Cyclic Behaviour of Heat-Damaged Beam−Column Joints Modified with Nano-Silica, Nano-Titanium, and Nano-Alumina
Abstract
:1. Introduction
2. Material Properties
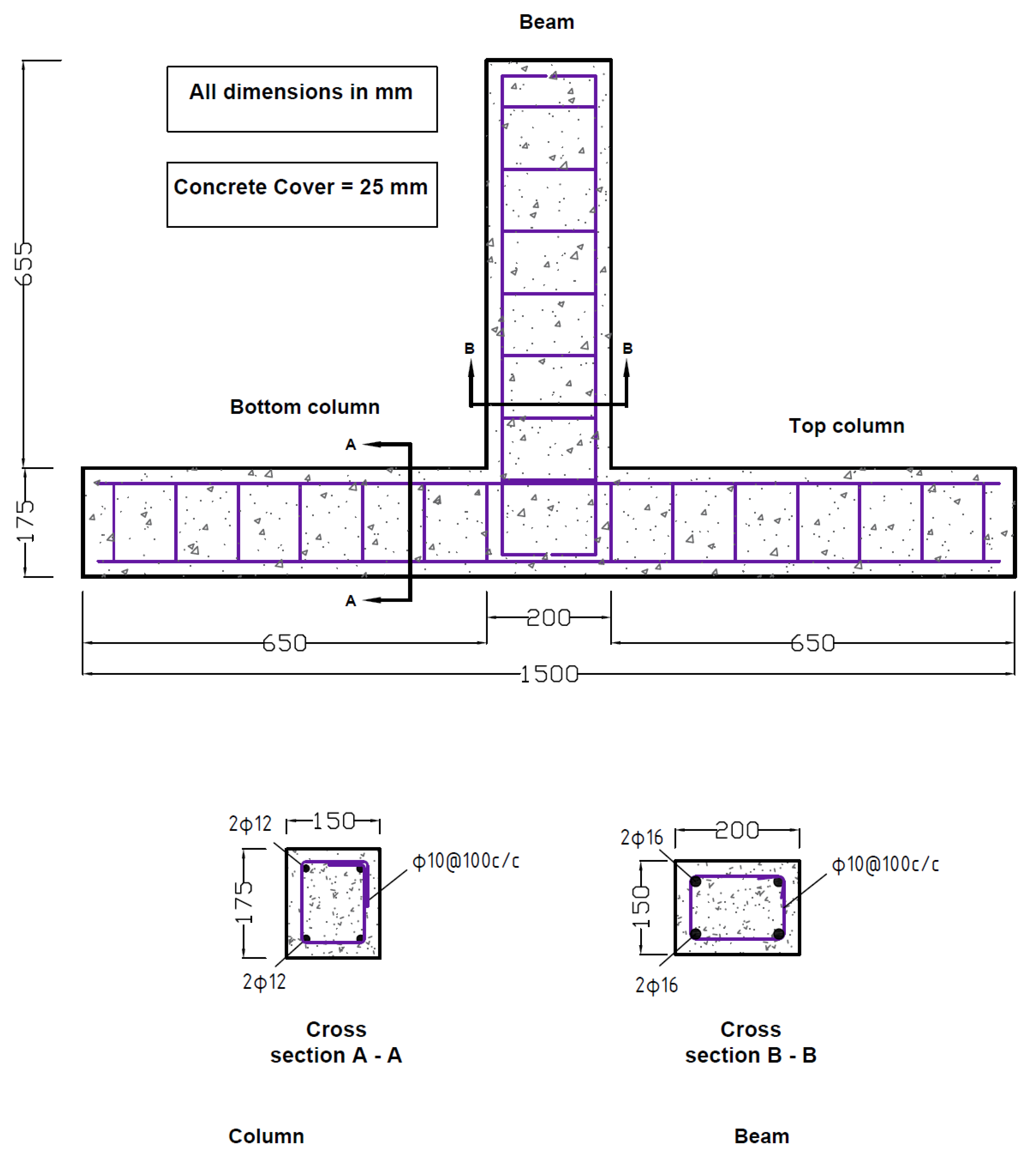
3. Specimen Details
3.1. Heat Application
3.2. Cyclic Load Application
3.3. Test Setup
4. Analytical Background
5. Finite Element Modeling
5.1. Material Constitutive Behavior
5.1.1. Concrete Model
5.1.2. Reinforcement Model
5.2. Temperature Effect
6. Test Results and Discussion
6.1. The Unheated Control Specimen
6.2. The Heated Control Specimen T1-C-H
6.3. Specimen N1-SI-AL
6.4. Specimen N2-SI-TI
6.5. Specimen N3-SI-TI-H
6.6. Specimen N4-SI-AL-H
7. Experimental and Numerical Behaviours
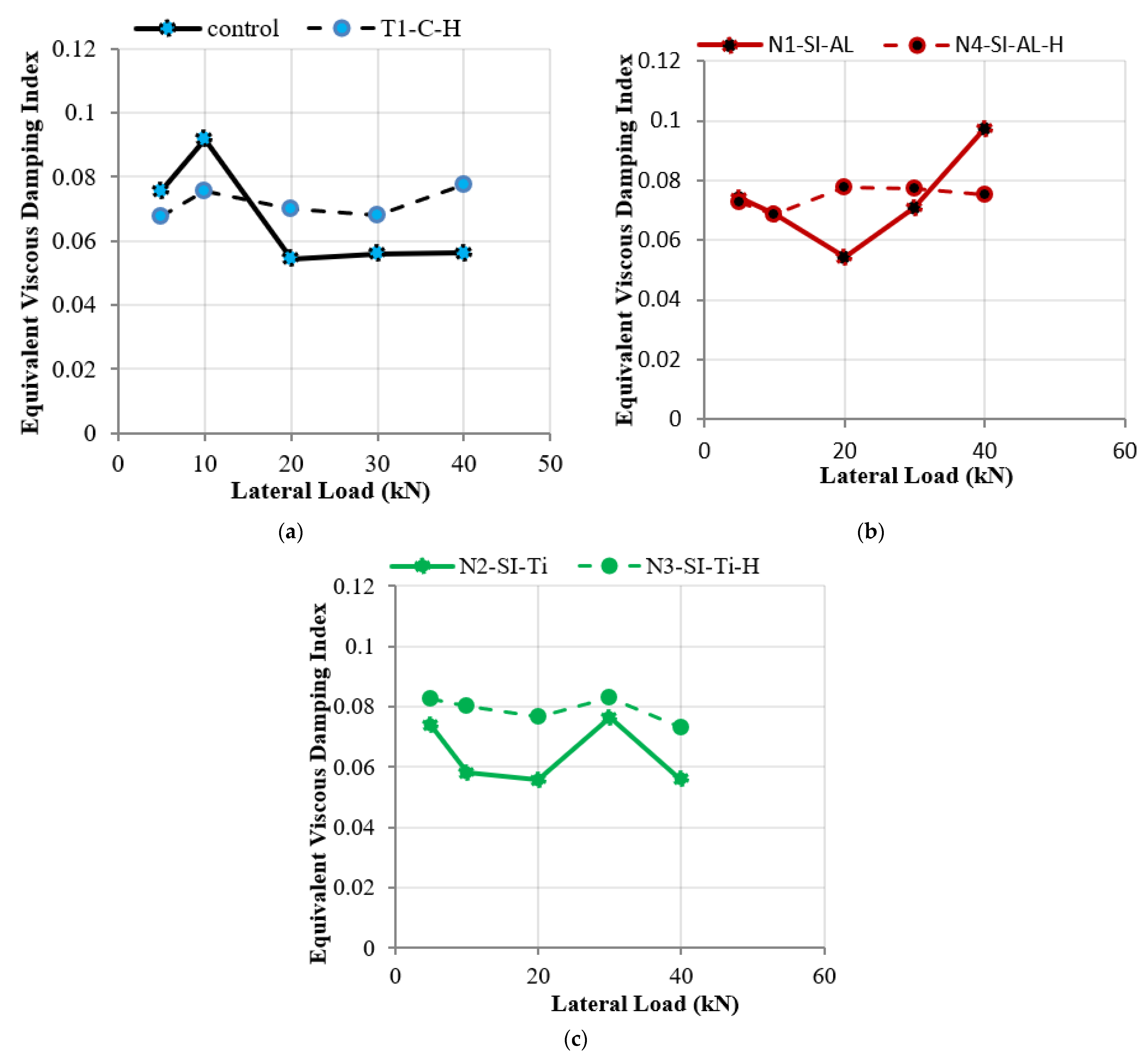
8. The Equivalent Viscous Damping Index
9. The Dissipated Energy
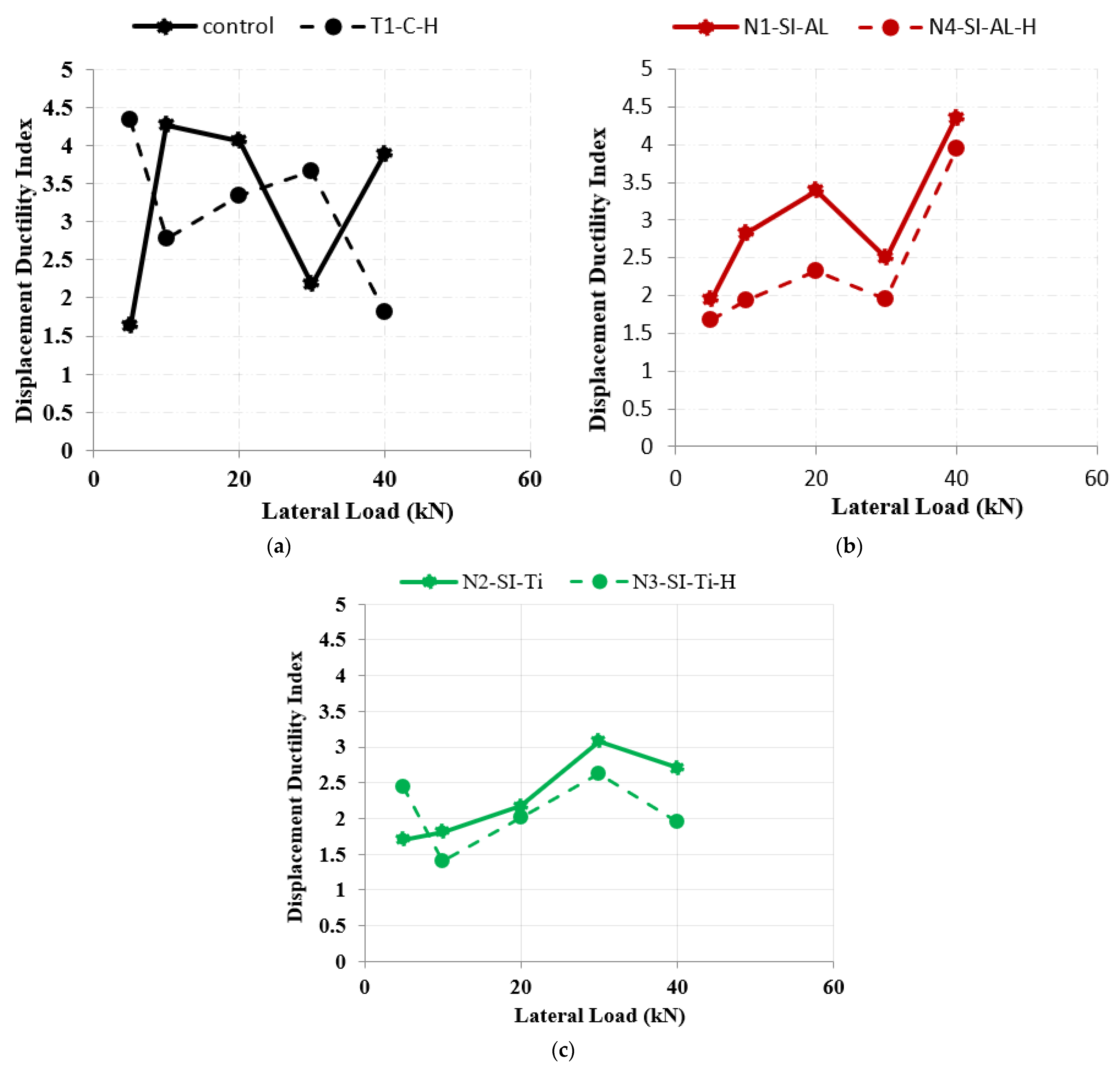
10. The Displacement Ductility Index
11. The Envelope Curves
12. Conclusions
- The replacement of cement with 2% nano-silica and nano-alumina or 2% nano-silica and nano-titanium is recommended to enhance RC joints’ behavior. It changed their mode of failure from brittle joint shear failure to a combined type of failure of the ductile beam hinge and joint shear.
- The replacement of cement with 2% nano-silica and nano-alumina increased the ductility up to 30%. The enhancement in the ductility resulted in a combined type of failure of the beam hinge and joint shear failure.
- The replacement of cement with 2% nano-silica and nano-titanium increased the initial stiffness and ductility of the joint specimen up to 25% and 13%, respectively.
- The replacement of cement with 2% nano-silica and nano-titanium or 2% nano-silica and nano-alumina changed the mode of failure from pure joint shear failure to a combined type of failure of the beam hinge and joint shear.
- The load carrying capacity of this specimen was not decreased by the addition of nano-silica and nano-titanium. However, the load carrying capacity of the joint specimens prepared from concrete modified with nano-silica and nano-alumina was reduced by 20%.
- Heat reduced the load carrying capacity, ductility, deflection, and initial stiffness of the test specimens by 20%, 34%, 27%, and 25% in the control specimens.
- The increment of the nanomaterials did not recover the load carrying capacity of the unheated control specimen. The load carrying of the heat-damaged and unheated joint specimens modified with 2% nano-silica and nano-alumina are the same, which indicates that concrete modified with nano-silica and nano-alumina has superior strength properties to that modified with nano-silica nano-titanium when subjected to heat.
- Heat reduced the ductility of the joint specimens, where the reduction was the least in the joint specimen modified with 2% nano-silica and nano-alumina, and the specimen failed with a combined failure mode of the ductile beam hinge and joint shear.
- ACI-440 guidelines underestimate the shear capacity of the RC joints modified with nanomaterials.
Author Contributions
Funding
Institutional Review Board Statement
Informed Consent Statement
Data Availability Statement
Conflicts of Interest
References
- Sanchez, F.; Sobolev, K. Nanotechnology in Concrete—A Review. Constr. Build. Mater. 2010, 24, 2060–2071. [Google Scholar] [CrossRef]
- Silva, J.V.; Ismael, R.; Carmo, R.N.F.; Lourenço, C.; Soldado, E.; Costa, H.; Júlio, E. Influence of Nano-SiO2 and Nano-Al2O3 Additions on the Shear Strength and the Bending Moment Capacity of RC Beams. Constr. Build. Mater. 2016, 123, 35–46. [Google Scholar] [CrossRef]
- Shekari, A.H.; Razzaghi, M.S. Influence of Nano Particles on Durability and Mechanical Properties of High Performance Concrete. Procedia Eng. 2011, 14, 3036–3041. [Google Scholar] [CrossRef]
- Atiq Orakzai, M. Hybrid Effect of Nano-Alumina and Nano-Titanium Dioxide on Mechanical Properties of Concrete. Case Stud. Constr. Mater. 2021, 14, e00483. [Google Scholar] [CrossRef]
- Rahman, I.; Dev, N. Nano Alumina Based High Strength Concrete. Int. J. Innov. Technol. Explor. Eng. 2020, 9, 2278–3075. [Google Scholar] [CrossRef]
- Zhan, B.J.; Xuan, D.X.; Poon, C.S. The Effect of Nanoalumina on Early Hydration and Mechanical Properties of Cement Pastes. Constr. Build. Mater. 2019, 202, 169–176. [Google Scholar] [CrossRef]
- Mustafa, T.S.; El Hariri, M.O.R.; Khalafalla, M.S.; Said, Y. Application of Nanosilica in Reinforced Concrete Beams. Struct. Build. 2021, 175, 363–372. [Google Scholar] [CrossRef]
- Elkady, H.M.; Yasien, A.M.; Elfeky, M.S.; Serag, M.E. Assessment of Mechanical Strength of Nano Silica Concrete (NSC) Subjected to Elevated Temperatures. J. Struct. Fire Eng. 2019, 10, 90–109. [Google Scholar] [CrossRef]
- Shyamala, G.; Kumarasamy, K.; Ramesh, S.; Kalaivani, M.; Pillalamarri, S.P. Influence of Nano-Silica in Beam-Column Joint Flextural Properties. IOP Conf. Ser. Mater. Sci. Eng. 2020, 872, 012169. [Google Scholar] [CrossRef]
- Kantarcı, F.; Maraş, M.M. Formulation of a Novel Nano TiO2-Modified Geopolymer Grout for Application in Damaged Beam-Column Joints. Constr. Build. Mater. 2022, 317, 125929. [Google Scholar] [CrossRef]
- Saha, P.; Prasad, M.L.V. The Influence of α-Fe2O3 Nanoparticles on the Reinforced Concrete Beam–Column Joint Under Cyclic Loading. Iran. J. Sci. Technol. Trans. Civ. Eng. 2022, 46, 2201–2216. [Google Scholar] [CrossRef]
- Murad, Y.; Abu-Haniyi, Y.; Alkaraki, A.; Hamadeh, Z. An Experimental Study on Cyclic Behaviour of Reinforced Concrete Connections Using Waste Materials as Cement Partial Replacement. Can. J. Civ. Eng. 2019, 46, 1–12. [Google Scholar] [CrossRef]
- Murad, Y.Z. Retrofitting Heat-Damaged Non-Ductile RC Beam-to-Column Joints Subjected to Cyclic and Axial Loading with FRCM Composites. J. Build. Eng. 2022, 48, 103952. [Google Scholar] [CrossRef]
- Murad, Y.Z.; Alseid, B.H. Retrofitting Interior RC Beam-to-Column Joints Subjected to Quasi-Static Loading Using NSM CFRP Ropes. Structures 2021, 34, 4158–4168. [Google Scholar] [CrossRef]
- Murad, Y.; Alseid, B. Poly-Lactic Acid and Carbon Fibers 3D Printed Bars for Seismic Retrofitting RC Beam-to-Column Joints Subjected to Elevated Temperature. Structures 2022, 43, 1530–1547. [Google Scholar] [CrossRef]
- ASTM C39/C39M-20; Standard Test Method for Compressive Strength of Cylindrical Concrete Specimens. American Society for Testing and Materials: West Conshohocken, PA, USA, 2020.
- ASTM A370-20; Standard Test Methods and Definitions for Mechanical Testing of Steel Products. American Society for Testing and Materials: West Conshohocken, PA, USA, 2020.
- ASTM E119-20; Fire Tests of Building Construction and Materials. American Society for Testing and Materials: West Conshohocken, PA, USA, 2020.
- ACI 374.1-05; Acceptance Criteria for Moment Frames Based on Structural Testing and Commentary. American Concrete Institute: Farmington Hills, MI, USA, 2005.
- ACI 318-19; Building Code Requirements for Structural Concrete (ACI 318-19) and Commentary. American Concrete Institute: Farmington Hills, MI, USA, 2019.
- ACI-352R-02; Recommendations for Design of Beam-Column Connections in Monolithic Reinforced Concrete Structures (ACI-352R-02). American Concrete Institute: Farmington Hills, MI, USA, 2002.
- Smith, M. Abaqus Analysis User’s Guide (6.14); Simulia: Providence, RI, USA, 2014. [Google Scholar]
- Lubliner, J.; Oliver, J.; Oller, S.; Oñate, E. A Plastic-Damage Model for Concrete. Int. J. Solids Struct. 1989, 25, 299–326. [Google Scholar] [CrossRef]
- Lee, J.; Fenves, G.L. Plastic-Damage Model for Cyclic Loading of Concrete Structures. J. Eng. Mech. 1998, 124, 892–900. [Google Scholar] [CrossRef]
- Park, Y.; Ang, A.H.-S. Mechanistic Seismic Damage Model for Reinforced Concrete. J. Struct. Eng. 1985, 111, 722–739. [Google Scholar] [CrossRef]
- Chopra, A. Dynamics of Structures: Theory and Applications to Earthquake Engineering; Prentice-Hall: Englewood Cliffs, NJ, USA, 1995. [Google Scholar]























| Mechanical Properties | Specimen 1 Unheated/Heated | Specimen 2 Unheated/Heated | Specimen 3 Unheated/Heated | Average Unheated/Heated |
|---|---|---|---|---|
| Cylindrical concrete compressive strength (Control) MPa | 18.4/5.3 | 17.9/4.8 | 17.7/4.9 | 18/5 |
| Cylindrical concrete compressive strength (Nano-silica and Nano-alumina) MPa | 16.6/7.5 | 17.3/8.5 | 17.1/8 | 17/8 |
| Cylindrical concrete compressive strength (Nano-silica and Nano-titanium) MPa | 20.3/9.3 | 20/9.1 | 19.7/8.6 | 20/9 |
| Reinforcement yield strength (Φ = 10 mm) (MPa) | 405/298 | 406/300 | 404/302 | 405/300 |
| Reinforcement ultimate strength (Φ = 10 mm) (MPa) | 597/471 | 593/477 | 601/465 | 597/471 |
| Reinforcement yield strength (Φ = 12 mm) (MPa) | 398/290 | 400/295 | 390/290 | 396/292 |
| Reinforcement ultimate strength (Φ = 12 mm) (MPa) | 587/461 | 583/456 | 550/420 | 573/446 |
| Reinforcement yield strength (Φ = 16 mm) (MPa) | 380/280 | 370/265 | 373/270 | 373/272 |
| Reinforcement ultimate strength (Φ = 16 mm) (MPa) | 495/370 | 485/367 | 520/370 | 500/369 |
| Specimen Title | Vc (kN) | Vn (kN) | Predicted Load (kN) | Experimental Load (kN) | Predicted Load/Experimental Load (%) |
|---|---|---|---|---|---|
| Control | 137.88 | 137.88 | 37.75 | 50.00 | 75 |
| T1-C-H | 72.86 | 72.86 | 25.18 | 40.00 | 63 |
| N1-SI-AL | 133.2 | 90.86 | 36.27 | 40.00 | 91 |
| N2-SI-TI | 144.80 | 144.80 | 39.45 | 50.00 | 79 |
| N3-SI-TI-H | 95.95 | 95.95 | 25.18 | 40.00 | 63 |
| N4-SI-AL-H | 90.86 | 90.86 | 26.42 | 40.00 | 66 |
| Specimen Title | Peak Load (kN) | Peak Displacement (mm) | Maximum Displacement (mm) | Initial Stiffness (kN/mm) | Ductility Index | Drift Ratio (%) | Joint Shear Strain (mm/mm) | Load at First Crack (kN) |
|---|---|---|---|---|---|---|---|---|
| Control | 50 | 21.5 | 34.9 | 2.9 | 2.0 | 4.6 | 0.05139 | 20 |
| T1-C-H | 40 | 16.8 | 25.6 | 2.2 | 1.3 | 3.4 | 0.02079 | 20 |
| N1-SI-AL | 40 | 26.7 | 27.2 | 3.2 | 2.6 | 3.6 | 0.09731 | 20 |
| N2-SI-TI | 50 | 21.0 | 25.5 | 3.6 | 2.2 | 3.4 | 0.06683 | 20 |
| N3-SI-TI-H | 40 | 21.7 | 21.7 | 2.5 | 1.8 | 2.9 | 0.04542 | 20 |
| N4-SI-AL-H | 40 | 28.9 | 31.9 | 2.1 | 2.3 | 4.3 | 0.03936 | 20 |
| Specimen Title | Peak Load (%) | Peak Displacement (%) | Maximum Displacement (%) | Initial Stiffness (%) | Ductility Index (%) | Drift Ratio (%) | Joint Shear Strain (%) | Type of Failure |
|---|---|---|---|---|---|---|---|---|
| Control | 0.0 | 0.0 | 0.0 | 0.0 | 0.0 | 0.0 | 0 | Joint shear |
| T1-C-H | −20 | −22.1 | −26.6 | −24.7 | −33.7 | −26.6 | −59 | Joint shear |
| N1-SI-AL | −20 | 24.1 | −22.1 | 8.9 | 30.4 | −22.1 | 89.4 | Joint shear & Beam hinge |
| N2-SI-TI | 0 | −2.3 | −26.9 | 25.4 | 13.3 | −26.9 | 30 | Joint shear & Beam hinge |
| N3-SI-TI-H | −20 | 0.9 | −37.8 | −14.1 | −7.3 | −37.8 | −11.6 | Joint shear & Beam hinge |
| N4-SI-AL-H | −20 | 34.4 | −8.5 | −26.9 | 15.9 | −8.5 | −23.4 | Joint shear & Beam hinge |
Publisher’s Note: MDPI stays neutral with regard to jurisdictional claims in published maps and institutional affiliations. |
© 2022 by the authors. Licensee MDPI, Basel, Switzerland. This article is an open access article distributed under the terms and conditions of the Creative Commons Attribution (CC BY) license (https://creativecommons.org/licenses/by/4.0/).
Share and Cite
Murad, Y.Z.; Aljaafreh, A.J.; AlMashaqbeh, A.; Alfaouri, Q.T. Cyclic Behaviour of Heat-Damaged Beam−Column Joints Modified with Nano-Silica, Nano-Titanium, and Nano-Alumina. Sustainability 2022, 14, 10916. https://doi.org/10.3390/su141710916
Murad YZ, Aljaafreh AJ, AlMashaqbeh A, Alfaouri QT. Cyclic Behaviour of Heat-Damaged Beam−Column Joints Modified with Nano-Silica, Nano-Titanium, and Nano-Alumina. Sustainability. 2022; 14(17):10916. https://doi.org/10.3390/su141710916
Chicago/Turabian StyleMurad, Yasmin Zuhair, Ahmad J. Aljaafreh, Ayoub AlMashaqbeh, and Qusai T. Alfaouri. 2022. "Cyclic Behaviour of Heat-Damaged Beam−Column Joints Modified with Nano-Silica, Nano-Titanium, and Nano-Alumina" Sustainability 14, no. 17: 10916. https://doi.org/10.3390/su141710916
APA StyleMurad, Y. Z., Aljaafreh, A. J., AlMashaqbeh, A., & Alfaouri, Q. T. (2022). Cyclic Behaviour of Heat-Damaged Beam−Column Joints Modified with Nano-Silica, Nano-Titanium, and Nano-Alumina. Sustainability, 14(17), 10916. https://doi.org/10.3390/su141710916

