Assessing RAP Multi-Recycling Capacity by the Characterization of Recovered Bitumen Using DSR
Abstract
:1. Introduction
2. Background
3. Materials and Methods
3.1. Materials
3.2. Experimental Procedures
4. Results and Discussion
4.1. Softening Point and Penetration Value
4.2. Rheological Analysis
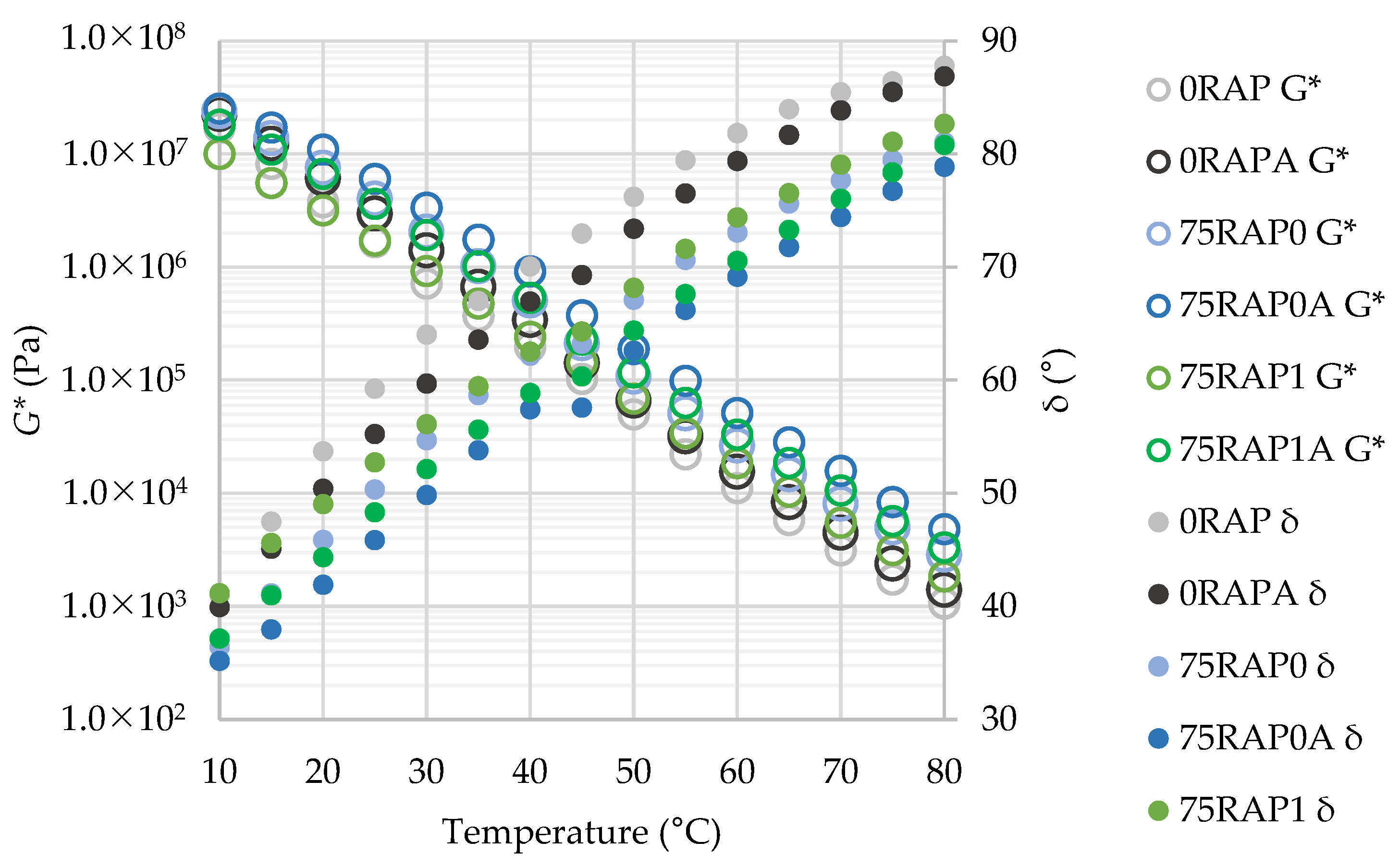
4.2.1. Complex Modulus and Phase Angle
4.2.2. Master Curve Development from Dynamic Shear Rheometer Data
4.2.3. Ageing Indices
4.2.4. Rheological Index
4.2.5. Fatigue Criteria
5. Conclusions
- The bitumen recovered from the second recycling cycle RAP mixtures revealed a lower softening point (4.4% and 4.1%) and a higher penetration value (60.0% and 50.7%) than the bitumen recovered from the first recycling cycle RAP mixtures (non-aged and aged, respectively).
- The penetration index increased from −1.00, in the bitumen from the non-aged virgin mixture, to 0.16, in the second recycling cycle aged RAP mixture, which seems to indicate a decreasing ageing susceptibility throughout the recycling cycles and with ageing.
- The bitumen rheology plotted on the Black diagram showed that the successive recycling cycles did not affect the rheological performance of the bitumen. The use of a rejuvenator containing a percentage of virgin bitumen led to the obtention of a behavior that does not compromise the performance of the bituminous mixture.
- The bitumen recovered from the RAP mixtures and virgin mixtures presented similar ageing indices, which shows that the bitumen blends (aged bitumen from RAP + rejuvenator + virgin bitumen) were not prone to ageing when compared with the virgin bitumen.
- The R-value- space diagrams showed that the successive recycling cycles were not translated into an increased tendency toward crack development. Furthermore, the bitumen from the second recycling cycle RAP mixtures presented lower R-values (2.8% and 5.4%) and higher (141.2% and 88.0%) compared with the bitumen from the first recycling cycle RAP mixtures, for non-aged and aged conditions, respectively. This demonstrates the multi-recycling potential of the RAP.
- The results plotted on the Black diagram of the complex modulus and phase angle, determined for a frequency of 0.005 rad/s at 15 °C (G-R parameter), confirmed that the bitumen recovered from the RAP mixtures did not present a tendency to develop cracking, as the values obtained were less than G-R = 180 kPa. Moreover, it was verified that the bitumen from the second recycling cycle RAP mixtures presented lower G-R values (77.8% and 55.3%) than the bitumen from the first recycling cycle RAP mixtures, for non-aged and aged conditions, respectively. This indicates that the rheological properties of the bitumen can be recovered using a rejuvenator. The bitumen from the second recycling cycle RAP mixture and from the virgin mixture were similar.
- All bitumen presented values far from the SHRP fatigue criteria limit (G″ ≤ 5000 kPa), hence confirming the results obtained for the G-R parameter.
- It was found that both the softening point and penetration tests presented a good correlation with the G-R parameter and that the softening point presented a strong correlation with the R-value. Despite the tests failing to give further information on the rheological performance of the bitumen and, consequently, on the cracking and ageing susceptibility, these tests could be used as a first indicator in practices of multi-recycling feasibility; however, rheological characterization is fundamental to an accurate evaluation.
Author Contributions
Funding
Acknowledgments
Conflicts of Interest
References
- Antunes, V.; Freire, A.; Neves, J. A review on the effect of RAP recycling on bituminous mixtures properties and the viability of multi-recycling. Constr. Build. Mater. 2019, 211, 453–469. [Google Scholar] [CrossRef]
- Qiao, Y.; Dawson, A.R.; Parry, T.; Flintsch, G.; Wang, W. Flexible Pavements and Climate Change: A Comprehensive Review and Implications. Sustainability 2020, 12, 1057. [Google Scholar] [CrossRef]
- EAPA. Asphalt the 100% Recyclable Construction Product EAPA Position Paper; EAPA: Brussels, Belgium, 2014. [Google Scholar]
- Zaumanis, M.; Mallick, R.B.; Frank, R. 100% recycled hot mix asphalt: A review and analysis. Resour. Conserv. Recycl. 2014, 92, 230–245. [Google Scholar] [CrossRef]
- Zaumanis, M.; Mallick, R.B.; Frank, R. Evaluation of Rejuvenator’s Effectiveness with Conventional Mix Testing for 100% RAP Mixtures, TRB 2013. Annu. Meet. 2013, 2370, 17–25. [Google Scholar] [CrossRef]
- Zaumanis, M.; Mallick, R.B. Review of very high-content reclaimed asphalt use in plant-produced pavements: State of the art. Int. J. Pavement Eng. 2014, 16, 39–55. [Google Scholar] [CrossRef]
- Mogawer, W.S.; Bennert, T.; Austerman, A.J.; Ericson, C. AAPT Symposium: Investigating the aging mitigation capabilities of rejuvenators in high RAP mixtures using Black Space diagrams, binder rheology and mixture tests. J. Assoc. Asph. Paving Technol. 2015, 84, 705–736. [Google Scholar]
- Bocci, E.; Mazzoni, G.; Canestrari, F. Ageing of rejuvenated bitumen in hot recycled bituminous mixtures: Influence of bitumen origin and additive type. Road Mater. Pavement Des. 2019, 20, S127–S148. [Google Scholar] [CrossRef]
- Hugener, M.; Kawakami, A. Simulating repeated recycling of hot mix asphalt. Road Mater. Pavement Des. 2017, 18, 76–90. [Google Scholar] [CrossRef]
- Su, K.; Hachiya, Y.; Maekawa, R. Laboratory investigation of possibility of re-recycling asphalt concretes. In Proceedings of the 6th ICPT, Sapporo, Japan, 20–23 July 2008; pp. 435–442. [Google Scholar]
- Zhang, H.; Liu, H.; Zhang, Z. Study on the mechanism of the repeated asphalt ageing and recycling based on the macro-performance. Road Mater. Pavement Des. 2015, 17, 920–932. [Google Scholar] [CrossRef]
- Stimilli, A.; Virgili, A.; Canestrari, F. New method to estimate the “re-activated” binder amount in recycled hot-mix asphalt. Road Mater. Pavement Des. 2015, 16, 442–459. [Google Scholar] [CrossRef]
- Sreeram, A.; Leng, Z.; Zhang, Y.; Padhan, R.K. Evaluation of RAP binder mobilisation and blending efficiency in bituminous mixtures: An approach using ATR-FTIR and artificial aggregate. Constr. Build. Mater. 2018, 179, 245–253. [Google Scholar] [CrossRef]
- Sreeram, A.; Leng, Z.; Hajj, R.; Ferreira, W.L.G.; Tan, Z.; Bhasin, A. Fundamental investigation of the interaction mechanism between new and aged binders in binder blends. Int. J. Pavement Eng. 2020, 23, 1317–1327. [Google Scholar] [CrossRef]
- Sreeram, A.; Leng, Z. Variability of rap binder mobilisation in hot mix asphalt mixtures. Constr. Build. Mater. 2019, 201, 502–509. [Google Scholar] [CrossRef]
- Antunes, V.; Freire, A.; Neves, J. Investigating aged binder mobilization and performance of RAP mixtures for surface courses. Constr. Build. Mater. 2020, 271, 121511. [Google Scholar] [CrossRef]
- Tauste-Martínez, R.; Navarro, F.M.M.; Sol-Sánchez, M.; Rubio-Gamez, M.C. Understanding the bitumen ageing phenomenon: A review. Constr. Build. Mater. 2018, 192, 593–609. [Google Scholar] [CrossRef]
- Tauste, R.; Moreno-Navarro, F.; Sol-Sánchez, M.; Rubio-Gámez, M.C. The Effect of the Nature of Rejuvenators on the Rheological Properties of Aged Asphalt Binders. In RILEM Bookseries; Springer: Cham, Germany, 2018; pp. 220–225. [Google Scholar] [CrossRef]
- Koudelka, T.; Coufalik, P.; Fiedler, J.; Coufalikova, I.; Varaus, M.; Yin, F. Rheological evaluation of asphalt blends at multiple rejuvenation and aging cycles. Road Mater. Pavement Des. 2019, 20, S3–S18. [Google Scholar] [CrossRef]
- Androji, I. Ageing of hot mix asphalt. J. Croat. Assoc. Civ. Eng. 2016, 68, 477–483. [Google Scholar] [CrossRef]
- Nie, Y.; Sun, S.; Ou, Y.; Zhou, C.; Mao, K. Experimental Investigation on Asphalt Binders Ageing Behavior and Rejuvenating Feasibility in Multicycle Repeated Ageing and Recycling. Adv. Mater. Sci. Eng. 2018, 2018, 5129260. [Google Scholar] [CrossRef]
- Subhy, A.; Pires, G.M.; Presti, D.L.; Airey, G. The effects of laboratory ageing on rheological and fracture characteristics of different rubberised bitumens. Constr. Build. Mater. 2018, 180, 188–198. [Google Scholar] [CrossRef]
- Moreno-Navarro, F.; Sol-Sánchez, M.; Del Barco, A.J.; Rubio-Gámez, M. Analysis of the influence of binder properties on the mechanical response of bituminous mixtures. Int. J. Pavement Eng. 2015, 18, 73–82. [Google Scholar] [CrossRef]
- Crucho, J.; Picado-Santos, L.; Neves, J.; Capitão, S.; Al-Qadi, I.L. Tecnico accelerated ageing (TEAGE)—A new laboratory approach for bituminous mixture ageing simulation. Int. J. Pavement Eng. 2020, 21, 753–765. [Google Scholar] [CrossRef]
- Cheraghian, G.; Wistuba, M.P.; Kiani, S.; Behnood, A.; Afrand, M.; Barron, A.R. Engineered nanocomposites in asphalt binders. Nanotechnol. Rev. 2022, 11, 1047–1067. [Google Scholar] [CrossRef]
- Antunes, V.; Freire, A.C.; Quaresma, L.; Micaelo, R. Effect of the chemical composition of fillers in the filler–bitumen interaction. Constr. Build. Mater. 2016, 104, 85–91. [Google Scholar] [CrossRef]
- Antunes, V.; Freire, A.; Quaresma, L.; Micaelo, R. Influence of the geometrical and physical properties of filler in the filler–bitumen interaction. Constr. Build. Mater. 2015, 76, 322–329. [Google Scholar] [CrossRef]
- Mogawer, W.S.; Booshehrian, A.; Vahidi, S.; Austerman, A.J. Evaluating the effect of rejuvenators on the degree of blending and performance of high RAP, RAS, and RAP/RAS mixtures. Road Mater. Pavement Des. 2013, 14, 193–213. [Google Scholar] [CrossRef]
- Zhang, J.; Guo, C.; Chen, T.; Zhang, W.; Yao, K.; Fan, C.; Liang, M.; Guo, C.; Yao, Z. Evaluation on the mechanical performance of recycled asphalt mixtures incorporated with high percentage of RAP and self-developed rejuvenators. Constr. Build. Mater. 2020, 269, 121337. [Google Scholar] [CrossRef]
- McDaniel, R.S.; Kowalski, K.K.J.; Shah, A.A. Evaluation of Reclaimed Asphalt Pavement for Surface Mixtures; Joint Transportation Research Program, Indiana Department of Transportation and Purdue University: West Lafayette, Indiana, 2012. [Google Scholar] [CrossRef]
- Rowe, G.M.; King, G.; Anderson, M. The Influence of Binder Rheology on the Cracking of Asphalt Mixes in Airport and Highway Projects. J. Test. Eval. 2014, 42, 1063–1072. [Google Scholar] [CrossRef]
- Anderson, D.A.; Le Hir, Y.M.; Marasteanu, M.O.; Planche, J.-P.; Martin, D.; Gauthier, G. Evaluation of Fatigue Criteria for Asphalt Binders. Transp. Res. Rec. J. Transp. Res. Board 2001, 1766, 48–56. [Google Scholar] [CrossRef]
- Deacon, C.L.; Harvey, J.A.; Tayebali, J.T.; Monismith, A. Influence of Binder Loss Modulus on the Fatigue Performance. J. Assoc. Asph. Paving Technol. 1997, 66, 633–668. [Google Scholar]
- Petersen, J.C.; Robertson, R.E.; Branthaver, J.F.; Harnsberger, P.M.; Duvall, J.J.; Kim, S.S.; Anderson, D.A.; Christiansen, D.W.; Bahia, H.U. Binder Characterization and Evaluation. 1994. Volume 1. No SHRP-A-367. Available online: http://trid.trb.org/view.aspx?id=405682 (accessed on 20 November 2020).
- Porot, L. Rheology and Bituminous Binder, A Review of Different Analyses. In RILEM Bookseries; Springer: Cham, Germany, 2018; pp. 50–55. [Google Scholar] [CrossRef]
- Nur, N.I.; Chailleux, E.; Airey, G.D. A comparative study of the influence of shift factor equations on master curve construction. Int. J. Pavement Res. Technol. 2011, 4, 324–336. [Google Scholar] [CrossRef]
- Jongepier, R.; Kuilman, B.; Schmidt, R.J.; Puzinaukas, V.P.; Rostler, F.S. Characteristics of the rheology of bitumens. Proc. Assoc. Asph. Paving Technol. 1969, 38, 98–122. [Google Scholar]
- Rowe, G.M.; Sharrock, M.J. Alternate Shift Factor Relationship for Describing Temperature Dependency of Viscoelastic Behavior of Asphalt Materials. Transp. Res. Rec. J. Transp. Res. Board 2011, 2207, 125–135. [Google Scholar] [CrossRef]
- Pellinen, T.K.; Witczak, M.W.; Bonaquist, R.F. Asphalt mix master curve construction using sigmoidal fitting function with non-linear least squares optimization. In Proceedings of the 15th ASCE Engineering Mechanics Conference, New York, NY, USA, 2–5 June 2003; pp. 83–101. [Google Scholar]
- Dobson, G.R.; Monismith, C.L.; Puzinaukas, V.P.; Busching, H.W. The dynamic mechanical properties of bitumen. Assoc. Asph. Paving Technol. Proc. 1969, 38, 123–139. [Google Scholar]
- Chailleux, E.; Ramond, G.; Such, C.; de La Roche, C. A mathematical-based master-curve construction method applied to complex modulus of bituminous materials. Road Mater. Pavement Des. 2006, 7, 75–92. [Google Scholar] [CrossRef]
- Garcia, G.; Thompson, M. HMA Dynamic Modulus Predictive Models—A Review; Illinois Center for Transportation: Rantoul, IL, USA, 2007. [Google Scholar]
- Williams, M.L.; Landel, R.F.; Ferry, J.D. The Temperature Dependence of Relaxation Mechanisms in Amorphous Polymers and Other Glass-forming Liquids. J. Am. Chem. Soc. 1955, 77, 3701–3707. [Google Scholar] [CrossRef]
- Rowe, G.; Baumgardner, G.; Sharrock, M. Functional forms for master curve analysis of bituminous materials. In Advanced Testing and Characterization of Bituminous Materials, Two Volume Set; CRC Press: Boca Raton, FL, USA, 2009; pp. 81–92. [Google Scholar] [CrossRef]
- Kaelble, D.H.; Shaw, M.T. Computer-Aided Design of Polymers and Composites. J. Eng. Mater. Technol. 1985, 107, 248. [Google Scholar] [CrossRef]
- Airey, G.; Mohammed, M.; Collop, A.C.; Hayes, C.J.; Parry, T. Linear Viscoelastic Behaviour of Polyacrylate Binders and Bitumen Blends. Road Mater. Pavement Des. 2008, 9, 13–35. [Google Scholar] [CrossRef]
- Mirza, M.W.; Witczak, M.W. Development of a global aging system for short and long term aging of asphalt cements. J. Assoc. Asph. Paving 1995, 64, 393–430. [Google Scholar]
- Gordon, G.; Shaw, M. Computer Programs for Rheologists; Hanser/Gardner: Munich, Germany, 1994. [Google Scholar]
- Christensen, D.W.; Anderson, D.A.; Rowe, G. Relaxation spectra of asphalt binders and the Christensen–Anderson rheological model. Road Mater. Pavement Des. 2017, 18, 382–403. [Google Scholar] [CrossRef]
- AASHTO. Mechanistic-Empirical Pavement Design Guide. A Manual of Practice; American Association of State Highway and Transportation Officials: Washinton, DC, USA, 2014; ISBN 978-1-56051-423-7. [Google Scholar]
- Rowe, G.M. Rheology Considerations for Recycled and Recovered Binder. Pavement Performance Prediction Symposium—Binder Issues Affecting the Durability of RAP and WMA Pavements; Federal Highway Administration Washington, Westerm Research Institute, University of Wyoming Cpnference Center: Laramie, WY, USA, 2012. [Google Scholar]
- Rowe, G.M.; Sharrock, M.J. Cracking of asphalt pavements and the development of specifications with rheological measurements. In Proceedings of the 6th Eurasphalt & Eurobitume Congress, Prague, Czech Republic, 1–3 June 2016. [Google Scholar] [CrossRef]
- AASHTO. Mixture Conditioning of Hot Mix Asphalt (HMA); AASHTO R 30-02; American Association of State Highway and Transportation Officials: Washington, DC, USA, 2006. [Google Scholar]
- CEN, EN 12697-3:2013+A1:2018; Bituminous mixtures. Test methods—Part 3: Bitumen Recovery: Rotary Evaporator. European Committee for Standardization: Brussels, Belgium, 2018.
- Pfeiffer, J.P.; van Doormaal, P.M. The rheological properties of asphaltic bitumens. J. Inst. Pet. 1936, 22, 414–440. [Google Scholar]
- Hunter, R.; Self, A.; Read, J. The Shell Bitumen Handbook, 6th ed.; ICE Publishing: London, UK, 2015. [Google Scholar]
- Abatech Inc. Rheology Analysis Software Users Manual—RHEA TM; Abatech Inc.: Scotch Plains, NJ, USA, 2011. [Google Scholar]








| Recycling Cycle | Softening Point (°C) | Penetration 25 °C (10−1 mm) |
|---|---|---|
| 1st recycling cycle | 67.5 | 19.5 |
| 2nd recycling cycle | 68 | 22 |
| Samples | Bitumen | Mixture | |||
|---|---|---|---|---|---|
| Neat Bitumen (by Mass of Total Bitumen) | RAP Bitumen (by Mass of Total Bitumen) | Rejuvenator (by Mass of RAP Bitumen) | Ageing | Composition | |
| 0RAP | 100% | 0% | 0% | No | Virgin aggregates |
| 0RAPA | 100% | 0% | 0% | Yes | |
| 75RAP0 | 30% | 70% | 4.5% | No | 25% virgin aggregates 75% RAP |
| 75RAP0A | 30% | 70% | 4.5% | Yes | |
| 75RAP1 | 28% | 72% | 5.0% | No | 25% virgin aggregates 75% RAP |
| 75RAP1A | 28% | 72% | 5.0% | Yes | |
| Parameter | Configuration 1 | Configuration 2 |
|---|---|---|
| Temperature | 10–40 °C (5 °C intervals) | 25–80 °C (5 °C intervals) |
| Frequency | 0.1–20 Hz | 0.1–20 Hz |
| Geometry | Parallel plates ø 8 mm | Parallel plates ø 25 mm |
| Gap | 2 mm | 1 mm |
| Bitumen | Softening Point (°C) | P (10−1 mm) | Penetration Index |
|---|---|---|---|
| 0RAP | 55.2 | 31 | −1.00 |
| 0RAPA | 57.9 | 27 | −0.75 |
| 75RAP0 | 62.7 | 20 | −0.40 |
| 75RAP0A | 67.5 | 15 | −0.12 |
| 75RAP1 | 60.0 | 32 | 0.00 |
| 75RAP1A | 64.7 | 23 | 0.16 |
| Bitumen | 0RAP | 0RAPA | 75RAP0 | 75RAP0A | 75RAP1 | 75RAP1A |
|---|---|---|---|---|---|---|
| G*min (Pa) | ||||||
| G*max (Pa) | ||||||
| δmin (°) | ||||||
| δmax (°) |
Publisher’s Note: MDPI stays neutral with regard to jurisdictional claims in published maps and institutional affiliations. |
© 2022 by the authors. Licensee MDPI, Basel, Switzerland. This article is an open access article distributed under the terms and conditions of the Creative Commons Attribution (CC BY) license (https://creativecommons.org/licenses/by/4.0/).
Share and Cite
Antunes, V.; Moreno, F.; Rubio-Gámez, M.; Freire, A.C.; Neves, J. Assessing RAP Multi-Recycling Capacity by the Characterization of Recovered Bitumen Using DSR. Sustainability 2022, 14, 10171. https://doi.org/10.3390/su141610171
Antunes V, Moreno F, Rubio-Gámez M, Freire AC, Neves J. Assessing RAP Multi-Recycling Capacity by the Characterization of Recovered Bitumen Using DSR. Sustainability. 2022; 14(16):10171. https://doi.org/10.3390/su141610171
Chicago/Turabian StyleAntunes, Vítor, Fernando Moreno, Maria Rubio-Gámez, Ana Cristina Freire, and José Neves. 2022. "Assessing RAP Multi-Recycling Capacity by the Characterization of Recovered Bitumen Using DSR" Sustainability 14, no. 16: 10171. https://doi.org/10.3390/su141610171
APA StyleAntunes, V., Moreno, F., Rubio-Gámez, M., Freire, A. C., & Neves, J. (2022). Assessing RAP Multi-Recycling Capacity by the Characterization of Recovered Bitumen Using DSR. Sustainability, 14(16), 10171. https://doi.org/10.3390/su141610171
