Abstract
Green marketing is currently one of the most powerful strategies in the corporate world as it responds to a growing demand for green products. Therefore, this study aims to analyse the influence of green perceived value on green trust and green satisfaction, study how both variables impact green word of mouth in turn and, at the same time, how the three variables influence green purchase intention. Data collection was carried out through a digital survey of buyers of green products. The hypotheses posed were solved with a PLS-SEM model through the Smart-PLS software. The results showed that green perceived value positively affects green trust and green satisfaction. Furthermore, green satisfaction was found to influence green trust and green WOM. Green trust also influences green WOM. Regarding the antecedents of green purchase intention, only green satisfaction and green trust showed a positive relationship. In contrast, green WOM did not show a relationship with green purchase intention. The article shows the importance of green satisfaction for green companies in achieving green purchase intention, green WOM and green trust. Green perceived value is also an important variable, as it is the trigger for the process that leads to green purchase intention.
1. Introduction
The market for green products, understood as ecological, natural, organic and healthy goods, has grown significantly in recent years thanks to the corporate world’s efforts to offer better environmental protection and wellness schemes [] under the concept of green marketing [], which includes a wide range of activities related to production, sales, brand image creation and communication with the consumer []. According to Garvey et al. [], these green marketing strategies have increased green awareness among mainstream consumers, thus generating a highly profitable segment in which brands are constantly investing []. As a result of these strategies, green consumption at a global level is booming due to the concern for health and the environment that both companies and consumers are generating []. In this regard, previous research found that 92% of companies had made changes to their products to be seen as green in order to respond to the environmental concerns of the market [].
From a theoretical point of view, it is known that green marketing strategies have a high impact on businesses, as they allow the generation of commitment to the brand due to the trust generated by green products [], which in turn can be transformed into green word of mouth, and which can ultimately lead to the intention to purchase green products or services []. However, despite the fact that green products have gained a market presence and manufacturers are tailoring their products to the public’s preference for these types of goods, their purchase is not as frequent or high as one might expect, mainly due to the reluctance to substitute the purchase of mainstream products with those that are labelled as green [,]. In this sense, the present study aims to examine the reasons that influence the purchase intention process of green products, evaluating green perceived value, green trust, green satisfaction and green WOM [,,]. More specifically, the present study aims to analyse and understand the impact of green perceived value on green trust and green satisfaction, as well as the specific relationship between green satisfaction and green trust. In addition, the influence of green trust and green satisfaction on green WOM and green purchase intention is also explored, in addition to an analysis of the impact of green WOM on green purchase intention.
Regarding the variables included in this research proposal, it is known that green perceived value is a variable that reduces the perceived risk of green products, thus improving purchase intention, competitive market advantage [] and brand positioning []. In addition, it is known to have the ability to influence green satisfaction, green trust, green WOM [] and green purchase intention [,]. On the other hand, according to Wang et al. [], green trust is a variable in green marketing that provides credibility, generates loyalty and can influence purchase intention and green WOM []. In the case of green satisfaction, this variable has been extensively studied in green marketing due to its strong influence on green trust, loyalty [] and purchase intention for green products [], and due to its relationship with consumer environmental awareness []. It is also worth noting that the literature has corroborated that green purchase intention is related to customer satisfaction [], green trust [,] and green perceived value [,].
Finally, green WOM, according to Wang et al. [], can be related to the perceived value, satisfaction or purchase intention of green products []. However, despite its importance in green marketing [,], the number of research studies that study green WOM as a relevant link within the purchase process [] have been limited thus far; undoubtedly, the results of the present research can contribute significantly to this knowledge from a theoretical and practical point of view.
Moreover, this research aims to extend the knowledge of the theory of planned behaviour (TPB) [] and the stakeholder theory []. The TPB argues that consumer decision processes often are conditioned by motivational factors that influence consumer attitudes and behavioural intentions [] to purchase green products and services [,,,]. According to the stakeholder theory, companies should use strategies to satisfy and win the trust of their stakeholders []; green marketing is one of the main strategies used to be socially responsible [,] since green marketing focuses on long-term sustainability [] by studying consumer’s green attitudes and behaviours and by developing marketing programs [].
1.1. Green Perceived Value (GPV)
The literature on marketing suggests that perceived value is an essential factor for companies and customers, as it has a direct impact on economic profitability and price/value for money [,]. Initially, it was measured in a unidimensional way, but it faced multiple criticisms [,]; thus, it is now studied by taking into account emotional, social, economic and quality dimensions [,].
Regarding its conceptualization, perceived value is defined as the overall evaluation that customers develop towards a product, based on what is delivered and what is received [,,,]. In the case of the green market, it is known as green perceived value and is associated with the benefits obtained by the consumer that serve to satisfy their environmental concerns and sustainable expectations [,] which, according to Chen et al. [], can contribute to the generation of green WOM or intention to purchase a green product.
1.2. Green Trust (GT)
The creation of various forms of relationships has turned trust into a fundamental variable in the exchange [] or purchases made between individuals and companies, where brands show their ability to watch out for the interests of their customers [,,,] by guaranteeing the reliability of the exchange [,] thanks to the trustworthiness, credibility and benevolence on the part of the supplier [,]. In the case of green trust, this comprises the buyer’s willingness to trust a green product based on beliefs or expectations about the environmental and health performance capacity of the green product [,], which conditions the green purchase intention [,].
1.3. Green Satisfaction (GS)
The first studies on satisfaction in the context of marketing were limited because academic research focused on variables that conditioned consumption, such as perceived value, leaving aside other relevant variables such as satisfaction, purchase intention and WOM [,]. Currently, satisfaction is defined as a consumer’s feeling about a product after having bought and used it [,]; it has become one of the most important variables for marketing, due to its importance in ensuring the success of a brand and guaranteeing long-term relationships with consumers [,,] in virtually any context or sector. In this sense, one of the sectors where the study of the variable has aroused the most interest is in green products, which has allowed green satisfaction to be defined as the level of pleasurable fulfilment related to consumption in order to satisfy the environmental and health desires or expectations of a customer [,,], which can lead to the generation of green perceived value, green trust and green WOM [].
1.4. Green Word of Mouth (WOM)
The study of the word-of-mouth variable dates back to the first research studies in which the positive relationship between customer satisfaction and the generation of recommendations about a product or service by buyers was studied []. Currently, WOM is considered one of the variables which is used most by users when they need to obtain information about products and/or services [], as they perceive that WOM is tailored to them and is reliable, as there are people involved who do not have a direct relationship with the product [,]. Conceptually, word of mouth was initially defined as communication about a brand, product or service between a receiver and a communicator [,]. Over time, the green trend began to be incorporated into the study of WOM, resulting in green word of mouth (green WOM), defined as the extent to which a customer influences friends, family or associates by spreading positive environmental messages about a product [], eventually leading them to often buy a green product [,].
1.5. Green Purchase Intention (GPI)
The purchase intention variable is based on the theories of planned behaviour (TPB) [] and reasoned action (TRA) [], where the relationship between a person’s attitude is influenced by their intentions and the amount of effort they are willing to make to behave in a certain way is explained []. In this sense, purchase intention can be defined as a consumer’s predisposition to buy a brand or product [] based on the motivations they have []. As with the other variables that are a part of this study, it should be noted that purchase intention has also been studied from a green perspective, which has allowed us to conceptualise green purchase intention as the interest, desire and probability that a consumer will purchase environmentally friendly products [,], whereas its relationship with green satisfaction, green trust and green perceived value has also been proven [,].
1.6. Hypotheses and Research Model
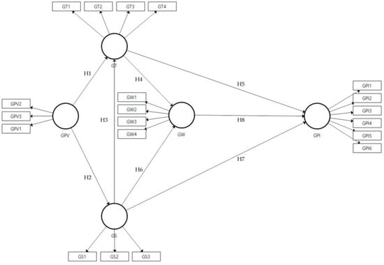
Green perceived value is not only a determinant of purchase intentions, but also of long-term customer relationships which are built on green trust [], especially since consumers initially tend not to trust green products [] due to the fact that companies sometimes exaggerate green perceived value through their communication strategies [] and the implementation of green marketing strategies. Furthermore, previous research has shown that in the eco-friendly product category, green perceived value has a strong influence on green purchase intention and green trust [,,,]. Based on the above, it can be assumed that such a relationship also occurs in the green product category, and therefore, the following hypothesis is proposed:
Hypothesis 1 (H1).
Green perceived value has a positive influence on green trust regarding green products.
On the other hand, previous studies have shown that green perceived value and green satisfaction are good predictors of customer behaviour; therefore, there is a positive relationship between the two [,,], where the green satisfaction is determined by the green perceived value []. This relationship was proven, for example, in the research of Issock Isssock et al. [] on eco-friendly products, or Wu et al. [] and Pahlevi et al. [] on green products and green services [,,]. Based on the above, the following hypothesis is proposed:
Hypothesis 2 (H2).
Green perceived value has a positive influence on green satisfaction regarding green products.
Green satisfaction with a product tends to increase green trust, as satisfactory experiences are related to the degree of consumer trust [] in believing that the green product is safe and protects the planet and the stakeholders. Han et al. [] described in their study of customers of green medical services how green satisfaction significantly affects green trust. Similarly, other authors have mentioned that green satisfaction positively influences green trust, as it generates certainty in the customer’s purchase intentions [,,,,]. Based on the above, the following hypothesis is proposed:
Hypothesis 3 (H3).
Green satisfaction has a positive influence on green trust regarding green products.
Previous studies have corroborated the importance of green trust when generating green WOM, as high levels of trust in the customer generate not only intentions to buy, but also intentions to recommend the product or service to other potential consumers []. Likewise, authors such as Han et al. [] and Wang et al. [] mention in their studies that green trust generates the necessary security and credibility in customers for them to be able to recommend products, and thus, generate green WOM since, when a consumer trusts a green brand, the consumer is more disposed to generate WOM []. The literature on green marketing further indicates that green trust has a positive and significant effect on green WOM, since when customers have confidence in the environmental capability of a product, they talk about it positively to other potential customers [,,]. In this regard, the following hypothesis is proposed:
Hypothesis 4 (H4).
Green trust has a positive influence on green WOM regarding green products.
Studies in the green product category have demonstrated the positive relationship between green trust and green purchase intention [,,,,] since customers prefer to purchase trusted green products []. Furthermore, Lam et al. [], Suhartanto et al. [], and Guerreiro and Pacheco [] mentioned that a critical element of green marketing is green trust, as it has the ability to influence the green purchase intention of targeted consumers since green trust is key in influencing green behaviour [] based on the theory of planned behaviour [,]. In view of this, the following hypothesis is proposed:
Hypothesis 5 (H5).
Green trust has a positive influence on green purchase intention regarding green products.
It has been known for a long time how important satisfaction is in the construction of green WOM in environmentally conscious consumers []. In this respect, Wang et al. [] argued that green satisfaction acts as a relevant determining factor for the generation of green WOM. Furthermore, Issock Issock et al. [] mentioned that if customers have satisfactory experiences with green products, they will recommend the product positively, which will generate not only green trust, but also positive green WOM for the product [] or services []. Therefore, the following hypothesis is proposed:
Hypothesis 6 (H6).
Green satisfaction has a positive influence on green WOM regarding green products.
Previous studies have shown that there is a positive relationship between green satisfaction, green brand image and green trust with green purchase intention among consumers of a green brand [] or simply between green satisfaction and green purchase intention [,]. In this sense, the following hypothesis is proposed:
Hypothesis 7 (H7).
Green satisfaction has a positive influence on green purchase intention regarding green products.
Finally, it is known that green WOM can be of great use to companies by allowing them to reduce their marketing expenditures and increase profits [,] since consumers can share information about green products and influence other consumers to purchase green products []. In this sense, Wang et al. [], Guerreiro and Pacheco [], and Ahmad and Zhang [] argued that green purchase intention is directly influenced by green WOM, as the information that green consumers obtain online through other consumers can be key in deciding to purchase a green product as customers search for trusted online information about green products to reduce the perceived risk []. Based on the above, the following hypothesis is proposed.
Hypothesis 8 (H8).
Green WOM has a positive influence on green purchase intention regarding green products.
2. Materials and Methods
This study is of a definitive nature, based on the causes and effects of the relationship between the proposed concepts []. The research population was consumers of green products in Lima, Peru. The sample consisted of 404 people, from whom 208 valid responses were obtained (see Table 1) since the other 198 responses were incomplete. A convenience sample by quotas was used, based on responders’ ages and gender (non-probabilistic sampling procedure). Data were collected through a self-administered online questionnaire for one month in the second half of 2021. Data collection was carried out through rigorous ethical protocols to guarantee the respondents’ anonymity and the answers’ reliability. The data collection instrument was divided into two sections. Furthermore, there was a filter question regarding the purchase intention of green products. Only consumers of green products answered the online questionnaire. The first section consisted of questions associated with the demographic profile of the respondents, such as gender, age, occupation, place of purchase, range of green products bought and frequency of purchase (See Table 1).

Table 1.
Demographic profile of the respondents.
The second section of the questionnaire included the scales for measuring the variables proposed in the study model: green perceived value (GPV), green trust (GT), green satisfaction (GS), green WOM (GW) and green purchase intention (GPI). Table 2 shows the scales and descriptive results. All the scales used in the research were previously used in other investigations. The questionnaire was pretested on ten samples.

Table 2.
Scales and descriptive results.
It is worth mentioning that Likert scales (1—strongly disagree to 5—strongly agree) were used to evaluate the indicators of the variables. Since these scales were originally written in English, they were translated into Spanish so that they could be applied to the population under study. In addition, a validity analysis was carried out through a pilot test in order to ensure the rigour and quality of the study in the proposed context []. Likewise, the validation test allowed us to check that there was no ambiguity of terms, meanings and other problems that could arise among consumers of green products covered in this study.
To answer the hypotheses stated above, a PLS-SEM model was developed, this being the most appropriate method of estimating complex models due to its high probability of revealing substantial effects in an exploratory research environment []. The model (See Figure 1) was developed based on previous investigations about green marketing [,]. The statistical programme used to solve the PLS-SEM model was Smart-PLS 3.3.3 [].

Figure 1.
Research model.
3. Results
The analysis is based on the structural theory and the measure of latent variables in a reflective model []. In order to answer the hypotheses posed, the results of the study were evaluated through a two-stage PLS-SEM model [,,]. In the first stage, the reflective model was examined, and in the second stage, the structural theory was evaluated to validate the proposed relationships between variables [,].
Since the present study contained reflexively specified constructs, we started with an analysis of the indicator loadings. The results showed that all items had values above 0.7 (see Table 3) [].

Table 3.
Results of the measurements of the reflective model.
The next step involved an analysis of the composite reliability [], using Cronbach’s alpha as a complementary measure of reliability for internal consistency, and using Rho A. The values of all three indicators were above 0.7, which allowed for the verification that the constructs meet the internal consistency reliability [,,]. Furthermore, convergent validity was calculated using the average variance extracted (AVE). The results indicated that the constructs met convergent validity by being above 0.5 in all cases [,,].
Finally, in the first phase, the discriminant validity of the model was assessed through the heterotrait-monotrait ratio (HTMT) and the Fornell–Larcker criterion []. The results allowed for the verification of the discriminant validity since all the values calculated, both under the Fornell–Larcker criterion and HTMT, were within the ranges considered optimal (see Table 4 and Table 5).

Table 4.
Fornell–Larcker Criterion.

Table 5.
HTMT Values.
After verifying that the measurement model met all the necessary criteria, the evaluation of the structural model proceeded []. First, possible collinearity problems between variables were checked through the VIF, and then the evaluation focused on the predictive model. For this, different criteria such as R2, Q2, Q2predict, f2 and path coefficients were used (see Table 5).
First, VIF was assessed, taking into consideration that values greater than 5 indicate collinearity between constructs []. Regarding the results, GPI was 1.738; GPI2, 2.188; and GPI3, 2.063. GPV had a value of 1.269 for GPV1; 1.526 for GPV2; and 1.599 for GPV3. In the case of GS, GS1 showed a value of 1.587; GS2, 1.779; and GS3, 1.279. In GT, GT1 had a value of 1.606 and GT2, 1.709. Finally, GW obtained 1.422 for GW1 and 2.001 for GW2. From the results, it could be concluded that the constructs do not have collinearity problems as they are below 5. Next, the results of R2 were analysed in order to find out the coefficient of determination (See Figure 2). For this evaluation, it was considered that there is greater predictive accuracy as the value is higher []. The results of the research showed results of 0.579 for GPI, 0.275 for GS, 0.555 for GT and 0.460 for GW; thus, it could be affirmed that the values of the endogenous latent variables of the inner model are moderate [].

Figure 2.
Results of the hypothesis.
Bootstrapping was then performed with 5000 samples for p < 0.05 and p < 0.01 in order to determine the relationship between the variables []. In this regard, it could be verified by the proposed analysis that all hypotheses were accepted for a p < 0.05, but not for a p < 0.01, where hypothesis H8 was rejected. The results showed that for hypothesis H8, which evaluated the relationship of GW → GPI, the path coefficient was 0.16. For H2, GPV → GS, a β of 0.52 was obtained. For H3, GS → GT, the β data was 0.47. For H1, which measured the relationship of GPV → GT, its β was 0.63, whereas for H4, GT → GW, its β was 0.31.
Finally, H6, which assessed the relationship of GS → GW, had a β of 0.57, the relationship of GT → GPI, H5, showed a β of 0.32, and H7, GS → GPI, yielded a result of 0.65 (see Table 6).

Table 6.
Structural model path coefficients and hypothesis testing.
Subsequently, the f2 results were evaluated in order to assess the effect of exogenous latent variables []. The results obtained from f2 for the relationship between GS and GPI were 0.21; for GT and GPI, it was 0.08. In the case of GW and GPI, a value of 0.03 was obtained. For GPV and GS, the result was 0.38; for GPV and GT, 0.24; for GS and GT, the result was 0.3; for GT and GW, the result was 0.10; and, finally, GS and GW achieved an f2 of 0.19. From the results, it could be concluded that the effects are small in the cases of GT-GPI, GW-GPI, and GT-GW. For GPV-GT and GS-GW, the effects were medium, whereas in the case of GPV-GS and GS-GT the effects were high [,].
The Q2 results were also evaluated by blindfolding with an omission distance of 7 []. In this regard, the present study showed that the Q2 of GPI was 0.35; that of GS, 0.18; GT, 0.37; and GW, 0.29. The results indicated that the predictive ability of the model is acceptable [,,].
Finally, predictive ability was also assessed with the PLS predict algorithm by using ten folds and ten repetitions and estimating the Q2predict [,]. The first step was to check that all Q2predict values were greater than 0 and then compare the RMSE values with the naïve LM for each indicator. It should be noted that RMSE was used because visual analysis of the graphs of the prediction errors showed that the distribution is not highly non-symmetric. The results indicated that all but three PLS-SEM indicators have an RMSE lower than the LM (see Table 7); therefore, it could be concluded that the predictive ability was average [].

Table 7.
PLS predict assessment of manifest variables (original model).
4. Discussion and Implications
This study presents a series of significant contributions to understanding how different variables associated with green marketing, such as green perceived value, green trust, green satisfaction and green word of mouth, influence consumers of green products when they intend to buy a green product. In this sense, it is worth emphasising the incorporation of the model of green word of mouth as a central variable for the generation of green purchase intention, which represents a significant theoretical contribution compared to the recent research by Issock Issock et al. [], Wang et al. [], Zhang et al. [], Lam et al. [] and McDougall et al. [].
In this sense, the first contribution of this research is the incorporation of green WOM as a variable that conditions green purchase intention, which undoubtedly complements the findings of Yang et al. [], Chen [], Guenzi et al. [] and Ahmad et al. [], who in their respective studies had identified variables such as green satisfaction or green trust as decisive for the generation of green purchase intention. However, it should be noted that, contrary to what might be expected, the results of the influence of green WOM on green purchase intention are limited, which contradicts the findings of Wang et al. [] in the green hospitality sector. Although these results are initially striking, they may be due to the category on which this research was based, green products, as the low involvement and risk taken when buying these products may mean that the search for consumer recommendations is limited. In this sense, these results are consistent with those of Pandey et al. [], who confirmed that WOM has little importance in the purchase of organic products in an emerging country, or those of Hamzah et al. [], who came to the same results in the case of halal products.
The second contribution is also related to green WOM, since, although its importance in influencing green purchase intention is limited, the same is not true when analysing its importance within the model in general. In this sense, it is worth noting that there is a strong relationship between green WOM and green trust and green satisfaction. As can be seen in the results, especially in the case of green satisfaction, but also with green trust, the two variables are fundamental for the generation of green word of mouth, which reinforces the findings of Chen et al. [] and Pahlevi et al. [] in the case of green trust, and those of Wang et al. [], Issock Issock et al. [,,] and Martenson [] in the case of green satisfaction.
On the other hand, this research has also been able to corroborate the importance of green perceived value as the beginning of the process that a consumer initiates when they intend to buy a green product. As the results show, green perceived value is key to generating green satisfaction and, to a slightly lesser extent, green trust. It should be noted that these results are consistent with previous studies by Chen et al. [], McDougall et al. [] and Lam et al. []. It should also be noted that the fundamental role played by green satisfaction within the proposed model has also been confirmed. In this sense, the results have shown that green satisfaction is decisive for the generation of green trust, green WOM and green purchase intention; thus, it could be concluded that green satisfaction is the key variable in the whole evaluation process for a consumer of green products. It should be noted that these findings are also consistent with those presented in previous studies. For example, in the case of the influence of green satisfaction on green trust, this relationship had been proven by [], whereas in the case of the influence of green satisfaction on green WOM, it was Wang et al. [] and Issock Issock et al. [] who analysed it.
The relationship between green satisfaction and green purchase intention deserves a separate mention. The results have allowed us to confirm, as have previous studies related to the green products sector [,,], that green satisfaction influences green purchase intention, but also, in light of the findings of this study, it has become clear that green satisfaction is the most important variable for consumers of green products when they assess buying such products. It should also be noted that the results corroborated the findings of Chen et al. [] and Lam et al. [], who had confirmed the influence of green trust on green purchase intention, although it is worth clarifying that, as can be seen from the results of this research, green trust is less decisive than green satisfaction for the generation of green purchase intention.
From an application point of view, this research’s findings also contribute to the knowledge about companies producing and marketing green products, since it is known that increasing green purchase intention is critical for generating higher revenues for companies [,]. As explained in the previous paragraphs, green purchase intention is produced through green satisfaction and, to a lesser extent, through green trust. This implies that for the organisations involved in the sector, the generation of green satisfaction is fundamental, since without this variable, the generation of green WOM, green trust and above all, green purchase intention, is very complicated. Likewise, the results show companies that the starting point of the whole purchase intention process is when the value of the green product is perceived. In other words, if a product does not generate value for the consumer, it is very unlikely to obtain green trust or green satisfaction. This is why organisations associated with the marketing of green products need to strengthen their product development strategies by incorporating attributes relevant to consumers of green products that, at the same time, are useful for creating a relevant brand positioning.
Finally, although green WOM was not found to be an important variable in itself for generating green purchase intention, this does not mean that companies that produce or sell green products should ignore this variable. As reflected in the results, green satisfaction and green trust have the capacity to generate green WOM, and it is likely to influence other variables that have not been considered in this study. In this sense, taking into account that green WOM is undoubtedly one of the most important marketing variables today [], and considering that green WOM is conditioned by green satisfaction and green trust, it is worthwhile for companies to focus on its generation since the economic cost of its development may be limited, whereas the benefits generated by green WOM for green corporations may be significant.
5. Limitations and Future Research
This study has a number of limitations which could be addressed in future research. Firstly, from the theoretical point of view, it is worth mentioning that the data collection was carried out only in Peru, which could limit the extrapolation of the findings to other realities. Secondly, from the practical point of view, the development of the study focused on analysing variables within the context of the consumption of green food products such as dairy products, oils and vinegars, snacks, and health drinks, among others. In this sense, extending the research to other categories of green products or services is suggested, in order to test whether the relationships studied can be applied to any green context. In addition, such future research could corroborate whether green WOM is related differently to green purchase intention depending on the category of green products studied. It is also suggested that other variables associated with green marketing may be related to green WOM. Among the variables that could be incorporated are green brand equity, green perceived benefits or customer engagement [].
Author Contributions
Conceptualization, J.A.R.-A., C.G.-L.-V. and M.M.-A.; methodology, J.A.R.-A., C.G.-L.-V., M.M.-A. and M.L.L.-Z.; software, M.L.L.-Z.; validation, M.L.L.-Z.; formal analysis, M.L.L.-Z.; data curation, M.L.L.-Z.; writing—original draft preparation, J.A.R.-A., C.G.-L.-V., M.L.L.-Z. and M.M.-A.; writing—review and editing, J.A.R.-A., C.G.-L.-V. and M.L.L.-Z.; supervision, M.L.L.-Z. and M.M.-A.; project administration, M.L.L.-Z. and M.M.-A.; funding acquisition, M.L.L.-Z. All authors have read and agreed to the published version of the manuscript.
Funding
Universidad Peruana de Ciencias Aplicadas/UPC-B-036-2021-2.
Institutional Review Board Statement
Not applicable.
Informed Consent Statement
Informed consent was obtained from all subjects involved in the study.
Data Availability Statement
The data presented in this study are available on request from the corresponding author. The data are not publicly available due to privacy restrictions.
Acknowledgments
We would like to thank the Research Directorate of the Universidad Peruana de Ciencias Aplicadas for the support provided to carry out this research work through the UPC-B-036-2021-2.
Conflicts of Interest
The authors declare no conflict of interest.
References
- Kautish, P.; Sharma, R. Study on relationships among terminal and instrumental values, environmental consciousness and behavioral intentions for green products. J. Indian Bus. Res. 2018, 13, 1–29. [Google Scholar] [CrossRef]
- Zhang, X.; Dong, F. Why do consumers make green purchase decisions? Insights from a systematic review. Int. J. Environ. Res. Public Health 2020, 17, 6607. [Google Scholar] [CrossRef] [PubMed]
- Karjaluoto, H.; Vaccaro, V.L. B2B green marketing and innovation theory for competitive advantage. J. Syst. Inf. Technol. 2009, 11, 315–330. [Google Scholar] [CrossRef]
- Garvey, A.M.; Bolton, L.E. Eco-product choice cuts both ways: How proenvironmental licensing versus reinforcement is contingent on environmental consciousness. J. Public Policy Mark. 2017, 36, 284–298. [Google Scholar] [CrossRef]
- Lu, L.; Bock, D.; Joseph, M. Green marketing: What the Millennials buy. J. Bus. Strategy 2013, 34, 3–10. [Google Scholar] [CrossRef]
- Pareja, J.; Roy, Q. Valor Percibido, Riesgo Verde y Confianza Verde En Relación A La Intención De Compra De Productos Green; Universidad Peruana de Ciencias Aplicadas (UPC): Santiago, Peru, 2021. [Google Scholar]
- Amoako, G.K.; Dzogbenuku, R.K.; Doe, J.; Adjaison, K.G. Green marketing and the SDGs: Emerging market perspective. Mark. Intell. Plan. 2020; ahead-of-print. [Google Scholar] [CrossRef]
- Issock, P.B.; Issock, M.; Mpinganjira, M. Roberts-Lombard. Modelling green customer loyalty and positive word of mouth: Can environmental knowledge make the difference in an emerging market? Int. J. Emerg. Mark. 2019, 15, 405–426. [Google Scholar] [CrossRef]
- Pahlevi, M.R.; Suhartanto, D. The integrated model of green loyalty: Evidence from eco-friendly plastic products. J. Clean. Prod. 2020, 257, 120844. [Google Scholar] [CrossRef]
- Chen, Y.S.; Chang, C.H. Enhance green purchase intentions: The roles of green perceived value, green perceived risk, and green trust. Manag. Decis. 2012, 50, 502–520. [Google Scholar] [CrossRef]
- Ahmad, W.; Zhang, Q. Green purchase intention: Effects of electronic service quality and customer green psychology. J. Clean. Prod. 2020, 267, 122053. [Google Scholar] [CrossRef]
- Chen, Y.S. The drivers of green brand equity: Green brand image, green satisfaction, and green trust. J. Bus. Ethics 2010, 93, 307–319. [Google Scholar] [CrossRef]
- Lin, J.; Lobo, A.; Leckie, C. Green brand benefits and their influence on brand loyalty. Mark. Intell. Plan. 2017, 35, 425–440. [Google Scholar] [CrossRef]
- Sweeney, G.N.; Soutar, J.C. Customer perceived value: The development of a multiple item scale. J. Retail. 2001, 77, 203–220. [Google Scholar] [CrossRef]
- Chen, C.F.; Chen, F.S. Experience quality, perceived value, satisfaction and behavioral intentions for heritage tourists. Tour. Manag. 2010, 31, 29–35. [Google Scholar] [CrossRef]
- Wang, J.; Wang, S.; Xue, H.; Wang, Y.; Li, J. Green image and consumers’ word-of-mouth intention in the green hotel industry: The moderating effect of Millennials. J. Clean. Prod. 2018, 181, 436. [Google Scholar] [CrossRef]
- Chen, Y.S.; Lin, C.L.; Chang, C.H. The influence of greenwash on green word-of-mouth (green WOM): The mediation effects of green perceived quality and green satisfaction. Qual. Quant. 2014, 48, 2411–2425. [Google Scholar] [CrossRef]
- Wang, H.; Ma, B.; Bai, R. The spillover effect of greenwashing behaviours: An experimental approach. Mark. Intell. Plan. 2019, 38, 283–295. [Google Scholar] [CrossRef]
- Higuchi, A.; Avadi, A. Factores que influyen en la decisión de compra de productos orgánicos y clasificación de sus consumidores según preferencias en el área metropolitana de Lima, Perú. Agron. Colomb. 2015, 33, 271–279. [Google Scholar] [CrossRef]
- Ajzen, I. The theory of planned behavior. Organ. Behav. Hum. Decis. Processes 1991, 50, 179–211. [Google Scholar] [CrossRef]
- Freeman, R.E.; McVea, J. A stakeholder approach to strategic management. In The Blackwell handbook of strategic management; Blackwell Publishers Ltd.: Hoboken, NJ, USA, 2021; pp. 183–201. [Google Scholar] [CrossRef]
- Riva, F.; Magrizos, S.; Rubel, M.R.B.; Rizomyliotis, I. Green consumerism, green perceived value, and restaurant revisit intention: Millennials’ sustainable consumption with moderating effect of green perceived quality. In Business Strategy and the Environment; John Wiley & Sons Ltd.: Hoboken, NJ, USA, 2022. [Google Scholar] [CrossRef]
- Rustam, A.; Wang, Y.; Zameer, H. Environmental awareness, firm sustainability exposure and green consumption behaviors. J. Clean. Prod. 2020, 268, 122016. [Google Scholar] [CrossRef]
- Kumar, B.; Manrai, A.K.; Manrai, L.A. Purchasing behaviour for environmentally sustainable products: A conceptual framework and empirical study. J. Retail. Consum. Serv. 2017, 34, 1–9. [Google Scholar] [CrossRef]
- Yadav, R.; Pathak, G.S. Determinants of Consumers’ Green Purchase Behavior in a Developing Nation: Applying and Extending the Theory of Planned Behavior. Ecol. Econ. 2017, 134, 114–122. [Google Scholar] [CrossRef]
- Gil, M.T.; Jacob, J. The relationship between green perceived quality and green purchase intention: A three-path mediation approach using green satisfaction and green trust. Int. J. Bus. Innov. Res. 2018, 15, 301–319. [Google Scholar] [CrossRef]
- Chen, Y.S. Towards green loyalty: Driving from green perceived value, green satisfaction, and green trust. Sustain. Dev. 2013, 21, 294–308. [Google Scholar] [CrossRef]
- Peattie, K.; Ratnayaka, M. Responding to the green movement. Ind. Mark. Manag. 1992, 21, 103–110. [Google Scholar] [CrossRef]
- Jain, S.K.; Kaur, G. Green Marketing: An Indian Perspective. Decision 2004, 31, 168–209. [Google Scholar]
- Sánchez-Fernández, R.; Iniesta-Bonillo, M.Á. The concept of perceived value: A systematic review of the research. Mark. Theory 2007, 7, 427–451. [Google Scholar] [CrossRef]
- Hennigs, N.; Klarmann, C. Hedonic Consumption. In Wiley Encyclopedia of Management; John Wiley & Sons Ltd.: Hoboken, NJ, USA, 2015; Volume 46, p. 1. [Google Scholar] [CrossRef]
- Sheth, J.N.; Newman, B.I.; Gross, B.L. Why We Buy What We Buy: A Theory of Consumption Values: Discovery Service for Air Force Institute of Technology. J. Bus. Res. 1991, 22, 159–170. [Google Scholar] [CrossRef]
- Hamari, J.; Hanner, N.; Koivisto, J. “Why pay premium in freemium services?” A study on perceived value, continued use and purchase intentions in free-to-play games. Int. J. Inf. Manag. 2020, 51, 102040. [Google Scholar] [CrossRef]
- McDougall, G.H.G.; Levesque, T. Customer satisfaction with services: Putting perceived value into the equation. J. Serv. Mark. 2000, 14, 392–410. [Google Scholar] [CrossRef]
- Kardes, F.R.; Posavac, S.S.; Cronley, M.L. Consumer inference: A review of processes, bases, and judgment contexts. J. Consum. Psychol. 2004, 14, 230–256. [Google Scholar] [CrossRef]
- Yang, Z.; Peterson, R.T. Customer perceived value, satisfaction, and loyalty: The role of switching costs. Psychol. Mark. 2004, 21, 799–822. [Google Scholar] [CrossRef]
- Ariffin, S.; Yusof, J.M.; Putit, L.; Shah, M.I.A. Factors Influencing Perceived Quality and Repurchase Intention Towards Green Products. Procedia Econ. Financ. 2016, 37, 391–396. [Google Scholar] [CrossRef]
- Lam, A.Y.C.; Lau, M.M.; Cheung, R. Modelling the Relationship among Green Perceived Value, Green Trust, Satisfaction, and Repurchase Intention of Green Products. Contemp. Manag. Res. 2016, 12, 47–60. [Google Scholar] [CrossRef]
- Abosag, I.; Tynan, C.; Lewis, C. The commitment-trust theory: The british and Saudi Arabian cross-national perspectives. Ph.D. Thesis, University of Nottingham, Semenyih, Malaysia, 2006. [Google Scholar]
- Doney, P.M.; Cannon, J.P. An examination of the nature of trust in buyer-seller relationships. J. Mark. 1997, 61, 35–51. [Google Scholar] [CrossRef]
- Harper, G.C.; Makatouni, A. Consumer perception of organic food production and farm animal welfare. Br. Food J. 2002, 104, 287–299. [Google Scholar] [CrossRef]
- Kalafatis, S.P.; Pollard, M.; East, R.; Tsogas, M.H. Green marketing and Ajzen’s theory of planned behaviour: A cross-market examination. J. Consum. Mark. 1999, 16, 441–460. [Google Scholar] [CrossRef]
- Guenzi, P.; Johnson, M.D.; Castaldo, S. A comprehensive model of customer trust in two retail stores. J. Serv. Manag. 2009, 20, 290–316. [Google Scholar] [CrossRef] [Green Version]
- Sirdeshmukh, D.; Singh, J.; Sabol, B. Consumer trust, value, and loyalty in relational exchanges. J. Mark. 2002, 66, 15–37. [Google Scholar] [CrossRef]
- Gefen, D.; Straub, D.W. Consumer trust in B2C e-Commerce and the importance of social presence: Experiments in e-Products and e-Services. Omega 2004, 32, 407–424. [Google Scholar] [CrossRef]
- Kotler, P. Marketing Management, Millenium Edition. Mark. Manag. 2000, 23, 188–193. [Google Scholar] [CrossRef]
- Ameer, I.A. Satisfaction-A behavioral perspective on consumer: Review, criticism and contribution. Int. J. Res. Stud. Manag. 2013, 3, 75–82. [Google Scholar] [CrossRef]
- Zouari, G.; Abdelhedi, M. Customer satisfaction in the digital era: Evidence from Islamic banking. J. Innov. Entrep. 2021, 10, 9. [Google Scholar] [CrossRef]
- Gelderman, C.J.; Schijns, J.; Lambrechts, W.; Vijgen, S. Green marketing as an environmental practice: The impact on green satisfaction and green loyalty in a business-to-business context. Bus. Strategy Environ. 2021, 30, 2061–2076. [Google Scholar] [CrossRef]
- Cardozo, R.N. An Experimental Study of Customer Effort, Expectation, and Satisfaction. J. Mark. Res. 1965, 2, 244. [Google Scholar] [CrossRef]
- Oliver, R.L. Effect of expectation and disconfirmation on postexposure product evaluations: An alternative interpretation. J. Appl. Psychol. 1976, 62, 480–486. [Google Scholar] [CrossRef]
- Oliver, R.L. A Cognitive Model of the Antecedents and Consequences of Satisfaction Decisions. J. Mark. Res. 1980, 17, 460–469. [Google Scholar] [CrossRef]
- Oliver, R.L. Conceptual Issues in the Structural Analysis of Consumption Emotion, Satisfaction, and Qualit. Adv. Consum. Res. 1994, 21, 16–22. [Google Scholar]
- Zulfiqar, Z.; Shafaat, M. Green Marketing: Environmental Concern and Customer Satisfaction. Eur. J. Bus. Manag. 2015, 7, 2222–2839. [Google Scholar]
- Swan, J.E.; Oliver, R.L. Postpurchase Communications by Consumers. J. Retail. 1989, 65, 516–533. [Google Scholar]
- Lee, M.K.O.; Shi, N.; Cheung, C.M.K.; Lim, K.H.; Sia, C.L. Consumer’s decision to shop online: The moderating role of positive informational social influence. Inf. Manag. 2011, 48, 185–191. [Google Scholar] [CrossRef]
- Brown, J.O.; Broderick, A.J.; Lee, N. Online Communities: Conceptualizing the Online Social Network. J. Interact. Mark. 2007, 21, 2–20. [Google Scholar] [CrossRef]
- Molinari, L.K.; Abratt, R.; Dion, P. Satisfaction, quality and value and effects on repurchase and positive word-of-mouth behavioral intentions in a B2B services context. J. Serv. Mark. 2008, 22, 363–373. [Google Scholar] [CrossRef]
- Arndt, J. Role of Product-Related Conversations in the Diffusion of a New Product. J. Mark. Res. 1967, 4, 291. [Google Scholar] [CrossRef]
- Hennig-Thurau, T.; Gwinner, K.P.; Walsh, G.; Gremler, D.D. Electronic word-of-mouth via consumer-opinion platforms: What motivates consumers to articulate themselves on the Internet? J. Interact. Mark. 2004, 18, 38–52. [Google Scholar] [CrossRef]
- Hausenblas, H.A.; Carron, A.V.; Mack, D.E. Application of the theories of reasoned action and planned behavior to exercise behavior: A meta-analysis. J. Sport Exerc. Psychol. 1997, 19, 36–51. [Google Scholar] [CrossRef]
- Grace, P.I.; Ming, T. Antecedents of consumer attitude towards blogger recommendations and its impact on purchase intention. Asian J. Bus. Account. 2018, 11, 293–324. [Google Scholar] [CrossRef]
- Belch, G.E.; Belch, M.A. Advertising and Promotion. An Integrated Marketing Communication Perspective, 9th ed.; MGraw-Hill Irwin: New York, NY, USA, 2009. [Google Scholar]
- Ferdinand, M.; Selamat, F. Brand Personality to Predict Brand Trust, Brand Attachment and Purchase Intention: Study on Cosmetic Products in Jakarta. In Proceedings of the Tarumanagara International Conference on the Applications of Social Sciences and Humanities (TICASH 2019), Jakarta, Indonesia, 27–28 June 2019; Volume 439, pp. 125–130. [Google Scholar] [CrossRef]
- Nia, B.P.; Dyah, I.R.; Hery, S.; Bayu, D.S. The Effect of Green Purchase Intention Factors on the Environmental Friendly Detergent Product (Lerak). E3S Web Conf. 2018, 73, 7. [Google Scholar] [CrossRef]
- Lutfie, H.; Marcelino, D. Consumer Trust to Buy Green Product: Investigation of Green Perceived Value with Green Satisfaction Mediation. In Proceedings of the 2020 8th International Conference on Cyber and IT Service Management, CITSM 2020, Pangkal Pinang, Indonesia, 23–24 October 2020. [Google Scholar] [CrossRef]
- Karatu, V.M.H.; Mat, N.K.N. The Mediating effects of green trust and perceived behavioral control on the direct determinants of intention to purchase green products in Nigeria. Mediterr. J. Soc. Sci. 2015, 6, 256–265. [Google Scholar] [CrossRef] [Green Version]
- Lakatos, E.S.; Nan, L.M.; Bacali, L.; Ciobanu, G.; Ciobanu, A.M.; Cioca, L.I. Consumer Satisfaction towards Green Products: Empirical Insights from Romania. Sustainability 2021, 13, 10982. [Google Scholar] [CrossRef]
- Wu, J.H.; Wu, C.W.; Lee, C.T.; Lee, H.J. Green purchase intentions: An exploratory study of the Taiwanese electric motorcycle market. J. Bus. Res. 2015, 68, 829–833. [Google Scholar] [CrossRef]
- Wang, H.J. Antecedents of behavioral intentions for green city tourists. Environ. Dev. Sustain. 2022, 24, 377–398. [Google Scholar] [CrossRef]
- Han, H.; Hyun, S.S. Customer retention in the medical tourism industry: Impact of quality, satisfaction, trust, and price reasonableness. Tour. Manag. 2015, 46, 29. [Google Scholar] [CrossRef]
- Martínez, P. Customer loyalty: Exploring its antecedents from a green marketing perspective. Int. J. Contemp. Hosp. Manag. 2015, 27, 896–917. [Google Scholar] [CrossRef]
- Suhartanto, D.; Kartikasari, A.; Hapsari, R.; Budianto, B.S.; Najib, M.; Astor, Y. Predicting young customers’ intention to repurchase green plastic products: Incorporating trust model into purchase intention model. J. Asia Bus. Stud. 2021, 15, 441–456. [Google Scholar] [CrossRef]
- Konuk, F.A. Antecedents of Green Behavioral Intentions. Int. J. Consum. Stud. 2015, 20, 776–780. [Google Scholar]
- Guerreiro, J.; Pacheco, M. How Green Trust, Consumer Brand Engagement and Green Word-of-Mouth Mediate Purchasing Intentions. Sustainability 2021, 13, 7877. [Google Scholar] [CrossRef]
- Hameed, I.; Hussain, H.; Khan, K. The role of green practices toward the green word-of-mouth using stimulus-organism-response model. J. Hosp. Tour. Insights, 2021; ahead-of-print. [Google Scholar] [CrossRef]
- Dhir, A.; Sadiq, M.; Talwar, S.; Sakashita, M.; Kaur, P. Why do retail consumers buy green apparel? A knowledge-attitude-behaviour-context perspective. J. Retail. Consum. Serv. 2021, 59, 102398. [Google Scholar] [CrossRef]
- Söderlund, M. Customer satisfaction and its consequences on customer behaviour revisited: The impact of different levels of satisfaction on word-of-mouth, feedback to the supplier and loyalty. Int. J. Serv. Ind. Manag. 1998, 9, 169–188. [Google Scholar] [CrossRef]
- Suhartanto, D.; Ali, M.H.; Tan, K.H.; Sjahroeddin, F.; Kusdibyo, L. Loyalty toward online food delivery service: The role of e-service quality and food quality. J. Foodserv. Bus. Res. 2019, 22, 81–97. [Google Scholar] [CrossRef]
- Reichheld, F.F.; Sasser, W.E. Zero defections: Quality comes to services. Harv. Bus. Rev. 1990, 68, 105–111. [Google Scholar]
- Bernal, C. Ruta para la elaboración de la propuesta o anteproyecto de investigación científica. Libro 2010, 3, 20. [Google Scholar]
- Riconscente, M.; Romeo, I. Technique for the measurement of attitudes, A. In Encyclopedia of Research Design; Salkind, N.J., Ed.; SAGE Publications, Inc.: Thousand Oaks, CA, USA, 2010. [Google Scholar] [CrossRef]
- Hamdollah, R.; Baghaei, P. Partial Least Squares Structural Equation Modeling with R. Pract. Assess. Res. Eval. 2016, 21, 11. [Google Scholar]
- Yadav, R.; Pathak, G.S. Young consumers’ intention towards buying green products in a developing nation: Extending the theory of planned behavior. J. Clean. Prod. 2016, 135, 732–739. [Google Scholar] [CrossRef]
- Sarstedt, M.; Ringle, C.M.; Hair, J.F. Partial Least Squares Structural Equation Modeling; Springer International Publishing: Berlin/Heidelberg, Germany, 2021. [Google Scholar] [CrossRef]
- Benitez, J.; Henseler, J.; Castillo, A.; Schuberth, F. How to perform and report an impactful analysis using partial least squares: Guidelines for confirmatory and explanatory IS research. Inf. Manag. 2020, 57, 103168. [Google Scholar] [CrossRef]
- Henseler, J.; Fassott, G.; Dijkstra, T.K.; Wilson, B. Analysing quadratic effects of formative constructs by means of variance-based structural equation modelling. Eur. J. Inf. Syst. 2012, 21, 99–112. [Google Scholar] [CrossRef]
- Rodríguez-Entrena, M.; Schuberth, F.; Gelhard, C. Assessing statistical differences between parameters estimates in Partial Least Squares path modeling. Qual. Quant. 2018, 52, 57–69. [Google Scholar] [CrossRef]
- Sarstedt, M.; Hair, J.F.; Cheah, J.H.; Becker, J.M.; Ringle, C.M. How to specify, estimate, and validate higher-order constructs in PLS-SEM. Australas. Mark. J. 2019, 27, 197–211. [Google Scholar] [CrossRef]
- Jöreskog, K.G. Simultaneous Factor Analysis in Several Populations*. ETS Res. Bull. Ser. 1971, 1970, i-31. [Google Scholar] [CrossRef]
- Hair, J.F.; Sarstedt, M.; Hopkins, L.; Kuppelwieser, V.G. Partial least squares structural equation modeling (PLS-SEM): An emerging tool in business research. Eur. Bus. Rev. 2014, 26, 106–121. [Google Scholar] [CrossRef]
- Dijkstra, T.K.; Henseler, J. Consistent partial least squares path modeling. MIS Q. Manag. Inf. Syst. 2015, 39, 297–316. [Google Scholar] [CrossRef]
- Henseler, J.; Ringle, C.M.; Sinkovics, R.R. The use of partial least squares path modeling in international marketing. Adv. Int. Mark. 2009, 20, 277–319. [Google Scholar] [CrossRef]
- Cohen, J. Statistical Power Analysis for the Behavioral Sciences; Routledge: London, UK, 2013. [Google Scholar] [CrossRef]
- Wold, H. Soft Modelling: The Basic Design and Some Extensions. In Systems under Indirect Observations: Part II; North-Holland: Amsterdam, The Netherlands, 1982. [Google Scholar]
- Danks, N.; Ray, S.; Shmueli, G. Evaluating the Predictive Performance of Constructs in PLS Path Modeling. SSRN Electron. J. 2017, 59, 602. [Google Scholar] [CrossRef]
- Shmueli, G.; Sarstedt, M.; Hair, J.F.; Cheah, J.H.; Ting, H.; Vaithilingam, S.; Ringle, C.M. Predictive model assessment in PLS-SEM: Guidelines for using PLSpredict. Eur. J. Mark. 2019, 53, 2322–2347. [Google Scholar] [CrossRef]
- Pandey, S.; Khare, A. The Role of Retailer Trust and Word of Mouth in Buying Organic Foods in an Emerging Market. J. Food Prod. Mark. 2017, 23, 926–938. [Google Scholar] [CrossRef]
- Hamzah, M.I.; Othman, A.K.; Rashid, W.E.W.; Ngah, N.M.A. The relationship between halal factors and purchase intention of food products as moderated by word-of-mouth communications. Int. J. Bus. Soc. 2020, 21, 865–882. [Google Scholar] [CrossRef]
- Mai, L.W.; Ness, M.R. Canonical correlation analysis of customer satisfaction and future purchase of mail-order speciality food. Br. Food J. 1999, 101, 857–870. [Google Scholar] [CrossRef]
- Martenson, R. Corporate brand image, satisfaction and store loyalty: A study of the store as a brand, store brands and manufacturer brands. Int. J. Retail Distrib. Manag. 2007, 35, 544–555. [Google Scholar] [CrossRef]
- Ryu, K.; Lee, H.; Kim, W.G. The influence of the quality of the physical environment, food, and service on restaurant image, customer perceived value, customer satisfaction, and behavioral intentions. Int. J. Contemp. Hosp. Manag. 2011, 24, 200–223. [Google Scholar] [CrossRef]
Publisher’s Note: MDPI stays neutral with regard to jurisdictional claims in published maps and institutional affiliations. |
© 2022 by the authors. Licensee MDPI, Basel, Switzerland. This article is an open access article distributed under the terms and conditions of the Creative Commons Attribution (CC BY) license (https://creativecommons.org/licenses/by/4.0/).