Estimation of Critical Nitrogen Concentration Based on Leaf Dry Matter in Drip Irrigation Spring Maize Production in Northern China
Abstract
:1. Introduction
2. Materials and Methods
2.1. Field Experiment Design
2.2. Sampling and Measurement
2.3. Critical Nitrogen Dilution Curve
2.4. Nitrogen Nutrition Index
2.5. Relative LDM
2.6. Statistical Analysis
3. Results
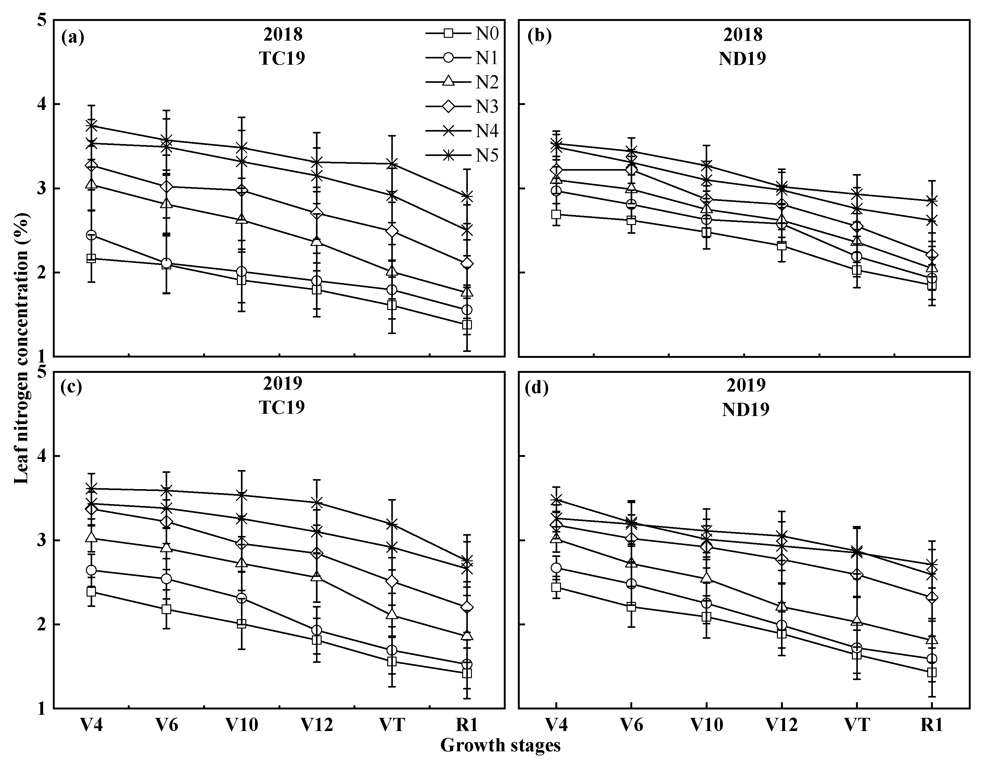
3.1. The Dynamic Change in the Status of Both Spring Maize Cultivar’s LDM and LNC
3.2. Calibration of Nc Curves
3.3. Validation of the Nc Curve
3.4. Changes of NNI Values under Various N Levels
3.5. Relationships between NNI and RLDM
4. Discussion
4.1. Critical Nitrogen Dilution Curves Compared with Other Crops
4.2. Application and Feasibility Analysis of LNC Based Nc Curve
5. Conclusions
Author Contributions
Funding
Institutional Review Board Statement
Informed Consent Statement
Data Availability Statement
Conflicts of Interest
Abbreviations
References
- El-Sorady, G.A.; El-Banna, A.A.A.; Abdelghany, A.M.; Salama, E.A.A.; Ali, H.M.; Siddiqui, M.H.; Hayatu, N.G.; Paszt, L.S.; Lamlom, S.F. Response of bread wheat cultivars inoculated with azotobacter species under different nitrogen application rates. Sustainability 2022, 14, 8394. [Google Scholar] [CrossRef]
- Pan, J.; Meng, Q.; Chen, R.; Cui, Z.; Chen, X. In-season nitrogen management to increase grain yields in maize production. Agron. J. 2017, 109, 2063–3071. [Google Scholar] [CrossRef]
- Zaman, M.; Blennerhassett, J.D. Effects of the different rates of urease and nitrification inhibitors on gaseous emissions of ammonia and nitrous oxide, nitrate leaching and pasture production from urine patches in an intensive grazed pasture system. Agric. Ecosyst. Environ. 2010, 136, 236–246. [Google Scholar] [CrossRef]
- Ata-Ul-Karim, S.T.; Zhu, Y.; Liu, X.; Cao, Q.; Tian, Y.; Cao, W. Comparison of different critical nitrogen dilution curves for nitrogen diagnosis in rice. Sci. Rep. 2017, 7, 42679. [Google Scholar] [CrossRef] [Green Version]
- Ciampitti, I.A.; Makowski, D.; Fernandez, J.; Lacasa, J.; Lemaire, G. Does water availability affect the critical N dilution curves in crops? A case study for maize, wheat, and tall fescue crops. Field Crop Res. 2021, 273, 108301. [Google Scholar] [CrossRef]
- Yoon, C.G.; Kwun, S.K.; Ham, J.H. Effects of treated sewage irrigation on paddy rice culture and its soil. Irrig. Drain. 2001, 50, 227–236. [Google Scholar] [CrossRef]
- Zhou, W.; Yang, Z.; Wang, T.; Fu, Y.; Chen, Y.; Hu, B.; Yamagishi, J.; Ren, W. Environmental compensation effect and synergistic mechanism of optimized nitrogen management increasing nitrogen use efficiency in Indica hybrid rice. Front. Plant Sci. 2019, 10, 0245. [Google Scholar] [CrossRef]
- Ata-Ul-Karim, S.T.; Liu, X.; Lu, Z.; Zheng, H.; Cao, W.; Zhu, Y. Estimation of nitrogen fertilizer requirement for rice crop using critical nitrogen dilution curve. Field Crop Res. 2017, 201, 32–40. [Google Scholar] [CrossRef]
- Miao, Y.; Stewart, B.A.; Zhang, F. Long-term experiments for sustainable nutrient management in China. A review. Agron. Sustain. Dev. 2011, 31, 397–414. [Google Scholar] [CrossRef] [Green Version]
- Zhang, K.; Yuan, Z.F.; Yang, T.C.; Lu, L.L.; Cao, Q.; Tian, Y.C.; Zhu, Y.; Cao, W.X.; Liu, X.J. Chlorophyll meter–based nitrogen fertilizer optimization algorithm and nitrogen nutrition index for in-season fertilization of paddy rice. Agron. J. 2020, 112, 288–300. [Google Scholar] [CrossRef]
- Grohs, D.S.; Bredemeier, C.; Mundstock, C.M.; Poletto, N. Model for yield potential estimation in wheat and barley using the GreenSeeker sensor. Exp. Agr. 2009, 29, 101–112. [Google Scholar]
- Schlemmer, M.; Gitelson, A.; Schepers, J.; Ferguson, R.; Peng, Y.; Shanahan, J.; Rundquist, D. Remote estimation of nitrogen and chlorophyll contents in maize at leaf and canopy levels. Int. J. Appl. Earth Obs. 2013, 25, 47–54. [Google Scholar] [CrossRef] [Green Version]
- Elsayed, S.; Barmeier, G.; Schmidhalter, U. Passive reflectance sensing and digital image analysis allows for assessing the biomass and nitrogen status of wheat in early and late tillering stages. Front. Plant Sci. 2018, 9, 1478. [Google Scholar] [CrossRef] [PubMed]
- Ata-Ul-Karim, S.T.; Yao, X.; Liu, X.; Cao, W.; Zhu, Y. Development of critical nitrogen dilution curve of japonica rice in Yangtze river reaches. Field Crop Res. 2013, 149, 149–158. [Google Scholar] [CrossRef]
- Greenwood, D.J.; Gastal, F.; Lemaire, G.; Draycott, A.; Millard, P.; Neeteson, J.J. Growth rate and % N of field grown crops: Theory and experiments. Ann. Bot. 1991, 67, 181–190. [Google Scholar] [CrossRef]
- He, Z.; Qiu, X.; Ata-Ul-Karim, S.T.; Li, Y.; Liu, X.; Cao, Q.; Zhu, Y.; Cao, W.; Tang, L. Development of a critical nitrogen dilution curve of double cropping rice in South China. Front. Plant Sci. 2017, 8, 0638. [Google Scholar] [CrossRef] [Green Version]
- Huang, S.Y.; Miao, Y.X.; Cao, Q.; Yao, Y.K.; Zhao, G.M.; Yu, W.F.; Shen, J.N.; Yu, K.; Georg, B. A new critical nitrogen dilution curve for rice nitrogen status diagnosis in Northeast China. Pedosphere 2018, 28, 814–822. [Google Scholar] [CrossRef]
- Yin, M.H.; Li, Y.N.; Xu, L.Q.; Shen, S.L.; Fang, H. Nutrition diagnosis for nitrogen in winter wheat based on critical nitrogen dilution curves. Crop Sci. 2018, 58, 416–420. [Google Scholar] [CrossRef]
- Ziadi, N.; Belanger, G.; Claessens, A.; Lefebvre, L.; Cambouris, A.N.; Tremblay, N.; Nolin, N.C.; Parent, L. Determination of a critical nitrogen dilution curve for spring wheat. Agron. J. 2010, 102, 241–250. [Google Scholar] [CrossRef]
- Giletto, C.M.; Echeverría, H.E. Critical nitrogen dilution curve for processing potato in Argentinean Humid Pampas. Am. J. Potato Res. 2012, 89, 102–110. [Google Scholar] [CrossRef]
- Yue, S.C.; Sun, F.; Meng, Q.F.; Zhao, R.F.; Li, F.; Chen, X.P.; Zhang, F.S.; Cui, Z.L. Validation of a critical nitrogen curve for summer maize in the North China plain. Pedosphere 2014, 24, 76–83. [Google Scholar] [CrossRef]
- Zhao, B.; Niu, X.; Ata-Ul-Karim, S.T.; Wang, L.; Duan, A.; Liu, Z.; Lemaire, G. Determination of the post-anthesis nitrogen status using ear critical nitrogen dilution curve and its implications for nitrogen management in maize and wheat. Eur. J. Agron. 2020, 113, 125967. [Google Scholar] [CrossRef]
- Liu, W.; Ming, B.; Xie, R.; Liu, G.; Wang, K.; Yang, Y.; Guo, X.; Hou, P.; Li, S. Change in maize final leaf numbers and its effects on biomass and grain yield across China. Agric. 2020, 10, 411. [Google Scholar] [CrossRef]
- Liang, X.; Zhang, Z.; Zhou, L.; Shen, S.; Gao, Z.; Zhang, L.; Lin, S.; Pan, Y.; Zhou, S. Localization of maize critical N curve and estimation of NNI by Chlorophyll. Int. J. Plant Prod. 2018, 12, 85–94. [Google Scholar] [CrossRef]
- Kage, H.; Alt, C.; Stützel, H. Nitrogen concentration of cauliflower organs as determined by organ size, N supply, and radiation environment. Plant Soil. 2002, 246, 201–209. [Google Scholar] [CrossRef]
- Yao, X.; Ata-Ul-Karim, S.T.; Zhu, Y.; Tian, Y.; Liu, X.; Cao, W. Development of critical nitrogen dilution curve in rice based on leaf dry matter. Eur. J. Agro. 2014, 55, 20–28. [Google Scholar] [CrossRef]
- Song, L.; Wang, S.; Ye, W. Establishment and application of critical nitrogen dilution curve for rice based on leaf dry matter. Agron. 2020, 10, 367. [Google Scholar] [CrossRef] [Green Version]
- Yao, X.; Zhao, B.; Tian, Y.; Liu, X.; Ni, J.; Cao, W.; Zhu, Y. Using leaf dry matter to quantify the critical nitrogen dilution curve for winter wheat cultivated in Eastern China. Field Crops Res. 2014, 159, 33–42. [Google Scholar] [CrossRef]
- Li, X.; Ata-UI-Karim, S.T.; Li, Y.; Yuan, F.; Miao, Y.; Yoichiro, K.; Cheng, T.; Tang, L.; Tian, X.; Liu, X.; et al. Advances in the estimations and applications of critical nitrogen dilution curve and nitrogen nutrition index of major cereal crops. A review. Comput. Electron. Agron. 2022, 197, 106998. [Google Scholar] [CrossRef]
- Dalal, R.C.; Sahrawat, K.L.; Myers, R.J.K. Inclusion of nitrate and nitrite in the Kjeldahl nitrogen determination of soils and plant materials using sodium thiosulphate. Commun. Soil Sci. Plant Anal. 1984, 15, 1453–1461. [Google Scholar] [CrossRef] [Green Version]
- Nelsonand, D.W.; Sommers, L.E.A. Simple digestion procedure for estimation of total nitrogen in soils and sediments. J. Environ. Qual. 1972, 1, 423–425. [Google Scholar] [CrossRef]
- Justes, E.; Mary, B.; Meynard, J.M.; Machet, J.M.; Thelier-Huche, L. Determination of a critical nitrogen dilution curve for winter wheat crops. Ann. Bot. 1994, 74, 397–407. [Google Scholar] [CrossRef]
- Plenet, D.U.D.A.; Lemaire, G. Relationships between dynamics of nitrogen uptake and dry matter accumulation in maize crops. Determination of critical N concentration. Plant Soil. 1999, 216, 65–82. [Google Scholar] [CrossRef]
- Guo, B.; Zhao, X.; Meng, Y.; Liu, M.; Duan, J.; He, L.; Jiao, N.; Feng, W.; Zhu, Y. Establishment of critical nitrogen concentration models in winter wheat under different irrigation levels. Agronomy 2020, 10, 556. [Google Scholar] [CrossRef]
- Mead, R.; Curnow, R.N. Statistical Methods in Agriculture and Experimental Biology; Mead, G., Ed.; Champan and Hall: London, UK, 1983; pp. 157–163. [Google Scholar]
- Rahimikhoob, H.; Sohrabi, T.; Delshad, M. Simulating crop response to nitrogen-deficiency stress using the critical nitrogen concentration concept and the AquaCrop semi-quantitative approach. Sci. Hortic. 2021, 285, 110194. [Google Scholar] [CrossRef]
- Feng, W.; Li, X.; Dong, H.; Qin, Y.; Sun, M.; Shao, J.; Zheng, C.; Li, P. Fruits-based critical nitrogen dilution curve for diagnosing nitrogen status in cotton. Front. Plant Sci. 2022, 13, 801968. [Google Scholar] [CrossRef]
- Zhou, L.; Feng, H.; Zhao, W. Plastic film mulching affects the critical nitrogen dilution curve of drip-irrigated maize. Field Crop Res. 2021, 263, 108055. [Google Scholar] [CrossRef]
- Du, L.; Li, Q.; Li, L.; Wu, Y.; Zhou, F.; Liu, B.; Zhao, B.; Li, X.; Liu, Q.; Kong, F.; et al. Construction of a critical nitrogen dilution curve for maize in Southwest China. Sci. Rep. 2020, 10, 13084. [Google Scholar] [CrossRef]
- Fernandez, J.A.; van Versendaal, E.; Lacasa, J.; Makowski, D.; Lemaire, G.; Ciampitti, I.A. Dataset characteristics for the determination of critical nitrogen dilution curves: From past to new guidelines. Eur. J. Agron. 2022, 139, 126568. [Google Scholar] [CrossRef]
- Chowdhury, M.A.H.; Sultana, T.; Rahman, M.A.; Chowdhury, T.; Enyoh, C.E.; Saha, B.K.; Qingyue, W. Nitrogen use efficiency and critical leaf N concentration of Aloe vera in urea and diammonium phosphate amended soil. Heliyon 2020, 6, e5718. [Google Scholar] [CrossRef]
- Zhao, B.; Ata-Ul-Karim, S.T.; Duan, A.; Liu, Z.; Wang, X.; Xiao, J.; Liu, Z.; Qin, A.; Ning, D.; Zhang, W.; et al. Determination of critical nitrogen concentration and dilution curve based on leaf area index for summer maize. Field Crop Res. 2018, 228, 195–203. [Google Scholar] [CrossRef]
- Zunfu, L.; Ruoyi, J.; Lijuan, D.; Weichen, H.; Ximing, X.; Yongxin, L.; Huqing, Y.; Guoquan, L. A model of plant and ear nitrogen for the diagnosis of nitrogen nutrition of malting barley to coordinate the relationship between grain yield and quality. Eur. J. Agron. 2022, 136, 126488. [Google Scholar] [CrossRef]
- Stoicea, P.; Chiurciu, I.; Soare, E.; Iorga, A.; Dinu, T.; Tudor, V.; Gîdea, M.; David, L. Impact of reducing fertilizers and pesticides on sunflower production in Romania versus EU countries. Sustainability 2022, 14, 8334. [Google Scholar] [CrossRef]
- Arash, R.; Ali, R.; Hamed, E.; Maryam, V. Determination of critical nitrogen dilution curve based on canopy cover data for summer maize. Commun. Soil Sci. Plant 2020, 51, 2244–2256. [Google Scholar]
- Araya, A.; Prasad, P.V.V.; Ciampitti, I.A.; Jha, P.K. Using crop simulation model to evaluate influence of water management practices and multiple cropping systems on crop yields: A case study for Ethiopian highlands. Field Crop Res. 2021, 260, 108004. [Google Scholar] [CrossRef]
- Ciampitti, I.; van Versendaal, E.; Rybecky, J.F.; Lacasa, J.; Fernandez, J.; Makowski, D.; Lemaire, G. A global dataset to parametrize critical nitrogen dilution curves for major crop species. Sci. Data 2022, 9, 277. [Google Scholar] [CrossRef]
- Soratto, R.P.; Sandaña, P.; Fernandes, F.M.; Fernandes, A.M.; Makowski, D.; Ciampitti, I.A. Establishing a critical nitrogen dilution curve for estimating nitrogen nutrition index of potato crop in tropical environments. Field Crop Res. 2022, 286, 108605. [Google Scholar] [CrossRef]
- Sieling, K.; Kage, H. Organ-specific critical N dilution curves and derived NNI relationships for winter wheat, winter oilseed rape and maize. Eur. J. Agron. 2021, 130, 126365. [Google Scholar] [CrossRef]
- Bohman, B.J.; Rosen, C.J.; Mulla, D.J. Relating nitrogen use efficiency to nitrogen nutrition index for evaluation of agronomic and environmental outcomes in potato. Field Crop Res. 2021, 262, 108041. [Google Scholar] [CrossRef]
- Ji, X.M.; Shiran, B.; Wan, J.L.; Lewis, D.C.; Jenkins, C.L.D.; Condon, A.G.; Richards, R.A.; Dolferus, R. Importance of pre-anthesis anther sink strength for maintenance of grain number during reproductive stage water stress in wheat. Plant Cell Environ. 2010, 33, 926–942. [Google Scholar] [CrossRef]
- Hoogmoed, M.; Neuhaus, A.; Noack, S.; Sadras, V.O. Benchmarking wheat yield against crop nitrogen status. Field Crops Res. 2018, 222, 153–163. [Google Scholar] [CrossRef]
- Kunrath, T.R.; Lemaire, G.; Sadras, V.O.; Gastal, F. Water use efficiency in perennial forage species: Interactions between nitrogen nutrition and water deficit. Field Crop Res. 2018, 222, 1–11. [Google Scholar] [CrossRef]
- Irmak, S.; Mohammed, A.T.; Kukal, M.S. Maize response to coupled irrigation and nitrogen fertilization under center pivot, subsurface drip and surface (furrow) irrigation: Growth, development and productivity. Agr. Water Manag. 2022, 263, 107457. [Google Scholar] [CrossRef]
- Xu, S.; Wei, Y.; Laghari, A.H.; Yang, X.; Wang, T. Modelling effect of different irrigation methods on spring maize yield, water and nitrogen use efficiencies in the North China Plain. Math. Biosci. Eng. 2021, 18, 9651–9668. [Google Scholar] [CrossRef]
- Duncan, E.G.; O’Sullivan, C.A.; Roper, M.M.; Palta, J.; Whisson, K.; Peoples, M.B. Yield and nitrogen use efficiency of wheat increased with root length and biomass due to nitrogen, phosphorus, and potassium interactions. J. Plant Nutr. Soil Sci. 2018, 181, 364–373. [Google Scholar] [CrossRef]






| Parameter | Units | Experiments | |||||
|---|---|---|---|---|---|---|---|
| Experiment 1 | Experiment 2 | Experiment 3 | |||||
| Year | 2018 | 2019 | 2020 | ||||
| Site | Pingjibu | Yongning | Pingjibu | Yongning | Pingjibu | Yongning | |
| Cultivar | TC19 | ND19 | TC19 | ND19 | TC19 | ND19 | |
| pH value | 7.82 | 8.53 | 7.98 | 8.44 | 7.76 | 8.57 | |
| Organic matter | g kg−1 | 14.83 | 10.56 | 11.45 | 8.07 | 12.82 | 14.83 |
| Total N | g kg−1 | 0.92 | 0.96 | 0.8 | 0.98 | 0.75 | 0.92 |
| Available N | mg kg−1 | 37.81 | 40.23 | 37.42 | 40.47 | 36.82 | 39.44 |
| Available P | mg kg−1 | 20.63 | 18.96 | 19.04 | 18.33 | 19.37 | 20.63 |
| Available K | mg kg−1 | 109.17 | 108.92 | 102.53 | 106.25 | 105.31 | 111.25 |
| Sowing date | 20/4 | 24/4 | 26/4 | 22/4 | 28/4 | 20/4 | |
| Harvesting date | 22/9 | 20/9 | 16/9 | 18/9 | 18/9 | 22/9 | |
Publisher’s Note: MDPI stays neutral with regard to jurisdictional claims in published maps and institutional affiliations. |
© 2022 by the authors. Licensee MDPI, Basel, Switzerland. This article is an open access article distributed under the terms and conditions of the Creative Commons Attribution (CC BY) license (https://creativecommons.org/licenses/by/4.0/).
Share and Cite
Jia, B.; Fu, J.; Liu, H.; Li, Z.; Lan, Y.; Wei, X.; Zhai, Y.; Yun, B.; Ma, J.; Zhang, H. Estimation of Critical Nitrogen Concentration Based on Leaf Dry Matter in Drip Irrigation Spring Maize Production in Northern China. Sustainability 2022, 14, 9838. https://doi.org/10.3390/su14169838
Jia B, Fu J, Liu H, Li Z, Lan Y, Wei X, Zhai Y, Yun B, Ma J, Zhang H. Estimation of Critical Nitrogen Concentration Based on Leaf Dry Matter in Drip Irrigation Spring Maize Production in Northern China. Sustainability. 2022; 14(16):9838. https://doi.org/10.3390/su14169838
Chicago/Turabian StyleJia, Biao, Jiangpeng Fu, Huifang Liu, Zhengzhou Li, Yu Lan, Xue Wei, Yongquan Zhai, Bingyuan Yun, Jianzhen Ma, and Hao Zhang. 2022. "Estimation of Critical Nitrogen Concentration Based on Leaf Dry Matter in Drip Irrigation Spring Maize Production in Northern China" Sustainability 14, no. 16: 9838. https://doi.org/10.3390/su14169838
APA StyleJia, B., Fu, J., Liu, H., Li, Z., Lan, Y., Wei, X., Zhai, Y., Yun, B., Ma, J., & Zhang, H. (2022). Estimation of Critical Nitrogen Concentration Based on Leaf Dry Matter in Drip Irrigation Spring Maize Production in Northern China. Sustainability, 14(16), 9838. https://doi.org/10.3390/su14169838

