Acidified Carbon with Variable Irrigation Sources Impact on Rice Growth and Yield under Cd Toxic Alkaline Soil Conditions
Abstract
:1. Introduction
2. Materials and Methods
2.1. Experimental Site and Design
2.2. Treatment Plan
2.3. Preparation of Acidified Carbon
2.4. Irrigation
2.5. Harvesting of Crop
2.6. Electrolyte Leakage
2.7. Chlorophyll Contents and Gas Exchange Attributes
2.8. Plant Digestion
2.9. Acidified Carbon and Soil Total Cadmium
2.10. Statistical Analysis
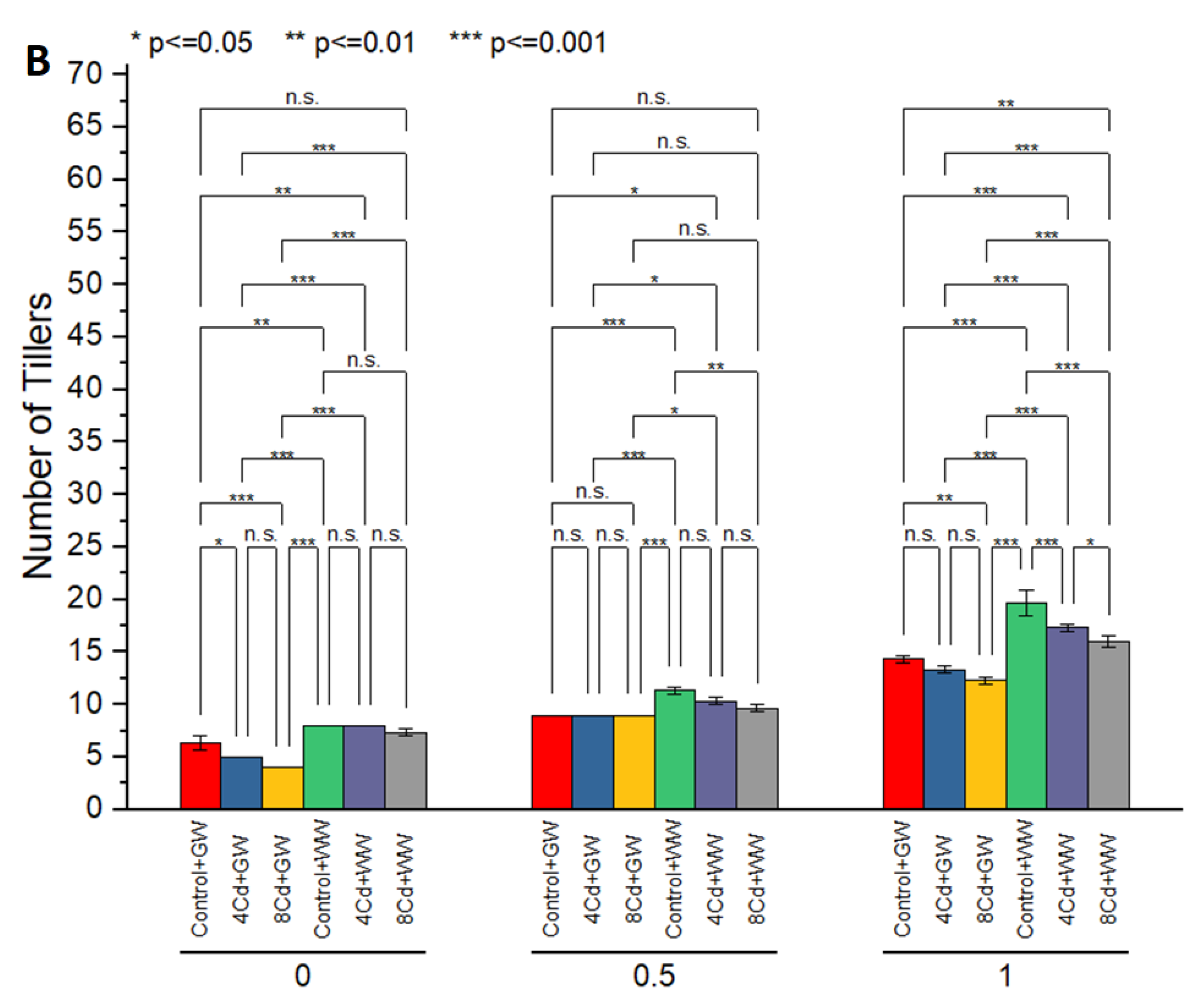
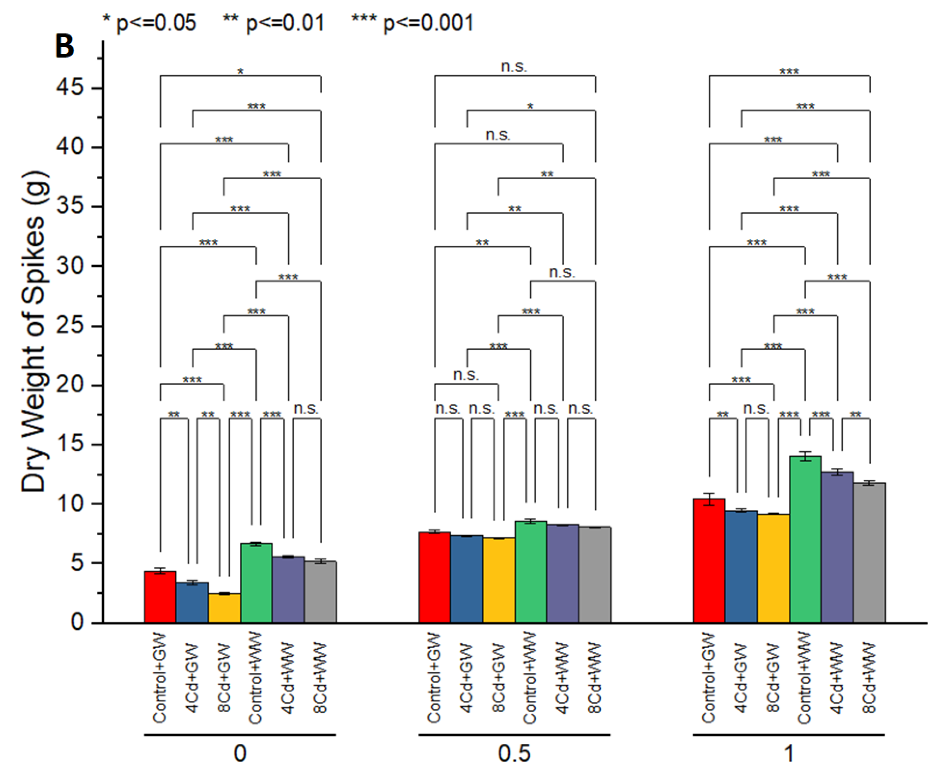
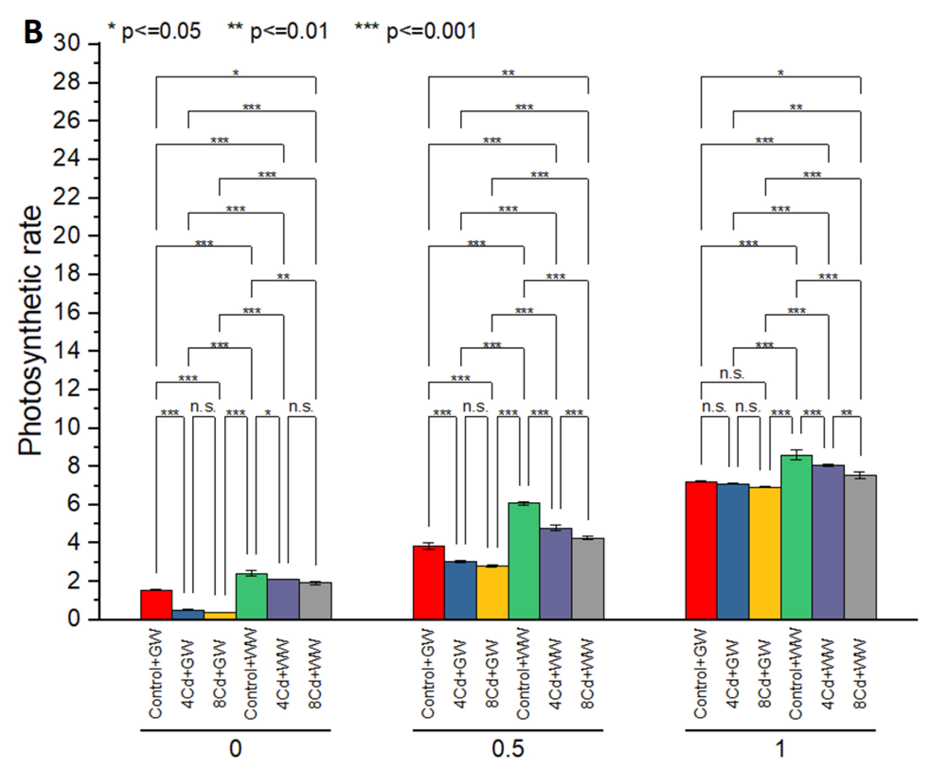
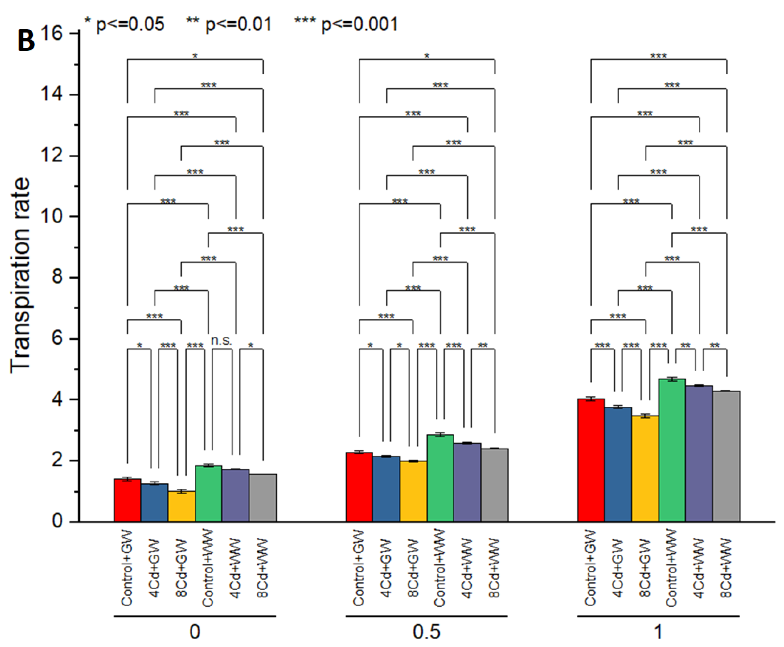
3. Results
4. Discussion
5. Conclusions
Author Contributions
Funding
Institutional Review Board Statement
Informed Consent Statement
Data Availability Statement
Acknowledgments
Conflicts of Interest
References
- Abid, M.; Danish, S.; Zafar-ul-Hye, M.; Shaaban, M.; Iqbal, M.M.; Rehim, A.; Qayyum, M.F.; Naqqash, M.N. Biochar Increased Photosynthetic and Accessory Pigments in Tomato (Solanum lycopersicum L.) Plants by Reducing Cadmium Concentration under Various Irrigation Waters. Environ. Sci. Pollut. Res. 2017, 24, 22111–22118. [Google Scholar] [CrossRef]
- Roth, U.; Von Roepenack-Lahaye, E.; Clemens, S. Proteome Changes in Arabidopsis thaliana Roots upon Exposure to Cd2+. J. Exp. Bot. 2006, 57, 4003–4013. [Google Scholar] [CrossRef] [PubMed]
- Ekmekçi, Y.; Tanyolac, D.; Ayhan, B. Effects of Cadmium on Antioxidant Enzyme and Photosynthetic Activities in Leaves of Two Maize Cultivars. J. Plant Physiol. 2008, 165, 600–611. [Google Scholar] [CrossRef] [PubMed]
- Vassilev, A.; Perez-Sanz, A.; Semane, B.; Carleer, R.; Vangronsveld, J. Cadmium Accumulation and Tolerance of Two Salix Genotypes Hydroponically Grown in Presence of Cadmium. J. Plant Nutr. 2005, 28, 2159–2177. [Google Scholar] [CrossRef]
- Uraguchi, S.; Mori, S.; Kuramata, M.; Kawasaki, A.; Arao, T.; Ishikawa, S. Root-to-Shoot Cd Translocation via the Xylem Is the Major Process Determining Shoot and Grain Cadmium Accumulation in Rice. J. Exp. Bot. 2009, 60, 2677–2688. [Google Scholar] [CrossRef]
- Verbruggen, N.; Hermans, C.; Schat, H. Molecular Mechanisms of Metal Hyperaccumulation in Plants. New Phytol. 2009, 181, 759–776. [Google Scholar] [CrossRef]
- Randhawa, M.A.; Ahmad, G.; Anjum, F.M.; Asghar, A.; Sajid, M.W. Heavy Metal Contents and Their Daily Intake in Vegetables under Peri-Urban Farming System of Multan, Pakistan. Pak. J. Agric. Sci. 2014, 51, 1125–1131. [Google Scholar]
- Ensink, J.H.J.; Simmons, R.W.; van der Hoek, W. Wastewater Use in Pakistan: The Cases of Haroonabad and Faisalabad. In Wastewater Use in Irrigated Agriculture: Confronting the Livelihood and Environmental Realities; International Water Management Institute (IWMI): Battaramulla, Sri Lanka, 2009; pp. 91–99. [Google Scholar]
- Qadir, M.; Ghafoor, A.; Murtaza, G. Cadmium Concentration in Vegetables Grown on Urban Soils Irrigated with Untreated Municipal Sewage. Environ. Dev. Sustain. 2000, 2, 13–21. [Google Scholar] [CrossRef]
- Murtaza, G.; Ghafoor, A.; Qadir, M. Accumulation and Implications of Cadmium, Cobalt and Manganese in Soils and Vegetables Irrigated with City Effluent. J. Sci. Food Agric. 2008, 88, 100–107. [Google Scholar] [CrossRef]
- Sarwar, T.; Shahid, M.; Natasha; Khalid, S.; Shah, A.H.; Ahmad, N.; Naeem, M.A.; ul Haq, Z.; Murtaza, B.; Bakhat, H.F. Quantification and Risk Assessment of Heavy Metal Build-up in Soil–Plant System after Irrigation with Untreated City Wastewater in Vehari, Pakistan. Environ. Geochem. Health 2020, 42, 4281–4297. [Google Scholar] [CrossRef] [PubMed]
- Khan, S.A.; Khan, L.; Hussain, I.; Marwat, K.B.; Akhtar, N. Profile of Heavy Metals in Selected Medicinal Plants. J. Weed Sci. Res. 2008, 14, 101–110. [Google Scholar]
- Hussain, S.I.; Ghafoor, A.; Ahmad, S.; Murtaza, G.; Sabir, M. Irrigation of Crops with Raw Sewage: Hazard Assessment of Effluent, Soil and Vegetables. Pak. J. Agric. Sci. 2006, 43, 97–102. [Google Scholar]
- Malamis, S.; Katsou, E.; Haralambous, K.J. Study of Ni (II), Cu (II), Pb (II), and Zn (II) Removal Using Sludge and Minerals Followed by MF/UF. Water Air Soil Pollut. 2011, 218, 81–92. [Google Scholar] [CrossRef]
- Freddo, A.; Cai, C.; Reid, B.J. Environmental Contextualisation of Potential Toxic Elements and Polycyclic Aromatic Hydrocarbons in Biochar. Environ. Pollut. 2012, 171, 18–24. [Google Scholar] [CrossRef] [PubMed]
- Abbas, T.; Rizwan, M.; Ali, S.; Zia-ur-Rehman, M.; Farooq Qayyum, M.; Abbas, F.; Hannan, F.; Rinklebe, J.; Ok, Y.S. Effect of Biochar on Cadmium Bioavailability and Uptake in Wheat (Triticum aestivum L.) Grown in a Soil with Aged Contamination. Ecotoxicol. Environ. Saf. 2017, 140, 37–47. [Google Scholar] [CrossRef]
- Sun, J.; Fan, Q.; Ma, J.; Cui, L.; Quan, G.; Yan, J.; Wu, L.; Hina, K.; Abdul, B.; Wang, H. Effects of Biochar on Cadmium (Cd) Uptake in Vegetables and Its Natural Downward Movement in Saline-Alkali Soil. Environ. Pollut. Bioavailab. 2020, 32, 36–46. [Google Scholar] [CrossRef]
- Vinh, N.C.; Hien, N.V.; Anh, M.T.L.; Lehmann, J.; Joseph, S. Biochar Treatment and Its Effects on Rice and Vegetable Yields in Mountainous Areas of Northern Vietnam. Int. J. Agric. Soil Sci. 2014, 2, 5–13. [Google Scholar]
- Joseph, S.; Pow, D.; Dawson, K.; Rust, J.; Munroe, P.; Taherymoosavi, S.; Mitchell, D.R.G.; Robb, S.; Solaiman, Z.M. Biochar Increases Soil Organic Carbon, Avocado Yields and Economic Return over 4 Years of Cultivation. Sci. Total Environ. 2020, 724, 138153. [Google Scholar] [CrossRef] [PubMed]
- Madiba, O.F.; Solaiman, Z.M.; Carson, J.K.; Murphy, D.V. Biochar Increases Availability and Uptake of Phosphorus to Wheat under Leaching Conditions. Biol. Fertil. Soils 2016, 52, 439–446. [Google Scholar] [CrossRef]
- Danish, S.; Younis, U.; Akhtar, N.; Ameer, A.; Ijaz, M.; Nasreen, S.; Huma, F.; Sharif, S.; Ehsanullah, M. Phosphorus Solubilizing Bacteria and Rice Straw Biochar Consequence on Maize Pigments Synthesis. Int. J. Biosci. 2015, 5, 31–39. [Google Scholar] [CrossRef]
- Fiaz, K.; Danish, S.; Younis, U.; Malik, S.A.; Raza Shah, M.H.; Niaz, S. Drought Impact on Pb/Cd Toxicity Remediated by Biochar in Brassica Campestris. J. Soil Sci. Plant Nutr. 2014, 14, 845–854. [Google Scholar] [CrossRef]
- Younis, U.; Qayyum, M.F.; Shah, M.H.R.; Danish, S.; Shahzad, A.N.; Malik, S.A.; Mahmood, S. Growth, Survival, and Heavy Metal (Cd and Ni) Uptake of Spinach (Spinacia oleracea) and Fenugreek (Trigonella corniculata) in a Biochar-Amended Sewage-Irrigated Contaminated Soil. J. Plant Nutr. Soil Sci. 2015, 178, 209–217. [Google Scholar] [CrossRef]
- Danish, S.; Younis, U.; Nasreen, S.; Akhtar, N.; Iqbal, M.T. Biochar Consequences on Cations and Anions of Sandy Soil. J. Biodivers. Environ. Sci. 2015, 6, 121–131. [Google Scholar]
- Zafar-ul-Hye, M.; Danish, S.; Abbas, M.; Ahmad, M.; Munir, T.M. ACC Deaminase Producing PGPR Bacillus amyloliquefaciens and Agrobacterium fabrum along with Biochar Improve Wheat Productivity under Drought Stress. Agronomy 2019, 9, 343. [Google Scholar] [CrossRef]
- Zafar-ul-Hye, M.; Tahzeeb-ul-Hassan, M.; Abid, M.; Fahad, S.; Brtnicky, M.; Dokulilova, T.; Datta, R.; Danish, S. Potential Role of Compost Mixed Biochar with Rhizobacteria in Mitigating Lead Toxicity in Spinach. Sci. Rep. 2020, 10, 12159. [Google Scholar] [CrossRef] [PubMed]
- Danish, S.; Zafar-ul-Hye, M.; Fahad, S.; Saud, S.; Brtnicky, M.; Hammerschmiedt, T.; Datta, R. Drought Stress Alleviation by ACC Deaminase Producing Achromobacter Xylosoxidans and Enterobacter Cloacae, with and without Timber Waste Biochar in Maize. Sustainability 2020, 12, 6286. [Google Scholar] [CrossRef]
- Hashmi, S.; Younis, U.; Danish, S.; Munir, T.M. Pongamia Pinnata L. Leaves Biochar Increased Growth and Pigments Syntheses in Pisum sativum L. Exposed to Nutritional Stress. Agriculture 2019, 9, 153. [Google Scholar] [CrossRef]
- El-Naggar, A.; Lee, S.S.; Awad, Y.M.; Yang, X.; Ryu, C.; Rizwan, M.; Rinklebe, J.; Tsang, D.C.W.; Ok, Y.S. Influence of Soil Properties and Feedstocks on Biochar Potential for Carbon Mineralization and Improvement of Infertile Soils. Geoderma 2018, 332, 100–108. [Google Scholar] [CrossRef]
- Workman, D. Rice Exports by Country. World’s Top Exports 2019, 16–18. Available online: https://www.worldstopexports.com/rice-exports-country/ (accessed on 17 July 2022).
- Juliano, B.O. Rice in Human Nutrition; Food and Agriculture Organization of the United Nations: Rome, Italy, 1993; ISBN 9251031495. [Google Scholar]
- Wasim, M.P. A Study of Rice in the Major Growing Countries of the World: Their Growth Instability and World Share. Pak. Econ. Soc. Rev. 2002, 40, 153–183. [Google Scholar]
- Rizwan, M.; Ali, S.; Adrees, M.; Rizvi, H.; Zia-ur-Rehman, M.; Hannan, F.; Qayyum, M.F.; Hafeez, F.; Ok, Y.S. Cadmium Stress in Rice: Toxic Effects, Tolerance Mechanisms, and Management: A Critical Review. Environ. Sci. Pollut. Res. 2016, 23, 17859–17879. [Google Scholar] [CrossRef]
- Mclaughlin, H. Characterizing Biochars Prior to Addition to Soils–Version I, Jan 2010. In Proceedings of the North America Biochar Conference, Boulder, CO, USA, 12–15 September 2010; pp. 1–8. Available online: https://www.google.com.hk/url?sa=t&rct=j&q=&esrc=s&source=web&cd=&cad=rja&uact=8&ved=2ahUKEwiEhOzC5r35AhWWBaYKHcWODgsQFnoECAIQAQ&url=http%3A%2F%2Fterrapreta.bioenergylists.org%2Ffiles%2FCharacterizing%2520Biochars%2520-%2520Version%2520I%2520-%2520Jan%25202010.pdf&usg=AOvVaw2XTwIoj5woAFx5_VeTTHAx (accessed on 17 July 2022).
- Singh, B.; Singh, B.P.; Cowie, A.L. Characterisation and Evaluation of Biochars for Their Application as a Soil Amendment. Aust. J. Soil Res. 2010, 48, 516–525. [Google Scholar] [CrossRef]
- Danish, S.; Zafar-ul-Hye, M. Co-Application of ACC-Deaminase Producing PGPR and Timber-Waste Biochar Improves Pigments Formation, Growth and Yield of Wheat under Drought Stress. Sci. Rep. 2019, 9, 5999. [Google Scholar] [CrossRef] [PubMed]
- Lutts, S.; Kinet, J.M.; Bouharmont, J. NaCl-Induced Senescence in Leaves of Rice (Oryza sativa L.) Cultivars Differing in Salinity Resistance. Ann. Bot. 1996, 78, 389–398. [Google Scholar] [CrossRef]
- Arnon, D.I. Copper Enzymes in Isolated Chloroplasts. Polyphenoloxidase in Beta Vulgaris. Plant Physiol. 1949, 24, 1–15. [Google Scholar] [CrossRef] [PubMed]
- Nazar, R.; Khan, M.I.R.; Iqbal, N.; Masood, A.; Khan, N.A. Involvement of Ethylene in Reversal of Salt-Inhibited Photosynthesis by Sulfur in Mustard. Physiol. Plant. 2014, 152, 331–344. [Google Scholar] [CrossRef] [PubMed]
- Rashid, A. Mapping Zinc Fertility of Soils Using Indicator Plants and Soil Analyses. Ph.D. Thesis, University of Hawaii at Manoa, Honolulu, HI, USA, 1986. [Google Scholar]
- Hue, N.V.; Evans, C.E. Procedures Used for Soil and Plant Analysis University Soil Testing Laboratory; Department of Agronomy and Soils, Alabama Agricultural Experiment Station, Auburn University: Auburn, AL, USA, 1986. [Google Scholar]
- Steel, R.G.; Torrie, J.H.; Dickey, D.A. Principles and Procedures of Statistics: A Biometrical Approach, 3rd ed.; McGraw Hill Book International Co.: Singapore, 1997. [Google Scholar]
- Mithöfer, A.; Schulze, B.; Boland, W. Biotic and Heavy Metal Stress Response in Plants: Evidence for Common Signals. FEBS Lett. 2004, 566, 1–5. [Google Scholar] [CrossRef] [PubMed]
- Qadir, S.; Qureshi, M.I.; Javed, S.; Abdin, M.Z. Genotypic Variation in Phytoremediation Potential of Brassica Juncea Cultivars Exposed to Cd Stress. Plant Sci. 2004, 167, 1171–1181. [Google Scholar] [CrossRef]
- Dong, J.; Wu, F.; Zhang, G. Influence of Cadmium on Antioxidant Capacity and Four Microelement Concentrations in Tomato Seedlings (Lycopersicon esculentum). Chemosphere 2006, 64, 1659–1666. [Google Scholar] [CrossRef] [PubMed]
- Sharma, P.; Dubey, R.S. Lead Toxicity in Plants. Braz. J. Plant Physiol. 2005, 17, 35–52. [Google Scholar] [CrossRef]
- Reddy, A.M.; Kumar, S.G.; Jyothsnakumari, G.; Thimmanaik, S.; Sudhakar, C. Lead Induced Changes in Antioxidant Metabolism of Horsegram (Macrotyloma uniflorum (Lam.) Verdc.) and Bengalgram (Cicer arietinum L.). Chemosphere 2005, 60, 97–104. [Google Scholar] [CrossRef] [PubMed]
- Matile, P.; Schellenberg, M.; Vicentini, F. Localization of Chlorophyllase in the Chloroplast Envelope. Planta 1997, 201, 96–99. [Google Scholar] [CrossRef]
- Skirycz, A.; Claeys, H.; de Bodt, S.; Oikawa, A.; Shinoda, S.; Andriankaja, M.; Maleux, K.; Eloy, N.B.; Coppens, F.; Yoo, S.D.; et al. Pause-and-Stop: The Effects of Osmotic Stress on Cell Proliferation during Early Leaf Development in Arabidopsis and a Role for Ethylene Signaling in Cell Cycle Arrest. Plant Cell 2011, 23, 1876–1888. [Google Scholar] [CrossRef]
- Tak, H.I.; Babalola, O.O.; Huyser, M.H.; Inam, A. Urban Wastewater Irrigation and Its Effect on Growth, Photosynthesis and Yield of Chickpea under Different Doses of Potassium. Soil Sci. Plant Nutr. 2013, 59, 156–167. [Google Scholar] [CrossRef]
- Younis, U.; Danish, S.; Shah, M.H.R.; Malik, S.A. Nutrient Shifts Modeling in Spinacea oleracea L. and Trigonella corniculata L. in Contaminated Soil Amended with Biochar. Int. J. Biosci. 2014, 5, 89–98. [Google Scholar] [CrossRef]
- Gao, D.; Zhang, L.; Liu, Q.; Rong, X.; Zhang, Y.; Tian, C. Application of Biochar in Dryland Soil Decreasing Loss of Nitrogen and Improving Nitrogen Using Rate. Trans. Chin. Soc. Agric. Eng. 2014, 30, 54–61. [Google Scholar]
- Lehmann, J.; Rondon, M. Bio-Char Soil Management on Highly Weathered Soils in the Humid Tropics. In Biological Approaches to Sustainable Soil Systems; Uphoff, N., Ed.; CRC Press: Boca Raton, FL, USA, 2002; pp. 517–530. [Google Scholar]
- Chan, K.Y.; Van Zwieten, L.; Meszaros, I.; Downie, A.; Joseph, S. Using Poultry Litter Biochars as Soil Amendments. Aust. J. Soil Res. 2008, 46, 437–444. [Google Scholar] [CrossRef]
- Novak, J.M.; Lima, I.; Gaskin, J.W.; Steiner, C.; Das, K.C.; Ahmedna, M.; Watts, D.W.; Warren, J.; Schomberg, H. Characterization of Designer Biochar Produced at Different Temperatures and Their Effects on a Loamy Sand. Ann. Environ. Sci. 2009, 3, 195–206. [Google Scholar]
- Singh, A.; Singh, A.P.; Singh, S.K.; Rai, S.; Kumar, D. Impact of Addition of Biochar Along with PGPR on Rice Yield, Availability of Nutrients and Their Uptake in Alluvial Soil. J. Pure Appl. Microbiol. 2016, 10, 2181–2188. [Google Scholar]
- Wilkinson, S.; Davies, W.J. ABA-based Chemical Signalling: The Co-ordination of Responses to Stress in Plants. Plant Cell Environ. 2002, 25, 195–210. [Google Scholar] [CrossRef]
- Shabala, S. Regulation of Potassium Transport in Leaves: From Molecular to Tissue Level. Ann. Bot. 2003, 95, 627–634. [Google Scholar] [CrossRef]
- Glaser, B.; Lehmann, J.; Zech, W. Ameliorating Physical and Chemical Properties of Highly Weathered Soils in the Tropics with Charcoal—A Review. Biol. Fertil. Soils 2002, 35, 219–230. [Google Scholar] [CrossRef]
- Zhao, S.X.; Ta, N.; Wang, X.D. Effect of Temperature on the Structural and Physicochemical Properties of Biochar with Apple Tree Branches as Feedstock Material. Energies 2017, 10, 1293. [Google Scholar] [CrossRef]

























| Parameters | Units | Values |
|---|---|---|
| pH | - | 5.98 |
| EC | dS m−1 | 3.42 |
| Ash | % | 10 |
| Fixed Carbon | % | 77 |
| Volatile Contents | % | 13 |
| Total Cadmium | µg g−1 | 0.19 |
| Total Zn | µg g−1 | 0.29 |
| Total B | µg g−1 | 0.17 |
| Soil Parameter | Units | Value | Irrigation Parameter | Units | Value | |
|---|---|---|---|---|---|---|
| WW | GW | |||||
| pHs | - | 8.56 | pH | - | 6.54 | 7.59 |
| ECe | dSm−1 | 3.00 | EC | dS m−1 | 1.53 | 0.44 |
| Organic Matter | % | 0.30 | Carbonates | meq./L | 1.23 | 0.00 |
| Organic Nitrogen | % | 0.15 | Bicarbonates | meq./L | 4.04 | 2.36 |
| Available Phosphorus | mg kg−1 | 4.53 | Chlorides | meq./L | 1.50 | 0.10 |
| Extractable Potassium | mg kg−1 | 107 | Ca + Mg | meq./L | 4.41 | 3.21 |
| Total Cadmium | mg kg−1 | 0.42 | Soluble Cadmium | mg kg−1 | 0.19 | ND |
| Extractable Zinc | mg kg−1 | 0.23 | Soluble Zinc | mg kg−1 | 0.05 | ND |
| Extractable Boron | mg kg−1 | 0.17 | Soluble Boron | mg kg−1 | 0.10 | ND |
Publisher’s Note: MDPI stays neutral with regard to jurisdictional claims in published maps and institutional affiliations. |
© 2022 by the authors. Licensee MDPI, Basel, Switzerland. This article is an open access article distributed under the terms and conditions of the Creative Commons Attribution (CC BY) license (https://creativecommons.org/licenses/by/4.0/).
Share and Cite
Ahmed, N.; Shah, A.R.; Danish, S.; Alharbi, K.; Datta, R. Acidified Carbon with Variable Irrigation Sources Impact on Rice Growth and Yield under Cd Toxic Alkaline Soil Conditions. Sustainability 2022, 14, 10086. https://doi.org/10.3390/su141610086
Ahmed N, Shah AR, Danish S, Alharbi K, Datta R. Acidified Carbon with Variable Irrigation Sources Impact on Rice Growth and Yield under Cd Toxic Alkaline Soil Conditions. Sustainability. 2022; 14(16):10086. https://doi.org/10.3390/su141610086
Chicago/Turabian StyleAhmed, Niaz, Ali Raza Shah, Subhan Danish, Khadiga Alharbi, and Rahul Datta. 2022. "Acidified Carbon with Variable Irrigation Sources Impact on Rice Growth and Yield under Cd Toxic Alkaline Soil Conditions" Sustainability 14, no. 16: 10086. https://doi.org/10.3390/su141610086
APA StyleAhmed, N., Shah, A. R., Danish, S., Alharbi, K., & Datta, R. (2022). Acidified Carbon with Variable Irrigation Sources Impact on Rice Growth and Yield under Cd Toxic Alkaline Soil Conditions. Sustainability, 14(16), 10086. https://doi.org/10.3390/su141610086

