Temporal and Spatial Variation of Vegetation in Net Primary Productivity of the Shendong Coal Mining Area, Inner Mongolia Autonomous Region
Abstract
:1. Introduction
2. Materials and Methods
2.1. Study Area
2.2. Data Sources
2.2.1. Remote Sensing Data
2.2.2. Measured NPP Data
2.2.3. Meteorological Data
2.2.4. Other Data
2.3. Methods
2.3.1. Optical Energy Utilization Model (CASA Model)
2.3.2. Theil–Sen Median Trend Analysis with the Mann–Kendall Non-Parametric Test
2.3.3. Partial Correlation Analysis
2.3.4. Residual Analysis of Multiple Regression Results
2.3.5. Partial Least-Squares Regression Method (PLS)
3. Results
3.1. Model Validation
3.2. Spatiotemporal Distribution of NPP in the Shendong Mining Area
3.3. Meteorological Factors
3.4. Effects of Human Activity
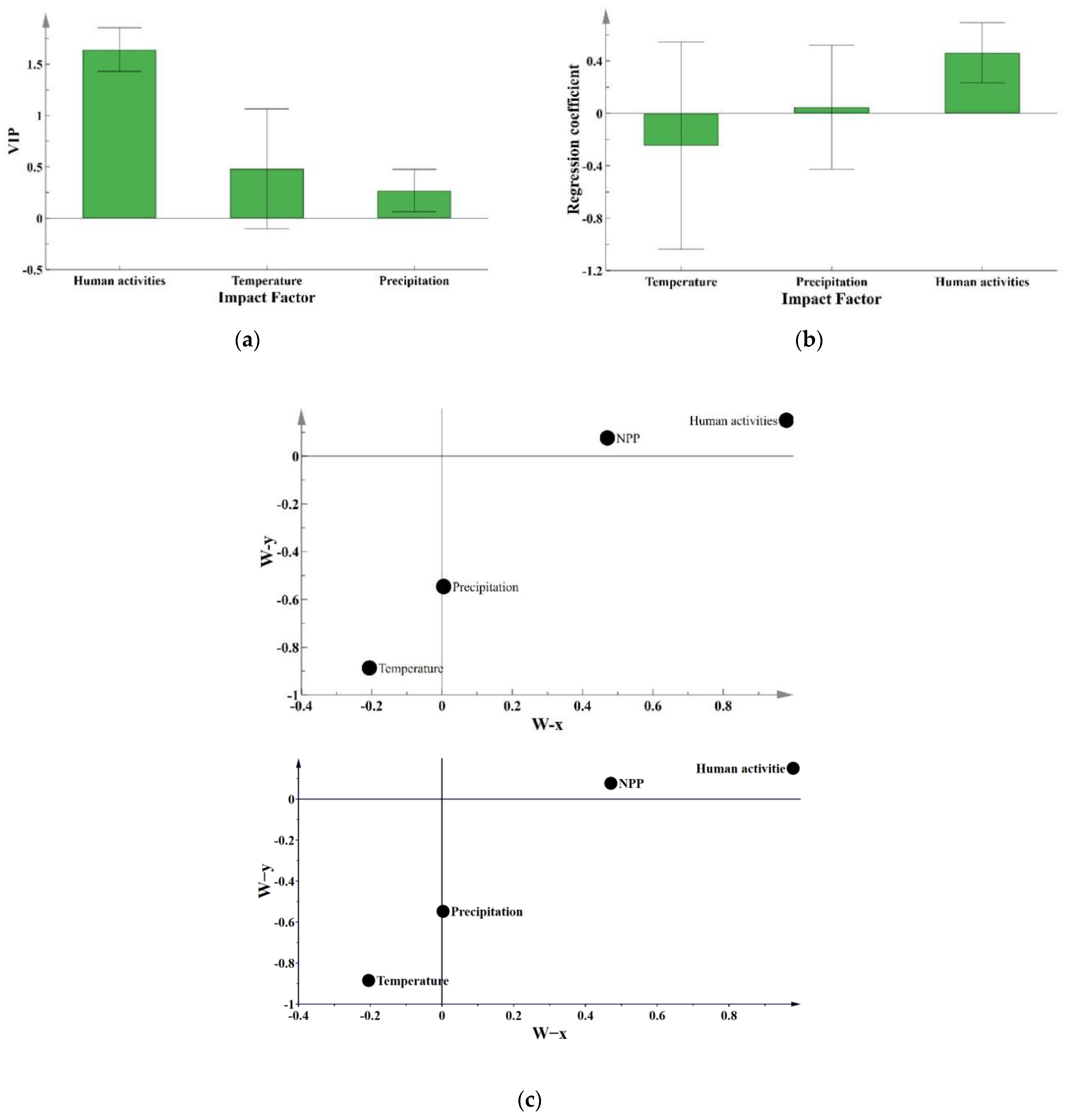
3.5. Double Impact Effects
4. Discussion
4.1. NPP Simulation Results
4.2. NPP Distribution and Influence Factor Response
5. Conclusions
- (1)
- From 2000 to 2019, the overall condition of the net primary productivity of vegetation in the study area showed a fluctuating upward trend. The multi-year average was 44.51 g C/m−2 a−1, and the trend rate was 1.06/a. The multi-year average trough year appeared in 2011, while the peak year appeared in 2018. Spatially, there is an increasing distribution from north to south. The variation trend has a large spatial heterogeneity, with the area with an increasing trend of vegetation NPP accounting for 21.54%, mainly distributed in the Dongsheng District, the Kangbashi District and the bordering areas of the Yijinhuoluo Banner; other areas showed a decreasing trend, the area of which accounted for 78.46%.
- (2)
- The change trend for vegetation NPP in the direct affected area and natural growth area over the years is basically consistent with the change in the overall vegetation NPP. Before 2009, the vegetation NPP in the area directly affected by coal mining was mostly smaller than that in the natural restoration area. After 2009, the vegetation NPP in the area directly affected by coal mining was mostly larger than that in the natural restoration area. This is related to the local mining situation and ecological restoration measures.
- (3)
- There are obvious spatial differences in the response relationship between NPP and each factor in the study area. The correlation between the two factors and vegetation NPP is both positive and negative as a whole. Among them, the precipitation is mainly positive, and the temperature is negative. The correlation between vegetation NPP and temperature in the study area was weaker than that of precipitation.
- (4)
- The overall influence of human activities on NPP in the study area showed an increasing trend, with a tendency rate of 0.53/a. There are differences in the performance of human activity intensity in different years during the study period. Since 2011, the impact of human activities on NPP in the study area has been relatively strong. The overall impact of human activities on the net primary productivity of vegetation in the study area showed a decreasing distribution trend toward the central and northeastern regions.
- (5)
- NPP changes in the study area are affected by both climate change and human activities. Human activities have a more significant contribution to the change in vegetation NPP than climate. The explanatory power of the influencing factors for the change in vegetation cover is ranked as follows: human activity > air temperature > precipitation.
Author Contributions
Funding
Institutional Review Board Statement
Informed Consent Statement
Data Availability Statement
Conflicts of Interest
References
- Fang, Y.; Zhang, W.Y.; Cao, J.W.; Zhu, W.L. Analysis on the current situation and development trend of energy resources in china. Conserv. Util. Miner. Resour. 2018, 4, 34–42, 47. [Google Scholar] [CrossRef]
- Jiang, Z.M. Reflections on energy issues in china. J. Shanghai Jiaotong Univ. 2008, 3, 345–359. [Google Scholar] [CrossRef]
- Yao, G.Z. Effect of Coal Mining Subsidence on Ecological Environment and Recovery Technique. Doctoral Thesis, Beijing Forestry University, Beijing, China, 2012. [Google Scholar]
- Xiao, W.; Zhang, W.K. Spatio-temporal patterns of ecological capital under different mining intensities in an ecologically fragile mining area in Western China:A case study of Shenfu mining area. J. Nat. Resour. 2019, 35, 68–81. [Google Scholar] [CrossRef]
- Wang, F.; Song, Y.X.; Wang, W.G. The Empirical Study on Regional Economic Disparities and Evolution in Inner Mongolia. Econ. Geogr. 2012, 32, 1–7. [Google Scholar] [CrossRef]
- Li, C.Y.; Cui, X.M.; Guo, Z.Z.; Yuan, D.B.; Hu, Q.F. Distribution of mining fissures induced fully mechanized caving mining and analysis on their evolvement characteristics. Min. Saf. Environ. Prot. 2009, 36, 65–68+91. [Google Scholar] [CrossRef]
- Li, W.; Chen, L.Q.; Zhou, T.J.; Zhang, K.; Li, L. Research progress of soil quality in china mining subsidence area. Coal Sci. Technol. 2011, 39, 125–128. [Google Scholar]
- Ge, W.; Deng, L.; Wang, F.; Han, J. Quantifying the contributions of human activities and climate change to vegetation net primary productivity dynamics in China from 2001 to 2016. Sci. Total Environ. 2021, 773, 145648. [Google Scholar] [CrossRef]
- Fan, Y.J.; Hou, X.Y.; Shi, H.X.; Shi, S.L. Efffect of carbon cycling in grassland ecosystems on climate warming. Acta Prataculturae Sin. 2012, 3, 294–302. [Google Scholar] [CrossRef]
- Zhu, W.Q.; Chen, Y.H.; Xu, D.; Li, J. Advances in terrestrial net primary productivity estimation models. Chin. J. Ecol. 2005, 3, 296–300. [Google Scholar] [CrossRef]
- Zhou, G.S.; Zhang, X.S. Model of net primary productivity of natural vegetation. Chin. J. Plant Ecol. 1995, 19, 193–200. [Google Scholar]
- Field, C.B.; Randerson, J.T.; Malmström, C.M. Global net primary production: Combining ecology and remote sensing. Remote Sens. Environ. 1995, 51, 74–88. [Google Scholar] [CrossRef]
- Wang, Z.M.; Liang, Y.L. Progress in Vegetation Net Primary Productivity Model Research. J. Northwest For. Univ. 2002, 17, 22–25. [Google Scholar] [CrossRef]
- Li, C.H.; Zhu, T.B.; Zhou, M.; Yin, H.H.; Wang, Y.T.; Sun, H.; Cao, H.J.; Han, H.Y. Temporal and spatial change of net primary productivity of vegetation and its determinants in hexi corridor. Acta Ecol. Sin. 2021, 5, 1–13. [Google Scholar] [CrossRef]
- Fyllas, N.M.; Bentley, L.P.; Shenkin, A.; Asner, G.P.; Atkin, O.K.; Diaz, S. Solar radiation and functional traits explain the decline of forest primary productivity along a tropical elevation gradient. Ecol. Lett. 2017, 20, 730–740. [Google Scholar] [CrossRef] [PubMed]
- Potter, C.S.; Randerson, J.T.; Field, C.B.; Matson, P.A.; Vitousek, P.M.; Mooney, H.A. Terrestrial ecosystem production: A process model based on global satellite and surface data. Glob. Biogeochem. Cycles 1993, 7, 811–841. [Google Scholar] [CrossRef]
- Zhang, R.P.; Guo, J.; Zhang, Y.L. Spatial distribution pattern of NPP of Xinjiang grassland and its response to climatic changes. Acta Ecol. Sin. 2020, 40, 5318–5326. [Google Scholar] [CrossRef]
- Hao, C.Y.; Yang, Z.R. Net primary production and its spatial-temporal in Lu’an mining area based on MODIS data. J. China Coal Soc. 2011, 36, 1840–1844. [Google Scholar]
- Sun, Y.L.; Qian, S.; Yan, H.; Xu, L.L.; Wang, Y.; Cao, Y. Spatial-temporal dynamics of vegetation ecosystem in typical coal mining area of Yunnan province during 2000–2018: A Case Study in Lincang. Ecol. Environ. Sci. 2019, 28, 2381–2389. [Google Scholar]
- Kishore, K.S.; Ranjan, S.S.; Kumar, M.S. Assessment of the capability of remote sensing and GIS techniques for monitoring reclamation success in coal mine degraded lands. J. Environ. Manag. 2016, 182, 272–283. [Google Scholar] [CrossRef]
- Wang, X.; Ding, J.W.; Tan, K.; Li, H.D. Spatio-Temporal variation of net primary productivity of vegetation in mining areas of Yuxian and its affecting factors. J. Ecol. Rural Environ. 2016, 32, 187–194. [Google Scholar] [CrossRef]
- Kang, S.R.L.; Niu, J.M.; Zhang, Q.; Han, Y.J.; Dong, J.J.; Zhang, J. Impacts of mining on landscape pattern and primary productivity in the grassland of Inner Mongolia: A case study of Heidaigou open pit coal mining. Acta Ecol. Sin. 2014, 11, 2855–2867. [Google Scholar] [CrossRef]
- Shao, T.Y.; Bao, S.Q.; He, S. Spatial and temporal evolution characteristics of surface water in Shendong Mining Area based on TVDI. J. Northwest A F Univ. (Nat. Sci. Ed.) 2022, 1–12. [Google Scholar] [CrossRef]
- Zhao, M.S.; Heinsch, F.A.; Nemani, R.R.; Running, S.W. Improvements of the MODIS terrestrial gross and net primary production global data set. Remote Sens. Environ. 2005, 95, 164–176. [Google Scholar] [CrossRef]
- Han, B.H.; Zhou, B.R.; Yan, Y.Q. Analysis of Vegetation Coverage Change and Its Driving Factors over Tibetan Plateau From 2000 to 2008. Acta Agrestia Sin. 2019, 27, 1651–1658. [Google Scholar] [CrossRef]
- Fan, W.Y.; Zhang, H.Y. Comparison of three models of forest biomass estimation. Chin. J. Plant Ecol. 2011, 35, 402–410. [Google Scholar] [CrossRef]
- Guang, X.; Bao, Z.C. Generating a series of land covers by assimilating the existing land cover maps. ISPRS J. Photogramm. Remote Sens. 2019, 147, 206–214. [Google Scholar] [CrossRef]
- Zhu, W.Q.; Pan, Y.Z.; Zhang, J.S. Estimation Of net primary productivity of chinese terrestrial vegetation based on remote sensing. Chin. J. Plant Ecol. 2007, 03, 413–424. [Google Scholar] [CrossRef]
- Zhang, Z.Q.; Liu, H.; Zuo, Q.T.; Yu, J.T.; Li, Y. Spatiotemporal change of fractional vegetation cover in the Yellow River Basin during 2000–2019. Resour. Sci. 2021, 4, 849–858. [Google Scholar] [CrossRef]
- Mike, H.; Elaine, M.B.; Nigel, W.A.; Paula, A.H.; Timothy, C.J.; Thomas, E.D. Relative impacts of human-induced climate change and natural climate variability. Nat. Int. Wkly. J. Sci. 1999, 397, 688–691. [Google Scholar] [CrossRef]
- Hao, W.; Liu, G.H.; Li, Z.S.; Xin, Y.E.; Fu, B.J.; Lv, Y.H. Impacts of Drought and Human Activity on Vegetation Growth in the Grain for Green Program Region, China. Chin. Geogr. Sci. 2018, 28, 470–481. [Google Scholar] [CrossRef]
- Deng, C.H.; Bai, H.Y.; Gao, S.; Liu, R.J.; Ma, X.P.; Huang, X.Y. Spatial-temporal variation of the vegetation coverage in qinling mountains and its dual response to climate change and human activities. J. Nat. Resour. 2018, 03, 425–438. [Google Scholar] [CrossRef]
- Wang, H.W.; Zhang, Q. Identification of optimal subspace from PLS regression. J. Beijing Univ. Aeronaut. Astronaut. 2000, 26, 473–476. [Google Scholar] [CrossRef]
- Perez-Enciso, M.; Tenenhaus, M. Prediction of clinical outcome with microarray data: A partial least squares discriminant analysis (PLS-DA) approach. Hum. Genet. 2003, 112, 581–592. [Google Scholar] [CrossRef]
- Hou, M.T.; Hu, W.; Qiao, H.L.; Li, W.G.; Yan, X.D. Application of partial least squares (PLS) regression method in attribution of vegetation change in eastern china. J. Nat. Resour. 2015, 3, 409–422. [Google Scholar] [CrossRef]
- Mu, S.J.; Li, J.L.; Zhou, W.; Yang, H.F.; Zhang, C.B.; Ju, W.M. Spatial-temporal distribution of net primary productivity and its relationship with climate factors in Inner Mongolia from 2001 to 2010. Acta Ecol. Sin. 2013, 12, 3752–3764. [Google Scholar] [CrossRef]
- Zhu, W.Q.; Pan, Y.Z.; Long, Z.H.; Chen, Y.H.; Li, J.; Hu, H.B. Estimating net primary productivity of terrestrial vegetation based on GIS and RS: A case study in inner Mongolia, China. J. Remote Sens. 2005, 3, 300–307. [Google Scholar] [CrossRef]
- Xie, S.S.; Ma, C.; Tian, S.J.; Tian, J.G. NPP Changes and climate impact of Shendong coalfield from 2000 to 2010. J. Geomat. Sci. Technol. 2015, 1, 47–51. [Google Scholar] [CrossRef]
- Jin, K.; Wang, F.; Han, J.Q.; Shi, S.Y.; Ding, W.B. Contribution of climatic change and human activities to vegetation NDVI change over china during 1982-2015. Acta Geogr. Sin. 2020, 5, 961–974. [Google Scholar]
- Jin, K.; Wang, F.; Yu, Q.; Gou, J.; Liu, H. Varied degrees of urbanization effects on observed surface air temperature trends in China. Clim. Res. 2018, 76, 131–143. [Google Scholar] [CrossRef]
- Li, J.; Liu, H.B.; Li, C.Y.; Li, L. Changes of green-up day of vegetation growing season based on GIMMS 3g NDVI in northern china in recent 30 years. Sci. Geogr. Sin. 2017, 4, 620–629. [Google Scholar] [CrossRef]
- Xin, Z.; Xu, J.; Zheng, W. Spatiotemporal variations of vegetation cover on the chinese loess plateau (1981–2006): Impacts of climate changes and human activities. Sci. China Ser. D-Earth Sci. 2008, 51, 67–78. [Google Scholar] [CrossRef]
- Yang, X.K. Coal enterprises are green. Economic Daily, 11 December 2021; p. 6. [Google Scholar] [CrossRef]
- Wang, A. Construction and benefits of integrated measures system for environment conservation in Shengdong diggings. Sci. Soil Water Conserv. 2007, 5, 83–87. [Google Scholar] [CrossRef]













Publisher’s Note: MDPI stays neutral with regard to jurisdictional claims in published maps and institutional affiliations. |
© 2022 by the authors. Licensee MDPI, Basel, Switzerland. This article is an open access article distributed under the terms and conditions of the Creative Commons Attribution (CC BY) license (https://creativecommons.org/licenses/by/4.0/).
Share and Cite
Ke, J.; Zhou, D.; Hai, C.; Yu, Y.; Jun, H.; Li, B. Temporal and Spatial Variation of Vegetation in Net Primary Productivity of the Shendong Coal Mining Area, Inner Mongolia Autonomous Region. Sustainability 2022, 14, 10883. https://doi.org/10.3390/su141710883
Ke J, Zhou D, Hai C, Yu Y, Jun H, Li B. Temporal and Spatial Variation of Vegetation in Net Primary Productivity of the Shendong Coal Mining Area, Inner Mongolia Autonomous Region. Sustainability. 2022; 14(17):10883. https://doi.org/10.3390/su141710883
Chicago/Turabian StyleKe, Jia, Dandan Zhou, Chunxing Hai, Yanhua Yu, Hao Jun, and Bingzi Li. 2022. "Temporal and Spatial Variation of Vegetation in Net Primary Productivity of the Shendong Coal Mining Area, Inner Mongolia Autonomous Region" Sustainability 14, no. 17: 10883. https://doi.org/10.3390/su141710883
APA StyleKe, J., Zhou, D., Hai, C., Yu, Y., Jun, H., & Li, B. (2022). Temporal and Spatial Variation of Vegetation in Net Primary Productivity of the Shendong Coal Mining Area, Inner Mongolia Autonomous Region. Sustainability, 14(17), 10883. https://doi.org/10.3390/su141710883

