Cloud-Based Fault Prediction for Real-Time Monitoring of Sensor Data in Hospital Environment Using Machine Learning
Abstract
1. Introduction
- A hospital automation system is designed and implemented in this paper that syncs the data to the cloud by analyzing the current values of the devices and sensors.
- The real-time monitoring of data collected from different devices and sensors is completed for fault prediction.
- A machine learning algorithm is designed that predicts faults in devices present in a hospital environment.
2. Related Works
3. Methodology
3.1. System Design
3.2. Proposed Model for Fault Prediction
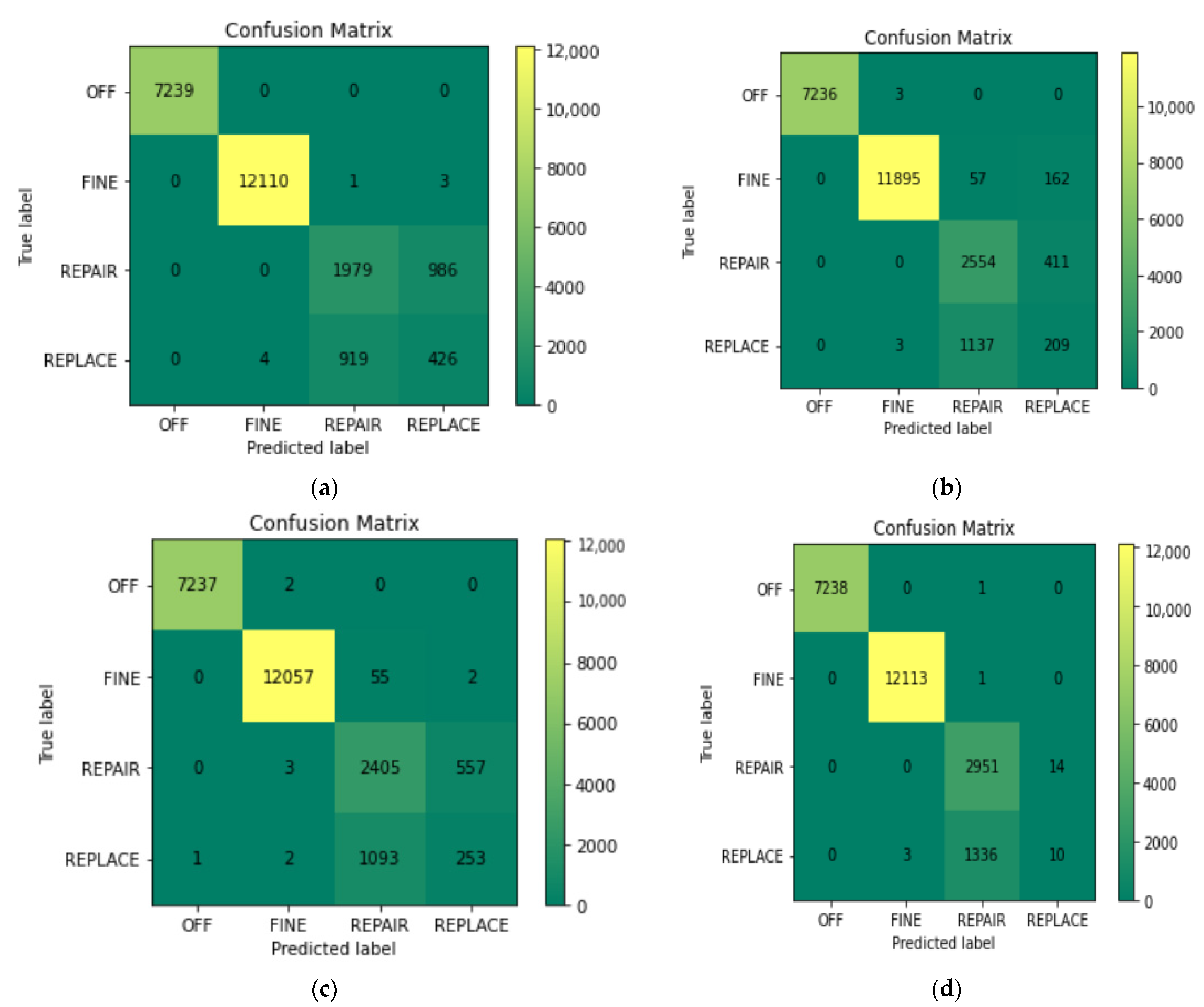
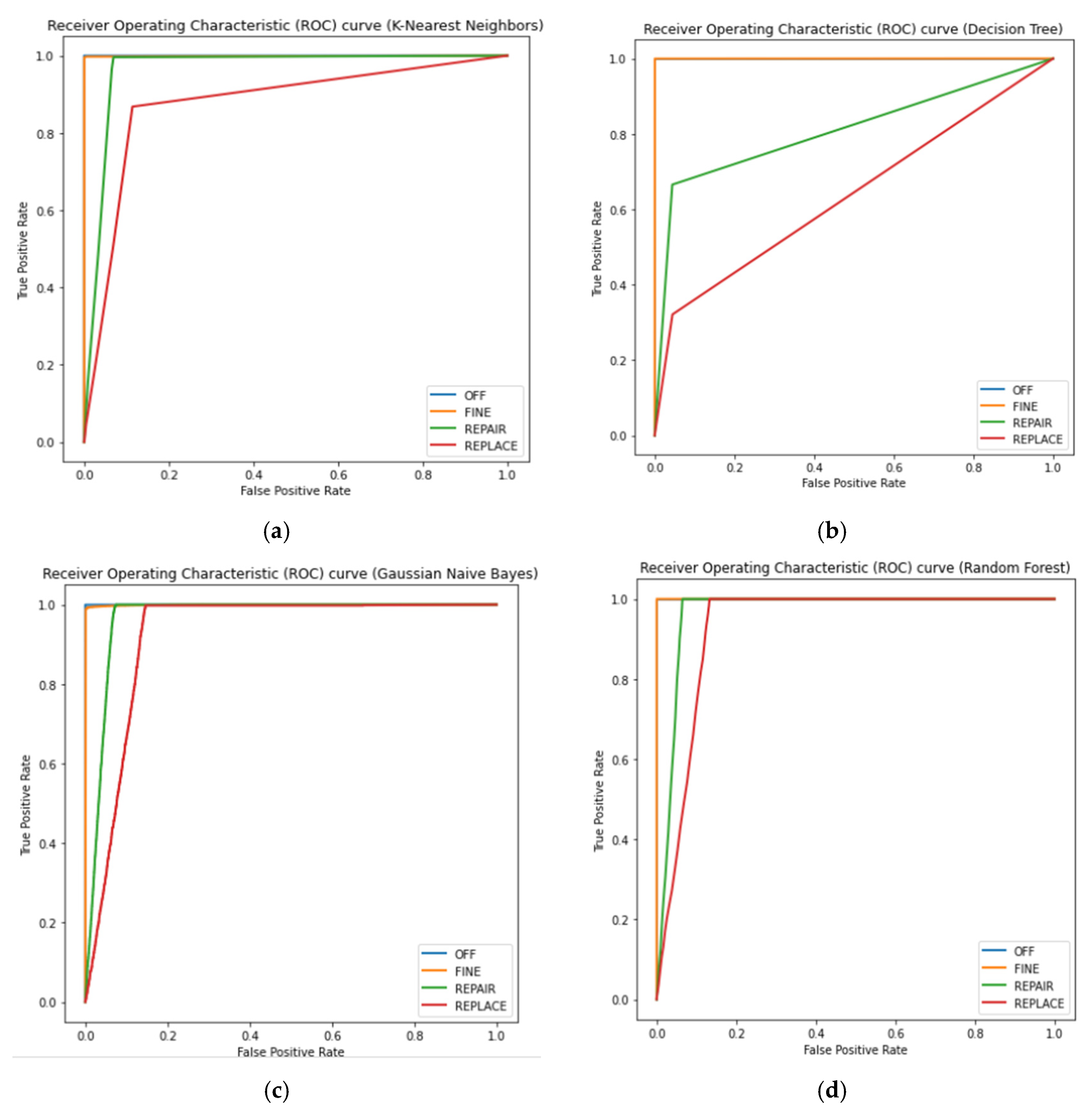
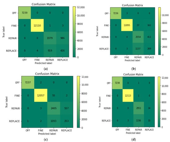
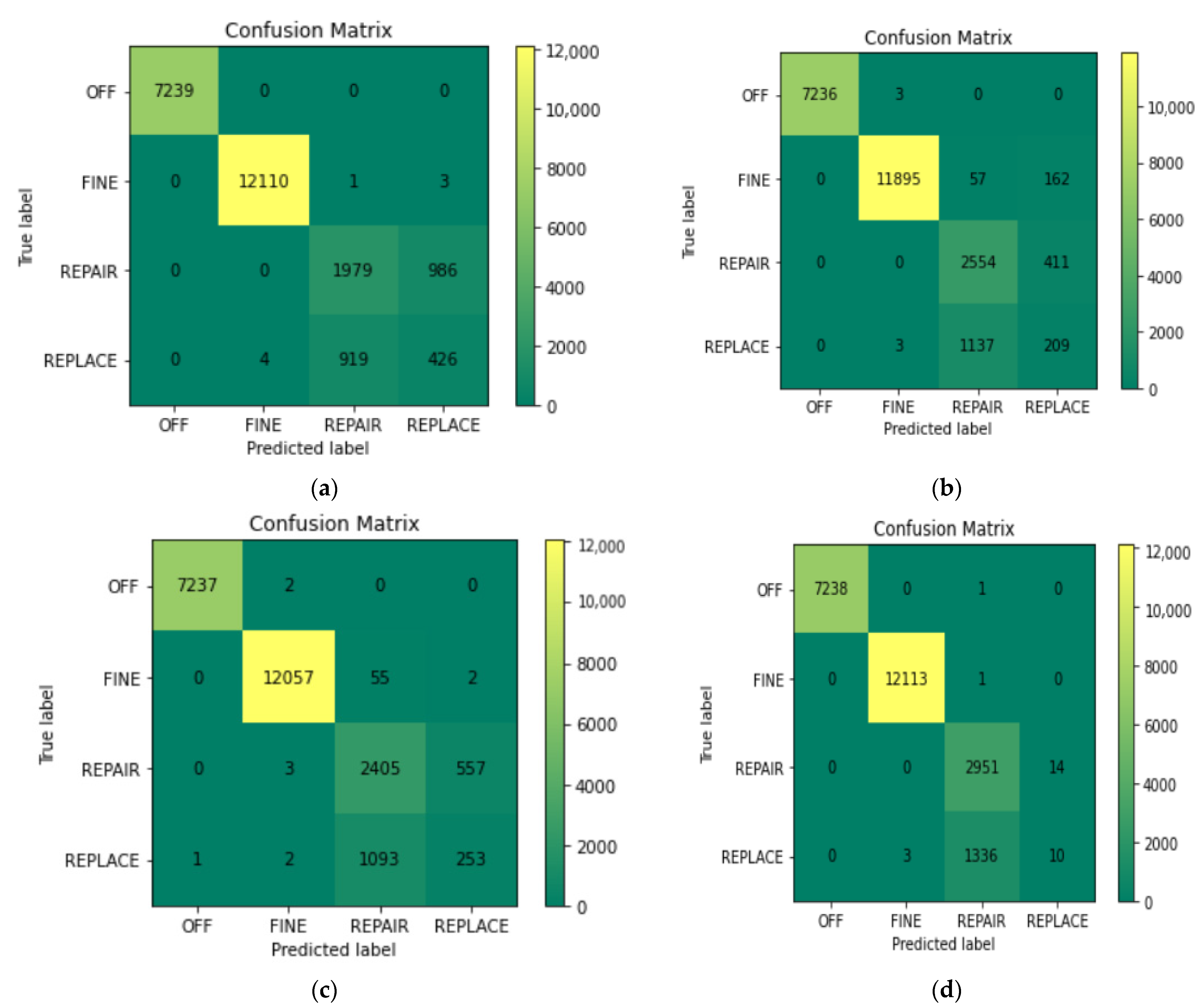
4. Results
5. Discussion
6. Conclusions
Author Contributions
Funding
Data Availability Statement
Conflicts of Interest
References
- Prettner, K. A note on the implications of automation for economic growth and the labor share. Macroecon. Dyn. 2019, 23, 1294–1301. [Google Scholar] [CrossRef]
- Acemoglu, D.; Restrepo, P. Secular stagnation? The effect of aging on economic growth in the age of automation. Am. Econ. Rev. 2017, 107, 174–179. [Google Scholar] [CrossRef]
- Mora, H.; Gil, D.; Terol, R.M.; Azorín, J.; Szymanski, J. An IoT-Based Computational Framework for Healthcare Monitoring in Mobile Environments. Sensors 2017, 17, 2302. [Google Scholar] [CrossRef]
- Zhang, X.; Zhang, J.; Li, L.; Zhang, Y.; Yang, G. Monitoring Citrus Soil Moisture and Nutrients Using an IoT Based System. Sensors 2017, 17, 447. [Google Scholar] [CrossRef] [PubMed]
- Manes, G.; Collodi, G.; Gelpi, L.; Fusco, R.; Ricci, G.; Manes, A.; Passafiume, M. Realtime Gas Emission Monitoring at Hazardous Sites Using a Distributed Point-Source Sensing Infrastructure. Sensors 2016, 16, 121. [Google Scholar] [CrossRef] [PubMed]
- Cheung, W.-F.; Lin, T.-H.; Lin, Y.-C. A Real-Time Construction Safety Monitoring System for Hazardous Gas Integrating Wireless Sensor Network and Building Information Modeling Technologies. Sensors 2018, 18, 436. [Google Scholar] [CrossRef] [PubMed]
- Moon, Y.S.; Choi, H.R.; Kim, J.J.; Kim, D.W.; Cho, J.H.; Kim, J.W.; Jeong, J.W. Development of IoT-Based Sensor Tag for Smart Factory. Int. Res. J. Electron. Comput. Eng. 2017, 3, 28–31. [Google Scholar]
- Li, J.; Xie, J.; Yang, Z.; Li, J. Fault Diagnosis Method for a Mine Hoist in the Internet of Things Environment. Sensors 2018, 18, 1920. [Google Scholar] [CrossRef]
- Lee, J.; Noh, S.D.; Kim, H.-J.; Kang, Y.-S. Implementation of Cyber-Physical Production Systems for Quality Prediction and Operation Control in Metal Casting. Sensors 2018, 18, 1428. [Google Scholar] [CrossRef]
- Mittal, S.; Bansal, A.; Gupta, D.; Juneja, S.; Turabieh, H.; Elarabawy, M.M.; Bitsue, Z.K. Using Identity-Based Cryptography as a Foundation for an Effective and Secure Cloud Model for E-Health. Comput. Intell. Neurosci. 2022, 2022, 7016554. [Google Scholar] [CrossRef]
- Lohokare, J.; Dani, R.; Rajurkar, A.; Apte, A. An IoT ecosystem for the implementation of scalable wireless home automation systems at smart city level. In Proceedings of the IEEE Region 10 Conference, Penang, Malaysia, 5–8 November 2017; pp. 1503–1508. [Google Scholar]
- Villari, M.; Celesti, A.; Fazio, M.; Puliafito, A. AllJoyn Lambda: An architecture for the management of smart environments in IoT. In Proceedings of the International Conference on Smart Computing Workshops, Hong Kong, China, 5 November 2014; pp. 9–14. [Google Scholar]
- Correa-Baena, J.P.; Hippalgaonkar, K.; van Duren, J.; Jaffer, S.; Chandrasekhar, V.R.; Stevanovic, V.; Wadia, C.; Guha, S.; Buonassisi, T. Accelerating materials development via automation, machine learning, and high-performance computing. Joule 2018, 2, 1410–1420. [Google Scholar] [CrossRef]
- Chen, Y.J.; Fan, C.Y.; Chang, K.H. Manufacturing intelligence for reducing false alarm of defect classification by integrating similarity matching approach in CMOS image sensor manufacturing. Comput. Ind. Eng. 2016, 99, 465–473. [Google Scholar] [CrossRef]
- Ravikumar, S.; Ramachandran, K.I.; Sugumaran, V. Machine learning approach for automated visual inspection of machine components. Expert Syst. 2011, 38, 3260–3266. [Google Scholar] [CrossRef]
- Patel, R.K.; Giri, V.K. Feature selection and classification of mechanical fault of an induction motor using random forest classifier. Perspect. Sci. 2016, 8, 334–337. [Google Scholar] [CrossRef]
- Cerrada, M.; Zurita, G.; Cabrera, D.; Sánchez, R.V.; Artés, M.; Li, C. Fault diagnosis in spur gears based on genetic algorithm and random forest. Mech. Syst. Signal Process. 2016, 70, 87–103. [Google Scholar] [CrossRef]
- Wu, J.; Ping, L.; Ge, X.; Wang, Y.; Fu, J. Cloud storage as the infrastructure of cloud computing. In Proceedings of the International Conference on Intelligent Computing and Cognitive Informatics, Kuala Lumpur, Malaysia, 22–23 June 2010; pp. 380–383. [Google Scholar]
- He, C.; Fan, X.; Li, Y. Toward ubiquitous healthcare services with a novel efficient cloud platform. Trans. Biomed. Eng. 2013, 60, 230–234. [Google Scholar] [CrossRef] [PubMed]
- Hossain, M.S.; Muhammad, G. Cloud-assisted industrial internet of things (iiot)–enabled framework for health monitoring. Comput. Netw. 2016, 101, 192–202. [Google Scholar] [CrossRef]
- Kour, K.; Gupta, D.; Gupta, K.; Juneja, S.; Kaur, M.; Alharbi, A.H.; Lee, H.N. Controlling Agronomic Variables of Saffron Crop Using IoT for Sustainable Agriculture. Sustainability 2022, 14, 5607. [Google Scholar] [CrossRef]
- Yu, W.; Lao, X.Q.; Pang, S.; Zhou, J.; Zhou, A.; Zou, J.; Mei, L.; Yu, I.T. A survey of occupational health hazards among 7610 female workers in Chinas electronics industry. Arch. Environ. Occup. Health 2013, 68, 190–205. [Google Scholar] [CrossRef]
- Sharma, S.; Gupta, K.; Gupta, D.; Juneja, S.; Turabieh, H.; Sharma, S. SWOT: A Hybrid Hardware-Based Approach for Robust Fault-Tolerant Framework in a Smart Day Care. Secur. Commun. Netw. 2022, 2022, 2939469. [Google Scholar] [CrossRef]
- Xu, B.; Xu, L.; Cai, H.; Jiang, L.; Luo, Y.; Gu, Y. The design of an m-Health monitoring system based on a cloud computing platform. Enterp. Inf. Syst. 2017, 11, 17–36. [Google Scholar] [CrossRef]
- Ademujimi, T.T.; Brundage, M.P.; Prabhu, V.V. A review of current machine learning techniques used in manufacturing diagnosis. In IFIP International Conference on Advances in Production Management Systems; Springer: Cham, Switzerland, 2017; pp. 407–415. [Google Scholar]
- Jahromi, A.T.; Er, M.J.; Li, X.; Lim, B.S. Sequential fuzzy clustering based dynamic fuzzy neural network for fault diagnosis and prognosis. Neurocomputing 2016, 196, 31–41. [Google Scholar] [CrossRef]
- Singh, P.; Kaur, R.; Rashid, J.; Juneja, S.; Dhiman, G.; Kim, J.; Ouaissa, M. A Fog-Cluster Based Load-Balancing Technique. Sustainability 2022, 14, 7961. [Google Scholar] [CrossRef]
- Alam, F.; Mehmood, R.; Katib, I.; Albeshri, A. Analysis of eight data mining algorithms for smarter Internet of Things (IoT). Procedia Comput. Sci. 2016, 98, 437–442. [Google Scholar] [CrossRef]
- Zhang, Z.; Zhang, S. Application of Internet of Things and Naive Bayes in Public Health Environmental Management of Government Institutions in China. J. Healthc. Eng. 2021, 2021, 9171756. [Google Scholar] [CrossRef] [PubMed]
- Mariappan, D.B.; Parihar, H.; Gautham, M.K.; Verma, D.C. Smart Clinical/Hospital Area Monitoring & Control Based on IOT. In Proceedings of the 2020 2nd International Conference on Advances in Computing, Communication Control and Networking (ICACCCN), Greater Noida, India, 18–19 December 2020; pp. 450–453. [Google Scholar]
- Bhavana, K.; Nekkanti, V.; Jayapandian, N. Internet of things enabled device fault prediction system using machine learning. In International Conference on Inventive Computation Technologies; Springer: Cham, Switzerland, 2019; pp. 920–927. [Google Scholar]
- Choudhary, V.; Parab, A.; Bhapkar, S.; Jha, N.; Kulkarni, M. Desgin and implementation of wi-fi based smart home system. Int. J. Eng. Comput. Sci. 2016, 5, 400022. [Google Scholar] [CrossRef]
- Sunehra, D.; Tejaswi, V. Implementation of speech based home automation system using Bluetooth and GSM. In Proceedings of the 2016 International Conference on Signal Processing, Communication, Power and Embedded System (SCOPES), Paralakhemundi, India, 3–5 October 2016; pp. 807–813. [Google Scholar]
- Alkar, A.Z.; Roach, J.; Baysal, D. IP based home automation system. IEEE Trans. Consum. Electron. 2010, 56, 2201–2207. [Google Scholar] [CrossRef]
- Uppal, M.; Gupta, D.; Juneja, S.; Dhiman, G.; Kautish, S. Cloud-Based Fault Prediction Using IoT in Clinical/Hospital Automation for Improvisation of Health of Employees. J. Healthc. Eng. 2021. [Google Scholar] [CrossRef]
- Kłosowski, P. Deep learning for natural language processing and language modelling. In Proceedings of the 2018 Signal Processing: Algorithms, Architectures, Arrangements, and Applications (SPA), Poznan, Poland, 19–21 September 2018; pp. 223–228. [Google Scholar]
- Zhang, Q.; Cheng, L.; Boutaba, R. Cloud computing: State-of-the-art and research challenges. Journal of internet services and applications. J. Internet Serv. Appl. 2010, 1, 7–18. [Google Scholar] [CrossRef]
- Kanwal, S.; Rashid, J.; Kim, J.; Juneja, S.; Dhiman, G.; Hussain, A. Mitigating the coexistence technique in wireless body area networks by using superframe interleaving. IETE J. Res. 2022, 1–15. [Google Scholar] [CrossRef]
- Gladence, L.M.; Karthi, M.; Anu, V.M. A statistical comparison of logistic regression and different Bayes classification methods for machine learning. ARPN J. Eng. Appl. Sci. 2015, 10, 5947–5953. [Google Scholar]
- Mandula, K.; Parupalli, R.; Murty, C.A.; Magesh, E.; Lunagariya, R. Mobile based home automation using Internet of Things (IoT). In Proceedings of the 2015 International Conference on Control, Instrumentation, Communication and Computational Technologies (ICCICCT), Kumaracoil, India, 18–19 December 2015; pp. 340–343. [Google Scholar]
- Milivojša, S.; Ivanović, S.; Erić, T.; Antić, M.; Smiljković, N. Implementation of voice control interface for smart home automation system. In Proceedings of the 2017 IEEE 7th International Conference on Consumer Electronics-Berlin (ICCE-Berlin), Berlin, Germany, 3–6 September 2017; pp. 263–264. [Google Scholar]
- Sharma, S.; Gupta, S.; Gupta, D.; Juneja, S.; Gupta, P.; Dhiman, G.; Kautish, S. Deep Learning Model for the Automatic Classification of White Blood Cells. Comput. Intell. Neurosci. 2022, 2022, 7384131. [Google Scholar] [CrossRef] [PubMed]
- Gobinath, V.; Gladence, L.M.; Haran, S.H.; Sathiyavathi, R.; Anu, V.M. Home and clinical/Hospital automation system-survey. In Proceedings of the 2017 Third International Conference on Science Technology Engineering & Management (ICONSTEM), Chennai, India, 23–24 March 2017; pp. 435–440. [Google Scholar]
- Katuk, N.; Ku-Mahamud, K.R.; Zakaria, N.H.; Maarof, M.A. Implementation and recent progress in cloud-based smart home automation systems. In Proceedings of the 2018 IEEE Symposium on Computer Applications & Industrial Electronics (ISCAIE), Penang, Malaysia, 28–29 April 2018; pp. 71–77. [Google Scholar]
- Sarkar, D.; Patel, H.; Dave, B. Development of integrated cloud-based Internet of Things (IoT) platform for asset management of elevated metro rail projects. Int. J. Constr. Manag. 2020, 22, 1993–2002. [Google Scholar] [CrossRef]
- Harsha, S.S.; Reddy, S.C.; Mary, S.P. Enhanced home automation system using Internet of Things. In Proceedings of the 2017 International Conference on I-SMAC (IoT in Social, Mobile, Analytics and Cloud) (I-SMAC), Palladam, India, 10–11 February 2017; pp. 89–93. [Google Scholar]
- Uppal, M.; Gupta, D.; Anand, D.; Alharithi, F.S.; Almotiri, J.; Mansilla, A.; Singh, D.; Goyal, N. Fault Pattern Diagnosis and Classification in Sensor Nodes Using Fall Curve. Comput. Mater. Contin. 2022, 72, 1799–1814. [Google Scholar] [CrossRef]
- Balamurugan, B.; Venkata Krishna, P.; Kumar, N.S.; Rajyalakshmi, G.V. An efficient framework for health system based on hybrid cloud with ABE-outsourced decryption. In Artificial Intelligence and Evolutionary Algorithms in Engineering Systems; Springer: Berlin/Heidelberg, Germany, 2015; pp. 41–49. [Google Scholar]
- Namasudra, S.; Roy, P. Secure and efficient data access control in cloud computing environment: A survey. Multiagent Grid Syst. 2016, 12, 69–90. [Google Scholar] [CrossRef]
- Kour, K.; Gupta, D.; Gupta, K.; Dhiman, G.; Juneja, S.; Viriyasitavat, W.; Islam, M.A. Smart-Hydroponic-Based Framework for Saffron Cultivation: A Precision Smart Agriculture Perspective. Sustainability 2022, 14, 1120. [Google Scholar] [CrossRef]
- Malek, Y.N.; Kharbouch, A.; El Khoukhi, H.; Bakhouya, M.; De Florio, V.; El Ouadghiri, D.; Latré, S.; Blondia, C. On the use of IoT and big data technologies for real-time monitoring and data processing. Procedia Comput. Sci. 2017, 113, 429–434. [Google Scholar] [CrossRef]
- AbdulGhaffar, A.; Mostafa, S.M.; Alsaleh, A.; Sheltami, T.; Shakshuki, E.M. Internet of things based multiple disease monitoring and health improvement system. J. Ambient. Intell. Humaniz. Comput. 2020, 11, 1021–1029. [Google Scholar] [CrossRef]
- Lo, N.G.; Flaus, J.M.; Adrot, O. Review of machine learning approaches in fault diagnosis applied to IoT systems. In Proceedings of the 2019 International Conference on Control, Automation and Diagnosis (ICCAD), Grenoble, France, 2–4 July 2019; pp. 1–6. [Google Scholar]
- Mukhtar, H.; Rubaiee, S.; Krichen, M.; Alroobaea, R. An IoT framework for screening of COVID-19 using real-time data from wearable sensors. Int. J. Environ. Res. Public Health 2021, 18, 4022. [Google Scholar] [CrossRef]
- Kocsis, O.; Moustakas, K.; Fakotakis, N.; Vassiliou, C.; Toska, A.; Vanderheiden, G.C.; Stergiou, A.; Amaxilatis, D.; Pardal, A.; Quintas, J.; et al. Smartwork: Designing a smart age-friendly living and working environment for clinical/Hospital workers. In Proceedings of the 12th ACM International Conference on Pervasive Technologies Related to Assistive Environments, Rhodes Greece, 5–7 June 2019; pp. 435–441. [Google Scholar]
- Rajput, D.S.; Basha, S.M.; Xin, Q.; Gadekallu, T.R.; Kaluri, R.; Lakshmanna, K.; Maddikunta, P.K.R. Providing diagnosis on diabetes using cloud computing environment to the people living in rural areas of India. J. Ambient. Intell. Humaniz. Comput. 2022, 13, 2829–2840. [Google Scholar] [CrossRef]
- Rao, M.V.; Krishna, T.R.; Ganduri, R.; Roohi, A. An effective energy management system for smart clinical/Hospital cubicles using IoT. J. Adv. Res. Dyn. Control. Syst. 2018, 10, 338–347. [Google Scholar]
- Sharma, S.; Gupta, S.; Gupta, D.; Juneja, S.; Singal, G.; Dhiman, G.; Kautish, S. Recognition of Gurmukhi Handwritten City Names Using Deep Learning and Cloud Computing. Sci. Program. 2022, 2022, 5945117. [Google Scholar] [CrossRef]
- Gupta, N.; Gupta, K.; Gupta, D.; Juneja, S.; Turabieh, H.; Dhiman, G.; Kautish, S.; Viriyasitavat, W. Enhanced virtualization-based dynamic bin-packing optimized energy management solution for heterogeneous clouds. Math. Probl. Eng. 2022, 2022, 8734198. [Google Scholar] [CrossRef]
- Monga, C.; Gupta, D.; Prasad, D.; Juneja, S.; Muhammad, G.; Ali, Z. Sustainable Network by Enhancing Attribute-Based Selection Mechanism Using Lagrange Interpolation. Sustainability 2022, 14, 6082. [Google Scholar] [CrossRef]
- Ray, P.; Kaluri, R.; Reddy, T.; Lakshmanna, K. Contemporary Developments and Technologies in Deep Learning–Based IoT. In Deep Learning for Internet of Things Infrastructure; CRC Press: Boca Raton, FL, USA, 2021; pp. 61–82. [Google Scholar]
- Dev, K.; Maddikunta, P.K.R.; Gadekallu, T.R.; Bhattacharya, S.; Hegde, P.; Singh, S. Energy optimization for green communication in IoT using harris hawks optimization. IEEE Trans. Green Commun. Netw. 2022, 6, 685–694. [Google Scholar] [CrossRef]
- Iwendi, C.; Maddikunta, P.K.R.; Gadekallu, T.R.; Lakshmanna, K.; Bashir, A.K.; Piran, M.J. A metaheuristic optimization approach for energy efficiency in the IoT networks. Softw. Pract. Exp. 2021, 51, 2558–2571. [Google Scholar] [CrossRef]
- Dhiman, G.; Rashid, J.; Kim, J.; Juneja, S.; Viriyasitavat, W.; Gulati, K. Privacy for Healthcare Data Using the Byzantine Consensus Method. IETE J. Res. 2022, 1–12. [Google Scholar] [CrossRef]














| Description | AC | Coffee | TV | Printer | CCTV | Light | |
|---|---|---|---|---|---|---|---|
| FINE | Mean | 10.664059 | 6.6769981 | 3.7227206 | 2.8772339 | 2.6953145 | 1.5132515 |
| STD | 1.3734523 | 1.3677292 | 1.3440131 | 1.2468702 | 1.3585615 | 0.9033676 | |
| Variance | 1.8863712 | 1.8706831 | 1.8063713 | 1.5546852 | 1.8456893 | 0.8160729 | |
| REPLACE | Mean | 10.432994 | 6.436108 | 3.4402634 | 2.4365401 | 2.4386375 | 0.9989032 |
| STD | 0.4600035 | 0.3994672 | 0.3781646 | 0.3789575 | 0.377698 | 0.2897724 | |
| Variance | 0.2116033 | 0.1595741 | 0.1430085 | 0.1436088 | 0.1426557 | 0.083968 | |
| REPAIR | Mean | 10.440403 | 6.4351397 | 3.4362058 | 2.4422874 | 2.4431935 | 1.0035384 |
| STD | 0.3740165 | 0.3788493 | 0.3827486 | 0.3752713 | 0.3805508 | 0.2907973 | |
| Variance | 0.1398883 | 0.1435268 | 0.1464965 | 0.1408286 | 0.1448189 | 0.0845631 | |
| POWER OFF | Mean | 0.0019979 | 0.0009783 | 0.0003549 | 0.0001834 | 0.0002468 | 0.0000876 |
| STD | 0.1413262 | 0.0769844 | 0.034375 | 0.0221103 | 0.0251983 | 0.0117378 | |
| Variance | 0.0199731 | 0.0059266 | 0.0011816 | 0.0004889 | 0.000635 | 0.0001378 |
| Actual “Yes” | Actual “No” | |
|---|---|---|
| Classified as “Yes” | TP | FP |
| Classified as “No” | FN | TN |
| Performance Metric | Formula |
|---|---|
| Specificity | (TN)/(TN + FP) |
| Recall/Sensitivity | TP/(TP + FN) |
| False Positive Rate | (FP)/(FP + TN) |
| True Positive Rate | TP/(TP + FN) |
| Accuracy | (TP + TN)/(TP + TN + FP + FN) |
| Precision | TP/(TP + FP) |
| F1-score | (2 TP)/(2 TP + FP + FN) |
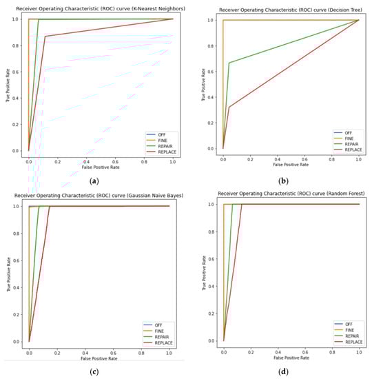
| Model | Accuracy | Precision | Recall | F1 Score |
|---|---|---|---|---|
| Gaussian Naive Bayes | 92.508% | 91.806% | 92.508% | 91.936% |
| Random Forest | 94.257% | 91.951% | 94.257% | 91.990% |
| K-Nearest Neighbor | 92.753% | 91.994% | 92.753% | 92.210% |
| Decision Tree | 91.963% | 92.061% | 91.963% | 92.010% |
Publisher’s Note: MDPI stays neutral with regard to jurisdictional claims in published maps and institutional affiliations. |
© 2022 by the authors. Licensee MDPI, Basel, Switzerland. This article is an open access article distributed under the terms and conditions of the Creative Commons Attribution (CC BY) license (https://creativecommons.org/licenses/by/4.0/).
Share and Cite
Uppal, M.; Gupta, D.; Juneja, S.; Sulaiman, A.; Rajab, K.; Rajab, A.; Elmagzoub, M.A.; Shaikh, A. Cloud-Based Fault Prediction for Real-Time Monitoring of Sensor Data in Hospital Environment Using Machine Learning. Sustainability 2022, 14, 11667. https://doi.org/10.3390/su141811667
Uppal M, Gupta D, Juneja S, Sulaiman A, Rajab K, Rajab A, Elmagzoub MA, Shaikh A. Cloud-Based Fault Prediction for Real-Time Monitoring of Sensor Data in Hospital Environment Using Machine Learning. Sustainability. 2022; 14(18):11667. https://doi.org/10.3390/su141811667
Chicago/Turabian StyleUppal, Mudita, Deepali Gupta, Sapna Juneja, Adel Sulaiman, Khairan Rajab, Adel Rajab, M. A. Elmagzoub, and Asadullah Shaikh. 2022. "Cloud-Based Fault Prediction for Real-Time Monitoring of Sensor Data in Hospital Environment Using Machine Learning" Sustainability 14, no. 18: 11667. https://doi.org/10.3390/su141811667
APA StyleUppal, M., Gupta, D., Juneja, S., Sulaiman, A., Rajab, K., Rajab, A., Elmagzoub, M. A., & Shaikh, A. (2022). Cloud-Based Fault Prediction for Real-Time Monitoring of Sensor Data in Hospital Environment Using Machine Learning. Sustainability, 14(18), 11667. https://doi.org/10.3390/su141811667

