Potential Availability of Wood Biomass from Urban Trees: Implications for the Sustainable Management of Maintenance Yards
Abstract
:1. Introduction
2. Materials and Methods
2.1. Site and Yards Description
2.2. Time Work Study
2.3. CO2 Emissions and Energy Consumption
2.4. Statistical Analyses
3. Results
4. Discussion
5. Conclusions
Supplementary Materials
Author Contributions
Funding
Institutional Review Board Statement
Informed Consent Statement
Data Availability Statement
Acknowledgments
Conflicts of Interest
References
- UN-Habitat. World Cities Report 2020: The Value of Sustainable Urbanization; UN-Habitat: Nairobi, Kenya, 2020; 418p. [Google Scholar]
- Worldometer 2020, Italy Population. Available online: https://www.worldometers.info/world-population/italy-population/ (accessed on 21 April 2022).
- Escobedo, F.J.; Kroeger, T.; Wagner, J.E. Urban Forests and Pollution Mitigation: Analysing Ecosystem Services and Disservices. Environ. Pollut. 2011, 159, 2078–2087. [Google Scholar] [CrossRef] [PubMed]
- Bowler, D.E.; Buyung-Ali, L.; Knight, T.M.; Pullin, A.S. Urban Greening to Cool Towns and Cities: A Systematic Review of the Empirical Evidence. Landsc. Urban Plan. 2010, 97, 147–155. [Google Scholar] [CrossRef]
- Alvey, A.A. Promoting and Preserving Biodiversity in the Urban Forest. Urban Forest. Urban Green. 2006, 5, 195–201. [Google Scholar] [CrossRef]
- Mori, J.; Hanslin, H.M.; Burchi, G.; Sæbø, A. Particulate Matter and Element Accumulation on Coniferous Trees at Different Distances from a Highway. Urban Forest. Urban Green. 2015, 14, 170–177. [Google Scholar] [CrossRef]
- Nowak, D.J.; Crane, D.E.; Stevens, J.C. Air Pollution Removal by Urban Trees and Shrubs in The United States. Urban Forest. Urban Green. 2006, 4, 115–123. [Google Scholar] [CrossRef]
- Bolund, P.; Hunhammar, S. Ecosystem Services in Urban Areas. Ecol. Econ. 1999, 29, 293–301. [Google Scholar] [CrossRef]
- Erbino, C.; Toccolini, A.; Vagge, I.; Ferrario, P.S. Guidelines for the Design of a Healing Garden for the Rehabilitation of Psychiatric Patients. J. Agric. Eng. 2015, 46, 43–51. [Google Scholar] [CrossRef]
- Biocca, M.; Gallo, P.; Di Loreto, G.; Imperi, G.; Pochi, D.; Fornaciari, L. Noise Attenuation Provided by Hedges. J. Agric. Eng. 2019, 50, 113–119. [Google Scholar] [CrossRef]
- Nowak, D. Street Tree Pruning and Removal Needs. Arboric. Urban For. 1990, 16, 309–315. [Google Scholar] [CrossRef]
- Bagagiolo, G.; Laurendi, V.; Cavallo, E. Safety Improvements on Wood Chippers Currently in Use: A Study on Feasibility in the Italian Context. Agriculture 2017, 7, 98. [Google Scholar] [CrossRef] [Green Version]
- Spinelli, R.; Eliasson, L.; Han, H.S. A Critical Review of Comminution Technology and Operational Logistics of Wood Chips. Curr. For. Rep. 2020, 6, 210–219. [Google Scholar] [CrossRef]
- Lyon, S.; Bond, B. What is “Urban Wood Waste”? For. Prod. J. 2014, 64, 166–170. [Google Scholar] [CrossRef]
- MacFarlane, D.W. Potential Availability of Urban Wood Biomass in Michigan: Implications for Energy Production, Carbon Sequestration and Sustainable Forest Management in the U.S.A. Biomass Bioenergy 2009, 33, 628–634. [Google Scholar] [CrossRef]
- Nowak, D.J.; Greenfield, E.J.; Ash, R.M. Annual Biomass Loss and Potential Value of Urban Tree Waste in the United States. Urban Forest. Urban Green. 2019, 46, 126469. [Google Scholar] [CrossRef]
- Timilsina, N.; Staudhammer, C.L.; Escobedo, F.J.; Lawrence, A. Tree Biomass, Wood Waste Yield, and Carbon Storage Changes in an Urban Forest. Landsc. Urban Plan. 2014, 127, 18–27. [Google Scholar] [CrossRef]
- Khudyakova, G.I.; Danilova, D.A.; Khasanov, R.R. The Use of Urban Wood Waste as an Energy Resource. IOP Conf. Ser. Earth Environ. Sci. 2017, 72, 012026. [Google Scholar] [CrossRef]
- Raud, M.; Mitt, M.; Oja, T.; Olt, J.; Orupõld, K.; Kikas, T. The Utilisation Potential of Urban Greening Waste: Tartu Case Study. Urban Forest. Urban Green. 2017, 21, 96–101. [Google Scholar] [CrossRef]
- Colucci, M.; D’Antonio, P.; D’Antonio, C.; Evangelista, C. The Biomasses Deriving from the Public Parks Management: An Hypothesis of a City-Wood-Energy Chain in Potenza. In Proceedings of the International Conference Ragusa SHWA2010, Ragusa Ibla Campus, Ragusa, Italy, 16–18 September 2010; pp. 635–642. [Google Scholar]
- Sajdak, M.; Velázquez-Martí, B. Estimation of Pruned Biomass from Dendrometric Parameters on Urban Forests: Case Study of Sophora Japonica. Renew. Energy 2012, 47, 188–193. [Google Scholar] [CrossRef]
- Fernández-Sarría, A.; Velázquez-Martí, B.; Sajdak, M.; Martínez, L.; Estornell, J. Residual Biomass Calculation from Individual Tree Architecture Using Terrestrial Laser Scanner and Ground-Level Measurements. Comput. Electron. Agric. 2013, 93, 90–97. [Google Scholar] [CrossRef]
- Bascietto, M.; Sperandio, G.; Bajocco, S. Efficient Estimation of Biomass from Residual Agroforestry. ISPRS Int. J. Geo-Inf. 2020, 9, 21. [Google Scholar] [CrossRef] [Green Version]
- Sperandio, G.; Acampora, A.; Civitarese, V.; Bajocco, S.; Bascietto, M. Transport Cost Estimation Model of the Agroforestry Biomass in a Small-Scale Energy Chain. Forests 2021, 12, 158. [Google Scholar] [CrossRef]
- Sajdak, M.; Velázquez-Martí, B.; López-Cortés, I.; Fernández-Sarría, A.; Estornell, J. Prediction Models for Estimating Pruned Biomass Obtained from Platanus x hispanica Münchh. Used for Material Surveys in Urban Forests. Renew. Energy 2014, 66, 178–184. [Google Scholar] [CrossRef]
- Velázquez-Martí, B.; Sajdak, M.; López-Cortés, I. Available Residual Biomass Obtained from Pruning Morus alba L. Trees Cultivated in Urban Forest. Renew. Energy 2013, 60, 27–33. [Google Scholar] [CrossRef]
- Biocca, M.; Gallo, P.; Sperandio, G. Technical and Economic Analysis of Stone pine (Pinus pinea L.) maintenance in urban areas. Trees For. People 2021, 6, 100162. [Google Scholar] [CrossRef]
- Li, Y.; Zhou, L.W.; Wang, R.Z. Urban Biomass and Methods of Estimating Municipal Biomass Resources. Renew. Sustain. Energy Rev. 2017, 80, 1017–1030. [Google Scholar] [CrossRef]
- Vogt, J.; Hauer, R.J.; Fischer, B.C. The Costs of Maintaining and Not Maintaining the Urban Forest: A Review of the Urban Forestry and Arboriculture Literature. Arboric. Urban For. 2015, 41, 6. [Google Scholar] [CrossRef]
- Nowak, D.; Stevens, J.; Sisinni, S.; Luley, C. Effects of Urban Tree Management and Species Selection on Atmospheric Carbon Dioxide. Arboric. Urban For. 2002, 28, 113–122. [Google Scholar] [CrossRef]
- ISTAT, Tavole di Dati. Ambiente Urbano 2020. Available online: https://www.istat.it/it/archivio/264816/ (accessed on 21 April 2022).
- Comune di Roma, Bilancio Arboreo. Available online: https://www.comune.roma.it/web/it/scheda-servizi.page?contentId=INF70550 (accessed on 21 April 2022).
- Tabacchi, G.; Di Cosmo, L.; Gasparini, P.; Morelli, S. Stima del Volume e della Fitomassa delle Principali Specie Forestali Italiane. Equazioni di Previsione, Tavole del Volume e Tavole della Fitomassa Arborea Epigea; CRA, Unità di Ricerca per il Monitoraggio e la Pianificazione Forestale: Trento, Italy, 2011; 412p. [Google Scholar]
- Miyata, E.S. Determining Fixed and Operating Costs of Logging Equipment; General Technical Report NC-55; Department of Agriculture, Forest Service, North Central Forest Experiment Station: St. Paul, MN, USA, 1980; 16p.
- Olsen, E.D.; Kellogg, L.D. Comparison of Time-Study Techniques for Evaluating Logging Production. Trans. ASAE 1983, 26, 1665–1668. [Google Scholar] [CrossRef]
- Spinelli, R.; Visser, R.J.M. Analyzing and Estimating Delays in Wood Chipping Operations. Biomass Bioenergy 2009, 33, 429–433. [Google Scholar] [CrossRef]
- Contaldi, M.; Ilacqua, M. Analisi dei Fattori di Emissione di CO2 dal Settore dei Trasporti. Metodo di Riferimento IPCC, Modello COPERT ed Analisi Sperimentali; Rapporto 28; Agenzia per la Protezione dell’Ambiente e per i Servizi Tecnici (APAT): Rome, Italy, 2003; 31p. [Google Scholar]
- Hammer, Ø.; Harper, D.A.T.; Ryan, P.D. PAST: Palaeontological Statistics Software Package for Education and Data Analysis. Palaeontol. Electron. 2001, 4, 1–9. [Google Scholar]
- Olsen, E.D.; Hossain, M.; Miller, M. Statistical Comparison of Methods Used in Harvesting Work Studies; Research Contribution n. 23; Oregon State University, Forest Research Laboratory: Corvallis, OR, USA, 1998; 31p. [Google Scholar]
- R Core Team. R: A Language and Environment for Statistical Computing; R Foundation for Statistical Computing: Vienna, Austria, 2020; Available online: https://www.R-project.org/ (accessed on 1 September 2022).
- Hilbert, D.R.; Roman, L.A.; Koeser, A.K.; Vogt, J.; van Doorn, N.S. Urban Tree Mortality: A Literature Review. 34. Arboric. Urban For. 2019, 45, 167–200. [Google Scholar] [CrossRef]
- Nowak, D.J.; Kuroda, M.; Crane, D.E. Tree Mortality Rates and Tree Population Projections in Baltimore, Maryland, USA. Urban For. Urban Green. 2004, 2, 139–147. [Google Scholar] [CrossRef]
- Krajter Ostoić, S.; Konijnendijk van den Bosch, C.C. Exploring global scientific discourses on urban forestry. Urban For. Urban Green. 2015, 14, 129–138. [Google Scholar] [CrossRef]
- Ferla, G.; Caputo, P.; Colaninno, N.; Morello, E. Urban greenery management and energy planning: A GIS-based potential evaluation of pruning by-products for energy application for the city of Milan. Renew. Energy 2020, 160, 185–195. [Google Scholar] [CrossRef]
- Roy, S.; Byrne, J.; Pickering, C. A systematic quantitative review of urban tree benefits, costs, and assessment methods across cities in different climatic zones. Urban For. Urban Green. 2012, 11, 351–363. [Google Scholar] [CrossRef]
- Kielbaso, J.; Haston, G.; Pawl, D. Municipal tree management in the U.S.—1980. J. Arboric. 1082, 8, 253–257. [Google Scholar] [CrossRef]
- Kielbaso, J. Trends and issues in city forests. J. Arboric. 1990, 16, 69–76. [Google Scholar] [CrossRef]
- Tschantz, B.A.; Sacamano, P.L. Municipal Tree Management in the United States: A 1994 Report; Davey Research Group and Communication Research Associates, Inc.: Kent, OH, USA, 1994; 58p. [Google Scholar]
- Yang, M.; Zhou, X.; Liu, Z.; Li, P.; Tang, J.; Xie, B.; Peng, C. A Review of General Methods for Quantifying and Estimating Urban Trees and Biomass. Forests 2022, 13, 616. [Google Scholar] [CrossRef]







| Yard Code | System | Operation | Species | Height [m] | D.b.h. [cm] | Crown Diameter [m] | Site | Distance [m] |
|---|---|---|---|---|---|---|---|---|
| AA1 | AL | Felling | Pinus pinea | 27 | 100 | 15 | 1 | 10 |
| AA2 | AL | Felling | Pinus pinea | 25 | 99 | 12 | 1 | 2 |
| ACI | AL | Pruning | Platanus x acerifolia | 17 | 49 | 9 | 4 | 1 |
| ALB | AL | Pruning | Platanus x acerifolia | 21 | 75 | 13 | 4 | 5 |
| ANA | TC | Felling | Pinus pinea | 16 | 80 | 11 | 4 | 1 |
| BSP | TC | Felling | Pinus pinea | 17 | 56 | 8 | 4 | 2 |
| BUS | AL | Felling | Pinus pinea | 22 | 67 | 12 | 2 | 1 |
| CA1 | AL | Felling | Ulmus sp. | 15 | 20 | 6 | 3.5 | 1 |
| CLS | TC | Felling | Pinus pinea | 15 | 42 | 7 | 5 | 1 |
| ENE | AL | Pruning | Pinus pinea | 20 | 79 | 14 | 5 | 1 |
| FAN | AL | Felling | Pinus pinea | 20 | 65 | 10 | 4 | 5 |
| FRT | AL | Felling | Cupressus arizonica | 15 | 49 | 5 | 5 | 1 |
| GRM | AL | Pruning | Cupressus arizonica | 15 | 60 | 9 | 5 | 10 |
| INF | TC | Pruning | Pinus pinea | 15 | 74 | 12 | 5 | 35 |
| ITA | AL | Felling | Pinus pinea | 19 | 71 | 11 | 2 | 1 |
| ITP | AL | Pruning | Pinus pinea | 19 | 63 | 10 | 5 | 1 |
| LAT | AL | Pruning | Pinus pinea | 16 | 72 | 14 | 3 | 1 |
| LEM | TC | Felling | Pinus pinea | 11 | 49 | 7 | 2 | 1 |
| LQR | AL | Felling | Cedrus deodara | 20 | 84 | 7 | 3 | 2 |
| MAC | TC | Pruning | Cedrus libani | 22 | 65 | 7 | 4 | 15 |
| MAG | TC | Pruning | Pinus pinea | 22 | 70 | 13 | 4 | 40 |
| MTC | TC | Pruning | Pinus halepensis | 14 | 57 | 7 | 5 | 35 |
| OLI | AL | Pruning | Celtis australis | 18 | 75 | 13 | 5 | 2 |
| OTT | TC | Pruning | Magnolia grandiflora | 15 | 50 | 11 | 5 | 65 |
| PIG | TC | Felling | Pinus pinea | 15 | 60 | 9 | 3 | 15 |
| QRM | TC | Felling | Pinus pinea | 15 | 70 | 8 | 3 | 5 |
| SMC | TC | Felling | Cupressus sempervirens | 12 | 37 | 3 | 5 | 2 |
| SSB | TC | Pruning | Ailanthus altissima | 17 | 53 | 9 | 4 | 60 |
| TRF | TC | Felling | Laurus nobilis | 12 | 45 | 6 | 4 | 30 |
| TSC | AL | Felling | Eucaliptus sp. | 16 | 70 | 5 | 3.5 | 10 |
| VLR | TC | Pruning | Quercus ilex | 17 | 85 | 14 | 5 | 5 |
| VLS | AL | Felling | Pinus pinea | 23 | 70 | 16 | 3 | 2 |
| VTR | TC | Pruning | Tilia cordata | 9 | 45 | 6 | 5 | 1 |
| Yard Code | Gross Time [h Tree−1] | Biomass per Tree [Mg Tree−1] | Productivity [Mg h−1] | Yard Hourly Cost [€ h−1] | Total Cost [€ Tree−1] | Fuel Consumption [L h−1] | CO2 Emissions [kg Tree−1] | Energy Consumption [MJ Tree−1] |
|---|---|---|---|---|---|---|---|---|
| AA1 | 7.2 | 15.0 | 2.1 | 107.9 | 779.9 | 15.0 | 193.2 | 3877.3 |
| AA2 | 4.7 | 14.0 | 3.0 | 157.4 | 745.9 | 27.8 | 251.4 | 4728.1 |
| ACI | 0.6 | 0.6 | 1.0 | 82.7 | 51.1 | 6.2 | 7.3 | 137.7 |
| ALB | 3.7 | 0.6 | 0.2 | 116.7 | 435.5 | 11.8 | 57.2 | 1575.3 |
| ANA | 4.9 | 4.2 | 0.9 | 44.5 | 219.0 | 0.6 | 1.2 | 92.3 |
| BSP | 6.8 | 4.0 | 0.6 | 40.3 | 271.9 | 0.1 | 0.2 | 33.0 |
| BUS | 7.1 | 5.4 | 0.8 | 77.1 | 546.6 | 6.8 | 92.1 | 1711.4 |
| CA1 | 1.3 | 0.5 | 0.4 | 110.0 | 138.8 | 15.6 | 43.2 | 703.7 |
| CLS | 1.9 | 0.8 | 0.4 | 35.4 | 66.6 | 0.4 | 0.5 | 23.0 |
| ENE | 3.3 | 1.4 | 0.4 | 54.6 | 178.9 | 6.7 | 49.0 | 790.0 |
| FAN | 0.7 | 1.6 | 2.2 | 78.9 | 58.0 | 8.4 | 13.4 | 220.6 |
| FRT | 1.2 | 2.0 | 1.7 | 72.8 | 84.2 | 7.0 | 17.5 | 289.8 |
| GRM | 7.7 | 1.6 | 0.2 | 69.6 | 534.3 | 6.9 | 115.4 | 1886.8 |
| INF | 3.2 | 0.9 | 0.3 | 46.7 | 149.1 | 0.0 | 0.0 | 0.0 |
| ITA | 1.8 | 4.2 | 2.4 | 62.7 | 110.9 | 6.8 | 26.4 | 431.8 |
| ITP | 0.9 | 0.4 | 0.4 | 52.8 | 48.8 | 6.7 | 13.8 | 223.5 |
| LAT | 1.1 | 2.1 | 1.9 | 86.2 | 92.9 | 7.8 | 17.0 | 300.5 |
| LEM | 2.8 | 1.6 | 0.6 | 57.9 | 161.5 | 0.5 | 0.7 | 49.3 |
| LQR | 8.1 | 4.2 | 0.5 | 88.5 | 715.0 | 7.2 | 121.8 | 2084.6 |
| MAC | 5.1 | 0.6 | 0.1 | 50.1 | 255.4 | 1.2 | 3.4 | 48.5 |
| MAG | 3.6 | 1.0 | 0.3 | 35.1 | 124.9 | 1.2 | 1.9 | 27.1 |
| MTC | 2.9 | 0.6 | 0.2 | 31.7 | 91.6 | 0.0 | 0.0 | 7.5 |
| OLI | 5.4 | 2.5 | 0.5 | 96.7 | 524.1 | 7.4 | 75.8 | 1433.4 |
| OTT | 7.2 | 1.0 | 0.1 | 47.1 | 338.8 | 0.0 | 0.0 | 9.3 |
| PIG | 5.0 | 1.4 | 0.3 | 68.1 | 341.3 | 2.0 | 2.3 | 87.0 |
| QRM | 5.6 | 3.6 | 0.6 | 64.9 | 363.3 | 0.3 | 0.3 | 56.3 |
| SMC | 3.0 | 5.1 | 1.7 | 18.8 | 56.1 | 0.1 | 0.0 | 6.6 |
| SSB | 4.9 | 0.8 | 0.2 | 32.0 | 157.4 | 0.0 | 0.0 | 12.8 |
| TRF | 3.6 | 4.2 | 1.2 | 53.4 | 192.0 | 0.2 | 0.2 | 23.4 |
| TSC | 3.7 | 1.6 | 0.4 | 94.0 | 347.8 | 6.9 | 55.4 | 908.2 |
| VLR | 5.4 | 0.4 | 0.1 | 31.7 | 169.8 | 0.0 | 0.0 | 0.0 |
| VLS | 6.0 | 5.1 | 0.8 | 83.5 | 503.6 | 7.3 | 91.5 | 1569.4 |
| VTR | 2.2 | 1.9 | 0.9 | 31.7 | 71.0 | 0.0 | 0.0 | 0.0 |
| Parameter | Factors | Probability (p-Values) | Significance (1) |
|---|---|---|---|
| Gross time per tree (h tree−1) | System | 0.5726 | |
| Operation | 0.608 | ||
| System × Operation | 0.5176 | ||
| Biomass per tree (Mg tree−1) | System | 0.1680193 | |
| Operation | <0.001 | *** | |
| System × Operation | 0.9638159 | ||
| Hourly productivity (Mg h−1) | System | 0.006157 | ** |
| Operation | <0.001 | *** | |
| System × Operation | 0.532674 | ||
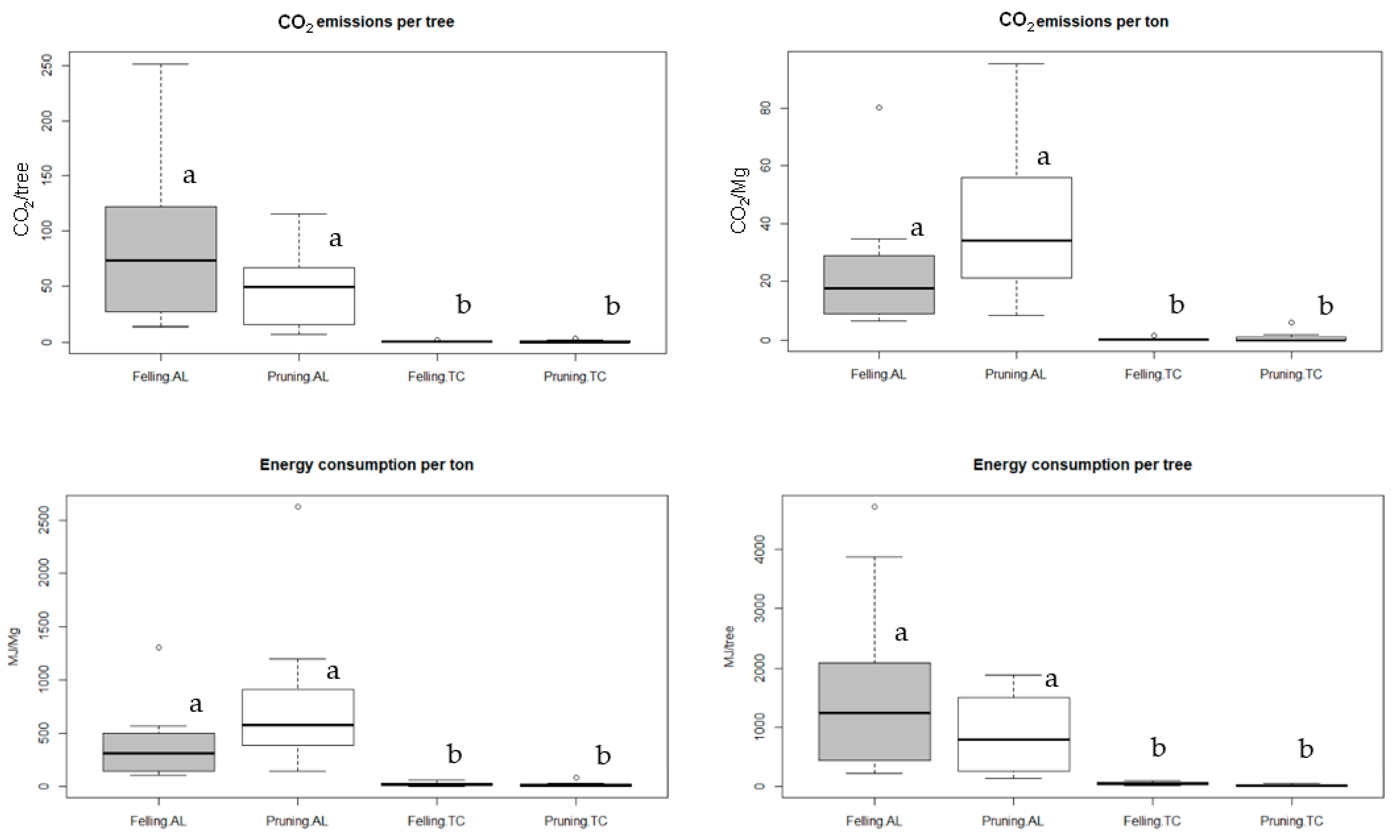
| CO2 emission per tree (kg tree−1) | System | <0.001 | *** |
| Operation | <0.001 | *** | |
| System × Operation | <0.001 | *** | |
| CO2 emission per ton of biomass (kg Mg−1) | System | <0.001 | *** |
| Operation | <0.001 | *** | |
| System × Operation | <0.001 | *** | |
| Biomass cost per ton (Euro_Mg−1) | System | 0.91624 | |
| Operation | 0.00634 | ** | |
| System × Operation | 0.61045 | ||
| Cost per tree (Euro tree−1) | System | 0.2472 | |
| Operation | 0.3134 | ||
| System × Operation | 0.5848 | ||
| Energy consumption per ton of biomass (MJ Mg−1) | System | 0.003523 | ** |
| Operation | 0.070683 | . | |
| System × Operation | 0.042441 | * | |
| Energy consumption per tree (MJ tree−1) | System | 0.002418 | ** |
| Operation | 0.029844 | * | |
| System × Operation | 0.042119 | * |
| Variables | PC 1 | PC 2 |
|---|---|---|
| Fuel consumption [L tree−1] | 0.38 | 0.00 |
| Energy consumption [MJ tree−1] | 0.38 | 0.00 |
| CO2 emissions [kg tree−1] | 0.38 | 0.00 |
| Total cost per tree [€ tree−1] | 0.35 | 0.29 |
| Residual biomass per tree [Mg tree−1] | 0.34 | −0.16 |
| Tree height [m] | 0.29 | 0.06 |
| D.b.h. [cm] | 0.28 | 0.12 |
| Total work time [h tree−1] | 0.20 | 0.56 |
| Biomass hourly productivity [t h−1] | 0.19 | −0.57 |
| Distance to the collection point [m] | −0.10 | 0.45 |
| Site difficulty | −0.28 | 0.20 |
| Yearly Tree Mortality | ||||||
|---|---|---|---|---|---|---|
| 0.5% | 1.0% | 1.5% | 2.0% | 2.5% | ||
| Pruning cycle years | 19 | 15,792 | 22,604 | 29,417 | 36,229 | 43,042 |
| 16 | 17,475 | 24,288 | 31,100 | 37,913 | 44,725 | |
| 13 | 19,936 | 26,749 | 33,561 | 40,373 | 47,186 | |
| 10 | 23,873 | 30,686 | 37,498 | 44,311 | 51,123 | |
| 7 | 31,185 | 37,997 | 44,810 | 51,622 | 58,435 | |
Publisher’s Note: MDPI stays neutral with regard to jurisdictional claims in published maps and institutional affiliations. |
© 2022 by the authors. Licensee MDPI, Basel, Switzerland. This article is an open access article distributed under the terms and conditions of the Creative Commons Attribution (CC BY) license (https://creativecommons.org/licenses/by/4.0/).
Share and Cite
Biocca, M.; Gallo, P.; Sperandio, G. Potential Availability of Wood Biomass from Urban Trees: Implications for the Sustainable Management of Maintenance Yards. Sustainability 2022, 14, 11226. https://doi.org/10.3390/su141811226
Biocca M, Gallo P, Sperandio G. Potential Availability of Wood Biomass from Urban Trees: Implications for the Sustainable Management of Maintenance Yards. Sustainability. 2022; 14(18):11226. https://doi.org/10.3390/su141811226
Chicago/Turabian StyleBiocca, Marcello, Pietro Gallo, and Giulio Sperandio. 2022. "Potential Availability of Wood Biomass from Urban Trees: Implications for the Sustainable Management of Maintenance Yards" Sustainability 14, no. 18: 11226. https://doi.org/10.3390/su141811226
APA StyleBiocca, M., Gallo, P., & Sperandio, G. (2022). Potential Availability of Wood Biomass from Urban Trees: Implications for the Sustainable Management of Maintenance Yards. Sustainability, 14(18), 11226. https://doi.org/10.3390/su141811226

