Drivers and Implications of Land Cover Dynamics in Muger Sub-Basin, Abay Basin, Ethiopia
Abstract
:1. Introduction
2. Materials and Methods
2.1. Study Area
2.2. Data Sources and Analysis Methods
2.2.1. Spatial Data
2.2.2. Socio-Economic Data
2.3. Land Cover Change Assessment
2.3.1. Image Classification
2.3.2. Accuracy Assessment
2.3.3. Land Cover Change Analysis
3. Results
3.1. Accuracy of Image Classification
3.2. Spatio-Temporal Distributions of Land Cover Change
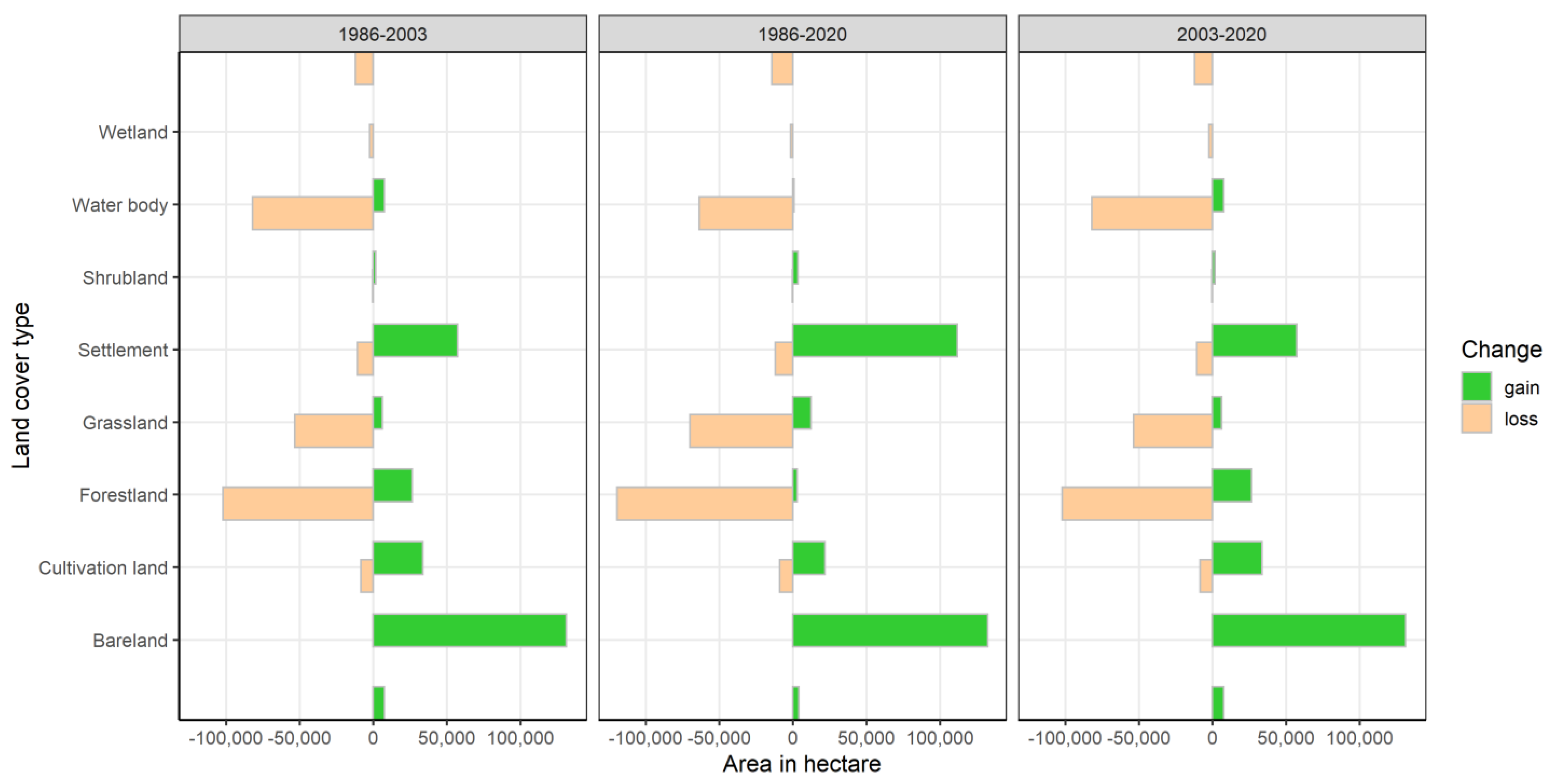
Land Cover Change Dynamics
3.3. Land Cover Transition Matrix
3.4. The Effect of Slope on LCC
3.5. Major Drivers of LCC
4. Discussion
4.1. Land Cover Change Dynamics
4.2. Drivers of Land Cover Change
5. Conclusions
Author Contributions
Funding
Institutional Review Board Statement
Informed Consent Statement
Data Availability Statement
Acknowledgments
Conflicts of Interest
References
- Watson, R.T.; Noble, I.R.; Bolin, B.; Ravindranath, N.; Verardo, D.J.; Dokken, D.J. Land Use, Land-Use Change and Forestry: A Special Report of the Intergovernmental Panel on Climate Change; Cambridge University Press: Cambridge, UK, 2000. [Google Scholar]
- Mariye, M.; Mariyo, M.; Changming, Y.; Teffera, Z.L.; Weldegebrial, B. Effects of land use and land cover change on soil erosion potential in Berhe district: A case study of Legedadi watershed, Ethiopia. Int. J. River Basin Manag. 2020, 20, 79–91. [Google Scholar] [CrossRef]
- Foley, J.A.; DeFries, R.; Asner, G.P.; Barford, C.; Bonan, G.; Carpenter, S.R.; Chapin, F.S.; Coe, M.T.; Daily, G.C.; Gibbs, H.K. Global consequences of land use. Science 2005, 309, 570–574. [Google Scholar] [CrossRef]
- Oliver, T.H.; Morecroft, M.D. Interactions between climate change and land use change on biodiversity: Attribution problems, risks, and opportunities. Wiley Interdiscip. Rev. Clim. Chang. 2014, 5, 317–335. [Google Scholar] [CrossRef]
- Msofe, N.K.; Sheng, L.; Lyimo, J. Land use change trends and their driving forces in the Kilombero Valley Floodplain, Southeastern Tanzania. Sustainability 2019, 11, 505. [Google Scholar] [CrossRef]
- Lin, X.; Xu, M.; Cao, C.; P Singh, R.; Chen, W.; Ju, H. Land-use/land-cover changes and their influence on the ecosystem in Chengdu City, China during the period of 1992–2018. Sustainability 2018, 10, 3580. [Google Scholar] [CrossRef]
- Turner, B.; Meyfroidt, P.; Kuemmerle, T.; Müller, D.; Roy Chowdhury, R. Framing the search for a theory of land use. J. Land Use Sci. 2020, 15, 489–508. [Google Scholar] [CrossRef]
- Mmbaga, N.E.; Munishi, L.K.; Treydte, A.C. How dynamics and drivers of land use/land cover change impact elephant conservation and agricultural livelihood development in Rombo, Tanzania. J. Land Use Sci. 2017, 12, 168–181. [Google Scholar] [CrossRef]
- Pérez-Vega, A.; Mas, J.-F.; Ligmann-Zielinska, A. Comparing two approaches to land use/cover change modeling and their implications for the assessment of biodiversity loss in a deciduous tropical forest. Environ. Model. Softw. 2012, 29, 11–23. [Google Scholar] [CrossRef]
- Kolb, M.; Mas, J.-F.; Galicia, L. Evaluating drivers of land-use change and transition potential models in a complex landscape in Southern Mexico. Int. J. Geogr. Inf. Sci. 2013, 27, 1804–1827. [Google Scholar] [CrossRef]
- FAO. Climate Change and Food Security: Risks and Responses; Food & Agriculture Organization: Rome, Italy, 2015. [Google Scholar]
- Alemayehu, F.; Tolera, M.; Tesfaye, G. Land use land cover change trend and its drivers in somodo watershed south western, Ethiopia. Afr. J. Agric. Res. 2019, 14, 102–117. [Google Scholar]
- Betru, T.; Tolera, M.; Sahle, K.; Kassa, H. Trends and drivers of land use/land cover change in Western Ethiopia. Appl. Geogr. 2019, 104, 83–93. [Google Scholar] [CrossRef]
- Degife, A.; Worku, H.; Gizaw, S.; Legesse, A. Land use land cover dynamics, its drivers and environmental implications in Lake Hawassa Watershed of Ethiopia. Remote Sens. Appl. Soc. Environ. 2019, 14, 178–190. [Google Scholar] [CrossRef]
- Miheretu, B.A.; Yimer, A.A. Land use/land cover changes and their environmental implications in the Gelana sub-watershed of Northern highlands of Ethiopia. Environ. Syst. Res. 2018, 6, 7. [Google Scholar] [CrossRef]
- Wubie, M.A.; Assen, M.; Nicolau, M.D. Patterns, causes and consequences of land use/cover dynamics in the Gumara watershed of lake Tana basin, Northwestern Ethiopia. Environ. Syst. Res. 2016, 5, 8. [Google Scholar] [CrossRef]
- Muke, M. Reported driving factors of land-use/cover changes and its mounting consequences in Ethiopia: A Review. Afr. J. Environ. Sci. Technol. 2019, 13, 273–280. [Google Scholar]
- Gessesse, B.; Bewket, W. Drivers and implications of land use and land cover change in the central highlands of Ethiopia: Evidence from remote sensing and socio-demographic data integration. Ethiop. J. Soc. Sci. Humanit. 2014, 10, 1–23. [Google Scholar]
- Ayele, G.T.; Tebeje, A.K.; Demissie, S.S.; Belete, M.A.; Jemberrie, M.A.; Teshome, W.M.; Mengistu, D.T.; Teshale, E.Z. Time series land cover mapping and change detection analysis using geographic information system and remote sensing, Northern Ethiopia. Air Soil Water Res. 2018, 11, 1178622117751603. [Google Scholar] [CrossRef]
- Getachew, H.E.; Melesse, A.M. The impact of land use change on the hydrology of the Angereb Watershed, Ethiopia. Int. J. Water Sci. 2012, 1, 1–7. [Google Scholar] [CrossRef]
- Ariti, A.T.; van Vliet, J.; Verburg, P.H. Land-use and land-cover changes in the Central Rift Valley of Ethiopia: Assessment of perception and adaptation of stakeholders. Appl. Geogr. 2015, 65, 28–37. [Google Scholar] [CrossRef]
- Garedew, E.; Sandewall, M.; Söderberg, U.; Campbell, B.M. Land-use and land-cover dynamics in the central rift valley of Ethiopia. Environ. Manag. 2009, 44, 683–694. [Google Scholar] [CrossRef]
- Mekonnen, Z.; Berie, H.T.; Woldeamanuel, T.; Asfaw, Z.; Kassa, H. Land use and land cover changes and the link to land degradation in Arsi Negele district, Central Rift Valley, Ethiopia. Remote Sens. Appl. Soc. Environ. 2018, 12, 1–9. [Google Scholar] [CrossRef]
- Mesfin, D.; Simane, B.; Belay, A.; Recha, J.W.; Taddese, H. Woodland cover change in the Central Rift Valley of Ethiopia. Forests 2020, 11, 916. [Google Scholar] [CrossRef]
- Ayele, G.T.; Seka, A.M.; Taddese, H.; Jemberrie, M.A.; Ndehedehe, C.E.; Demissie, S.S.; Awange, J.L.; Jeong, J.; Hamilton, D.P.; Melesse, A.M. Relationship of Attributes of Soil and Topography with Land Cover Change in the Rift Valley Basin of Ethiopia. Remote Sens. 2022, 14, 3257. [Google Scholar] [CrossRef]
- Gashaw, T.; Tulu, T.; Argaw, M.; Worqlul, A.W. Evaluation and prediction of land use/land cover changes in the Andassa watershed, Blue Nile Basin, Ethiopia. Environ. Syst. Res. 2017, 6, 17. [Google Scholar] [CrossRef]
- Minta, M.; Kibret, K.; Thorne, P.; Nigussie, T.; Nigatu, L. Land use and land cover dynamics in Dendi-Jeldu hilly-mountainous areas in the central Ethiopian highlands. Geoderma 2018, 314, 27–36. [Google Scholar] [CrossRef]
- Kindu, M.; Schneider, T.; Teketay, D.; Knoke, T. Drivers of land use/land cover changes in Munessa-Shashemene landscape of the south-central highlands of Ethiopia. Environ. Monit. Assess. 2015, 187, 452. [Google Scholar] [CrossRef]
- Lambin, E.F.; Geist, H.J.; Lepers, E. Dynamics of land-use and land-cover change in tropical regions. Annu. Rev. Environ. Resour. 2003, 28, 205–241. [Google Scholar] [CrossRef]
- Geist, H.; McConnell, W.; Lambin, E.F.; Moran, E.; Alves, D.; Rudel, T. Causes and trajectories of land-use/cover change. In Land-Use and Land-Cover Change; Springer: Berlin/Heidelberg, Germany, 2006; pp. 41–70. [Google Scholar]
- Muluneh, A.; Arnalds, O. Synthesis of Research on Land Use and Land Cover Dynamics in the Ethiopian Highlands. Unpublished Master’s Thesis, Hawassa University, Reykjavik, Iceland, 2011. [Google Scholar]
- Bewket, W.; Abebe, S. Land-use and land-cover change and its environmental implications in a tropical highland watershed, Ethiopia. Int. J. Environ. Stud. 2013, 70, 126–139. [Google Scholar] [CrossRef]
- Nyssen, J.; Simegn, G.; Taha, N. An upland farming system under transformation: Proximate causes of land use change in Bela-Welleh catchment (Wag, Northern Ethiopian Highlands). Soil Tillage Res. 2009, 103, 231–238. [Google Scholar] [CrossRef]
- Tsegaye, D.; Moe, S.R.; Vedeld, P.; Aynekulu, E. Land-use/cover dynamics in Northern Afar rangelands, Ethiopia. Agric. Ecosyst. Environ. 2010, 139, 174–180. [Google Scholar] [CrossRef]
- Shiferaw, A.; Singh, K. Evaluating the land use and land cover dynamics in Borena Woreda South Wollo Highlands, Ethiopia. Ethiop. J. Bus. Econ. 2011, 2, 69–104. [Google Scholar]
- Yalew, S.G.; Mul, M.L.; Van Griensven, A.; Teferi, E.; Priess, J.; Schweitzer, C.; van Der Zaag, P. Land-use change modelling in the Upper Blue Nile Basin. Environments 2016, 3, 21. [Google Scholar] [CrossRef]
- Haregeweyn, N.; Tsunekawa, A.; Poesen, J.; Tsubo, M.; Meshesha, D.T.; Fenta, A.A.; Nyssen, J.; Adgo, E. Comprehensive assessment of soil erosion risk for better land use planning in river basins: Case study of the Upper Blue Nile River. Sci. Total Environ. 2017, 574, 95–108. [Google Scholar] [CrossRef]
- Hurni, H.; Tato, K.; Zeleke, G. The implications of changes in population, land use, and land management for surface runoff in the upper nile basin area of ethiopia. Mt. Res. Dev. 2005, 25, 147–154. [Google Scholar] [CrossRef] [Green Version]
- Denekew, A.; Bekele, S. Characterization and Atlas of the Blue Nile Basin and Its Sub Basins; International Water Management Institute (IWMI): Colombo, Sri Lanka, 2009. [Google Scholar]
- Amare, A.; Simane, B. Climate change induced vulnerability of smallholder farmers: Agroecology-based analysis in the Muger sub-basin of the upper Blue-Nile basin of Ethiopia. Am. J. Clim. Chang. 2017, 6, 668–693. [Google Scholar] [CrossRef]
- Liswanti, N.; Shantiko, B.; Fripp, E.; Mwangi, E.; Laumonier, Y. Practical Guide for Socio-Economic Livelihood, Land Tenure and Rights Surveys for Use in Collaborative Ecosystem-Based Land Use Planning; CIFOR: Bogor Regency, Indonesia, 2013. [Google Scholar]
- Al-sharif, A.A.; Pradhan, B. Monitoring and predicting land use change in Tripoli Metropolitan City using an integrated Markov chain and cellular automata models in GIS. Arab. J. Geosci. 2014, 7, 4291–4301. [Google Scholar] [CrossRef]
- Nguyen, T. Optimal ground control points for geometric correction using genetic algorithm with global accuracy. Eur. J. Remote Sens. 2015, 48, 101–120. [Google Scholar] [CrossRef]
- Mosammam, H.M.; Nia, J.T.; Khani, H.; Teymouri, A.; Kazemi, M. Monitoring land use change and measuring urban sprawl based on its spatial forms: The case of Qom city. Egypt. J. Remote Sens. Space Sci. 2017, 20, 103–116. [Google Scholar]
- Gashaw, T.; Tulu, T.; Argaw, M. Erosion risk assessment for prioritization of conservation measures in Geleda watershed, Blue Nile basin, Ethiopia. Environ. Syst. Res. 2018, 6, 1. [Google Scholar] [CrossRef]
- Eastman, J.R. Idrisi Selva Manual, Manual Version 17; Clark Labs Clark University: Worcester, MA, USA, 2012; p. 10. [Google Scholar]
- Gashaw, T.; Bantider, A.; Mahari, A. Evaluations of land use/land cover changes and land degradation in Dera District, Ethiopia: GIS and remote sensing based analysis. Int. J. Sci. Res. Environ. Sci. 2014, 2, 199. [Google Scholar] [CrossRef]
- Morales-Barquero, L.; Lyons, M.B.; Phinn, S.R.; Roelfsema, C.M. Trends in remote sensing accuracy assessment approaches in the context of natural resources. Remote Sens. 2019, 11, 2305. [Google Scholar] [CrossRef]
- Story, M.; Congalton, R.G. Accuracy assessment: A user’s perspective. Photogramm. Eng. Remote Sens. 1986, 52, 397–399. [Google Scholar]
- Congalton, R.G. A review of assessing the accuracy of classifications of remotely sensed data. Remote Sens. Environ. 1991, 37, 35–46. [Google Scholar] [CrossRef]
- Lillesand, T.; Kiefer, R.W.; Chipman, J. Remote Sensing and Image Interpretation; John Wiley & Sons: Hoboken, NJ, USA, 2015. [Google Scholar]
- Rosenfield, G.H.; Fitzpatrick-Lins, K. A coefficient of agreement as a measure of thematic classification accuracy. Photogramm. Eng. Remote Sens. 1986, 52, 223–227. [Google Scholar]
- Teferi, E.; Uhlenbrook, S.; Bewket, W.; Wenninger, J.; Simane, B. The use of remote sensing to quantify wetland loss in the Choke Mountain range, Upper Blue Nile basin, Ethiopia. Hydrol. Earth Syst. Sci. 2010, 14, 2415–2428. [Google Scholar] [CrossRef]
- Rientjes, T.; Haile, A.; Kebede, E.; Mannaerts, C.; Habib, E.; Steenhuis, T. Changes in land cover, rainfall and stream flow in Upper Gilgel Abbay catchment, Blue Nile basin–Ethiopia. Hydrol. Earth Syst. Sci. 2011, 15, 1979–1989. [Google Scholar] [CrossRef]
- Puyravaud, J.-P. Standardizing the calculation of the annual rate of deforestation. For. Ecol. Manag. 2003, 177, 593–596. [Google Scholar] [CrossRef]
- Teferi, E.; Bewket, W.; Uhlenbrook, S.; Wenninger, J. Understanding recent land use and land cover dynamics in the source region of the Upper Blue Nile, Ethiopia: Spatially explicit statistical modeling of systematic transitions. Agric. Ecosyst. Environ. 2013, 165, 98–117. [Google Scholar] [CrossRef]
- Batar, A.K.; Watanabe, T.; Kumar, A. Assessment of land-use/land-cover change and forest fragmentation in the Garhwal Himalayan Region of India. Environments 2017, 4, 34. [Google Scholar] [CrossRef]
- Munthali, M.G.; Davis, N.; Adeola, A.M.; Botai, J.O.; Kamwi, J.M.; Chisale, H.L.; Orimoogunje, O.O. Local perception of drivers of land-use and land-cover change dynamics across Dedza District, Central Malawi Region. Sustainability 2019, 11, 832. [Google Scholar] [CrossRef]
- Terfa, B.K.; Suryabhagavan, K. Rangeland suitability evaluation for livestock production using remote sensing and GIS techniques in dire district, southern Ethiopia. Glob. J. Sci. Front. Res. H Environ. Earth Sci. 2015, 15, 10–26. [Google Scholar]
- CSA. Summary and Statistical Report of the 2007 Population and Housing Census; Central Statistical Agency: Addis Ababa, Ethiopia, 2007. [Google Scholar]
- CSA. Central Statistical Agency: Population Projection of Ethiopia for All Regions at Wereda Level from 2014–2017; Central Statistical Agency: Addis Ababa, Ethiopia, 2013. [Google Scholar]
- Dibaba, W.T.; Demissie, T.A.; Miegel, K. Drivers and implications of land use/land cover dynamics in Finchaa catchment, northwestern Ethiopia. Land 2020, 9, 113. [Google Scholar] [CrossRef]
- Senbeta, F. Community perception of land use/land cover change and its impacts on biodiversity and ecosystem services in northwestern Ethiopia. J. Sustain. Dev. Afr. 2018, 20, 108–126. [Google Scholar]
- Denboba, M.A. Forest Coversion-Soil Degradation-Farmers Perception Nexus: Implications for Sustainable Land Use in the Southwest of Ethiopia; Cuvillier Verlag: Göttingen, Germany, 2005; Volume 26. [Google Scholar]
- Yesuph, A.Y.; Dagnew, A.B. Land use/cover spatiotemporal dynamics, driving forces and implications at the Beshillo catchment of the Blue Nile Basin, North Eastern Highlands of Ethiopia. Environ. Syst. Res. 2019, 8, 21. [Google Scholar] [CrossRef]
- Tolessa, T.; Dechassa, C.; Simane, B.; Alamerew, B.; Kidane, M. Land use/land cover dynamics in response to various driving forces in Didessa sub-basin, Ethiopia. GeoJournal 2020, 85, 747–760. [Google Scholar] [CrossRef]
- Hassen, E.E.; Assen, M. Land use/cover dynamics and its drivers in Gelda catchment, Lake Tana watershed, Ethiopia. Environ. Syst. Res. 2018, 6, 4. [Google Scholar] [CrossRef]
- Gashaw, T.; Tulu, T.; Argaw, M.; Worqlul, A.W. Modeling the hydrological impacts of land use/land cover changes in the Andassa watershed, Blue Nile Basin, Ethiopia. Sci. Total Environ. 2018, 619, 1394–1408. [Google Scholar] [CrossRef]
- Terfa, B.K.; Chen, N.; Liu, D.; Zhang, X.; Niyogi, D. Urban expansion in Ethiopia from 1987 to 2017: Characteristics, spatial patterns, and driving forces. Sustainability 2019, 11, 2973. [Google Scholar] [CrossRef]
- Hailemariam, S.N.; Soromessa, T.; Teketay, D. Land use and land cover change in the Bale Mountain Eco-Region of Ethiopia during 1985 to 2015. Land 2016, 5, 41. [Google Scholar] [CrossRef] [Green Version]
- Abera, D.; Kibret, K.; Beyene, S. Tempo-spatial land use/cover change in Zeway, Ketar and Bulbula sub-basins, Central Rift Valley of Ethiopia. Lakes Reserv. Res. Manag. 2019, 24, 76–92. [Google Scholar] [CrossRef]
- Matlhodi, B.; Kenabatho, P.K.; Parida, B.P.; Maphanyane, J.G. Evaluating land use and land cover change in the Gaborone dam catchment, Botswana, from 1984–2015 using GIS and remote sensing. Sustainability 2019, 11, 5174. [Google Scholar] [CrossRef]
- Palamuleni, L.G.; Annegarn, H.J.; Landmann, T. Land cover mapping in the Upper Shire River catchment in Malawi using Landsat satellite data. Geocarto Int. 2010, 25, 503–523. [Google Scholar] [CrossRef]
- Mucova, S.A.R.; Leal Filho, W.; Azeiteiro, U.M.; Pereira, M.J. Assessment of land use and land cover changes from 1979 to 2017 and biodiversity & land management approach in Quirimbas National Park, Northern Mozambique, Africa. Glob. Ecol. Conserv. 2018, 16, e00447. [Google Scholar]
- Otieno, V.O.; Anyah, R. Effects of land use changes on climate in the Greater Horn of Africa. Clim. Res. 2012, 52, 77–95. [Google Scholar] [CrossRef]
- Bewket, W. Land cover dynamics since the 1950s in Chemoga watershed, Blue Nile basin, Ethiopia. Mt. Res. Dev. 2002, 22, 263–269. [Google Scholar] [CrossRef]
- Awoke, B.G. The role of geo information technology for predicting and mapping of forest cover spatio-temporal variability: Dendi district case study, Ethiopia. J. Sustain. Dev. Afr. 2010, 12, 9–33. [Google Scholar]
- Gashaw, T.; Bantider, A.; Mahari, A. Population dynamics and land use/land cover changes in Dera District, Ethiopia. Glob. J. Biol. Agric. Health Sci 2014, 3, 137–140. [Google Scholar]
- Pullanikkatil, D.; Palamuleni, L.G.; Ruhiiga, T.M. Land use/land cover change and implications for ecosystems services in the Likangala River Catchment, Malawi. Phys. Chem. Earth Parts A/B/C 2016, 93, 96–103. [Google Scholar] [CrossRef]
- Bone, R.A.; Parks, K.E.; Hudson, M.D.; Tsirinzeni, M.; Willcock, S. Deforestation since independence: A quantitative assessment of four decades of land-cover change in Malawi. South. For. J. For. Sci. 2017, 79, 269–275. [Google Scholar] [CrossRef]
- Müller-Mahn, D.; Gebreyes, M. Controversial connections: The water-energy-food nexus in the Blue Nile basin of Ethiopia. Land 2019, 8, 135. [Google Scholar] [CrossRef]
- Wagesho, N. Catchment dynamics and its impact on runoff generation: Coupling watershed modelling and statistical analysis to detect catchment responses. Int. J. Water Resour. Environ. Eng. 2014, 6, 73–87. [Google Scholar]
- Zuazo, V.H.; Pleguezuelo, C.R. Soil-erosion and runoff prevention by plant covers: A review. Sustain. Agric. 2009, 785–811. [Google Scholar] [CrossRef] [Green Version]



| Satellite Sensor | Path/Row | Acquisition Date | Spatial Resolution | Sources |
|---|---|---|---|---|
| Landsat 5 (TM) | 168/53 and 54 169/53 and 54 | January 1986 | 30 × 30 m | USGS |
| Landsat 7 (ETM+) | 168/53 and 54 169/53 and 54 | January 2003 | 30 × 30 m | USGS |
| Landsat 8 (OLI) | 168/53 and 54 169/53 and 54 | January 2020 | 30 × 30 m | USGS |
| LC Classes | Description |
|---|---|
| Bare land | Non-vegetated area dominated by rock outcrops, roads, and eroded and degraded lands. |
| Cultivation land | Areas of land prepared for growing agricultural crops. This category includes areas currently under crop and land under preparation. |
| Forestland | Area covered by trees where the tree-cover density is greater than 10%. It includes plantation and natural forest. |
| Grassland | Areas covered by grasses usually used for grazing and those remaining for some months in a year. |
| Settlement area | Land dominated with houses and huts in rural villages and small towns (also including commercial areas, urban and rural settlements, and industrial areas). |
| Shrubland | Areas covered by scattered small trees, shrubs, and bushes and mixed with grass vegetation |
| Water bodies | The area covered by water (ponds, lakes, and rivers) |
| Wetland | Swamplands and wetland area with small green plants or grasses. |
| LC Classes | Year | |||||
|---|---|---|---|---|---|---|
| 1986 | 2003 | 2020 | ||||
| Producer’s Accuracy | User’s Accuracy | Producer’s Accuracy | User’s Accuracy | Producer’s Accuracy | User’s Accuracy | |
| BL | 53.33 | 80.00 | 61.54 | 66.67 | 68.42 | 86.67 |
| CL | 96.85 | 89.78 | 98.57 | 93.24 | 96.77 | 95.54 |
| FL | 77.08 | 88.10 | 88.24 | 90.91 | 75.00 | 75.00 |
| GL | 66.67 | 75.00 | 64.71 | 84.62 | 75.00 | 60.00 |
| SA | 77.78 | 70.00 | 77.78 | 70.00 | 100.00 | 80.00 |
| SL | 90.32 | 84.85 | 87.50 | 84.00 | 78.95 | 83.33 |
| WB | 70.00 | 70.00 | 80.00 | 80.00 | 88.89 | 80.00 |
| WL | 70.00 | 70.00 | 80.00 | 80.00 | 81.82 | 90.00 |
| Overall accuracy (%) | 85.45 | 88.51 | 89.39 | |||
| Overall kappa | 0.79 | 0.83 | 0.83 | |||
| Area | Change (Gain/Loss) | |||||||||||
|---|---|---|---|---|---|---|---|---|---|---|---|---|
| 1986 | 2003 | 2020 | 1986–2003 | 2003–2020 | 1986–2020 | |||||||
| LC Types | Ha | % | Ha | % | Ha | % | Ha | % | Ha | % | Ha | % |
| BL | 9413.19 | 1.15 | 8601.39 | 1.05 | 4654.5 | 0.57 | −811.80 | −0.10 | −3946.89 | −0.48 | −4758.69 | −0.58 |
| CL | 563,823 | 68.86 | 592,957 | 72.42 | 576,806 | 70.44 | 29,134.00 | 3.56 | −16,151.00 | −1.97 | 12,983.00 | 1.59 |
| FL | 96,475.9 | 11.78 | 76,634.6 | 9.36 | 48,326.3 | 5.90 | −19,841.30 | −2.42 | −28,308.30 | −3.46 | −48,149.60 | −5.88 |
| GL | 12,482.9 | 1.52 | 28,152.5 | 3.44 | 3362.4 | 0.41 | 15,669.60 | 1.91 | −24,790.10 | −3.03 | −9120.50 | −1.11 |
| SA | 262.89 | 0.03 | 6182.91 | 0.76 | 12,563.5 | 1.53 | 5920.02 | 0.72 | 6380.59 | 0.78 | 12,300.61 | 1.50 |
| SL | 117,792 | 14.39 | 92,954.9 | 11.35 | 165,935 | 20.27 | −24,837.10 | −3.03 | 72,980.10 | 8.91 | 48,143.00 | 5.88 |
| WB | 2764.56 | 0.34 | 2066.04 | 0.25 | 4613.58 | 0.56 | −698.52 | −0.09 | 2547.54 | 0.31 | 1849.02 | 0.23 |
| WL | 15,809.5 | 1.93 | 11,274.6 | 1.38 | 2562.66 | 0.31 | −4534.90 | −0.55 | −8711.94 | −1.06 | −13,246.84 | −1.62 |
| Total (ha) | 818,823.9 | 100 | 818,823.9 | 100 | 818,823.9 | 100 | ||||||
| Area | Change | |||||||||||
|---|---|---|---|---|---|---|---|---|---|---|---|---|
| 1986 | 2003 | 2020 | 1986–2003 | 2003–2020 | 1986–2020 | |||||||
| LC Types | Ha | % | Ha | % | Ha | % | Annual Change Rate (%) | LC Change (%) | Annual Change Rate (%) | LC Change (%) | Annual Change Rate (%) | LC Change (%) |
| BL | 9413.19 | 1.15 | 8601.39 | 1.05 | 4654.5 | 0.57 | 0.000 | −0.10 | −0.036 | −0.48 | −0.021 | −0.58 |
| CL | 563,823 | 68.86 | 592,957 | 72.42 | 576,806 | 70.44 | 0.003 | 3.56 | −0.002 | −1.97 | 0.001 | 1.59 |
| FL | 96,475.9 | 11.78 | 76,634.6 | 9.36 | 48,326.3 | 5.90 | −0.014 | −2.42 | −0.027 | −3.46 | −0.020 | −5.88 |
| GL | 12,482.9 | 1.52 | 28,152.5 | 3.44 | 3362.4 | 0.41 | 0.048 | 1.91 | −0.125 | −3.03 | −0.039 | −1.11 |
| SA | 262.89 | 0.03 | 6182.91 | 0.76 | 12,563.5 | 1.53 | 0.186 | 0.72 | 0.042 | 0.78 | 0.114 | 1.50 |
| SL | 117,792 | 14.39 | 92,954.9 | 11.35 | 165,935 | 20.27 | −0.014 | −3.03 | 0.034 | 8.91 | 0.010 | 5.88 |
| WB | 2764.56 | 0.34 | 2066.04 | 0.25 | 4613.58 | 0.56 | −0.017 | −0.09 | 0.047 | 0.31 | 0.015 | 0.23 |
| WL | 15,809.5 | 1.93 | 11,274.6 | 1.38 | 2562.66 | 0.31 | −0.020 | −0.55 | −0.087 | −1.06 | −0.054 | −1.62 |
| Total (ha) | 818,823.9 | 100 | 818,823.9 | 100 | 818,823.9 | 100 | ||||||
| Land over Type | 1986–2003 | 2003–2020 | 1986–2020 | |||
|---|---|---|---|---|---|---|
| Net Change | Net Persistence | Net Change | Net Persistence | Net Change | Net Persistence | |
| Bareland | −811.8 | −0.78 | −3946.86 | −5.069 | −4758.75 | −7.69 |
| Cultivation land | 29,133.81 | 0.06 | −16,150.41 | −0.035 | 12,983.31 | 0.03 |
| Forestland | −19,841.31 | −0.46 | −28,308.51 | −1.192 | −48,149.64 | −1.81 |
| Grassland | 15,669.63 | 9.54 | −24,790.14 | −13.144 | −9120.51 | −17.70 |
| Settlement | 5920.02 | 81.71 | 6380.55 | 13.763 | 12,300.57 | 326.19 |
| Shrubland | −24,836.76 | −0.7 | 72,979.74 | 1.572 | 48,142.98 | 0.89 |
| Water body | −698.67 | −1.91 | 2547.54 | 4.958 | 1848.87 | 1.70 |
| Wetland | −4534.92 | −1.24 | −8711.91 | −5.307 | −13,246.83 | −8.36 |
| 1986 | Percent of Slope Class and Area Coverage, Hectares | |||||||
|---|---|---|---|---|---|---|---|---|
| LC Type | 0–2% | 2–5% | 5–8% | 8–15% | 15–30% | 30–60% | >60% | Total |
| BL | 3729.78 | 2698.29 | 1805.13 | 970.2 | 191.7 | 5.49 | 12.6 | 9413.19 |
| CL | 275,904.9 | 151,292.3 | 78,429.24 | 46,172.7 | 10,428.84 | 1576.63 | 18.26 | 563,822.8 |
| FL | 23,261.94 | 20,925.18 | 20,230.65 | 21,388.14 | 9815.94 | 749.97 | 104.13 | 96,475.95 |
| GL | 9683.73 | 1761.84 | 524.79 | 372.42 | 112.86 | 11.43 | 15.84 | 12,482.91 |
| SA | 168.84 | 46.35 | 18 | 14.49 | 9.99 | 0.9 | 4.32 | 262.89 |
| SL | 41,565.78 | 30,723.03 | 24,139.62 | 16,579.26 | 4430.34 | 258.66 | 94.95 | 117,791.6 |
| WB | 1022.85 | 448.38 | 306.45 | 418.95 | 432 | 42.12 | 93.96 | 2764.71 |
| WL | 6699.51 | 4637.79 | 2920.23 | 1359.72 | 157.05 | 9.9 | 25.29 | 15,809.49 |
| Total (ha) | 362,037.3 | 212,533.1 | 128,374.1 | 87,275.88 | 25,578.72 | 2655.1 | 369.35 | 818,823.6 |
| 2020 | Percent of Slope Class and Area Coverage, Hectares | |||||||
| LC Type | 0–2% | 2–5% | 5–8% | 8–15% | 15–30% | 30–60% | >60% | Total |
| BL | 2122.92 | 1154.25 | 725.4 | 523.08 | 116.37 | 5.58 | 6.84 | 4654.44 |
| CL | 253,660.5 | 159,299.6 | 92,622.96 | 57,245.49 | 12,434.58 | 1034.59 | 508.37 | 576,806 |
| FL | 12,321.99 | 9095.76 | 8230.32 | 10,810.53 | 7105.95 | 663.39 | 98.37 | 48,326.31 |
| GL | 3167.01 | 158.49 | 11.34 | 16.56 | 8.82 | 0.09 | 0.09 | 3362.4 |
| SA | 5657.85 | 3386.16 | 1856.52 | 1096.92 | 430.74 | 84.24 | 51.03 | 12,563.46 |
| SL | 81,155.07 | 37,940.76 | 24,089.58 | 17,000.55 | 5307.12 | 279.27 | 162.27 | 165,934.6 |
| WB | 2420.64 | 978.12 | 557.46 | 405.27 | 132.21 | 14.4 | 105.48 | 4613.58 |
| WL | 1531.35 | 520.02 | 280.53 | 177.48 | 43.92 | 5.67 | 3.69 | 2562.66 |
| Total (ha) | 362,037.3 | 212,533.1 | 128,374.1 | 87,275.88 | 25579.71 | 2087.23 | 936.14 | 818,823.5 |
| Drivers of LC Changes | Percent (%) | Rank |
|---|---|---|
| Agriculture expansion | 17.42 | 1 |
| Population growth | 16.52 | 2 |
| Wood extraction (for charcoal, fuel wood, and construction) | 14.02 | 3 |
| Expansion of settlement | 12.65 | 4 |
| Infrastructure development | 10.08 | 5 |
| Overgrazing | 9.09 | 6 |
| Absence of land use planning | 6.14 | 7 |
| Expansion of plantation | 5.15 | 8 |
| Limited capacities of the NRM sector | 4.62 | 9 |
| Lack of land use policies and laws | 4.32 | 10 |
| Drivers of LC Changes | Percent (%) | Rank |
|---|---|---|
| Demographic | 31.94 | 1 |
| Economic | 27.22 | 2 |
| Institution and policy | 16.39 | 3 |
| Biophysical/natural | 14.44 | 4 |
| Technological | 10.00 | 5 |
Publisher’s Note: MDPI stays neutral with regard to jurisdictional claims in published maps and institutional affiliations. |
© 2022 by the authors. Licensee MDPI, Basel, Switzerland. This article is an open access article distributed under the terms and conditions of the Creative Commons Attribution (CC BY) license (https://creativecommons.org/licenses/by/4.0/).
Share and Cite
Teshome, D.S.; Taddese, H.; Tolessa, T.; Kidane, M.; You, S. Drivers and Implications of Land Cover Dynamics in Muger Sub-Basin, Abay Basin, Ethiopia. Sustainability 2022, 14, 11241. https://doi.org/10.3390/su141811241
Teshome DS, Taddese H, Tolessa T, Kidane M, You S. Drivers and Implications of Land Cover Dynamics in Muger Sub-Basin, Abay Basin, Ethiopia. Sustainability. 2022; 14(18):11241. https://doi.org/10.3390/su141811241
Chicago/Turabian StyleTeshome, Dawit Samuel, Habitamu Taddese, Terefe Tolessa, Moges Kidane, and Songcai You. 2022. "Drivers and Implications of Land Cover Dynamics in Muger Sub-Basin, Abay Basin, Ethiopia" Sustainability 14, no. 18: 11241. https://doi.org/10.3390/su141811241
APA StyleTeshome, D. S., Taddese, H., Tolessa, T., Kidane, M., & You, S. (2022). Drivers and Implications of Land Cover Dynamics in Muger Sub-Basin, Abay Basin, Ethiopia. Sustainability, 14(18), 11241. https://doi.org/10.3390/su141811241

