Coordination of Retailer-Led Closed Loop Supply Chain Considering Corporate Social Responsibility
Abstract
:1. Introduction
2. Literature Review
3. Decision Analysis and Coordination Mechanism of Supply Chain Considering CSR
3.1. Basic Model
3.2. Decision Analysis of Closed-Loop Supply Chain without CSR
3.2.1. The Optimal Pricing Strategies without CSR under Decentralized Decisions (Model A)
3.2.2. The Optimal Pricing Strategies without CSR under Centralized Decision Making (Model B)
3.3. Decision Analysis of Closed-Loop Supply Chain with CSR
3.3.1. The Optimal Pricing Strategies with CSR under Decentralized Decision Making (Model C)
3.3.2. The Optimal Pricing Strategies with CSR under Centralized Decision Making (Model D)
3.3.3. Comparative Analysis under Different Decision Situations
3.4. A Coordination Mechanism
4. Numerical Illustration
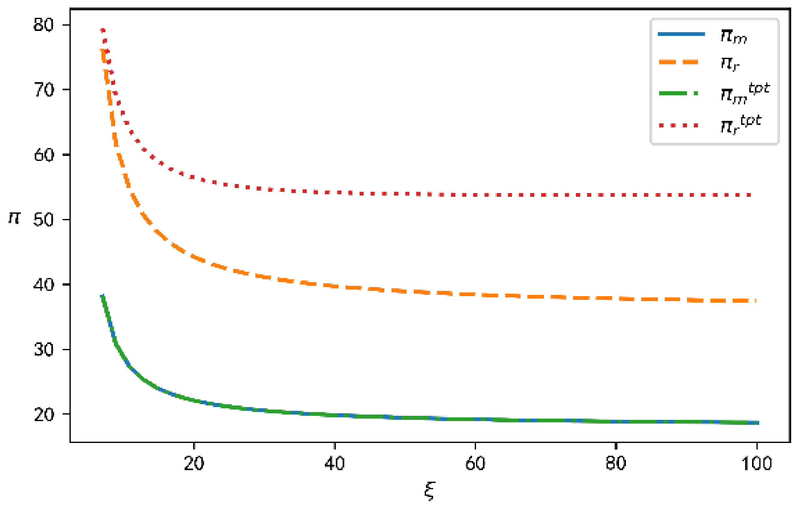
4.1. The Influence of Enterprise Recovery Scale Parameter on Various Variables
4.2. The Influence of CSR Cost Coefficient on Various Variables
4.3. Coordination Result Analysis
5. Conclusions
- (1)
- CSR input can promote the overall development of a closed-loop supply chain. The product recovery rate, product pricing, CSR, consumer product demand and other aspects have been strengthened, and the overall revenue has been improved. However, the investment in CSR must be within a certain range, that is, the investment in CSR should be moderate, in line with the development of the enterprise itself, in order to play a greater effect. Too little or too much CSR investment cannot greatly promote the development of a closed-loop supply chain.
- (2)
- With a slow increase in CSR cost, the equilibrium price, CSR input level, recovery rate and wholesale price of the closed-loop supply chain all decrease. However, with a gradual increase in the equilibrium price of the closed-loop supply chain, the CSR input level, the recovery rate and the wholesale price of products will all stabilize around a value and will not change. In summary, CSR input in a closed-loop supply chain cannot always improve consumer surplus and environmental performance, or social welfare. The optional decisions will be realized when they happen to be within an appropriate range.
- (3)
- The proposed pricing coordination mechanism can improve the profits of the manufacturer, retailer and the whole closed-loop supply chain, and make the decision level reach or approach to the best level under centralized decision making. The above conclusions indicate that in the daily operation of enterprises, it is necessary to strengthen the cooperation between upstream and downstream and share information, and at the same time, appropriately consider the implementation of CSR in the daily operation of the company. Secondly, in the daily operation of the supply chain, considering the retailer as the leader is conducive to obtaining the demand of the market, consumers and customers, and is conducive to timely communication with the manufacturer, so as to promote an increase in enterprise efficiency and income.
Author Contributions
Funding
Data Availability Statement
Acknowledgments
Conflicts of Interest
References
- Becker-Olsen, K.L.; Cudmore, B.A.; Hill, R.P. The impact of perceived corporate social responsibility on consumer behavior. J. Bus. Res. 2006, 59, 46–53. [Google Scholar] [CrossRef]
- Korschun, D.; Bhattacharya, C.B.; Swain, S.D. Corporate social responsibility, consumer orientation, and the job performance of frontline employees. J. Mark. 2014, 78, 20–37. [Google Scholar] [CrossRef]
- Huang, W.; Chen, Z. Foreign Investment Entry, Supply Chain Pressure and CSR in China. Manag. World 2015, 2, 91–132. [Google Scholar]
- Ni, D.B.; Li, K.W. A game-theoretic analysis of social responsibility conduct in two-echelon supply chains. Int. J. Prod. Econ. 2012, 138, 303–313. [Google Scholar] [CrossRef]
- Liang, Y.S.; Ni, D.B.; Tang, X.W. Corporate social responsibility based model on dual-channel competition in supply chains. Chin. J. Manag. Sci. 2013, 21, 453–460. [Google Scholar]
- Ma, P.; Shang, J.; Wang, H.Y. Enhancing corporate social responsibility: Contract design under information asymmetry. Omega 2017, 67, 19–30. [Google Scholar] [CrossRef]
- Yao, W.X. To study atomic models for closed-loop supply chain in E-Commerce. Manag. Sci. Chin. 2003, 16, 65–68. [Google Scholar]
- Hong, I.; Yeh, J.S. Modeling closed-loop supply chains in the electronics industry: A retailer collecting application. Transp. Res. E Logist. Transp. Rev. 2012, 48, 817–829. [Google Scholar] [CrossRef]
- Huang, M.; Song, M.; Lee, L.H.; Ching, W.K. Analysis for strategy of closed-loop supply chain with dual recycling channel. Int. J. Prod. Econ. 2013, 144, 510–520. [Google Scholar] [CrossRef]
- Savaskan, R.C.; Wassenhove, V.L.N. Reverse channel design: The case of competing retailers. Manag. Sci. 2006, 52, 1–14. [Google Scholar] [CrossRef]
- Wang, W.B.; Da, Q.L. The decision and coordination under the premium and penalty mechanism for closed-loop supply chain. Chin. J. Manag. Sci. 2011, 19, 36–41. [Google Scholar] [CrossRef]
- Ding, X.F.; Dan, B.; Zhang, X.M.; Guo, G. Research on channel efficiency of closed-loop supply chains under finite capacity. Comp. Int. Manuf. Syst. 2010, 16, 149–154. [Google Scholar]
- Wang, Y.Y. The closed-loop supply chain models analysis based on dual channel taking-back under government intervention. Oper. Res. Manag. Sci. 2012, 21, 250–255. [Google Scholar]
- Ge, J.Y.; Huang, P.Q. Price decision analysis for closed-loop supply chain based on game theory. J. Syst. Eng. 2008, 23, 111–115. [Google Scholar]
- Hosseini-Motlagh, S.M.; Ebrahimi, S.; Zirakpourdehkordi, R. Coordination of dual-function acquisition price and CSR in a sustainable closed-loop supply chain. J. Clean. Prod. 2020, 251, 119629.1–119629.15. [Google Scholar] [CrossRef]
- Atasu, A.; Sarvary, M.; Van Wassenhove, L.N. Remanufacturing as a marketing strategy. Manag. Sci. 2008, 54, 1731–1746. [Google Scholar] [CrossRef] [Green Version]
- Ferrer, G.; Swaminathan, J.M. Managing new and differentiated remanufactured products. Eur. J. Oper. Res. 2010, 203, 370–379. [Google Scholar] [CrossRef]
- Dey, S.K.; Giri, B.C. Analyzing a closed-loop sustainable supply chain with duopolistic retailers under different game structures. CIRP J. Manuf. Sci. Technol. 2021, 33, 222–233. [Google Scholar] [CrossRef]
- Panda, S.; Modak, N.M.; Cardenas-Barron, L.E. Coordinating a socially responsible closed-loop supply chain with product recycling. Int. J. Prod. Econ. 2017, 188, 11–21. [Google Scholar] [CrossRef]
- Gao, J.H.; Han, H.S.; Hou, L.T.; Wang, H.Y. Decision and coordination in closed-loop supply chain with social responsibility. Comp. Int. Manuf. Syst. 2014, 20, 1453–1461. [Google Scholar]
- Zheng, B.R.; Yang, C.; Yang, J. The Effect of corporate social responsibility Investment on Pricing and Coordination Strategies in Closed-loop Supply Chains. Chin. J. Manag. Sci. 2018, 26, 64–78. [Google Scholar]
- Shu, T.; Liu, Q.; Chen, S.; Wang, S.Y.; Lai, K.K. Pricing decisions of corporate social responsibility closed-loop supply chains with carbon emission constraints. Sustainability 2018, 10, 4430. [Google Scholar] [CrossRef]
- Li, X.R.; Xu, Y.Q. A research on the closed-loop supply chain decisions by considering CRS and quality effort. Sci. Res. Manag. 2020, 41, 256–267. [Google Scholar]
- Modak, N.M.; Kazemi, N.; Cardenas-Barron, L.E. Investigating structure of a two-echelon closed-loop supply chain using social work donation as a corporate social responsibility practice. Int. J. Prod. Econ. 2018, 207, 19–33. [Google Scholar] [CrossRef]
- Yao, F.M.; Liu, S.; Chen, D.Y. Recycling and pricing decisions for closed-loop supply chain with CSR. Control Decis. 2019, 34, 176–185. [Google Scholar]
- Yao, F.M.; Wang, Y.; Liu, S.; Teng, C.X. Sales effort and pricing decision for closed-loop supply chain under different corporate social responsibility sharing modes. J. Ind. Eng. Eng. Manag. 2021, 35, 210–219. [Google Scholar]
- Liu, S.; Yao, F.M.; Chen, D.Y.; Teng, C.X. Corporation social responsibility apportionment mechanism and pricing strategy for closed-loop supply chain under different power structures. Control Decis. 2020, 35, 1525–1536. [Google Scholar]
- Zhang, F.; Li, N. The Impact of CSR on the Performance of a Dual-Channel Closed-Loop Supply Chain under Two Carbon Regulatory Policies. Sustainability 2022, 14, 3021. [Google Scholar] [CrossRef]
- Wang, Q.; Chen, K.B.; Wang, S.B.; Liu, W.J. Channel structures and information value in a closed-loop supply chain with corporate social responsibility based on the third-party collection. Appl. Math. Model. 2022, 106, 482–506. [Google Scholar] [CrossRef]
- Liu, S.; Yao, F.M.; Chen, D.Y. CSR investment decision and coordination strategy for closed-loop supply chain with two competing retailers. J. Clean. Prod. 2021, 310, 127378. [Google Scholar] [CrossRef]
- Mondal, C.; Giri, B.C.; Biswas, S. Integrating Corporate Social Responsibility in a closed-loop supply chain under government subsidy and used products collection strategies. Flex. Serv. Manuf. J. 2021, 34, 65–100. [Google Scholar] [CrossRef]
- Liu, Y.; Quan, B.T.; Xu, Q. CSR and decision analysis in a supply chain through government subsidy. J. Clean. Prod. 2019, 208, 436–447. [Google Scholar] [CrossRef]
- Savaskan, R.C.; Bhattacharya, S.; Wassenhove, L.N.V. Closed-Loop Supply Chain Models with Product Remanufacturing. Manag. Sci. 2004, 50, 239–252. [Google Scholar] [CrossRef]
- Modak, N.M.; Panda, S.; Sana, S.S.; Basu, M. Corporate social responsibility, coordination and profit distribution in a dual-channel supply chain. Pac. Sci. 2014, 16, 235–249. [Google Scholar] [CrossRef]
- Panda, S.; Modak, N.M. Exploring the effects of social responsibility on coordination and profit division in a supply chain. J. Clean. Prod. 2016, 139, 25–40. [Google Scholar] [CrossRef]
- Hsueh, C.F.; Chang, M.S. Equilibrium analysis and corporate social responsibility for supply chain integration. Eur. J. Oper. Res. 2008, 190, 116–129. [Google Scholar] [CrossRef]
- Zhao, H.X.; Ai, X.Z.; Tang, X.W. Two-part tariffs of chain-to-chain competition under manufacturer’s scale diseconomies. J. Manag. Sci. Chin. 2013, 16, 60–70. [Google Scholar]
- Ai, X.Z.; Fan, L.L.; He, X.F. Two part tariff contract of competitive supply chain of stackelberg mode with diseconomy of scale. Control Decis. 2012, 27, 1477–1481. [Google Scholar]






| 6 | 0.500 | 5.000 | 10.250 | 7.750 | 46.875 | 93.750 | 0.483 | 4.986 | 10.366 | 7.774 | 46.875 | 90.448 |
| 10 | 0.305 | 1.829 | 9.177 | 6.677 | 28.528 | 57.165 | 0.362 | 1.693 | 8.643 | 6.393 | 28.528 | 65.677 |
| 20 | 0.236 | 0.708 | 8.797 | 6.297 | 22.111 | 44.222 | 0.337 | 0.490 | 7.864 | 5.552 | 22.111 | 56.416 |
| 30 | 0.219 | 0.439 | 8.706 | 6.206 | 20.599 | 41.118 | 0.341 | 0.240 | 7.632 | 5.218 | 20.599 | 54.695 |
| 40 | 0.212 | 0.318 | 8.665 | 6.165 | 19.862 | 39.725 | 0.347 | 0.143 | 7.514 | 5.024 | 19.862 | 54.130 |
| 50 | 0.208 | 0.249 | 8.642 | 6.142 | 19.466 | 38.933 | 0.351 | 0.096 | 7.441 | 4.895 | 19.466 | 53.901 |
| 60 | 0.205 | 0.205 | 8.627 | 6.127 | 19.211 | 38.422 | 0.355 | 0.068 | 7.391 | 4.803 | 19.211 | 53.800 |
Publisher’s Note: MDPI stays neutral with regard to jurisdictional claims in published maps and institutional affiliations. |
© 2022 by the authors. Licensee MDPI, Basel, Switzerland. This article is an open access article distributed under the terms and conditions of the Creative Commons Attribution (CC BY) license (https://creativecommons.org/licenses/by/4.0/).
Share and Cite
Zhao, H.; Liu, Y.; Liu, Z. Coordination of Retailer-Led Closed Loop Supply Chain Considering Corporate Social Responsibility. Sustainability 2022, 14, 10851. https://doi.org/10.3390/su141710851
Zhao H, Liu Y, Liu Z. Coordination of Retailer-Led Closed Loop Supply Chain Considering Corporate Social Responsibility. Sustainability. 2022; 14(17):10851. https://doi.org/10.3390/su141710851
Chicago/Turabian StyleZhao, Huanhuan, Yong Liu, and Zhiyang Liu. 2022. "Coordination of Retailer-Led Closed Loop Supply Chain Considering Corporate Social Responsibility" Sustainability 14, no. 17: 10851. https://doi.org/10.3390/su141710851
APA StyleZhao, H., Liu, Y., & Liu, Z. (2022). Coordination of Retailer-Led Closed Loop Supply Chain Considering Corporate Social Responsibility. Sustainability, 14(17), 10851. https://doi.org/10.3390/su141710851

