Next Article in Journal
SEIR Evolutionary Game Model Applied to the Evolution and Control of the Medical Waste Disposal Crisis in China during the COVID-19 Outbreak
Next Article in Special Issue
Study on Wind-Induced Human Comfort of the SEG Plaza under Local Excitation Based on Wind Tunnel Test
Previous Article in Journal
Promoting Personalized Learning in Flipped Classrooms: A Systematic Review Study
 
 
Font Type:
Arial Georgia Verdana
Font Size:
Aa Aa Aa
Line Spacing:
Column Width:
Background:
Article

Effects of Surface-Attached Vertical Ribs on Wind Loads and Wind-Induced Responses of High-Rise Buildings

1
College of Civil Engineering and Architecture, Zhejiang University, Hangzhou 310058, China
2
Department of Civil and Environmental Engineering, The Hong Kong University of Science and Technology, Clear Water Bay, Hong Kong 999077, China
3
East China Architectural Design and Research Institute, Shanghai 200002, China
*
Author to whom correspondence should be addressed.
Sustainability 2022, 14(18), 11394; https://doi.org/10.3390/su141811394
Submission received: 14 July 2022 / Revised: 2 September 2022 / Accepted: 8 September 2022 / Published: 11 September 2022
(This article belongs to the Special Issue Advances in Wind Engineering for Sustainable Structure)

Abstract

:
Façade design tends to be diverse with increasing requirements for architectural functions in modern high-rise buildings, leading to various aerodynamic roughness conditions of the building surface. A typical practice is setting vertical ribs on the building façade. This study aims to clarify the effects of vertical ribs on the wind loads and wind-induced responses of high-rise buildings. The models with four vertical rib configurations were tested in the open and suburban exposures using the High-Frequency Force Balance (HFFB) technique in a wind tunnel. The base overturning moments and corresponding responses are demonstrated and compared between models and exposures. Results show that the vertical ribs with a relative width of 4% can not only reduce the mean force coefficients in the along-wind direction but also attenuate the cross-wind vibration by disrupting the regular vortex shedding. Moreover, the half-distributed and full-distributed rib configurations have almost indistinguishable benefit, indicating that the ribs in the corner region of the building façade play a dominant role in reducing the wind-induced responses. Although the cross-wind responses of the building would be less severe in the suburban exposure than those in the open exposure, the reduction rate of the wind-induced responses by the vertical ribs remains almost unchanged.

1. Introduction

Façade design tends to be diverse with increasing requirements for architectural functions in modern high-rise buildings. Building surface-mounted appurtenances such as ribs, balconies, mullions, and sunshades protruding from the façade are widely used in architectural design [1]. Conventionally, the influence of these elements on wind loads and corresponding structural responses of the building is overlooked due to their small size compared with the whole building scale. However, larger façade appurtenances in the scale of meters such as vertical ribs have become prevalent in high-rise buildings in recent years, not only for functional requirements but also for aesthetic reasons. In this situation, the aerodynamic roughness condition of the building surface varies and is highly influenced by the vertical ribs. The wind-induced responses of the structure may be dramatically changed, especially in high-rise buildings under higher wind velocity. Thus, it is highly desirable to examine the relationship between the façade roughness components and their potential effects on the wind-induced responses.
Protruding appurtenances have great potential for optimizing a building’s aerodynamic performance without interfering with architectural design and living conditions. In contrast, some aerodynamic optimizations such as tapering or setback have some inherent drawbacks such as decreasing the building’s space utilization and conflicting with the architectural concept [2]. Therefore, aerodynamic optimizations should balance aerodynamic efficiency and architectural design aspects, and therefore, façade roughness components are promising in mitigating the wind-induced responses of high-rise buildings [3].
Previous studies mainly examined the local wind pressure changes of buildings caused by façade appurtenances. Stathopoulos and Zhu concluded that the local pressures reduce significantly in the upper zone of the windward wall and the lower zone of the side and leeward wall with increasing surface roughness, while remaining almost unchanged in the other zones [4]. Chand et al. found that the provision of balconies alters the wind pressure distribution on the windward wall of a high-rise building but does not introduce significant changes on the leeward side [5]. Maruta et al. investigated the effects of different balcony widths on the local wind pressure and concluded that the transmission of disturbances is restrained by increasing surface roughness due to the elimination of fluctuating pressures induced by the separation bubbles [6]. Shen et al. investigated the influence of outer pierced ornamental components on the wind pressure distributions on a twisted high-rise building [7]. They found that the existence of ornament components can obviously reduce the peak negative pressure in the middle of each side of the building surface, which is conducive to the wind-resistant design of the cladding. A Computational Fluid Dynamics (CFD) simulation conducted by Montazeri and Blocken also indicated that building balconies lead to significant changes in the wind pressure distribution on building surfaces because of flow separation and recirculation across the façade in multiple areas [8]. Quan et al. reported that vertical ribs significantly decrease the most unfavorable suction coefficients in the corner recession regions and edge regions of façades [9]. Yuan et al. used thin horizontal splitter plates to simulate appurtenance configurations and found that appurtenances can reduce the negative local peak pressure of the higher leading corner on a building’s side face [10]. Hu et al. found that vertical openings on the external skin of a double-skin façade effectively reduce the wind pressures on the side and leeward surfaces [11]. Liu et al. examined the flow fields around their models with the high-frequency particle velocimetry technique and found that vertical ribs significantly attenuate the turbulence intensity in the separated shear layer and near the wake region, and the reduction of turbulence eventually reduces the fluctuating wind pressure on the side and leeward surfaces [12].
In addition to the local wind pressure, there are also some studies that investigated the influence of appurtenances on the overall wind loads and wind-induced responses of high-rise buildings. Shen et al. employed two different numbers of rough strips and five thicknesses to investigate the influence of model surface roughness on the wind loads of large hyperbolic cooling towers and concluded that the base shears of the cooling towers increase with more surface roughness elements [13]. Huang et al. examined several sandpapers and rough strips with various spacing and thickness sets and concluded that increased roughness can reduce the degree of vortex shedding as well as the vibration amplitude of super-tall buildings [14]. Wang et al. conducted two aeroelastic model tests on tall buildings with and without rough strips and found that the existence of rough strips reduces 30% of resonant amplitude in the cross-wind direction of a building [15]. Hui et al. investigated horizontal splitter plates’ effects on wind loads of high-rise buildings through wind tunnel tests and found that discontinuous appurtenances reduce the cross-wind base moments, with the largest decrement being of about 5% [16]. Yang et al. found that continuous and stagger arrangements of vertical ribs significantly reduce fluctuating cross-wind layer force, with the reduction amplitude achieving up to 57.3% [17]. In the studies by Hui et al. and Yang et al., the maximum width of the ribs of 3.75 m in the prototype was used, accounting for about 12.5% of the building width. However, ribs with such great width on a high-rise building might not be practical. Nevertheless, for high-rise buildings with attached vertical ribs, a comprehensive study remains lacking to determine wind loads and wind-induced responses accurately, considering the uncertain structural dynamic properties.
Regarding high-rise buildings with attached vertical ribs, this paper aims to clarify the effects of rib configurations, including rib width and rib distribution pattern, on the wind loads and wind-induced responses of a building. A series of wind tunnel tests in association with HFFB were conducted with four models and two exposure types. The static and fluctuating wind forces are compared among all the models, and the key parameters of the vertical ribs that can exert beneficial effects in reducing the wind-induced responses, especially the cross-wind responses, are determined. The spectra of the base overturning moments are demonstrated to explain the related reduction mechanism. Parametric analysis of wind-induced accelerations and displacements atop the building and base overturning moments with respect to the natural frequency and approaching wind velocity is also conducted. Finally, the results of two exposure conditions, i.e., the suburban and open terrains, are compared to investigate the influence of terrain conditions on the reduction effect of the rib configurations.

2. Experiment Setups

2.1. Building Configurations and Testing Model Configurations

The building in full scale has a height of 368 m and a floor plan of 48 m length and width. The geometric scale was set as 1:400, and the scaled-down models for the wind tunnel tests were fabricated. According to the study of Deng, the upper region of the building is more likely than the lower region to influence the cross-wind responses of high-rise buildings [18]. Therefore, the vertical ribs were only installed on the upper-half region of the building in this study, as shown in Figure 1. The effectiveness of vertical ribs in the mitigation of wind-induced responses relies on many factors, among which the rib size and rib spacing are the key factors [16,17]. In the present study, the relative width b/B, defined as the attached rib width b to the model width B, is taken as 2% and 4%, which is generally used in architectural design.
In order to examine the wind-induced responses in relation to different rib distributions, three rib configurations, i.e., full-distributed ribs in the upper-half region, half-distributed ribs in the upper-half region, and no ribs, are considered and shown in Table 1. The scaled-down model with full-distributed ribs is shown in Figure 2a, in which 12 vertical ribs are evenly installed on each face of the model, representing an interval of 4 m in the full scale. In the half-distributed ribs model, the ribs are partially installed in the building corner regions, as shown in Figure 2b. The smooth-surface model shown in Figure 2c has no vertical ribs, working as a reference model.
The High-Frequency Force Balance (HFFB) technique using multi-component balances to attain the overall aerodynamic forces was utilized in this study. The mean and fluctuating base forces can be directly measured from the HFFB tests. Then, after considering the building dynamic properties [19,20], the corresponding dynamic responses such as displacement, acceleration, and base bending moments can be determined. The testing models were mounted on a six-component force balance made by ME-β system company, Germany, with a measurement accuracy of 0.3% F.S. All models were made of light-weight wood, and the first sway frequencies of the model-balance system are all greater than 38.5 Hz, which is well above the range of interest.

2.2. Wind Tunnel and Wind Field Simulation

Wind tunnel tests were conducted in the ZD-1 boundary layer wind tunnel at Zhejiang University, China. The wind tunnel has a testing section 4.0 m wide and 3.0 m high, and the testing wind velocity ranges from 0.0 to 50.0 m/s. The mean wind velocity U and turbulence intensity Iu profiles of the open exposure are simulated through spire arrays combined with floor roughness in the wind tunnel and can be expressed as below according to GB 50009-2012 [21]:
U = U H ( z / H ) α
I u = I 10 ( z / 10 ) α
where UH is the mean wind velocity at the height of the building, z is the elevation above the ground, H is the height of the building, I10 is the turbulence intensity at the height of 10 m, and α is the power law index. The power law index α of open exposure is 0.15 according to GB 50009-2012. Figure 3 shows the simulated mean wind velocity, turbulence intensity, and fluctuating wind power spectrum at the 2/3 height of the building, in which f is the frequency, Su is the wind velocity spectrum, σ is the standard deviation for the velocities, and Uz is the mean value of the velocities at the 2/3 height of the building. It can be found that the simulated mean wind velocities and turbulence intensities in the wind tunnel coincide well with target values. Furthermore, the measured spectrum in the wind tunnel is quite close to the von Kaman spectrum.
Taking advantage of the symmetry of the model, all the models were tested under 12 azimuths within a range of 0~90°, as illustrated in Figure 4. The testing velocity atop the building was 12.25 m/s. The measurement duration was 90 s for each azimuth at a sampling rate of 500 Hz, which corresponds to more than 2 h on the full scale.

3. Results and Discussions

3.1. Mean Base Overturning Moment Coefficient

Since the square-based building is symmetrical in the x and y directions, the overturning moments in the x and y directions will present similar results with respect to their corresponding wind azimuths. Thus, only the overturning moments around the y axis, namely CMy, are presented in this paper and can be defined by
C M y = M y 0.5 ρ U H 2 B H 2
where My are the mean base overturning moments around the y axis, ρ is the air density, UH is the reference wind velocity atop of the building, and B and H are the building width and building height, respectively.
Figure 5 shows CMy under four rib arrangements, varied with wind azimuth. It is found that the mean moment coefficients are nearly unaffected by the vertical ribs arrangements in the azimuth range of 20°–90°. However, in the azimuths between 0°–20°, the model with vertical ribs of 4% relative width (F4) shows a beneficial effect in reducing the mean force coefficients, while the model with vertical ribs of 2% relative width (F2) remains almost the same compared with the reference model without ribs (S0). In the azimuth 0°, CMy of the model F4 decreases by 14.3% compared with that of the model S0. Similar results can also be found in the works of Ke [22], in which synchronized pressure measurements on high-rise buildings with and without ribs were conducted. He found that the reduction of the base moment due to the existence of ribs is mainly caused by the fact that the wind pressure coefficients on the leeward side of the building decrease. The maximum of CMy for the model F4 appears at azimuth 20°, instead of azimuth 0°, indicating that the most unfavorable wind angle is altered due to the arranged ribs. The CMy of the models H4 and F4, which have half-distributed and full-distributed rib patterns, are quite similar with respect to wind azimuth, indicating that the ribs in the corner region play a dominant role in reducing the maximum mean wind force. This may be due to the fact that the ribs in the corner region change the flow patterns of the wake and suppress the wake-induced suction on the leeward side.

3.2. Standard Deviation of Base Overturning Moment Coefficient

The standard deviation of the overturning moment coefficient around the y axis, namely C M y , can be defined by
C M y = M y 0.5 ρ U H 2 B H 2
where M y is the standard deviation of base overturning moments around the y axis.
Figure 6 shows C M y under four rib arrangements, varied with wind azimuth. The pronounced standard deviation at the azimuth 90° was mostly caused by the cross-wind fluctuations originating from wake excitation. The along-wind fluctuating aerodynamic forces at the azimuth 0°, typically led by the approaching turbulence, are much lower compared with those at the azimuth 90°. The fluctuating wind moment coefficients are slightly changed by the vertical ribs for azimuths between 0°–70°. In the azimuths of 80°~90°, the model F4 demonstrates a beneficial effect in reducing the fluctuating force coefficients, while the model F2 shows no enhancements compared with the model S0. At the azimuth 90°, the model F4 can lead to 18.2% reduction of standard deviation compared with the model S0, indicating that the ribs in the façade detach the separated shear layer and form a virtual barrier between the shear layer and the side façade. Therefore, the interaction between the shear layer and the side façade in the model F4 is less intense compared with the model S0. Similar results can also be found in the works of Hu et al. [23]. The fluctuating wind forces of the models F4 and H4 decrease compared with those of the model S0, indicating that rib distribution patterns have the interference mechanisms to influence the fluctuating force coefficients on buildings.

3.3. Spectra of Base Overturning Moment

The structural dynamic responses are not only determined by the overall magnitude of fluctuating wind forces but also by their spectral characteristics. The reduced power spectra of the base moment S M y * ( f ) are expressed as follows:
S M y * ( f ) = f S M y ( f ) ( 0.5 ρ U H 2 B H 2 ) 2
where f is the frequency, and SMy is the base overturning moment spectrum in the y direction.
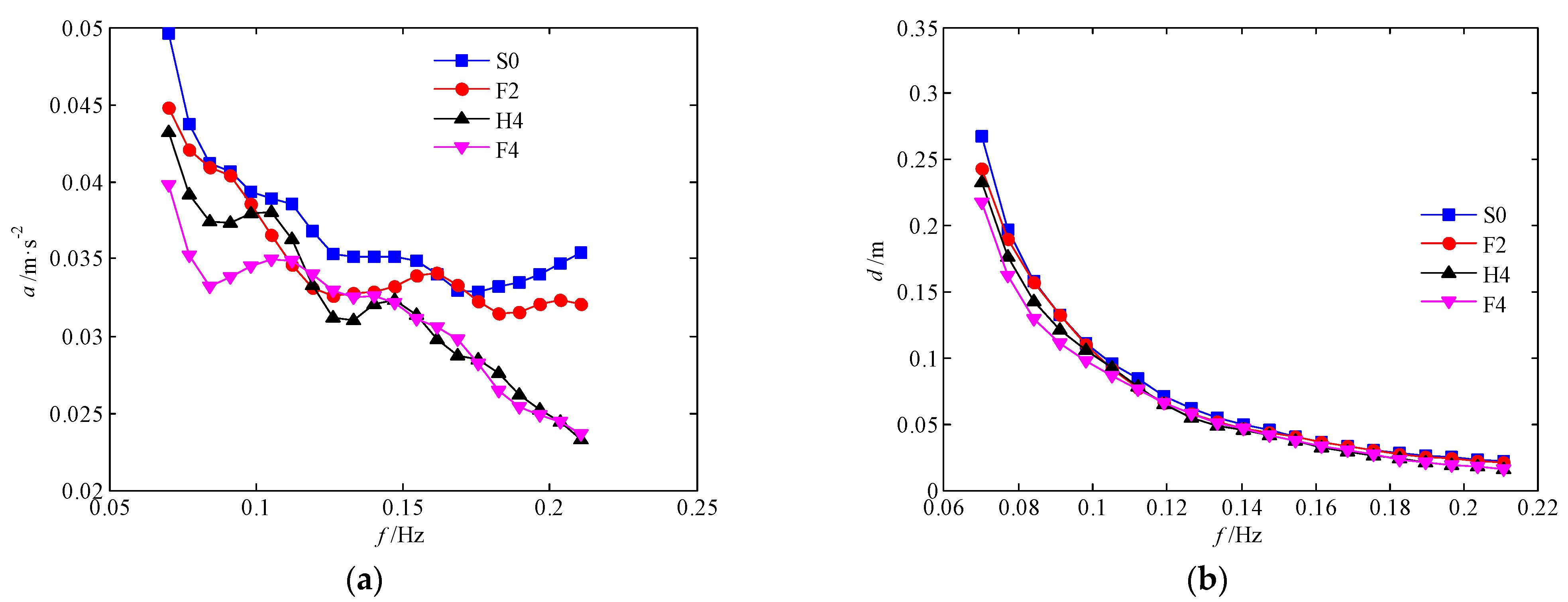
Figure 7 shows the base overturning moment spectra with various rib configurations, varied with the reduced frequency parameter fB/U. For the cross-wind spectra, the peak of the force spectra descends when the relative width reaches 4%, indicating that the intensity of vortex shedding is effectively attenuated by the attached ribs. It is worth noting that the frequencies at which the spectrum peak occurs in the cross-wind spectra are almost identical, indicating that the Strouhal Number will not be altered with the attached ribs, which is similar to the study conducted by Yang et al. (2020) [17]. The reduced power spectra between the models F4 and H4 are not obviously distinguished in the cross-wind direction, indicating that the ribs in the corner play a dominant role in suppressing the intensity of vortex shedding. Regarding the along-wind spectra, the amplitudes are much lower than those in the cross-wind spectra, and the discrepancies among four rib configurations are insignificant.

3.4. Wind-Induced Accelerations and Displacements

To evaluate the aerodynamic optimization effect of vertical ribs on high-rise buildings, wind-induced accelerations of buildings were analyzed as one of the key indicators. The equation of motion in the modal coordinate is expressed as below:
q j ( t ) + 2 ξ j ω j q ˙ j ( t ) + ω j 2 q j ( t ) = P j ( t ) M j
where q j , q ˙ j , and q j are the generalized acceleration, velocity, and displacement of j-th mode, respectively; ξ j is the structural damping ratio of j-th mode and normally taken as 0.02; ω j is the circular natural frequency of j-th mode; and P j is the generalized aerodynamic forces of j-th mode. M j is the generalized mass of j-th mode, which can be calculated as below:
M j = 0 H m ( z ) Φ j 2 ( z ) d z
where m is the distribution of structural mass along the building height, and Φ j is the mode shape of j-th mode.
The variances in displacements and accelerations under wind excitation are given by
σ q j 2 = 0 S q j ( f ) d f = 1 ( 2 π f j ) 4 M j 2 0 | H j ( f ) | 2 S P j ( f ) d f
σ q j " 2 = 0 ( 2 π f ) 4 S q j ( f ) d f = 1 ( 2 π f j ) 4 M j 2 0 ( 2 π f ) 4 | H j ( f ) | 2 S P j ( f ) d f
where S p j is the spectrum of the j-th modal force spectrum and f j is the natural frequency of the j-th mode. The generalized force spectrum can be directly obtained from the moment spectrum on the assumption of linear model shape.
The standard deviation of the acceleration a and displacement d atop the building can then be determined after the structural dynamic properties of the building are given. The 1st natural frequency f1 is assumed to be 0.14 Hz, and the reference wind velocity atop the building UH is initially assumed to be 52.81 m/s according to common engineering design criteria and a predefined building site. Due to the uncertainty of the structural dynamic property and building site, a parametric analysis regarding different natural frequencies and approaching wind velocities will be carried out.

3.4.1. Along-Wind Responses

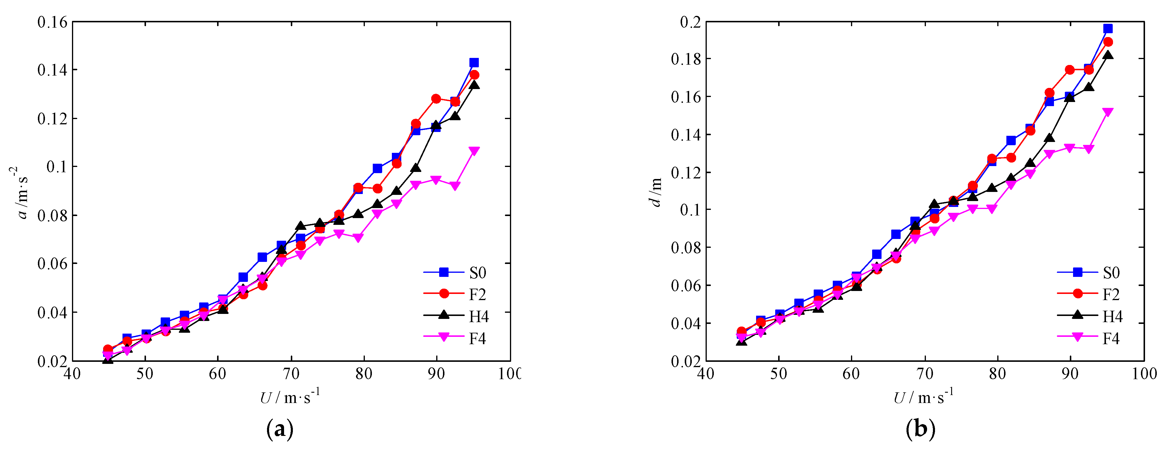
Keeping UH = 52.81 m/s unchanged and varying the natural frequency, Figure 8 shows the standard deviations of accelerations and displacements in the y direction at the azimuth 90°, which corresponds to the along-wind response of the building. It can be found that the accelerations show a decreasing trend as the frequency increases and the curves are not smooth. Nevertheless, the displacements decrease monotonically with the increase in the frequency. Among the four rib configurations, the model S0 has the biggest responses and the model F4 has the smallest response to varying the natural frequency.
Keeping f1 = 0.14 Hz unchanged and varying the reference wind velocities atop the high-rise building, the standard deviations of accelerations and displacements are shown in Figure 9. It can be found that both the accelerations and displacements increase with the increase in the wind velocities. It is quite certain that a higher wind velocity will result in a greater response. Among the four rib configurations, the models S0 and F2 have the biggest responses, and the model F4 has the smallest response.

3.4.2. Cross-Wind Responses

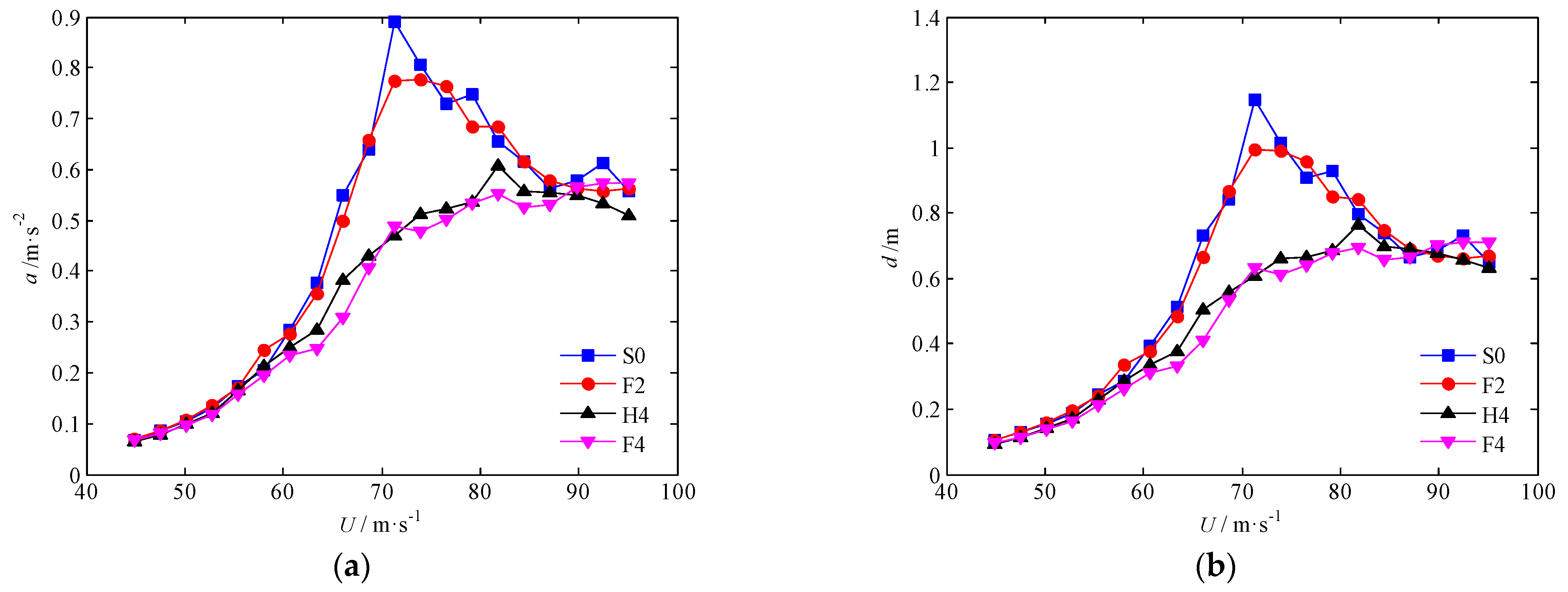
Keeping UH = 52.81 m/s unchanged and varying the natural frequency, Figure 10 shows the standard deviations of accelerations and displacements in the y direction at the azimuth 0°, which corresponds to the cross-wind response of the building. A resonance phenomenon can be observed when the building frequency is 0.105 Hz, in which the frequency of vortex-induced shedding frequency coincides with the building frequency. The vortex-induced frequency can be inferred from the cross-wind spectra, as shown in Figure 7a, in which the frequency corresponding to the maximum value of the spectra is nearly 0.105 Hz. When the building frequency is less than 0.105 Hz, the acceleration will decrease with the decrease in the building frequency, whereas the displacement will present a first decreasing and then increasing trend. This can be explained by the fact that the contribution of background response of displacement is much greater than that of acceleration. When the building frequency is greater than 0.14 Hz, the acceleration and displacement responses monotonically decrease with the increase in the frequency. Furthermore, the model S0 has the biggest responses and the model F4 has the smallest response among the four rib configurations, which can be confirmed by the cross-wind spectra, as shown in Figure 7a.
Keeping f1 = 0.14 Hz unchanged and varying the reference wind velocities atop the high-rise building, the standard deviations of accelerations and displacements are illustrated in Figure 11. A resonance phenomenon can be also observed when the reference wind velocity is 71.3 m/s. In the resonant velocity, the peaks of the responses for the models S0 and F2 are quite significant, whereas the peaks of models F4 and H4 are insignificant, which can be confirmed by the cross-wind spectra, as shown in Figure 7a, indicating that the vertical ribs with a relative width of 4% can attenuate the cross-wind vibration by disrupting the regular vortex shedding.
As can be seen from Figure 10 and Figure 11, the maximum response in the cross-wind direction is dominated by vortex-induced shedding frequency. Thus, the reduced velocity parameter U/fB, which is the reciprocal of the Strouhal Number, is employed for the analysis. For the constant reference wind velocity U = 52.81 m/s case, the peak response takes place at the frequency f = 0.105 Hz, and therefore, the reduced velocity U/fB equals 10.5. For a constant frequency f = 0.14 Hz case, the peak response takes place at the reference wind velocity U = 71.3 m/s, and therefore, the reduced velocity U/fB equals 10.6. As expected, these two reduced velocities are almost equal as a result of the intrinsic characteristic of vortex shedding.
As the acceleration, rather than the displacement, is much more of a concern for the designer, the acceleration of the building will be mostly focused. The non-dimension acceleration can be introduced as shown below [24]:
a * = ( M j ζ q r B H ) σ a
where qr is the reference wind pressure at the building height, and σ a is the standard deviation of acceleration atop the building.
Figure 12 shows the non-dimension accelerations atop the building in the cross-wind direction. It can be found that ay* of the models F4 and H4 are the smallest among the four models, indicating that cross-wind accelerations can be significantly reduced by the ribs with relative width of 4%. Moreover, the models H4 and F4 have a similar reduction effect. That is to say, the half and full distribution patterns of the ribs have a similar reduction performance, indicating that the ribs in the corner play an important role in attenuating the wind-induced accelerations.

3.5. Wind-Induced Base Overturning Moment Responses

The base overturning moments consist of three components, including the mean loads, the background loads, and the inertia loads induced by building motions. The correlation between the background loads and the inertia loads is weak [24], and therefore, square root of the sum of the squares (SRSS) can be used for combination. The inertia part of the overturning moments can be obtained as follows:
M I = 0 H m ( z ) σ a Φ ( z ) z d z
Substituting Equation (10) into Equation (11) yields
M I = 0 H m ( z ) q r B H m j ζ σ a * Φ ( z ) z d z
Then,
M I = q r B H 2 ζ ( 0 H m ( z ) Φ ( z ) z H d z m j ) σ a * = q r B H 2 ζ σ a *
The normalized overturning moment M * has the form of
M * = M 0.5 ρ U H 2 B H 2 = C M + g σ C M 2 + σ a * 2 ζ
where C M are the mean base moments coefficients, σ C M are the standard deviation of base moments, and g is the peak factor and normally taken as 2.5.
Figure 13 shows the normalized overturning moments of the buildings in the cross-wind direction. It can be found that the normalized overturning moments of the models F4 and H4 are much smaller than those of the models S0 and F2 when the reduced wind velocity is higher than 8.5, indicating that the models with 4% relative width ribs can significantly reduce the amplitude of the moments. When the reduced wind velocity reaches 10.5, their differences are the most significant. Furthermore, both the models H4 and F4 show significant reductions in base overturning moments compared with model S0 in the cross-wind direction, indicating that the ribs in the corner play an important role in mitigating the wind-induced moments, which is consistent with the results of the accelerations.

4. Effects in Two Exposures

The cross-wind responses of high-rise buildings are very sensitive to the intensity of turbulence and therefore associated with the terrain exposure type. Two exposures, i.e., open and suburban exposures, were tested in the wind tunnel. According to the results in the open exposure, the models F4 and H4 are effective in mitigating the wind-induced responses. Thus, the testing cases with 4% relative width in the suburban exposure were examined. For the suburban exposure, the power law index α is 0.22.
The mean overturning moment coefficients with various rib configurations in the open and suburban exposures are demonstrated in Figure 14. It can be found that the absolute mean moment coefficients of the model S0 in the suburban exposure are smaller than those in the open exposure, indicating that the mean force will be weakened by the stronger turbulence. Similar results can also be found for the models H4 and F4, in which the weakening degree is not as large as the model S0 due to the existence of the surface-attached ribs. At the azimuth 0°, the mean overturning moment coefficient of the model S0 in the open exposure decreases by 15.2% compared with that in the suburban exposure, and almost the same decreasing amplitude can be found for the models H4 and F4.
The standard deviations of overturning moment coefficients with various rib configurations in the open and suburban exposures are demonstrated in Figure 15. As expected, in the azimuths of 0° to 70°, the fluctuating moment coefficients in the suburban exposure are larger than those in the open exposure, indicating that a rougher exposure will result in stronger turbulence and therefore a larger fluctuating value. However, at azimuth 90°, which corresponds to cross-wind direction, the fluctuating moment coefficient of the model S0 in the suburban exposure is larger than that in the suburban exposure. This is mainly due to the fact that the fluctuating values are not only related to the oncoming flow turbulence but also associated with the signature turbulence induced by the vortex shedding. In a rougher exposure, the signature turbulence induced by the vortex shedding may be suppressed by the vortex-induced shedding and result in a lower fluctuating moment coefficient, which can explain the fluctuating results of the model S0 at azimuth 90°.
Figure 16 shows the base overturning moment spectra in the two exposures, varied with the reduced frequency parameter fB/U. For the along-wind spectra at azimuth 0°, the spectrum amplitudes of models in the suburban exposure are generally larger than those in the open exposure, which confirms the larger fluctuating values in the rougher exposure shown in Figure 16. For the cross-wind spectra at azimuth 90°, the peak of the moment spectrum of model S0 in the suburban exposure is smaller compared with that in the open exposure, indicating again that more turbulence will lead to the suppressing effect induced by the vortex shedding.
Figure 17 illustrates the normalized cross-wind accelerations atop the building in the open and suburban exposures at azimuth 0°. The amplitudes of the wind-induced accelerations in the suburban exposure are all smaller than those in the open exposure in the reduced velocity range of 9.0–11.5. This reveals that a rougher exposure has a beneficial effect of disrupting the regular shedding of vortices and causing the cross-wind acceleration to be appreciably smaller than that of a smooth exposure. Similar results can also be found in the works of Yang et al. [24].
Results in the two exposures indicate that the models H4 and F4 are significantly efficient in reducing the wind-induced accelerations compared with the model S0. In order to have a clear view of the reduction amplitude, the ratio factor “RFa” for the acceleration is thereby defined to quantify the degree of mitigation.
R F a = a * / a r e f *
where a r e f * is the normalized acceleration of the model S0.
The RFa of the models H4 and F4 in the two exposures in the azimuth 0° are shown in Figure 18. For the two distribution patterns, the RFas are almost identical in the two exposures in the reduced velocity range of 9.0–12.5, although the accelerations in the two exposures differ apparently. The RFa of the models H4 and F4 reaches around 0.5 in the reduced velocities around 10.5, where the accelerations arrive at their maximum values.

5. Conclusions

This study experimentally investigated the effects of vertical ribs on the wind-induced responses of high-rise buildings in a boundary layer wind tunnel. The building models with four ribs configurations were tested in open and suburban exposures. The base overturning moments and corresponding responses are demonstrated and compared between models and exposures. The main conclusions of this study are as follows.
(1) In the along-wind direction, the model with vertical ribs of 4% relative width shows a beneficial effect in reducing the mean force coefficients compared with the models with vertical ribs of 2% relative width and without ribs. In the cross-wind direction, the model with vertical ribs of 4% relative width demonstrates its ability to reduce the fluctuating base overturning moments and peak of base moment spectra compared with the model without ribs, while the model with vertical ribs of 2% relative width shows no enhancements. This is mainly due to the fact that the vertical ribs with 4% relative width have a considerable benefit in disrupting the regular shedding of vortices.
(2) The base moment spectra and wind-induced responses, including the accelerations and base moments between the full-distributed models and half-distributed models, are not obviously distinguished in the cross-wind direction, indicating that the ribs in the corner play a vital role in suppressing the intensity of vortex shedding.
(3) In the cross-wind direction with a rougher exposure, the signature turbulence induced by the vortex shedding may be suppressed by the vortex-induced shedding and result in a lower fluctuating moment coefficient. Additionally, the acceleration and base moment in the two exposures also differ apparently. However, the ratio factors of the acceleration and base moment are almost identical in the two exposures in the reduced velocity range of 9.0–12.5.

Author Contributions

Conceptualization, Y.K. and G.S.; methodology, Y.K. and G.S.; investigation, Y.K., G.S., X.Y. and J.X.; writing—original draft preparation, Y.K., G.S. and X.Y.; writing—review and editing, Y.K., G.S. and J.X. All authors have read and agreed to the published version of the manuscript.

Funding

The authors greatly appreciate the support of the National Natural Science Foundation of China (Grant No. 51578505 and 52178511) and Zhejiang Provincial Natural Science Foundation of China (Grant No. LGG21E080009). The opinions and statements do not necessarily represent those of the sponsors.

Institutional Review Board Statement

Not applicable.

Informed Consent Statement

Not applicable.

Data Availability Statement

Not applicable.

Conflicts of Interest

The authors declare that they have no known competing financial interests or personal relationships that could influence the work reported herein.

References

  1. Zhang, Z. Discussion on design wind load of facade decorative fittings for high-rise buildings. Build. Struct. 2019, 49, 46–52. [Google Scholar]
  2. Xie, J.; Yang, X. Exploratory study on wind-adaptable design for super-tall buildings. Wind Struct. 2019, 29, 489–497. [Google Scholar]
  3. Xie, J. Aerodynamic optimization of super-tall buildings and its effectiveness assessment. J. Wind Eng. Ind. Aerod. 2014, 130, 88–98. [Google Scholar] [CrossRef]
  4. Stathopoulos, T.; Zhu, X. Wind pressures on building with appurtenances. J. Wind Eng. Ind. Aerod. 1988, 31, 265–281. [Google Scholar] [CrossRef]
  5. Chand, I.; Bhargava, P.K.; Krishak, N.L.V. Effect of balconies on ventilation inducing aeromotive force on low-rise buildings. Build. Environ. 1998, 33, 385–396. [Google Scholar] [CrossRef]
  6. Maruta, E.; Kanda, M.; Sato, J. Effects on surface roughness for wind pressure on glass and cladding of buildings. J. Wind Eng. Ind. Aerod. 1998, 74, 651–663. [Google Scholar] [CrossRef]
  7. Shen, G.; Qian, T.; Yang, X.; Fang, H.; Lou, W. Study of wind loads on torsion shaped high-rise building with outer pierced ornament structure. J. Build. Struct. 2013, 34, 68–74. [Google Scholar]
  8. Montazeri, H.; Blocken, B. CFD simulation of wind-induced pressure coefficients on buildings with and without balconies: Validation and sensitivity analysis. Build. Environ. 2013, 60, 137–149. [Google Scholar] [CrossRef]
  9. Quan, Y.; Kuang, J.; Gu, M.; Wang, S. Effects of grid curtains on the wind loads of a high-rise building. Struct. Des. Tall Spec. Build. 2016, 25, 245–262. [Google Scholar] [CrossRef]
  10. Yuan, K.; Hui, Y.; Chen, Z. Effects of facade appurtenances on the local pressure of high-rise building. J. Wind Eng. Ind. Aerod. 2018, 178, 26–37. [Google Scholar] [CrossRef]
  11. Hu, G.; Song, J.; Hassanli, S.; Ong, R.; Kwok, K.C.S. The effects of a double-skin façade on the cladding pressure around a tall building. J. Wind Eng. Ind. Aerod. 2019, 191, 239–251. [Google Scholar] [CrossRef]
  12. Liu, J.; Hui, Y.; Yang, Q.; Tamura, Y. Flow field investigation for aerodynamic effects of surface mounted ribs on square-sectioned high-rise buildings. J. Wind Eng. Ind. Aerod. 2021, 211, 104551. [Google Scholar] [CrossRef]
  13. Shen, G.; Yu, G.; Sun, B.; Lou, W.; Li, Q.; Yang, S. The influence of model surface roughness on wind loads of cooling towers. Eng. Mech. 2011, 28, 86–93. [Google Scholar]
  14. Huang, D.; He, S.; Zhu, X.; He, X. Influence of surface roughness on wind load and wind-induced response of super-tall building. J. Hunan Univ. (Nat. Sci.) 2017, 44, 41–51. [Google Scholar]
  15. Wang, L.; Liang, S.; Wang, Z.; Zhang, Z. Effect of aerodynamic optimization to across-wind response of super tall buildings. J. Zhejiang Univ. (Eng. Sci.) 2016, 50, 1239–1246, 1265. [Google Scholar]
  16. Hui, Y.; Yuan, K.; Chen, Z.; Yang, Q. Characteristics of aerodynamic forces on high-rise buildings with various façade appurtenances. J. Wind Eng. Ind. Aerod. 2019, 191, 76–90. [Google Scholar] [CrossRef]
  17. Yang, Q.; Liu, Z.; Hui, Y.; Li, Z. Modification of aerodynamic force characteristics on high-rise buildings with arrangement of vertical plates. J. Wind Eng. Ind. Aerod. 2020, 200, 104155. [Google Scholar] [CrossRef]
  18. Deng, T. Research on the Wind Effect of Typical Super-Tall Buildings beyond 500 m. Ph.D. Thesis, South China University of Technology, Guangzhou, China, 2016. [Google Scholar]
  19. Tschanz, T.; Davenport, A.G. The base balance technique for the determination of dynamic wind loads. J. Wind Eng. Ind. Aerod. 1983, 13, 429–439. [Google Scholar] [CrossRef]
  20. Xie, J.; Irwin, P.A. Application of the force balance technique to a building complex. J. Wind Eng. Ind. Aerod. 1998, 77, 579–590. [Google Scholar] [CrossRef]
  21. GB 50009-2012; Load Code for the Design of Building Structures. China Architecture and Building Press: Beijing, China, 2012.
  22. Ke, Y. Influences of Vertical Ribs and Corner Modifications on Wind Effects of High-Rise Buildings. Master’s Thesis, Zhejiang University, Hangzhou, China, 2022. [Google Scholar]
  23. Hu, G.; Hassanli, S.; Kwok, K.C.S.; Tse, K.T. Wind-induced responses of a tall building with a double-skin façade system. J. Wind Eng. Ind. Aerod. 2017, 168, 91–100. [Google Scholar] [CrossRef]
  24. Yang, X.; Qin, W.; Ke, Y.; Xie, J. Effects of porous double skin façade system on structural wind responses of tall buildings. J. Harbin Univ. Technol. 2021, 53, 70–78. [Google Scholar]
Figure 1. (a) Model set up. (b) Front diagram.
Figure 1. (a) Model set up. (b) Front diagram.
Sustainability 14 11394 g001
Figure 2. (a) Full-distributed ribs. (b) Half-distributed ribs. (c) Smooth surface.
Figure 2. (a) Full-distributed ribs. (b) Half-distributed ribs. (c) Smooth surface.
Sustainability 14 11394 g002
Figure 3. (a) Wind velocity and turbulence intensity. (b) Along-wind turbulence spectrum at 60 cm.
Figure 3. (a) Wind velocity and turbulence intensity. (b) Along-wind turbulence spectrum at 60 cm.
Sustainability 14 11394 g003
Figure 4. Wind direction and force coordinate.
Figure 4. Wind direction and force coordinate.
Sustainability 14 11394 g004
Figure 5. Mean overturning moment coefficient around the y axis.
Figure 5. Mean overturning moment coefficient around the y axis.
Sustainability 14 11394 g005
Figure 6. Standard deviation of overturning moment coefficient.
Figure 6. Standard deviation of overturning moment coefficient.
Sustainability 14 11394 g006
Figure 7. (a) Cross-wind spectra (90°). (b) Along-wind spectra (0°).
Figure 7. (a) Cross-wind spectra (90°). (b) Along-wind spectra (0°).
Sustainability 14 11394 g007
Figure 8. Along-wind response (0°). (a) Acceleration under different natural frequencies. (b) Displacement under different natural frequencies.
Figure 8. Along-wind response (0°). (a) Acceleration under different natural frequencies. (b) Displacement under different natural frequencies.
Sustainability 14 11394 g008
Figure 9. Along-wind response (0°). (a) Acceleration under different velocities. (b) Displacement under different velocities.
Figure 9. Along-wind response (0°). (a) Acceleration under different velocities. (b) Displacement under different velocities.
Sustainability 14 11394 g009
Figure 10. Cross-wind response (90°). (a) Acceleration under different natural frequencies. (b) Displacement under different natural frequencies.
Figure 10. Cross-wind response (90°). (a) Acceleration under different natural frequencies. (b) Displacement under different natural frequencies.
Sustainability 14 11394 g010
Figure 11. Cross-wind response (90°). (a) Acceleration under different velocity. (b) Displacement under different velocity.
Figure 11. Cross-wind response (90°). (a) Acceleration under different velocity. (b) Displacement under different velocity.
Sustainability 14 11394 g011
Figure 12. Non-dimensional accelerations in four ribs configurations in cross-wind direction.
Figure 12. Non-dimensional accelerations in four ribs configurations in cross-wind direction.
Sustainability 14 11394 g012
Figure 13. Base moments in different rib configurations in cross-wind direction.
Figure 13. Base moments in different rib configurations in cross-wind direction.
Sustainability 14 11394 g013
Figure 14. Mean moment coefficients in different exposures.
Figure 14. Mean moment coefficients in different exposures.
Sustainability 14 11394 g014
Figure 15. Fluctuating base moment coefficients in different exposures.
Figure 15. Fluctuating base moment coefficients in different exposures.
Sustainability 14 11394 g015
Figure 16. (a) Along-wind direction at 0°. (b) Cross-wind direction at 90°.
Figure 16. (a) Along-wind direction at 0°. (b) Cross-wind direction at 90°.
Sustainability 14 11394 g016
Figure 17. Comparisons of normalized accelerations in open and suburban exposure.
Figure 17. Comparisons of normalized accelerations in open and suburban exposure.
Sustainability 14 11394 g017
Figure 18. (a) Ratio factors of half-distributed (H4). (b) Ratio factors of full-distributed (F4).
Figure 18. (a) Ratio factors of half-distributed (H4). (b) Ratio factors of full-distributed (F4).
Sustainability 14 11394 g018
Table 1. Scaled models configurations.
Table 1. Scaled models configurations.
Relative WidthDistributed PatternsAbbreviation
0SmoothS0
2%Full-distributedF2
4%Full-distributedF4
4%Half-distributedH4
Publisher’s Note: MDPI stays neutral with regard to jurisdictional claims in published maps and institutional affiliations.

Share and Cite

MDPI and ACS Style

Ke, Y.; Shen, G.; Yang, X.; Xie, J. Effects of Surface-Attached Vertical Ribs on Wind Loads and Wind-Induced Responses of High-Rise Buildings. Sustainability 2022, 14, 11394. https://doi.org/10.3390/su141811394

AMA Style

Ke Y, Shen G, Yang X, Xie J. Effects of Surface-Attached Vertical Ribs on Wind Loads and Wind-Induced Responses of High-Rise Buildings. Sustainability. 2022; 14(18):11394. https://doi.org/10.3390/su141811394

Chicago/Turabian Style

Ke, Yanyu, Guohui Shen, Xiaoyue Yang, and Jiming Xie. 2022. "Effects of Surface-Attached Vertical Ribs on Wind Loads and Wind-Induced Responses of High-Rise Buildings" Sustainability 14, no. 18: 11394. https://doi.org/10.3390/su141811394

APA Style

Ke, Y., Shen, G., Yang, X., & Xie, J. (2022). Effects of Surface-Attached Vertical Ribs on Wind Loads and Wind-Induced Responses of High-Rise Buildings. Sustainability, 14(18), 11394. https://doi.org/10.3390/su141811394

Note that from the first issue of 2016, this journal uses article numbers instead of page numbers. See further details here.

Article Metrics

Back to TopTop