Influence of Defects on In-Plane Dynamic Properties of Hexagonal Ligament Chiral Structures
Abstract
:1. Introduction
2. Design of Experimental and Simulation Methods
2.1. Experimental Method Design
2.2. Finite Element Simulation
2.2.1. FE Modelling
2.2.2. Reliability Analysis of Simulation Model
3. Results of Tests and Simulations
3.1. Evaluation Index of Dynamic Characteristics
3.2. Results of Test
3.3. Dynamic Response of the Six-Ligament Chiral Structure
3.3.1. Low-Velocity Dynamic Response

3.3.2. Medium-Velocity Dynamic Response.

3.3.3. High-Velocity Dynamic Response.

3.4. Dynamic Platform Stress
3.4.1. Influence of Impact Velocity on Platform Stress
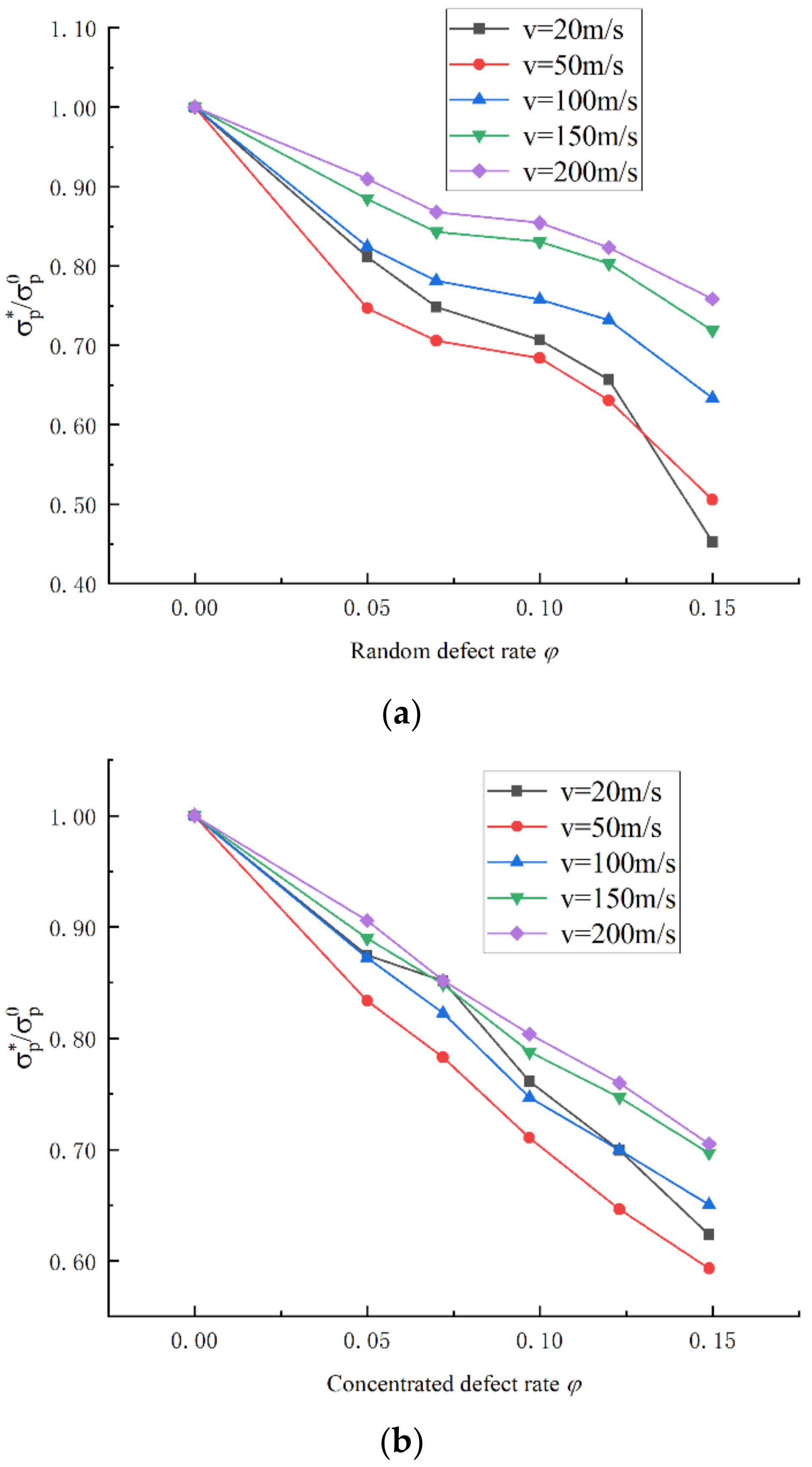
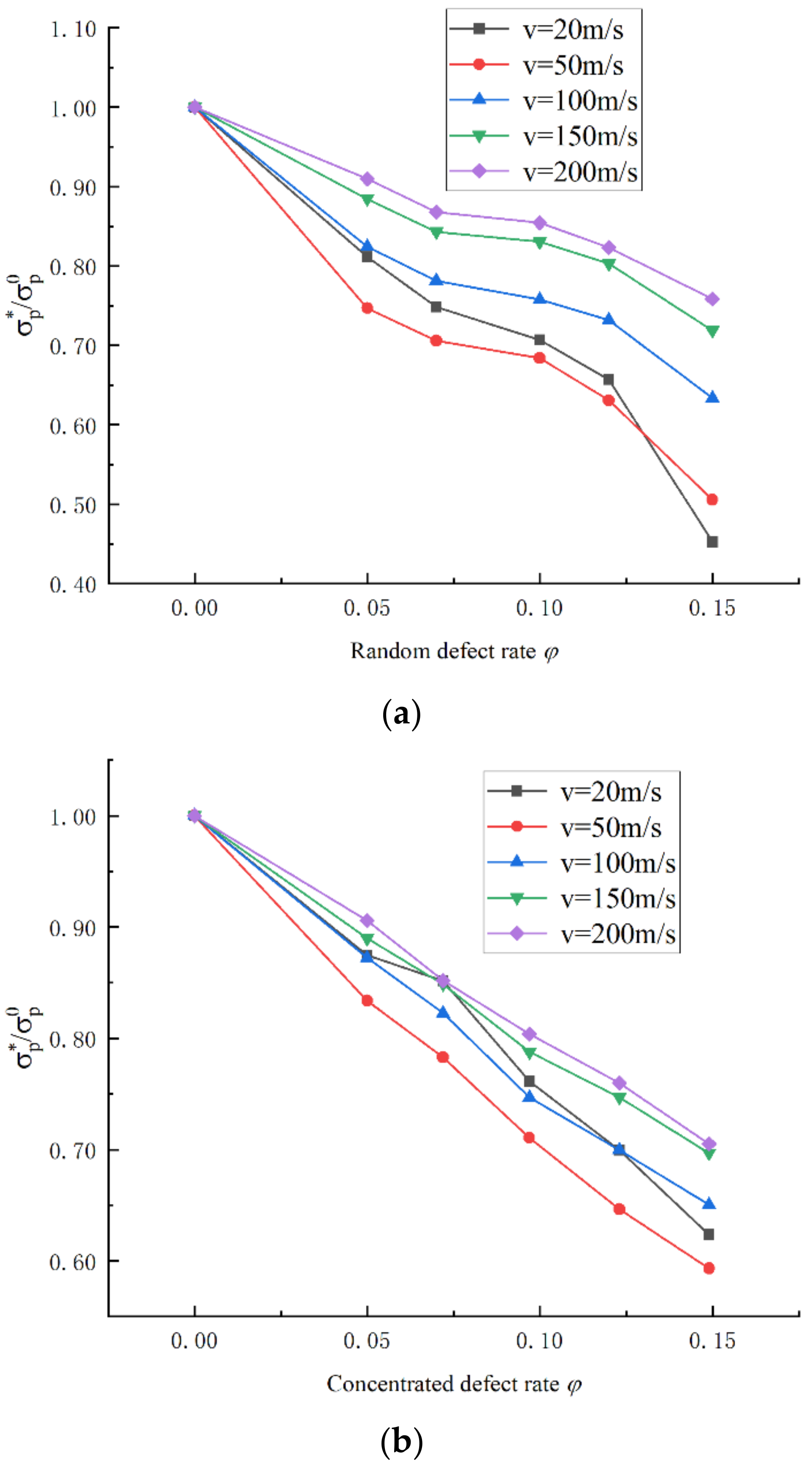
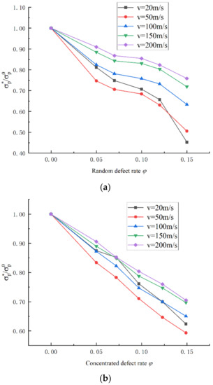
3.4.2. Influence of Defect Rate on Platform Stress

3.4.3. Influence of Defect Type on Platform Stress

3.5. Energy Absorption Efficiency
4. Conclusions
- Defects have different effects on the macroscopic deformation mode of the six-ligament chiral structure at different impact speeds. During low-velocity impact speeds, ligament wrapping occurs first at the site of the defect throughout the structure. During moderate impact speeds, ligament wrapping occurs both near the impact end and at the defect site. During high-speed impact, the existence of defects does not significantly change the deformation mode of the six-ligament chiral structure, and node crushing and ligament winding are gradually transmitted from the impact end to the fixed end.
- The defect will significantly reduce the platform stress and energy absorption capacity of the six-ligament chiral structure. The plateau stress decreases as the defect rate increases. However, random and concentrated defects have different downward trends. During medium- and high-speed impact speeds, with the increase in the impact speed, the weakening effect of defects on platform stress gradually weakens. However, in a low-speed impact, the weakening effect of the defect on the platform stress is higher than that in a medium-speed impact of 50 m/s. As the defect rate increases, the energy absorption capacity of the structure decreases. During a low-speed impact, a higher random defects rate has a greater impact on the energy absorption capacity of the structure than concentrated defects. With the increase in the impact speed, the effects of random and concentrated defects on the energy absorption capacity of the structure gradually increase.
Author Contributions
Funding
Institutional Review Board Statement
Informed Consent Statement
Data Availability Statement
Conflicts of Interest
References
- Tiju, T.; Gaurav, T. Crushing behavior of honeycomb structure: A review. Int. J. Crashworthiness 2019, 24, 555–579. [Google Scholar]
- Sri, D.R.; Manoj, P.; Ratna, K.A. Dynamic compressive behaviour of auxetic and non-auxetic hexagonal honeycombs with entrapped gas. Int. J. Impact Eng. 2020, 146, 103718. [Google Scholar]
- Lu, Z.-X.; Wu, W.-B. Numerical simulations for the in-plane dynamic crushing of honeycomb material with negative Poisson’s ratio based on rotating triangle model. Acta Armamentar II 2018, 39, 153–160. (In Chinese) [Google Scholar]
- Zhang, X.-C.; Shen, Z.-F.; Wu, H.-X.; Bai, J.-P.; Cao, Y.-P. Study on dynamic response characteristics of multi-segment filled composite honeycombs. J. Hunan Univ. Nat. Sci. 2020, 47, 67–75. (In Chinese) [Google Scholar]
- Shen, Z.-F.; Zhang, X.-C.; Bai, J.-P.; Wu, H.X. Dynamic response characteristics of re-entrant circular honeycombs with negative Poisson’s ratio. J. Vib. Shock. 2020, 39, 89–95. (In Chinese) [Google Scholar]
- Liu, Y.; Hao, Q.; Tian, Y.-N.; Cui, H.W. Study on structure of negative Poisson’s ratio gradient honeycomb. J. Hubei Univ. Automot. Technol. 2020, 34, 64–68. (In Chinese) [Google Scholar]
- Wu, H.-X.; Liu, Y.; Zhang, X.-C.; Yang, S.; Sun, Q.S. Effects of distribution of microstructure types on the in-Plane dynamic crushing of composite honeycomb structures. J. Mater. Eng. Perform. 2021, 30, 850–861. [Google Scholar] [CrossRef]
- Wu, W.-W.; Hu, W.-X.; Qian, G. Mechanical design and multifunctional applications of chiral mechanical metamaterials: A review. Mater. Des. 2019, 180, 107950. [Google Scholar] [CrossRef]
- Wu, W.-W.; Tao, Y.; Xia, Y.; Chen, J.; Lei, H.; Sun, L.; Fang, D. Mechanical properties of hierarchical anti-tetrachiral metastructures. Extrem. Mech. Lett. 2017, 16, 18–32. [Google Scholar] [CrossRef]
- Qian, J.-C.; Cheng, Y.-S.; Zhang, A.-F.; Zhou, Q.; Zhang, J. Optimization design of metamaterial vibration isolator. Struct. Multidiscip. Optim. 2021, 64, 423–439. [Google Scholar] [CrossRef]
- Luo, C.; Han, C.-Z.; Zhang, X.-Y.; Zhang, X.G.; Ren, X.; Xie, Y.M. Design, manufacturing and applications of auxetic tubular structures: A review. Thin-Walled Struct. 2021, 163, 107682. [Google Scholar] [CrossRef]
- Liu, R.-Y.; Yao, G.-F.; Xu, Z.-Z.; Yu, Z.; Zhang, Z.; Han, C.; Li, H.; Jiang, S. Study on quasi-static mechanical properties of novel reentrant structures with multiple energy dissipation. Thin-Walled Struct. 2022, 177, 109442. [Google Scholar] [CrossRef]
- Meng, L.; Shi, J.-X.; Yang, C.; Gao, T.; Hou, Y.; Song, L.; Gu, D.; Zhu, J.; Breitkopf, P.; Zhang, W. An emerging class of hyperbolic lattice exhibiting tunable elastic properties and impact absorption through chiral twisting. Extrem. Mech. Lett. 2020, 40, 100869. [Google Scholar] [CrossRef]
- Novak, N.; Vesebjak, M.; Tanak, S. Compressive behaviour of chiral auxetic cellular structures at different strain rates. Int. J. Impact Eng. 2020, 141, 103566. [Google Scholar] [CrossRef]
- Novak, N.; Mauko, A.; Ulbin, M. Development and characterisation of novel three-dimensional axisymmetric chiral auxetic structures. J. Mater. Res. Technol. 2022, 17, 2701–2713. [Google Scholar] [CrossRef]
- Zhang, X.-C.; Zhu, X.-N.; Li, N. A study of the dynamic response characteristics of hexagonal chiral honeycombs. J. Vib. Shock. 2016, 35, 1–7. (In Chinese) [Google Scholar]
- Qi, D.-X.; Lu, Q.-Y.; He, C.-W.; Li, Y.; Wu, W.; Xiao, D. Impact energy absorption of functionally graded chiral honeycomb structures. Extrem. Mech. Lett. 2019, 32, 100568. [Google Scholar] [CrossRef]
- Su, X.W.; Zhu, D.M.; Zheng, C.; Tomovic, M.M. Mechanical properties of 65 Mn chiral structure with three ligaments. J. Mech. Engl. Ed. 2019, 35, 88–98. [Google Scholar]
- Mauko, A.; Fíla, T.; Falta, J. Dynamic deformation behaviour of chiral auxetic lattices at low and high strain-rates. Metals 2021, 11, 52. [Google Scholar] [CrossRef]
- Liu, K.; Gao, X.-F.; Zhang, P. Dynamic mechanical performances of enhanced anti-tetra-chiral structure with rolled cross-section ligaments under impact loading. Int. J. Impact Eng. 2022, 166, 104204. [Google Scholar]
- Liu, W.-D.; Yang, Z.-D.; Du, S.; Li, H.; Zhang, Q. Theoretical, numerical and experimental study on the in-plane elastic behavior of a 2D chiral cellular structure. Compos. Struct. 2022, 296, 115889. [Google Scholar] [CrossRef]
- Wu, W.-W.; Qi, D.-X.; Liao, H.-T.; Qian, G.; Geng, L.; Niu, Y.; Liang, J. Deformation mechanism of innovative 3D chiral metamaterials. Sci. Rep. 2018, 8, 12575. [Google Scholar] [CrossRef] [PubMed]
- Attard, D.; Farrugia, P.S.; Gatt, R.; Grima, J.N. Starchirals—A novel class of auxetic hierarchal structures. Int. J. Mech. Sci. 2020, 179, 105631. [Google Scholar] [CrossRef]
- Li, K.Y.; Zhang, Y.; Su, L.; Duan, N.; Shi, W. Crushing mechanics of anti-tetrachiral column. Thin-Walled Struct. 2022, 175, 109253. [Google Scholar] [CrossRef]
- Lu, Q.Y.; Qi, D.X.; Li, Y.; Xiao, D.; Wu, W. Impact energy absorption performances of ordinary and hierarchical chiral structures. Thin-Walled Struct. 2019, 140, 495–505. [Google Scholar] [CrossRef]
- Airoldi, A.; Novak, N.; Sgobba, F. Foam-filled energy absorbers with auxetic behaviour for localized impacts. Mater. Sci. Eng. A 2020, 788, 139500. [Google Scholar] [CrossRef]
- Qiu, K.-P.; Wang, R.-Y.; Zhu, J.-H.; Zhang, W. Optimization design of chiral hexagonal honeycombs with prescribed elastic properties under large deformation. Chin. J. Aeronaut. 2020, 33, 902–909. [Google Scholar] [CrossRef]
- Gao, D.-W.; Wang, S.-H.; Zhang, M.-Z.; Zhang, C. Experimental and numerical investigation on in-plane impact behaviour of chiral auxetic structure. Compos. Struct. 2021, 267, 113922. [Google Scholar] [CrossRef]
- Xin, X.; Liu, L.; Liu, Y.; Leng, J. 4D Printing auxetic metamaterials with tunable, programmable, and reconfigurable mechanical properties. Adv. Funct. Mater. 2020, 30, 2004226. [Google Scholar] [CrossRef]
- Fernandez-Corbaton, I.; Rockstuhl, C.; Ziemke, P.; Gumbsch, P.; Albiez, A.; Schwaiger, R.; Frenzel, T.; Kadic, M.; Wegener, M. New twists of 3D chiral metamaterials. Adv. Mater. 2019, 31, 1807742. [Google Scholar] [CrossRef]
- Zhang, Z.-J.; Long, Y.-H.; Xu, R.-W.; Liu, Q.-Y.; Zhou, L.; Huang, P.; Lan, G.-Q. Research progress and prospect of additive manufacturing technology forming mechanical meta-materials. Mach. Tool Hydraul. 2022, 50, 151–158. (In Chinese) [Google Scholar]
- Yoon, G.H.; Kim, I.K.; Rho, J.S. Challenges in fabrication towards realization of practical metamaterials. Microelectron. Eng. 2016, 163, 7–20. [Google Scholar] [CrossRef]
- Hu, J.; Ren, J.W.; Ma, W.; Liu, J.H.; Wang, A.G. Dynamic performances of graded honeycomb materials containing random defects under impact loading. Mater. Rep. 2019, 33, 2777–2784. (In Chinese) [Google Scholar]
- Liu, Y.; Zhang, X.-C. Effects of inhomogeneous distribution of defects on in-plane dynamic properties of honeycombs. Explos. Shock. Waves 2009, 29, 237–242. (In Chinese) [Google Scholar]
- He, Q.; Feng, J.; Zhou, H.-G.; Tian, G. Numerical study on the dynamic behavior of circular honeycomb structure with concentrated filling inclusions defects. J. Mech. Sci. Technol. 2018, 32, 3727–3735. [Google Scholar] [CrossRef]
- Sri, D.R.; Manoj, P.; Ratna, K.A. Effect of defects on the dynamic compressive behavior of cellular solids. Int. J. Mech. Sci. 2019, 170, 105365. [Google Scholar]
- Esa, M.; Xue, P.; Zahran, M.; Abdelwahab, M.; Khalil, M. Novel strategy using crash tubes adaptor for damage levels manipulation and total weight reduction. Thin-Walled Struct. 2017, 111, 176–188. [Google Scholar] [CrossRef]
- Long, S.; Yao, X.; Zhang, X. Delamination prediction in composite laminates under low-velocity impact. Compos. Struct. 2015, 132, 290–298. [Google Scholar] [CrossRef]













Publisher’s Note: MDPI stays neutral with regard to jurisdictional claims in published maps and institutional affiliations. |
© 2022 by the authors. Licensee MDPI, Basel, Switzerland. This article is an open access article distributed under the terms and conditions of the Creative Commons Attribution (CC BY) license (https://creativecommons.org/licenses/by/4.0/).
Share and Cite
An, N.; Su, X.; Zhu, D.; Tomovic, M.M. Influence of Defects on In-Plane Dynamic Properties of Hexagonal Ligament Chiral Structures. Sustainability 2022, 14, 11432. https://doi.org/10.3390/su141811432
An N, Su X, Zhu D, Tomovic MM. Influence of Defects on In-Plane Dynamic Properties of Hexagonal Ligament Chiral Structures. Sustainability. 2022; 14(18):11432. https://doi.org/10.3390/su141811432
Chicago/Turabian StyleAn, Ning, Xunwen Su, Dongmei Zhu, and Mileta M. Tomovic. 2022. "Influence of Defects on In-Plane Dynamic Properties of Hexagonal Ligament Chiral Structures" Sustainability 14, no. 18: 11432. https://doi.org/10.3390/su141811432
APA StyleAn, N., Su, X., Zhu, D., & Tomovic, M. M. (2022). Influence of Defects on In-Plane Dynamic Properties of Hexagonal Ligament Chiral Structures. Sustainability, 14(18), 11432. https://doi.org/10.3390/su141811432
