidisciplinary Structural Analysis and Optimization. Comput. Struct. 1997, 62, 737–745. [Google Scholar] [CrossRef]
- Shayanfar, M.; Abbasnia, R.; Khodam, A. Development of a GA-Based Method for Reliability-Based Optimization of Structures with Discrete and Continuous Design Variables Using OpenSees and Tcl. Finite Elem. Anal. Des. 2014, 90, 61–73. [Google Scholar] [CrossRef]
- CEN (European Committee for Standardization). Eurocode: Basis of Structural Design; CEN: Brussels, Belgium, 2002. [Google Scholar]
- Negro, P.; Verzeletti, G. Effect of Infills on the Global Behaviour of r/c Frames: Energy Considerations from Pseudodynamic Tests. Earthq. Eng. Struct. Dyn. 1996, 25, 753–773. [Google Scholar] [CrossRef]
- CEN (European Committee for Standardization). Eurocode 8: Design of Structures for Earthquake Resistance-Part 1: General Rules, Seismic Actions and Rules for Buildings; CEN: Brussels, Belgium, 2005. [Google Scholar]
- Negro, P.; Verzeletti, G.; Magonette, G. Tests on a Four-Storey Full-Scale r/c Frame Designed According to Eurocodes 8 and 2: Preliminary Report; Report EUR: Ispra, Italy, 1994. [Google Scholar]
- Dolsek, M. Development of Computing Environment for the Seismic Performance Assessment of Reinforced Concrete Frames by Using Simplified Nonlinear Models. Bull. Earthq. Eng. 2010, 8, 1309–1329. [Google Scholar] [CrossRef]
- Mazzoni, S.; McKenna, F.; Scott, M.H.; Fenves, G.L. OpenSees Command Language Manual; Pacific Earthquake Engineering Research (PEER) Center: Berkeley, CA, USA, 2006. [Google Scholar]
- Nowak, A.S.; Szerszen, M.M. Calibration of Design Code for Buildings (ACI 318): Part 1—Statistical Models for Resistance. ACI Struct. J. 2003, 100, 377–382. [Google Scholar] [CrossRef]
- Ellingwood, B.; Galambos, T.V.; MacGregor, J.G.; Cornell, C.A. Development of a Probability Based Load Criterion for American National Standard A58–Building Code Requirement for Minimum Design Loads in Buildings and Other Structures; National Bureau of Standards, Department of Commerce: Washington, DC, USA, 1980. [Google Scholar]
- FEMA. NEHRP Guidelines for the Seismic Rehabilitation of Buildings, FEMA 273; Federal Emergency Management Agency: Washington, DC, USA, 1997. [Google Scholar]
- PEER PEER NGA Database. Available online: https://ngawest2.berkeley.edu/ (accessed on 19 August 2022).
- SeismoMatch 2018; SeismoSoft: Pavia, Italy, 2018.





















| No. | Year | Method | Application | Reference |
|---|---|---|---|---|
| 1 | 2005 | FOSM | Seismic performance evaluation | Lee and Mosalam [21] |
| 2 | 2009 | Variance-based analysis | Imperfection of slender members | Kala [27] |
| 3 | 2010 | Variance-based analysis | Collapse analysis | Arwade et al. [28] |
| 4 | 2011 | MCS, FOSM, and TDA | Collapse analysis | Kim et al. [20] |
| 5 | 2011 | Variance-based analysis | Imperfection of steel frames | Kala [29] |
| 6 | 2013 | FOSM and TDA | Seismic performance evaluation | Kim and Han [30] |
| 8 | 2014 | FOSM and TDA | Seismic analysis of offshore structures | Kim and Nour Eldin [31] |
| 9 | 2016 | Variance-based analysis | Stability of steel frames | Kala [32] |
| 10 | 2016 | Fuzzy gradient-based analysis | Structural failure probability | Jafari and Jahani [25] |
| 11 | 2017 | TDA | Collapse analysis of RC frames | Yu et al. [33] |
| 12 | 2017 | TDA | Impact analysis of steel columns | Kang and Kim [34] |
| 13 | 2018 | Variance-based analysis and TDA | Impact analysis of structures | Javidan et al. [35] |
| 14 | 2019 | TDA | Progressive Analysis | Parisi et al. [36] |
| 15 | 2019 | Fuzzy variance-based analysis | Collapse analysis | Javidan and Kim [26] |
| 16 | 2020 | Derivative-based analysis | Viscoelasticity properties of dampers | Javidan and Kim [19] |
| 17 | 2021 | TDA | Seismic response of reinforced masonry shear walls | Elmeligy et al. [37] |
| 17 | 2022 | Derivative-based analysis | Seismic vulnerability | Chisari et al. [38] |
| Parameter | Fuzzy Mean Values | Distribution |
|---|---|---|
| Elastic modulus (MPa) | Normal | |
| Area | ||
| Loads and |
| Category | Parameters | Distribution | ||
|---|---|---|---|---|
| Beam | MPa | MPa | Normal [51,52] | |
| MPa | MPa | |||
| Column | MPa | MPa | ||
| MPa | MPa | |||
| Mass | ton | ton | Normal [21,52] | |
| Seismic excitation | Bi-directional effects | --- | --- | |
| PGA | g | Lognormal [21] | ||
| GM profile | GM record used in test | --- | MCS [21] | |
| GM record suite |
Publisher’s Note: MDPI stays neutral with regard to jurisdictional claims in published maps and institutional affiliations. |
© 2022 by the authors. Licensee MDPI, Basel, Switzerland. This article is an open access article distributed under the terms and conditions of the Creative Commons Attribution (CC BY) license (https://creativecommons.org/licenses/by/4.0/).
Share and Cite
Javidan, M.M.; Kim, J. Fuzzy Sensitivity Analysis of Structural Performance. Sustainability 2022, 14, 11974. https://doi.org/10.3390/su141911974
Javidan MM, Kim J. Fuzzy Sensitivity Analysis of Structural Performance. Sustainability. 2022; 14(19):11974. https://doi.org/10.3390/su141911974
Chicago/Turabian StyleJavidan, Mohammad Mahdi, and Jinkoo Kim. 2022. "Fuzzy Sensitivity Analysis of Structural Performance" Sustainability 14, no. 19: 11974. https://doi.org/10.3390/su141911974
APA StyleJavidan, M. M., & Kim, J. (2022). Fuzzy Sensitivity Analysis of Structural Performance. Sustainability, 14(19), 11974. https://doi.org/10.3390/su141911974

