Diurnal Impact of Below-Cloud Evaporation on Isotope Compositions of Precipitation on the Southern Slope of the Altai Mountains, Central Asia
Abstract
:1. Introduction
2. Data and Methods
2.1. Data
2.2. Methods
3. Results
3.1. Diurnal Variations of Meteorological Conditions
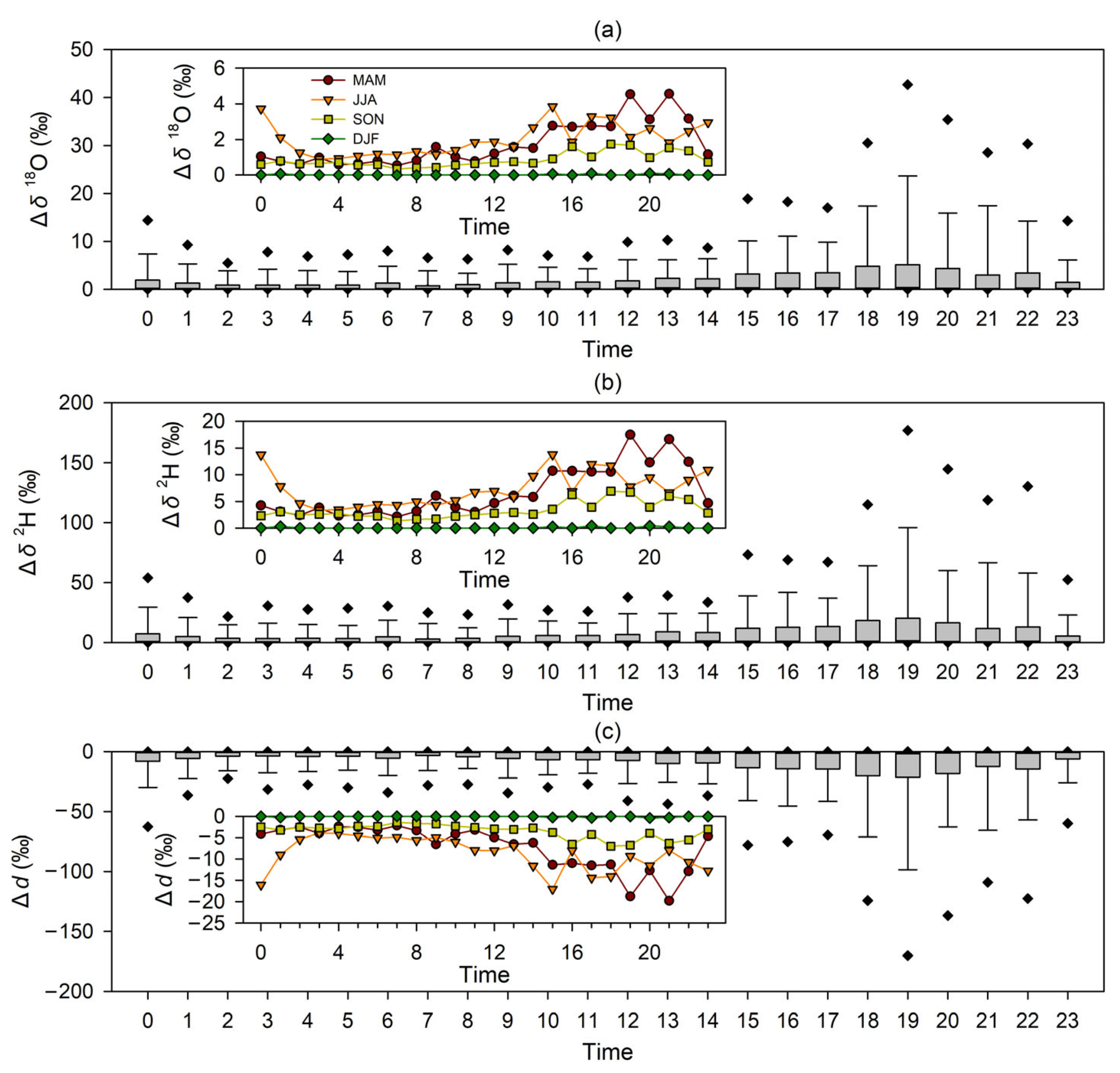
3.2. Diurnal Variations of Isotope Compositions
3.3. Sensitivity of Isotope Compositions to Temperature and Relative Humidity
4. Discussions
5. Conclusions
Author Contributions
Funding
Data Availability Statement
Conflicts of Interest
References
- Miguez-Macho, G.; Fan, Y. Spatiotemporal origin of soil water taken up by vegetation. Nature 2021, 598, 624–628. [Google Scholar] [CrossRef] [PubMed]
- Vystavna, Y.; Harjung, A.; Monteiro, L.R.; Matiatos, I.; Wassenaar, L.I. Stable isotopes in global lakes integrate catchment and climatic controls on evaporation. Nat. Commun. 2021, 12, 7224. [Google Scholar] [CrossRef] [PubMed]
- Shi, M.; Worden, J.R.; Bailey, A.; Noone, D.; Risi, C.; Fu, R.; Worden, S.; Herman, R.; Payne, V.; Pagano, T.; et al. Amazonian terrestrial water balance inferred from satellite-observed water vapor isotopes. Nat. Commun. 2022, 13, 2686. [Google Scholar] [CrossRef] [PubMed]
- He, C.; Liu, Z.; Otto-Bliesner, B.L.; Brady, E.C.; Zhu, C.; Tomas, R.; Clark, P.U.; Zhu, J.; Jahn, A.; Gu, S.; et al. Hydroclimate footprint of pan-Asian monsoon water isotope during the last deglaciation. Sci. Adv. 2021, 7, eabe2611. [Google Scholar] [CrossRef]
- Sánchez-Murillo, R.; Durán-Quesada, A.M.; Esquivel-Hernández, G.; Rojas-Cantillano, D.; Birkel, C.; Welsh, K.; Sánchez-Llull, M.; Alonso-Hernández, C.M.; Tetzlaff, D.; Soulsby, C.; et al. Deciphering key processes controlling rainfall isotopic variability during extreme tropical cyclones. Nat. Commun. 2019, 10, 4321. [Google Scholar] [CrossRef] [PubMed]
- Man, W.; Zhou, T.; Jiang, J.; Zuo, M.; Hu, J. Moisture sources and climatic controls of precipitation stable isotopes over the Tibetan Plateau in water-tagging simulations. J. Geophys. Res. Atmos. 2022, 127, e2021JD036321. [Google Scholar] [CrossRef]
- Dansgaard, W. Stable isotopes in precipitation. Tellus 1964, 16, 436–468. [Google Scholar] [CrossRef]
- Araguás-Araguás, L.; Froehlich, K.; Rozanski, K. Deuterium and oxygen-18 isotope composition of precipitation and atmospheric moisture. Hydrol. Process. 2000, 14, 1341–1355. [Google Scholar] [CrossRef]
- Griffiths, A.D.; Treble, P.C.; Hope, P.; Rudeva, I. Rainfall stable water isotope variability in coastal southwestern Western Australia and its relationship to climate on multiple timescales. J. Geophys. Res. Atmos. 2022, 127, e2021JD035433. [Google Scholar] [CrossRef]
- Bedaso, Z.; Wu, S.Y. Daily precipitation isotope variation in Midwestern United States: Implication for hydroclimate and moisture source. Sci. Total Environ. 2020, 713, 136631. [Google Scholar] [CrossRef]
- Sun, C.; Chen, W.; Chen, Y.; Cai, Z. Stable isotopes of atmospheric precipitation and its environmental drivers in the Eastern Chinese Loess Plateau, China. J. Hydrol. 2020, 581, 124404. [Google Scholar] [CrossRef]
- Birkel, C.; Soulsby, C.; Tetzlaff, D.; Dunn, S.; Spezia, L. High-frequency storm event isotope sampling reveals time-variant transit time distributions and influence of diurnal cycles. Hydrol. Process. 2012, 26, 308–316. [Google Scholar] [CrossRef]
- Xu, T.; Sun, X.; Hong, H.; Wang, X.; Cui, M.; Lei, G.; Gao, L.; Liu, J.; Lone, M.A.; Jiang, X. Stable isotope ratios of typhoon rains in Fuzhou, Southeast China, during 2013–2017. J. Hydrol. 2019, 570, 445–453. [Google Scholar] [CrossRef]
- Chang, X.; Zhang, X.; Liu, Z.; Wang, R. Differences in stable isotopes in precipitation between day and night: A case study of Changsha. Trop. Geogr. 2021, 41, 635–644. [Google Scholar]
- Ichiyanagi, K.; Suwarman, R.; Belgaman, H.A.; Tanoue, M.; Uesugi, T. Diurnal variation of stable isotopes in rainfall observed at Bengkulu for the YMC-Sumatra 2017. IOP Conf. Ser. Earth Environ. Sci. 2019, 303, 012008. [Google Scholar] [CrossRef]
- Graf, P.; Wernli, H.; Pfahl, S.; Sodemann, H. A new interpretative framework for below-cloud effects on stable water isotopes in vapour and rain. Atmos. Chem. Phys. 2019, 19, 747–765. [Google Scholar] [CrossRef]
- Salamalikis, V.; Argiriou, A.A.; Dotsika, E. Isotopic modeling of the sub-cloud evaporation effect in precipitation. Sci. Total Environ. 2016, 544, 1059–1072. [Google Scholar] [CrossRef] [PubMed]
- Crawford, J.; Hollins, S.E.; Meredith, K.T.; Hughes, C.E. Precipitation stable isotope variability and subcloud evaporation processes in a semi-arid region. Hydrol. Process. 2017, 31, 20–34. [Google Scholar] [CrossRef]
- Wang, S.; Zhang, M.; Che, Y.; Zhu, X.; Liu, X. Influence of below-cloud evaporation on deuterium excess in precipitation of arid central Asia and its meteorological controls. J. Hydrometeorol. 2016, 17, 1973–1984. [Google Scholar] [CrossRef]
- Chen, H.; Chen, Y.; Li, D.; Li, W. Effect of sub-cloud evaporation on precipitation in the Tianshan Mountains (Central Asia) under the influence of global warming. Hydrol. Process. 2020, 34, 5557–5566. [Google Scholar] [CrossRef]
- Sun, C.; Chen, Y.; Li, J.; Chen, W.; Li, X. Stable isotope variations in precipitation in the northwesternmost Tibetan Plateau related to various meteorological controlling factors. Atmos. Res. 2019, 227, 66–78. [Google Scholar] [CrossRef]
- Li, Z.; Feng, Q.; Wang, Y.; Li, J.; Guo, X.; Li, Y. Effect of sub-cloud evaporation on the δ18O of precipitation in Qilian Mountains and Hexi Corridor, China. Sci. Cold Arid Reg. 2018, 8, 378–387. [Google Scholar]
- Sun, X.; Ren, G.; You, Q.; Ren, Y.; Xu, W.; Xue, X.; Zhan, Y.; Zhang, S.; Zhang, P. Global diurnal temperature range (DTR) changes since 1901. Clim. Dyn. 2019, 52, 3343–3356. [Google Scholar] [CrossRef]
- Sharifnezhadazizi, Z.; Norouzi, H.; Prakash, S.; Beale, C.; Khanbilvardi, R. A global analysis of land surface temperature diurnal cycle using MODIS observations. J. Appl. Meteorol. Climatol. 2019, 58, 1279–1291. [Google Scholar] [CrossRef]
- Wang, S.; Jiao, R.; Zhang, M.; Crawford, J.; Hughes, C.E.; Chen, F. Changes in below-cloud evaporation affect precipitation isotopes during five decades of warming across China. J. Geophys. Res. Atmos. 2021, 126, e2020JD033075. [Google Scholar] [CrossRef]
- Wang, L.; Wang, S.; Zhang, M.; Duan, L.; Xia, Y. An hourly-scale assessment of sub-cloud evaporation effect on precipitation isotopes in a rainshadow oasis of northwest China. Atmos. Res. 2022, 274, 106202. [Google Scholar] [CrossRef]
- Li, Y.; Zhang, D.; Andreeva, M.; Li, Y.; Fan, L.; Tang, M. Temporal-spatial variability of modern climate in the Altai Mountains during 1970–2015. PLoS ONE 2020, 15, e0230196. [Google Scholar] [CrossRef]
- Malygina, N.; Papina, T.; Kononova, N.; Barlyaeva, T. Influence of atmospheric circulation on precipitation in Altai Mountains. J. Mount. Sci. 2017, 14, 46–59. [Google Scholar] [CrossRef]
- Huang, X.; Peng, W.; Rudaya, N.; Grimm, E.C.; Chen, X.; Cao, X.; Zhang, J.; Pan, X.; Liu, S.; Chen, C.; et al. Holocene vegetation and climate dynamics in the Altai Mountains and surrounding areas. Geophys. Res. Lett. 2018, 45, 6628–6636. [Google Scholar] [CrossRef]
- Zhang, D.; Chen, L.; Feng, Z.; Ran, M.; Yang, Y.; Zhang, Y.; Liu, Q. Four peat humification-recorded Holocene hydroclimate changes in the southern Altai Mountains of China. Holocene 2021, 31, 1304–1314. [Google Scholar] [CrossRef]
- Zhang, W.; Shen, Y.; Chen, A.A.; Wu, X. Opportunities and challenges arising from rapid cryospheric changes in the southern Altai Mountains, China. Appl. Sci. 2022, 12, 1406. [Google Scholar] [CrossRef]
- Li, Z.; Feng, Q.; Li, Z.; Yuan, R.; Gui, J.; Lv, Y. Climate background, fact and hydrological effect of multiphase water transformation in cold regions of the Western China: A review. Earth Sci. Rev. 2019, 190, 33–57. [Google Scholar]
- Chen, Y.; Li, Z.; Fang, G.; Li, W. Large hydrological processes changes in the transboundary rivers of Central Asia. J. Geophys. Res. Atmos. 2018, 123, 5059–5069. [Google Scholar] [CrossRef]
- Yao, J.; Chen, Y.; Guan, X.; Zhao, Y.; Chen, J.; Mao, W. Recent climate and hydrological changes in a mountain–basin system in Xinjiang, China. Earth Sci. Rev. 2022, 226, 103957. [Google Scholar] [CrossRef]
- Tian, L.; Yao, T.; MacClune, K.; White, J.W.C.; Schilla, A.; Vaughn, B.; Vachon, R.; Ichiyanagi, K. Stable isotopic variations in west China: A consideration of moisture sources. J. Geophys. Res. 2007, 112, D10112. [Google Scholar] [CrossRef]
- Malygina, N.S.; Eirikh, A.N.; Kurepina, N.Y.; Papina, T.S. Isotopic composition of precipitation in Altai foothills: Observation and interpolation data. Bull. Tomsk Polytech. Univ. Geo Assets Engine 2019, 330, 44–54. [Google Scholar]
- Liu, J.; Song, X.; Yuan, G.; Sun, X.; Yang, L. Stable isotopic compositions of precipitation in China. Tellus B Chem. Phys. Meteorol. 2014, 66, 22567. [Google Scholar] [CrossRef]
- Chen, X. Physical Geography of Arid Land in China; Science Press: Beijing, China, 2010; pp. 1–801. [Google Scholar]
- Stewart, M.K. Stable isotope fractionation due to evaporation and isotopic exchange of falling waterdrops: Applications to atmospheric processes and evaporation of lakes. J. Geophys. Res. 1975, 80, 1133–1146. [Google Scholar] [CrossRef]
- Froehlich, K.; Kralik, M.; Papesch, W.; Rank, D.; Scheifinger, H.; Stichler, W. Deuterium excess in precipitation of Alpine regions—Moisture recycling. Isot. Environ. Health Stud. 2008, 44, 61–70. [Google Scholar] [CrossRef] [PubMed]
- Majoube, M. Fractionnement en oxygène 18 et en deutérium entre l’eau et sa vapeur. J. Chim. Phys. 1971, 68, 1423–1436. [Google Scholar] [CrossRef]
- Best, A.C. The size distribution of raindrops. Q. J. R. Meteorol. Soc. 1950, 76, 16–36. [Google Scholar] [CrossRef]
- Han, Y.; Guo, J.; Li, H.; Chen, T.; Guo, X.; Li, J.; Liu, L.; Shi, L. Investigation of raindrop size distribution and its potential influential factors during warm season over China. Atmos. Res. 2022, 275, 106248. [Google Scholar] [CrossRef]
- Zeng, Y.; Yang, L.; Zhou, Y.; Tong, Z.; Jiang, Y.; Chen, P. Characteristics of orographic raindrop size distribution in the Tianshan Mountains, China. Atmos. Res. 2022, 278, 106332. [Google Scholar] [CrossRef]
- Jiang, Y.; Yang, L.; Zeng, Y.; Tong, Z.; Li, J.; Liu, F.; Zhang, J.; Liu, J. Comparison of summer raindrop size distribution characteristics in the western and central Tianshan Mountains of China. Meteorol. Appl. 2022, 29, e2067. [Google Scholar] [CrossRef]
- Zeng, Y.; Yang, L.; Zhang, Z.; Tong, Z.; Li, J.; Liu, F.; Zhang, J.; Jiang, Y. Characteristics of clouds and raindrop size distribution in Xinjiang, using cloud radar datasets and a disdrometer. Atmosphere 2020, 11, 1382. [Google Scholar] [CrossRef]
- Kinzer, G.D.; Gunn, R. The evaporation, temperature and thermal relaxation-time of freely falling waterdrops. J. Meteorol. 1951, 8, 71–83. [Google Scholar] [CrossRef]
- Best, A.C. Empirical formulae for the terminal velocity of water drops falling through the atmosphere. Q. J. R. Meteorol. Soc. 1950, 76, 302–311. [Google Scholar] [CrossRef]
- Rugenstein, J.K.C.; Chamberlain, C.P. The evolution of hydroclimate in Asia over the Cenozoic: A stable-isotope perspective. Earth Sci. Rev. 2018, 185, 1129–1156. [Google Scholar] [CrossRef]
- Jiang, J.; Zhou, T.; Wang, H.; Qian, Y.; Noone, D.; Man, W. Tracking moisture sources of precipitation over central Asia: A study based on the water-source-tagging method. J. Clim. 2020, 33, 10339–10355. [Google Scholar] [CrossRef]
- Peng, D.; Zhou, T.; Zhang, L. Moisture sources associated with precipitation during dry and wet seasons over Central Asia. J. Clim. 2020, 33, 10755–10771. [Google Scholar] [CrossRef]
- Zhu, L.; Ma, G.; Zhang, Y.; Wang, J.; Tian, W.; Kan, X. Accelerated decline of snow cover in China from 1979 to 2018 observed from space. Sci. Total Environ. 2022, 814, 152491. [Google Scholar] [CrossRef]
- Tan, X.; Wu, Z.; Mu, X.; Gao, P.; Zhao, G.; Sun, W.; Gu, C. Spatiotemporal changes in snow cover over China during 1960–2013. Atmos. Res. 2019, 218, 183–194. [Google Scholar]
- Burnik Šturm, M.; Ganbaatar, O.; Voigt, C.C.; Kaczensky, P. First field-based observations of δ2H and δ18O values of event-based precipitation, rivers and other water bodies in the Dzungarian Gobi, SW Mongolia. Isot. Environ. Health Stu. 2017, 53, 157–171. [Google Scholar] [CrossRef]
- Michelsen, N.; van Geldern, R.; Roßmann, Y.; Bauer, I.; Schulz, S.; Barth, J.A.; Schüth, C. Comparison of precipitation collectors used in isotope hydrology. Chem. Geol. 2018, 488, 171–179. [Google Scholar] [CrossRef]
- Von Freyberg, J.; Knapp, J.L.; Rücker, A.; Studer, B.; Kirchner, J.W. Evaluation of a low-cost evaporation protection method for portable water samplers. Hydrol. Earth Syst. Sci. 2020, 24, 5821–5834. [Google Scholar] [CrossRef]









| Station | Latitude (°N) | Longitude (°E) | Altitude (m) | T (°C) | P (mm) |
|---|---|---|---|---|---|
| Jeminay | 47.43 | 85.87 | 984 | 4.0 | 203.3 |
| Habahe | 48.05 | 86.40 | 533 | 4.7 | 179.0 |
| Burqin | 47.70 | 86.87 | 474 | 4.5 | 133.8 |
| Fuhai | 47.12 | 87.47 | 501 | 4.0 | 119.6 |
| Altay | 47.73 | 88.08 | 735 | 4.0 | 180.8 |
| Fuyun | 46.98 | 89.52 | 808 | 2.7 | 183.9 |
| Qinghe | 46.67 | 90.38 | 1218 | 0.5 | 167.8 |
| Season | Δδ18O (‰) | Δδ2H (‰) | Δd (‰) | ||||||
|---|---|---|---|---|---|---|---|---|---|
| Daytime | Nighttime | All | Daytime | Nighttime | All | Daytime | Nighttime | All | |
| MAM | 2.8 | 0.9 | 1.8 | 10.6 | 3.4 | 7.1 | −11.6 | −3.5 | −7.7 |
| JJA | 2.5 | 1.4 | 2.1 | 9.0 | 5.2 | 7.6 | −10.9 | −6.1 | −9.0 |
| SON | 1.1 | 0.6 | 0.8 | 4.4 | 2.3 | 3.3 | −4.5 | −2.3 | −3.5 |
| DJF | 0.0 | 0.0 | 0.0 | 0.1 | 0.0 | 0.1 | −0.1 | 0.0 | −0.1 |
| Annual | 1.9 | 0.8 | 1.4 | 7.2 | 3.2 | 5.4 | −8.2 | −3.5 | −6.1 |
Publisher’s Note: MDPI stays neutral with regard to jurisdictional claims in published maps and institutional affiliations. |
© 2022 by the authors. Licensee MDPI, Basel, Switzerland. This article is an open access article distributed under the terms and conditions of the Creative Commons Attribution (CC BY) license (https://creativecommons.org/licenses/by/4.0/).
Share and Cite
Wang, S.; Duan, L.; Xia, Y.; Qu, D.; She, Y. Diurnal Impact of Below-Cloud Evaporation on Isotope Compositions of Precipitation on the Southern Slope of the Altai Mountains, Central Asia. Sustainability 2022, 14, 10013. https://doi.org/10.3390/su141610013
Wang S, Duan L, Xia Y, Qu D, She Y. Diurnal Impact of Below-Cloud Evaporation on Isotope Compositions of Precipitation on the Southern Slope of the Altai Mountains, Central Asia. Sustainability. 2022; 14(16):10013. https://doi.org/10.3390/su141610013
Chicago/Turabian StyleWang, Shengjie, Lihong Duan, Yijie Xia, Deye Qu, and Yuanyang She. 2022. "Diurnal Impact of Below-Cloud Evaporation on Isotope Compositions of Precipitation on the Southern Slope of the Altai Mountains, Central Asia" Sustainability 14, no. 16: 10013. https://doi.org/10.3390/su141610013
APA StyleWang, S., Duan, L., Xia, Y., Qu, D., & She, Y. (2022). Diurnal Impact of Below-Cloud Evaporation on Isotope Compositions of Precipitation on the Southern Slope of the Altai Mountains, Central Asia. Sustainability, 14(16), 10013. https://doi.org/10.3390/su141610013

