Influence of Pig Slurry Application Techniques on Soil CO2, N2O, and NH3 Emissions
Abstract
1. Introduction
2. Materials and Methods
2.1. Experimental Setup and Pig Slurry Application Techniques
2.2. Irrigation Strategies
2.3. CO2, N2O, and NH3 Emission Measurements
2.4. Soil Chemical Property Measurements
2.5. Nitrogen Leaching Measurements
2.6. Statistical Analysis
3. Results
3.1. GHG and NH3 Emissions of Soils
3.2. Environmental Drivers of Soil GHG and NH3 Emissions
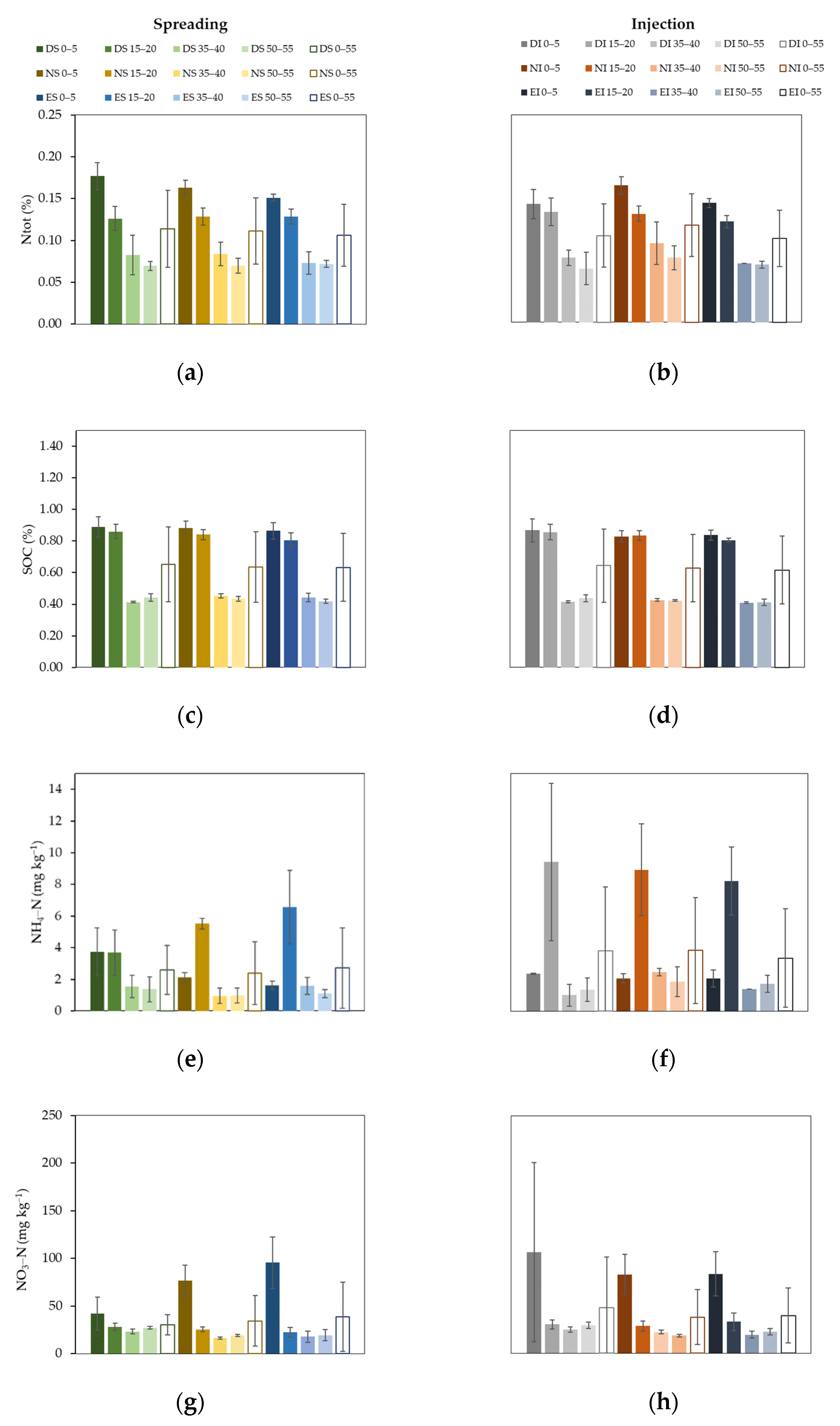
3.3. Soil Chemical Properties
3.4. Nitrogen Leaching from Soils
4. Discussion
4.1. GHG and NH3 Soil Emission Trends
4.2. Pig Slurry Application Techniques
4.3. Effect of Irrigation on Soil GHG and NH3 Emissions
4.4. Soil Chemical Property Changes at Different Depths
4.5. Proposed Techniques to Mitigate NH3 and GHG Emissions
5. Conclusions
Author Contributions
Funding
Institutional Review Board Statement
Informed Consent Statement
Data Availability Statement
Acknowledgments
Conflicts of Interest
References
- Ciais, P.; Sabine, C.; Bala, G.; Bopp, L.; Brovkin, V.; Canadell, J.; Chhabra, A.; DeFries, R.; Galloway, J.; Heimann, M.; et al. Carbon and Other Biogeochemical Cycles. In Climate Change 2013: The Physical Science Basis; Cambridge University Press: Cambridge, UK, 2013; pp. 465–570. [Google Scholar]
- Portmann, R.W.; Daniel, J.S.; Ravishankara, A.R. Stratospheric ozone depletion due to nitrous oxide: Influences of other gases. Philos. Trans. R. Soc. London Ser. B Biol. Sci. 2012, 367, 1256–1264. [Google Scholar] [CrossRef] [PubMed]
- Galloway, J.N.; Dentener, F.J.; Capone, D.G.; Boyer, E.W.; Howarth, R.W.; Seitzinger, S.P.; Asner, G.P.; Cleveland, C.C.; Green, P.A.; Holland, E.A.; et al. Nitrogen Cycles: Past, Present, and Future. Biogeochemistry 2004, 70, 153–226. [Google Scholar] [CrossRef]
- Buijsman, E.; Maas, H.F.M.; Asman, W.A.H. Anthropogenic NH3 emissions in europe. Atmos. Environ. 1987, 21, 1009–1022. [Google Scholar] [CrossRef]
- Guthrie, S.; Giles, S.; Dunkerley, F.; Tabaqchali, H.; Harshfield, A.; Ioppolo, B.; Manville, C. Impact of Ammonia Emissions from Agriculture on Biodiversity: An Evidence Synthesis; RAND Corporation: Santa Monica, CA, USA, 2018. [Google Scholar] [CrossRef]
- Martikainen Pertti, J. Nitrous Oxide Emission Associated with Autotrophic Ammonium Oxidation in Acid Coniferous Forest Soil. Appl. Environ. Microbiol. 1985, 50, 1519–1525. [Google Scholar] [CrossRef]
- Pumpanen, J.; Kolari, P.; Ilvesniemi, H.; Minkkinen, K.; Vesala, T.; Niinistö, S.; Lohila, A.; Larmola, T.; Morero, M.; Pihlatie, M.; et al. Comparison of different chamber techniques for measuring soil CO2 efflux. Agric. For. Meteorol. 2004, 123, 159–176. [Google Scholar] [CrossRef]
- Hensen, A.; Skiba, U.; Famulari, D. Low cost and state of the art methods to measure nitrous oxide emissions. Environ. Res. Lett. 2013, 8, 025022. [Google Scholar] [CrossRef]
- Scotto di Perta, E.; Fiorentino, N.; Carozzi, M.; Cervelli, E.; Pindozzi, S. A Review of Chamber and Micrometeorological Methods to Quantify NH3 Emissions from Fertilisers Field Application. Int. J. Agron. 2020, 2020, 8909784. [Google Scholar] [CrossRef]
- Heinemeyer, A.; McNamara, N.P. Comparing the closed static versus the closed dynamic chamber flux methodology: Implications for soil respiration studies. Plant Soil 2011, 346, 145–151. [Google Scholar] [CrossRef]
- Harmon, T.C.; Dierick, D.; Trahan, N.; Allen, M.F.; Rundel, P.W.; Oberbauer, S.F.; Schwendenmann, L.; Zelikova, T.J. Low-cost soil CO2 efflux and point concentration sensing systems for terrestrial ecology applications. Methods Ecol. Evol. 2015, 6, 1358–1362. [Google Scholar] [CrossRef]
- Diefenderfer, H.L.; Cullinan, V.I.; Borde, A.B.; Gunn, C.M.; Thom, R.M. High-frequency greenhouse gas flux measurement system detects winter storm surge effects on salt marsh. Glob. Chang. Biol. 2018, 24, 5961–5971. [Google Scholar] [CrossRef]
- Pedersen, J.M.; Feilberg, A.; Kamp, J.N.; Hafner, S.; Nyord, T. Ammonia emission measurement with an online wind tunnel system for evaluation of manure application techniques. Atmos. Environ. 2020, 230, 117562. [Google Scholar] [CrossRef]
- Jassal, R.S.; Black, T.A.; Nesic, Z.; Gaumont-Guay, D. Using automated non-steady-state chamber systems for making continuous long-term measurements of soil CO2 efflux in forest ecosystems. Agric. For. Meteorol. 2012, 161, 57–65. [Google Scholar] [CrossRef]
- Kroon, P.S.; Hensen, A.; van den Bulk, W.C.M.; Jongejan, P.A.C.; Vermeulen, A.T. The importance of reducing the systematic error due to non-linearity in N2O flux measurements by static chambers. Nutr. Cycl. Agroecosyst. 2008, 82, 175–186. [Google Scholar] [CrossRef]
- Meijide, A.; Díez, J.A.; Sánchez-Martín, L.; López-Fernández, S.; Vallejo, A. Nitrogen oxide emissions from an irrigated maize crop amended with treated pig slurries and composts in a Mediterranean climate. Agric. Ecosyst. Environ. 2007, 121, 383–394. [Google Scholar] [CrossRef]
- Verdi, L.; Mancini, M.; Ljubojevic, M.; Orlandini, S.; Marta, A. Greenhouse gas and ammonia emissions from soil: The effect of organic matter and fertilisation method. Ital. J. Agron. 2018, 11, 260–266. [Google Scholar] [CrossRef]
- Jiang, T.; Schuchardt, F.; Li, G.; Guo, R.; Zhao, Y. Effect of C/N ratio, aeration rate and moisture content on ammonia and greenhouse gas emission during the composting. J. Environ. Sci. 2011, 23, 1754–1760. [Google Scholar] [CrossRef]
- Aujeszky Pál, Á.K.; Bárdos Csilla, D.-B.N.; Fekete-Fábián Zsófia, F.L.; Halmi Erzsébet, P.Á.; Polgár Ágnes, S.Z.; Temesvári Tímea, V.N.; Zách, D. Környezeti helyzetkép, 2018; KSH-Hungarian Central Statistical Office: Budapest, Hungary, 2019; pp. 51–57.
- Zhang, B.; Tian, H.; Lu, C.; Dangal, S.R.S.; Yang, J.; Pan, S. Global manure nitrogen production and application in cropland during 1860–2014: A 5 arcmin gridded global dataset for Earth system modeling. Earth Syst. Sci. Data 2017, 9, 667–678. [Google Scholar] [CrossRef]
- Lourenzi, C.R.; Ceretta, C.A.; da Silva, L.S.; Trentin, G.; Girotto, E.; Lorensini, F.; Tiecher, T.L.; Brunetto, G. Soil Chemical Properties Related to Acidity Under Successive Pig Slurry Applications. Rev. Bras. Ciência Do Solo 2011, 35, 1827–1836. [Google Scholar] [CrossRef]
- Plaza, C.; Senesi, N.; García-Gil, J.C.; Brunetti, G.; D’Orazio, V.; Polo, A. Effects of Pig Slurry Application on Soils and Soil Humic Acids. J. Agric. Food Chem. 2002, 50, 4867–4874. [Google Scholar] [CrossRef]
- Chikuvire, T.J.; Muchaonyerwa, P.; Zengeni, R. Long-term effects of pig slurry application on selected soil quality parameters and tissue composition of maize in a subhumid subtropical environment. S. Afr. J. Plant Soil 2019, 36, 143–148. [Google Scholar] [CrossRef]
- Navroski, D.; Filho, A.C.; Barbosa, G.M.C.; Moreira, A. Soil attributes and microbial diversity on 28 years of continuous and interrupted for 12 months of pig slurry application. Chil. J. Agric. Res. 2021, 81, 27–38. [Google Scholar] [CrossRef]
- Rochette, P.; Angers, D.A.; Côté, D. Soil Carbon and Nitrogen Dynamics Following Application of Pig Slurry for the 19th Consecutive Year I. Carbon Dioxide Fluxes and Microbial Biomass Carbon. Soil Sci. Soc. Am. J. 2000, 64, 1389–1395. [Google Scholar] [CrossRef]
- Zhang, T.; Liu, H.; Luo, J.; Wang, H.; Zhai, L.; Geng, Y.; Zhang, Y.; Li, J.; Lei, Q.; Bashir, M.A.; et al. Long-term manure application increased greenhouse gas emissions but had no effect on ammonia volatilization in a Northern China upland field. Sci. Total Environ. 2018, 633, 230–239. [Google Scholar] [CrossRef] [PubMed]
- Cavanagh, A.; Gasser, M.O.; Labrecque, M. Pig slurry as fertilizer on willow plantation. Biomass Bioenergy 2011, 35, 4165–4173. [Google Scholar] [CrossRef]
- Mantovi, P.; Fumagalli, L.; Beretta, G.P.; Guermandi, M. Nitrate leaching through the unsaturated zone following pig slurry applications. J. Hydrol. 2006, 316, 195–212. [Google Scholar] [CrossRef]
- Camargo, J.A.; Alonso, Á. Ecological and toxicological effects of inorganic nitrogen pollution in aquatic ecosystems: A global assessment. Environ. Int. 2006, 32, 831–849. [Google Scholar] [CrossRef]
- Glibert, P.M. Eutrophication, harmful algae and biodiversity—Challenging paradigms in a world of complex nutrient changes. Mar. Pollut. Bull. 2017, 124, 591–606. [Google Scholar] [CrossRef]
- Wang, F.L.; Alva, A.K. Leaching of Nitrogen from Slow-Release Urea Sources in Sandy Soils. Soil Sci. Soc. Am. J. 1996, 60, 1454–1458. [Google Scholar] [CrossRef]
- Cervantes, F.J. Anthropogenic sources of N-pollutants and their impact on the environment and on public health. In Environmental Technologies to Treat Nitrogen Pollution; Fabio, B., Ed.; IWA Publishing: London, UK, 2009. [Google Scholar]
- Tian, D.; Niu, S. A global analysis of soil acidification caused by nitrogen addition. Environ. Res. Lett. 2015, 10, 024019. [Google Scholar] [CrossRef]
- Dennehy, C.; Lawlor, P.G.; Jiang, Y.; Gardiner, G.E.; Xie, S.; Nghiem, L.D.; Zhan, X. Greenhouse gas emissions from different pig manure management techniques: A critical analysis. Front. Environ. Sci. Eng. 2017, 11, 11. [Google Scholar] [CrossRef]
- Ferm, M.; Kasimir-Klemedtsson, Å.; Weslien, P.; Klemedtsson, L. Emission of NH3 and N2O after spreading of pig slurry by broadcasting or band spreading. Soil Use Manag. 1999, 15, 27–33. [Google Scholar] [CrossRef]
- Carozzi, M.; Ferrara, R.M.; Rana, G.; Acutis, M. Evaluation of mitigation strategies to reduce ammonia losses from slurry fertilisation on arable lands. Sci. Total Environ. 2013, 449, 126–133. [Google Scholar] [CrossRef] [PubMed]
- Misselbrook, T.; Smith, K.; Johnson, R.A.; Pain, B. Slurry application techniques to reduce ammonia emissions: Results of some UK field-scale experiments. Biosyst. Eng. 2002, 81, 313–321. [Google Scholar] [CrossRef]
- Severin, M.; Fuß, R.; Well, R.; Garlipp, F.; Van den Weghe, H. Soil, slurry and application effects on greenhouse gas emissions. Plant Soil Environ. 2016, 61, 344–351. [Google Scholar] [CrossRef]
- Sanz-Cobena, A.; Misselbrook, T.H.; Hernáiz, P.; Vallejo, A. Impact of rainfall to the effectiveness of pig slurry shallow injection method for NH3 mitigation in a Mediterranean soil. Atmos. Environ. 2019, 216, 116913. [Google Scholar] [CrossRef]
- Flessa, H.; Beese, F. Laboratory Estimates of Trace Gas Emissions following Surface Application and Injection of Cattle Slurry. J. Environ. Qual. 2000, 29, 262–268. [Google Scholar] [CrossRef]
- Comfort, S.D.; Kelling, K.A.; Keeney, D.R.; Converse, J.C. Nitrous Oxide Production from Injected Liquid Dairy Manure. Soil Sci. Soc. Am. J. 1990, 54, 421–427. [Google Scholar] [CrossRef]
- Lovanh, N.; Warren, J.; Sistani, K. Determination of ammonia and greenhouse gas emissions from land application of swine slurry: A comparison of three application methods. Bioresour. Technol. 2010, 101, 1662–1667. [Google Scholar] [CrossRef]
- Dencső, M.; Horel, Á.; Bogunovic, I.; Tóth, E. Effects of Environmental Drivers and Agricultural Management on Soil CO2 and N2O Emissions. Agronomy 2021, 11, 54. [Google Scholar] [CrossRef]
- Yuan, Z.; Pan, X.; Chen, T.; Liu, X.; Zhang, Y.; Jiang, S.; Sheng, H.; Zhang, L. Evaluating environmental impacts of pig slurry treatment technologies with a life-cycle perspective. J. Clean. Prod. 2018, 188, 840–850. [Google Scholar] [CrossRef]
- Rigolot, C.; Espagnol, S.; Robin, P.; Hassouna, M.; Béline, F.; Paillat, J.M.; Dourmad, J.Y. Modelling of manure production by pigs and NH3, N2O and CH4 emissions. Part II: Effect of animal housing, manure storage and treatment practices. Animal 2010, 4, 1413–1424. [Google Scholar] [CrossRef] [PubMed]
- Makó, A.; Ryżak, M.; Barna, G.; Polakowski, C.; Rajkai, K.; Bakacsi, Z.; Hernádi, H.; Beczek, M.; Sochan, A.; Mazur, R.; et al. Experiences of soil physical measurements with laser diffractometer and their application possibilities in soil water management research. Sci. Et Secur. 2022, 2, 476–490. [Google Scholar] [CrossRef]
- Kandel, T.P.; Gowda, P.H.; Northup, B.K. Influence of Tillage Systems, and Forms and Rates of Nitrogen Fertilizers on CO2 and N2O Fluxes from Winter Wheat Cultivation in Oklahoma. Agronomy 2020, 10, 320. [Google Scholar] [CrossRef]
- Christiansen, J.R.; Outhwaite, J.; Smukler, S.M. Comparison of CO2, CH4 and N2O soil-atmosphere exchange measured in static chambers with cavity ring-down spectroscopy and gas chromatography. Agric. For. Meteorol. 2015, 211–212, 48–57. [Google Scholar] [CrossRef]
- Pavelka, M.; Acosta, M.; Kiese, R.; Altimir, N.; Brümmer, C.; Crill, P.; Darenova, E.; Fuß, R.; Gielen, B.; Graf, A.; et al. Standardisation of chamber technique for CO2, N2O and CH4 fluxes measurements from terrestrial ecosystems. Int. Agrophys. 2018, 32, 569–587. [Google Scholar] [CrossRef]
- Akhtar, M.; Hussain, F.; Qureshi, T.M.; Ashraf, M.Y.; Akhter, J.; Haq, A. Rapid and Inexpensive Steam Distillation Method for Routine Analysis of Inorganic Nitrogen in Alkaline Calcareous Soils. Commun. Soil Sci. Plant Anal. 2011, 42, 920–931. [Google Scholar] [CrossRef]
- Jankauskas, B.; Jankauskiene, G.; Slepetiene, A.; Fullen, M.A.; Booth, C.A. International Comparison of Analytical Methods of Determining the Soil Organic Matter Content of Lithuanian Eutric Albeluvisols. Commun. Soil Sci. Plant Anal. 2006, 37, 707–720. [Google Scholar] [CrossRef]
- Zheng, D.; Hunt, E.; Running, S. A daily soil temperature model based on air temperature and precipitation for continental applications. Clim. Res. 1993, 2, 183–191. [Google Scholar] [CrossRef]
- Clemens, J.; Vandré, R.; Kaupenjohann, M.; Goldbach, H. Ammonia and Nitrous Oxide Emissions after Landspreading of Slurry as Influenced by Application Technique and Dry Matter-Reduction. II. Short Term Nitrous Oxide Emissions. Z. Für Pflanz. Und Bodenkd. 1997, 160, 491–496. [Google Scholar] [CrossRef]
- Wulf, S.; Maeting, M.; Clemens, J. Application technique and slurry co-fermentation effects on ammonia, nitrous oxide, and methane emissions after spreading: II. Greenhouse gas emissions. J. Environ. Qual. 2002, 31, 1795–1801. [Google Scholar] [CrossRef]
- Nguyen, Q.V.; Wu, D.; Kong, X.; Bol, R.; Petersen, S.O.; Jensen, L.S.; Liu, S.; Brüggemann, N.; Glud, R.N.; Larsen, M.; et al. Effects of cattle slurry and nitrification inhibitor application on spatial soil O2 dynamics and N2O production pathways. Soil Biol. Biochem. 2017, 114, 200–209. [Google Scholar] [CrossRef]
- Kong, D.; Liu, N.; Wang, W.; Akhtar, K.; Li, N.; Ren, G.; Feng, Y.; Yang, G. Soil respiration from fields under three crop rotation treatments and three straw retention treatments. PLoS ONE 2019, 14, e0219253. [Google Scholar] [CrossRef] [PubMed]
- Cui, P.; Fan, F.; Yin, C.; Song, A.; Huang, P.; Tang, Y.; Zhu, P.; Peng, C.; Li, T.; Wakelin, S.A.; et al. Long-term organic and inorganic fertilization alters temperature sensitivity of potential N2O emissions and associated microbes. Soil Biol. Biochem. 2016, 93, 131–141. [Google Scholar] [CrossRef]
- Wang, Y.; Zhu, Z.; Li, X.; Yang, J.; Liang, L.; Sui, Q.; Wang, B.; Dong, H. NH3, N2O, and NO emissions from digested pig slurry stored under different temperatures: Characteristics and microbial mechanisms. J. Clean. Prod. 2021, 319, 128560. [Google Scholar] [CrossRef]
- Guo, Y.; Ji, Y.; Zhang, J.; Liu, Q.; Han, J.; Zhang, L. Effects of water and nitrogen management on N2O emissions and NH3 volatilization from a vineyard in North China. Agric. Water Manag. 2022, 266, 107601. [Google Scholar] [CrossRef]
- Novak, S.M.; Fiorelli, J.L. Greenhouse gases and ammonia emissions from organic mixed crop-dairy systems: A critical review of mitigation options. Agron. Sustain. Dev. 2010, 30, 215–236. [Google Scholar] [CrossRef]
- Pedersen, J.; Feilberg, A.; Nyord, T. Effect of storage and field acidification on emissions of NH3, NMVOC, and odour from field applied slurry in winter conditions. J. Environ. Manag. 2022, 310, 114756. [Google Scholar] [CrossRef]
- Carozzi, M.; Ferrara, R.; Fumagalli, M.; Sanna, M.; Chiodini, M.; Perego, A.; Chierichetti, A.; Brenna, S.; Rana, G.; Acutis, M. Field-scale ammonia emissions from surface spreading of dairy slurry in Po Valley. Ital. J. Agrometorology 2012, 17, 25–34. [Google Scholar]
- Congreves, K.A.; Grant, B.B.; Dutta, B.; Smith, W.N.; Chantigny, M.H.; Rochette, P.; Desjardins, R.L. Predicting ammonia volatilization after field application of swine slurry: DNDC model development. Agric. Ecosyst. Environ. 2016, 219, 179–189. [Google Scholar] [CrossRef]
- Thomsen, I.K.; Pedersen, A.R.; Nyord, T.; Petersen, S.O. Effects of slurry pre-treatment and application technique on short-term N2O emissions as determined by a new non-linear approach. Agric. Ecosyst. Environ. 2010, 136, 227–235. [Google Scholar] [CrossRef]
- Webb, J.; Pain, B.; Bittman, S.; Morgan, J. The impacts of manure application methods on emissions of ammonia, nitrous oxide and on crop response—A review. Agric. Ecosyst. Environ. 2010, 137, 39–46. [Google Scholar] [CrossRef]
- Aita, C.; Gonzatto, R.; Miola, E.C.C.; dos Santos, D.B.; Rochette, P.; Angers, D.A.; Chantigny, M.H.; Pujol, S.B.; Giacomini, D.A.; Giacomini, S.J. Injection of Dicyandiamide-Treated Pig Slurry Reduced Ammonia Volatilization without Enhancing Soil Nitrous Oxide Emissions from No-Till Corn in Southern Brazil. J. Environ. Qual. 2014, 43, 789–800. [Google Scholar] [CrossRef] [PubMed]
- Duncan, E.W.; Dell, C.J.; Kleinman, P.J.A.; Beegle, D.B. Nitrous Oxide and Ammonia Emissions from Injected and Broadcast-Applied Dairy Slurry. J. Environ. Qual. 2017, 46, 36–44. [Google Scholar] [CrossRef] [PubMed]
- Aita, C.; Chantigny, M.H.; Gonzatto, R.; Miola, E.C.C.; Rochette, P.; Pujol, S.B.; dos Santos, D.B.; Giacomini, D.A.; Giacomini, S.J. Winter-Season Gaseous Nitrogen Emissions in Subtropical Climate: Impacts of Pig Slurry Injection and Nitrification Inhibitor. J. Environ. Qual. 2019, 48, 1414–1426. [Google Scholar] [CrossRef]
- Dittmer, K.M.; Darby, H.M.; Goeschel, T.R.; Adair, E.C. Benefits and tradeoffs of reduced tillage and manure application methods in a Zea mays silage system. J. Environ. Qual. 2020, 49, 1236–1250. [Google Scholar] [CrossRef]
- Emmerling, C.; Krein, A.; Junk, J. Meta-Analysis of Strategies to Reduce NH3 Emissions from Slurries in European Agriculture and Consequences for Greenhouse Gas Emissions. Agronomy 2020, 10, 1633. [Google Scholar] [CrossRef]
- Loyon, L.; Guiziou, F. Ammonia volatilization from different pig slurries applied on wheat stubble using different land spreading techniques under French conditions. Agric. Ecosyst. Environ. 2019, 280, 114–117. [Google Scholar] [CrossRef]
- Fangueiro, D.; Pereira, J.L.S.; Macedo, S.; Trindade, H.; Vasconcelos, E.; Coutinho, J. Surface application of acidified cattle slurry compared to slurry injection: Impact on NH3, N2O, CO2 and CH4 emissions and crop uptake. Geoderma 2017, 306, 160–166. [Google Scholar] [CrossRef]
- Furon, A.C.; Wagner-Riddle, C.; Smith, C.R.; Warland, J.S. Wavelet analysis of wintertime and spring thaw CO2 and N2O fluxes from agricultural fields. Agric. For. Meteorol. 2008, 148, 1305–1317. [Google Scholar] [CrossRef]
- Hursh, A.; Ballantyne, A.; Cooper, L.; Maneta, M.; Kimball, J.; Watts, J. The sensitivity of soil respiration to soil temperature, moisture, and carbon supply at the global scale. Glob. Chang. Biol. 2017, 23, 2090–2103. [Google Scholar] [CrossRef]
- Jena, J.; Ray, S.; Srichandan, H.; Das, A.; Das, T. Role of Microorganisms in Emission of Nitrous Oxide and Methane in Pulse Cultivated Soil Under Laboratory Incubation Condition. Indian J. Microbiol. 2013, 53, 92–99. [Google Scholar] [CrossRef] [PubMed][Green Version]
- Säurich, A.; Tiemeyer, B.; Dettmann, U.; Don, A. How do sand addition, soil moisture and nutrient status influence greenhouse gas fluxes from drained organic soils? Soil Biol. Biochem. 2019, 135, 71–84. [Google Scholar] [CrossRef]
- Bracken, C.J.; Lanigan, G.J.; Richards, K.G.; Müller, C.; Tracy, S.R.; Grant, J.; Krol, D.J.; Sheridan, H.; Lynch, M.B.; Grace, C.; et al. Sward composition and soil moisture conditions affect nitrous oxide emissions and soil nitrogen dynamics following urea-nitrogen application. Sci. Total Environ. 2020, 722, 137780. [Google Scholar] [CrossRef] [PubMed]
- Ball, B.C.; Scott, A.; Parker, J.P. Field N2O, CO2 and CH4 fluxes in relation to tillage, compaction and soil quality in Scotland. Soil Tillage Res. 1999, 53, 29–39. [Google Scholar] [CrossRef]
- Schwenke, G.D.; Herridge, D.F.; Scheer, C.; Rowlings, D.W.; Haigh, B.M.; McMullen, K.G. Greenhouse gas (N2O and CH4) fluxes under nitrogen-fertilised dryland wheat and barley on subtropical Vertosols: Risk, rainfall and alternatives. Soil Res. 2016, 54, 634–650. [Google Scholar] [CrossRef]
- Zheng, P.; Wang, D.; Yu, X.; Jia, G.; Liu, Z.; Wang, Y.; Zhang, Y. Effects of drought and rainfall events on soil autotrophic respiration and heterotrophic respiration. Agric. Ecosyst. Environ. 2021, 308, 107267. [Google Scholar] [CrossRef]
- Firestone, M.; Davidson, E. Microbiological Basis of NO and N2O Production and Consumption in Soil. Exch. Trace Gases Between Terr. Ecosyst. Atmos. 1989, 47, 7–21. [Google Scholar]
- Owens, J.; Clough, T.J.; Laubach, J.; Hunt, J.E.; Venterea, R.T.; Phillips, R.L. Nitrous Oxide Fluxes, Soil Oxygen, and Denitrification Potential of Urine- and Non-Urine-Treated Soil under Different Irrigation Frequencies. J. Environ. Qual. 2016, 45, 1169–1177. [Google Scholar] [CrossRef]
- Mumford, M.T.; Rowlings, D.W.; Scheer, C.; De Rosa, D.; Grace, P.R. Effect of irrigation scheduling on nitrous oxide emissions in intensively managed pastures. Agric. Ecosyst. Environ. 2019, 272, 126–134. [Google Scholar] [CrossRef]
- Sänger, A.; Geisseler, D.; Ludwig, B. Effects of rainfall pattern on carbon and nitrogen dynamics in soil amended with biogas slurry and composted cattle manure. J. Plant Nutr. Soil Sci. 2010, 173, 692–698. [Google Scholar] [CrossRef]
- Gu, C.; Riley, W.J. Combined effects of short term rainfall patterns and soil texture on soil nitrogen cycling—A modeling analysis. J. Contam. Hydrol. 2010, 112, 141–154. [Google Scholar] [CrossRef]
- Rochette, P.; van Bochove, E.; Prévost, D.; Angers, D.A.; Côté, D.; Bertrand, N. Soil Carbon and Nitrogen Dynamics Following Application of Pig Slurry for the 19th Consecutive Year II. Nitrous Oxide Fluxes and Mineral Nitrogen. Soil Sci. Soc. Am. J. 2000, 64, 1396–1403. [Google Scholar] [CrossRef]
- Daudén, A.; Quílez, D.; Vera, M.V. Pig Slurry Application and Irrigation Effects on Nitrate Leaching in Mediterranean Soil Lysimeters. J. Environ. Qual. 2004, 33, 2290–2295. [Google Scholar] [CrossRef] [PubMed]
- Waddell, J.T.; Gupta, S.C.; Moncrief, J.F.; Rosen, C.J.; Steele, D.D. Irrigation- and Nitrogen-Management Impacts on Nitrate Leaching under Potato. J. Environ. Qual. 2000, 29, 251–261. [Google Scholar] [CrossRef]
- Pang, X.P.; Letey, J.; Wu, L. Irrigation Quantity and Uniformity and Nitrogen Application Effects on Crop Yield and Nitrogen Leaching. Soil Sci. Soc. Am. J. 1997, 61, 257–261. [Google Scholar] [CrossRef]
- Vandré, R.; Clemens, J.; Goldbach, H.; Kaupenjohann, M. NH3 and N2O Emissions after Landspreading of Slurry as Influenced by Application Technique and Dry Matter-Reduction. I. NH3 Emissions. Z. Für Pflanz. Und Bodenkd. 1997, 160, 303–307. [Google Scholar] [CrossRef]
- Holly, M.A.; Larson, R.A.; Powell, J.M.; Ruark, M.D.; Aguirre-Villegas, H. Greenhouse gas and ammonia emissions from digested and separated dairy manure during storage and after land application. Agric. Ecosyst. Environ. 2017, 239, 410–419. [Google Scholar] [CrossRef]
- Cao, Y.; Wang, X.; Liu, L.; Velthof, G.L.; Misselbrook, T.; Bai, Z.; Ma, L. Acidification of manure reduces gaseous emissions and nutrient losses from subsequent composting process. J. Environ. Manag. 2020, 264, 110454. [Google Scholar] [CrossRef]



| Soil Layer | Ntot | NH4+-N | NO3−-N | SOC |
|---|---|---|---|---|
| % | mg kg−1 | mg kg−1 | % | |
| Upper layer (0–25 cm) | 0.128 | 3.20 | 19.09 | 0.74 |
| Lower layer (25–60 cm) | 0.064 | 2.20 | 7.98 | 0.41 |
| Soil Layer | Clay | Silt | Sand | Bulk Density | Porosity | VWC |
|---|---|---|---|---|---|---|
| % | % | % | g cm−3 | % | % | |
| Upper layer | 5.77 | 12.10 | 82.13 | 1.66 ± 0.05 | 37.5 ± 2.0 | 13.5 ± 2.3 |
| Lower layer | 6.73 | 11.57 | 81.70 | 1.67 ± 0.03 | 36.9 ± 1.5 | 13.9 ± 3.5 |
| Treatment | Irrigation Strategy | Application Technique |
|---|---|---|
| DS | Dry (0 mm) | Spreading (150 kg ha−1) |
| NS | Normal (15.9 mm) | Spreading (150 kg ha−1) |
| ES | Extreme (31.8 mm) | Spreading (150 kg ha−1) |
| DI | Dry (0 mm) | Injection (150 kg ha−1) |
| NI | Normal (15.9 mm) | Injection (150 kg ha−1) |
| EI | Extreme (31.8 mm) | Injection (150 kg ha−1) |
| Treatment | CO2 (mg m−2 s−1) | N2O (µg m−2 s−1) | NH3 (µg m−2 s−1) |
|---|---|---|---|
| DS | 0.254 ± 0.233 ab | 0.042 ± 0.072 a | 0.361 ± 0.349 a |
| NS | 0.109 ± 0.096 bc | 0.017 ± 0.024 ab | 0.042 ± 0.043 b |
| ES | 0.113 ± 0.095 abc | 0.008 ± 0.008 b | 0.031 ± 0.046 b |
| DI | 0.294 ± 0.235 a | 0.055 ± 0.105 ab | 0.008 ± 0.008 b |
| NI | 0.111 ± 0.138 bc | 0.009 ± 0.011 b | 0.012 ± 0.014 b |
| EI | 0.087 ± 0.130 c | 0.009 ± 0.016 b | 0.010 ± 0.012 b |
| Correlation of Soil Emissions with Ta | |||
|---|---|---|---|
| Treatment | CO2 | N2O | NH3 |
| DS | 0.63 * | 0.22 | 0.80 * |
| NS | 0.20 | 0.56 ** | 0.50 * |
| ES | 0.11 | 0.94 *** | 0.06 |
| DI | 0.81 *** | 0.41 | 0.60 * |
| NI | 0.03 | 0.47 | 0.42 |
| EI | 0.05 | 0.67 | 0.42 |
| Mean Leachate Chemistry | |||
|---|---|---|---|
| Treatment | NH4+ (mg L−1) | NO2− (mg L−1) | NO3− (mg L−1) |
| NS | 0.29 ± 0.09 a | 0.73 ± 1.65 ab | 347.45 ± 263.98 a |
| ES | 0.16 ± 0.11 b | 0.36 ± 0.32 a | 142.43 ± 102.41 b |
| NI | 0.15 ± 0.04 b | 0.13 ± 0.18 b | 279.38 ± 100.53 a |
| EI | 0.17 ± 0.08 b | 3.40 ± 5.58 a | 148.51 ± 150.43 ab |
Publisher’s Note: MDPI stays neutral with regard to jurisdictional claims in published maps and institutional affiliations. |
© 2022 by the authors. Licensee MDPI, Basel, Switzerland. This article is an open access article distributed under the terms and conditions of the Creative Commons Attribution (CC BY) license (https://creativecommons.org/licenses/by/4.0/).
Share and Cite
Tóth, E.; Dencső, M.; Horel, Á.; Pirkó, B.; Bakacsi, Z. Influence of Pig Slurry Application Techniques on Soil CO2, N2O, and NH3 Emissions. Sustainability 2022, 14, 11107. https://doi.org/10.3390/su141711107
Tóth E, Dencső M, Horel Á, Pirkó B, Bakacsi Z. Influence of Pig Slurry Application Techniques on Soil CO2, N2O, and NH3 Emissions. Sustainability. 2022; 14(17):11107. https://doi.org/10.3390/su141711107
Chicago/Turabian StyleTóth, Eszter, Márton Dencső, Ágota Horel, Béla Pirkó, and Zsófia Bakacsi. 2022. "Influence of Pig Slurry Application Techniques on Soil CO2, N2O, and NH3 Emissions" Sustainability 14, no. 17: 11107. https://doi.org/10.3390/su141711107
APA StyleTóth, E., Dencső, M., Horel, Á., Pirkó, B., & Bakacsi, Z. (2022). Influence of Pig Slurry Application Techniques on Soil CO2, N2O, and NH3 Emissions. Sustainability, 14(17), 11107. https://doi.org/10.3390/su141711107

