Next Article in Journal
Study on Rural Development Evaluation and Drivers of Sustainable Development: Evidence from the Beijing-Tianjin-Hebei Region of China
Previous Article in Journal
Pre-Harvest Application of Multi-Walled Carbon Nanotubes Improves the Antioxidant Capacity of ‘Flame Seedless’ Grapes during Storage
 
 
Font Type:
Arial Georgia Verdana
Font Size:
Aa Aa Aa
Line Spacing:
Column Width:
Background:
Article

Effect of Mica Content on Shear Strength of the Yili Loess under the Dry-Wet Cycling Condition

1
School of Geological and Mining Engineering, Xinjiang University, Urumqi 830017, China
2
State Key Laboratory for Geomechanics and Deep Underground Engineering, Xinjiang University, Urumqi 830017, China
3
Faculty of Engineering, China University of Geosciences, Wuhan 430074, China
*
Author to whom correspondence should be addressed.
Sustainability 2022, 14(15), 9569; https://doi.org/10.3390/su14159569
Submission received: 30 June 2022 / Revised: 30 July 2022 / Accepted: 1 August 2022 / Published: 4 August 2022

Abstract

:
Loess landslides caused by the dry-wet cycling processes are the most common geological disasters in the Yili region of China and have caused significant economic loss and casualties. Therefore, there is an urgency to study the mechanism of landslide disasters. However, research on loess landslide disasters under dry-wet cycling conditions in the Yili River Valley is still underdeveloped, and the research foundations are relatively weak. Based on the characteristics of high and stable mica content in Yili loess, this research probed the changes in shear strength and microstructure of loess with different mica contents (0%, 5%, 10%, and 15%) after different dry-wet cycles (0, 1, 3, 5, 7, 10, 15, and 20) using direct shear testing and a scanning electron microscopy. The results showed that the mica content had a negative relationship with the shear strength of loess. For the same number of dry-wet cycles, the higher the mica content was, the lower the loess’ shear strength, especially in the first five dry-wet cycles. The influence of mica content on shear strength parameters was not similar. The impact was more significant for cohesion. With increased mica content, cohesion gradually decreased. The effect was minor with the internal friction angle. With the rise in mica content, the angle slightly increased with slight variations. Under certain dry-wet cycling conditions, micro-particle content in the loess decreased continuously, the average reduction can reach 11.25%, the content of small and medium particles tends to increase, the average increments were 6.21% and 3.1%, and volatility changes in large particle content. However, the overall increasing trend remains. Accordingly, the number of micropores and small pores decreased, the average reduction was 7.63% and 5.48%, the number of medium pores and large pores increased, and the average increments were 6.13% and 6.99%, respectively. All these changes were more evident in the first three dry-wet cycles and when the mica content increased from 0% to 5%. This study will be beneficial as a reference for the occurrence mechanisms of loess landslide under dry-wet cycling conditions in the Yili area.

1. Introduction

Located in the west of China, the Yili River Valley in Xinjiang is an important agricultural, animal husbandry, energy supply base, and a famous tourist destination. The geographic and climatic characteristics of the Yili River Valley are unique. It is an intermountain basin surrounded by mountains on three sides and is broad in the west yet narrow in the east with an opening. The humid airflow from the Arctic and Atlantic Oceans directly enters the Yili River Valley from the west. After being blocked by the east mountains, the moist air flow transforms into abundant precipitation [1]. According to weather records [2], the annual rainfall in this area was between 200 and 550 mm, and the average yearly evaporation was approximately 1467.67 mm. Precipitation occurs from April to October when loess landslides frequently happen. Under the influence of the dry-wet cycling process due to evaporation and rainfall, the moisture content in loess widely varied in the Yili River Valley in an alternating way, with the overall characteristics of reduced strength and increased deformation. The resulting loess landslide disasters accounted for more than 70% of this region’s geological disasters threatening local people’s life and property [3]. Therefore, studying the strength change characteristics of Yili loess under the dry-wet cycling condition is of great significance. The present research results are beneficial for summarizing the occurrence mechanism of loess landslide under the dry-wet cycling condition in this area.
The French engineer Coulomb initiated the study of the strength theory of soil mass. He proposed the soil shear strength theory through many tests and named it the Coulomb formula [4]. Extending the Coulomb study, Mohr established the Mohr-Coulomb shear failure criterion, which frequently governed the strength analysis of saturated soil [5]. Subsequent researchers developed other expressions for the strength analysis of unsaturated soil. Among them, the Bishop univariate theory and Fredlund bivariate approach fit well the unsaturated soil’s stress state and strength [6,7]. In addition, these theories extensively studied the changes in mechanical properties of different soil mass types under other conditions [8,9,10,11] and some scholars also focused on the advantages and disadvantages of soil stability and reinforcement technology under the conditions of dry-wet cycles and freeze-thaw cycles; for example, Huang Wei [12] studied the modification effects of MICP-treated cohesive soils under dry-wet and freeze-thaw cycles, Mohsen Salehi [13] studied the effect of curing time, soaked and unsoaked conditions and freeze-thaw cycles on the geotechnical characteristics of cement-stabilized specimens, and Seyed Hadi Sahlabadi [14] studied the effects of freeze-thaw cycles on cement-stabilized soil reinforced with fibers.
Chinese loess is distributed widely in Northwest, North, and Northeast China. The representative types arise in the Loess Plateau and Yili valley [15]. In the early stages, researchers mainly studied the formation, sedimentary characteristics, paleoclimate proxy indicators, material sources, and other properties of loess. For example, Ye Wei et al. [16,17] conducted many studies on the grain-size aspects and source materials of Yili loess and found that the Yili loess has different provenance from the loess plateau, so the grain-size compositions of loess derived from the Yili region were somewhat different from that in the Loess Plateau. The former had a more homogeneous grain size and contained more mica with a more stable ratio than the latter.
With the water sensitivity studies of loess becoming more profound, researchers gradually paid more attention to the impact of the dry-wet cycling process formed with the seasonal alternation of the loess. Despite mechanical property studies of the loess and on the Loess Plateau in the humidification effect, investigations on the Yili loess were rare. With the loess in the Loess Plateau as the research object, Ye Wanjun [18] studied the Mechanism Fractured Loess Expansion Joints under the Effect of wet-dry Cycle. Wang Tiehang [19] made a series of wetting-drying cycles tests, soil dynamic triaxial tests, and scanning electron microscope tests, which were carried out under different wetting-drying cycle paths, and the dynamic strength and microstructure images of compacted loess were obtained. Liu Fengyin [20] and Zhao Tianyu [21] studied the impact of the dry-wet cycling effect on the loess-water characteristic profiles. While Pan Zhenxing [22] studied the undisturbed loess humidification-dehumidification cycle tests with different water contents and different times, carried out to analyze the change rules of porosity, shear strength and parameters of loess induced by dry and wet cycles, Yuan Zhihui [23,24] researched the changes in the strength and microstructure of loess. Hao Yanzhou [25] made a series of drying and wetting cycles tests and triaxial shear tests, which were carried out for the loess samples which were compacted to dry density of 1.7 g/cm3 under the optimum moisture content condition to investigate the influence of the structure damage of the compacted loess caused by the drying and wetting cycles on its stress-strain characteristics and triaxial shear strength. While Li Zuyong [26] studied the mechanical properties of special loess in Xi’an City, Hu Changming [27] studied the degradation of compacted loess under the dry-wet cycling process. Plots of the strength degradation curves of compacted loess under different factors established a strength degradation model of compact with the dry-wet cycling process. Taking the Yili loess as the research object, Tang Guobing [28] and Hao Ruihua [29] studied the microscopic process corresponding to the macroscopic changes in the shear strength of loess under the dry-wet cycling process. Lv Qianli [30] studied the changes in the permeability of loess under the influence of freeze-thaw cycling and quantitatively analyzed its microstructure.
In summary, the previous research on the strength degradation characteristics of loess with the dry-wet cycling process primarily focused on the loess of the Loess Plateau and the physical, mechanical, and hydraulic properties. For the Yili loess, on the one hand, related research results are fewer; on the other hand, other scholars mainly focused on the influence of the number of dry-wet cycles, water content, initial dry density, and other factors on the mechanical properties of soil and the internal water migration law in the process of a dry-wet cycle, while the strength degradation effect of mica in loess research is slightly weak.
Therefore, this study took Yili loess as the research object, and selected the number of dry-wet cycles and mica content as control variables. The curves of shear stress and shear displacement, the curves of cohesion and internal friction angle, and the changes in shear strength of loess samples with different mica content after different cycles of dry-wet were obtained by direct shear test. Scanning electron microscopy (SEM) was used to analyze the variation of loess particle size and pores in the samples with different mica content after drying and wetting cycles. The results may serve as additional guidance for researchers and engineers making decisions on the prevention of loess landslides induced by the dry-wet effect in Yili and other areas with similar climates.

2. Materials and Methods

2.1. Materials

The loess samples were from Hayndesayi Gully, Xinyuan County, and Yili region. We took samples in the middle and foot of the bank slope on the left side of the gully by manually excavating exploratory wells. The sampling depth was 2 m and the particle size distribution of the original loess is shown in Figure 1. The X-ray diffraction analysis showed that the mica content of the loess sample in the middle of slope was 15%, while that in the foot of slope was approximately 2% (see Table 1). These values were consistent with the results reported by Ye Wei [31], who found that the average and minimum mica contents in the Yili loess were 12.6% and <5%, respectively, based on a large number of samples from the Yili region. Therefore, the mica contents used for the different test samples in the experiments were 0%, 5%, 10%, and 15%, respectively. For this study, soil samples were from the foot of the slope. Therefore, we assumed that the pristine soil sample’s mica content was 0% for the experiments and data analysis process.
According to the Standard for soil test methods [32], the pure and remolded soil samples were collected, transported, and prepared. On sampling, the moisture content in the natural soil sample was measured in situ with a drying method. In the laboratory, the drying method measured the saturated moisture content. Table 2 and Table 3 give the compaction test results that determined the optimal moisture content, maximum dry density, and the plastic limit measured by a strip-rolling method.

2.2. Methods

2.2.1. Dry-Wet Cycling Test

The experiments in this study used remolded samples prepared according to the relevant parameters of pristine samples obtained from the study area. The disturbed soil sample collected in the field was first air-dried and pretreated in the laboratory. The moisture content of the air-dried soil sample was 0.8%. Consequently, gravel functioned as a skeleton in the soil, impacting the strength and deformation characteristics. Therefore, we sieved the air-dried soil sample through a standard 2-mm sieve, and then the treated loess was stored in a moisturizing cylinder.
The natural loess’ in situ and saturated moisture contents were 18.9% and 24.57%, respectively. Therefore, in this paper, the dry-wet cycling process’ moisture contents ranged from in situ to fully saturated, starting from a wet state and ending in a dried form. The numbers of dry-wet cycles were 0, 1, 3, 5, 7, 10, 15, and 20 (Figure 2).
According to the Test Methods of Soils for Highway Engineering [33], we used air-dried soil samples to prepare samples with a moisture content of 18.9% and different mica contents. Then, we calculated the water needed using Equation (1).
m ω = m 1 + 0.01 ω h × 0.01 × ( ω ω h ) ,
where m ω is the required amount of water added (g); m is the mass of soil sample with an air-dried moisture content; ω h is the air-dried moisture content (%); ω is the moisture content required (%).
For the soil sample with 0% mica, 1 kg of remolded soil was evenly dispersed on a plate and humidified by spraying water thrice. We mixed the soil with each spraying to facilitate the uniform infiltration of water. The total amount of water added was 188 g. The prepared soil samples were numbered and placed in the moisturizing cylinder for sealed storage. For the soil sample with 5% mica added, 950 g of remolded soil was mixed with 50 g of mica, and then the mixture was humidified and stored. The preparation processes for soil samples with 10% and 15% mica contents were similar to those of the test samples with 5% mica content.
The initial moisture content and compactness were controlled at the same level. Then, according to the size of the cylindrical mold, initial moisture content, compactness, and maximum dry densities of soil samples with different mica contents measured from compaction tests, the total soil mass (soil + water) was added to the cutting ring, and was calculated.
As per calculations, the total mass of soil added to the cutting ring was 118 g for the sample preparation, with a moisture content of 18.9% and mica content of 0%. The total mass of soil added to the cutting ring was 113 g for the sample preparation, with a moisture content of 18.9% and a mica content of 5%. The total mass of soil added to the cutting ring was 108 g for the sample preparation, with a moisture content of 18.9% and a mica content of 10%. The total mass of soil added to the cutting ring was 103 g for the sample preparation, with a moisture content of 18.9% and a mica content of 15%.
Finally, the annular-sword samples prepared with a size of 61.8 mm × 20 mm were measured in the direct shear tests and microstructure analysis, as shown in Figure 3. Table 4 lists the loess samples prepared for the different tests.
The dry-wet cycling test consisted of humidification and dehumidification steps made via a soak to saturation method. The samples prepared were assembled in the following order: permeable stone, filter paper, cutting ring sample, filter paper, and porous stone. First, seal the sample with a cling film, except for two large openings on the upper and bottom surfaces. The sealed sample was then immersed in a vessel filled with distilled water for 24 h later, assuming that the water dispersed uniformly within the test sample. Next, we dehumidified the test sample using a drying method in an electric blast drying oven at 40 °C. During drying, we monitored the sample weight at hourly intervals. For example, when the moisture content reached 20%, we weighed the sample at 10-min intervals to ensure that the moisture content achieved the value required (Figure 4).

2.2.2. Direct Shear Test

This study used an FTDS-1-type soil cyclic shear tester (Nanjing Soil Instrument Factory, Nanjing, China) for the direct shear test. The size of the annular-sword sample was 61.8 mm × 20 mm. The dry-wet cycles loosened the loess structure, while the consolidation effect counterbalanced this effect and chose the rapid shear mode.
In the direct shear test, the soil sample was in the fixed upper container and the movable lower container in the direct shear instrument. The shearing test first applied vertical pressure to the soil test sample and then horizontal thrust to the lower container. The dislocation between containers led to the destruction of the soil sample during shear. Therefore, under most circumstances, four soil samples were tested to determine the shear strength of a specific type of soil, and the corresponding shearing stress was measured under different vertical pressure conditions until the soil sample failed in shear. Accordingly, the mechanical properties were determined, such as the relationship between shear stress with displacement and the soil sample’s shear strength characteristics.
For this test, we prepared 32 groups (4 samples in a group) with different mica contents and numbers of dry-wet cycles. According to the “Test Methods of Soils for Highway Engineering,” the normal stresses applied were 50, 100, 150, and 200 kPa, respectively, with a shearing rate of 0.8 mm/min for 10 min, with data recording at 30 s intervals.

2.2.3. Microstructure Measurements

After completing the dry-wet cycles on loess samples with different mica contents, we observed the microstructure with a scanning electron microscope (Zeiss Supra55 VP, Oberkochen, Germany). Before the observation, the pretreatment and specimen preparation included cutting the sample and selecting pieces with undisturbed soil fabric. Finally, these samples were sliced into appropriate sizes, labeled for observation, and secured on the SEM specimen holders with conductive adhesive. Finally, the specimen surface was platinum-coated by spraying (for electric conduction) using a sputtering ion instrument (HITACHI E-1045, Hitachi, Japan).
The prepared specimen was placed in the sample chamber to view the microstructure. We identified five specific observation points (in the shape of a cross) on the SEM specimen’s surface. The microstructure at the observed points was electronically magnified 50, 100, 200, 500, 800, 1000, 1200, 1500, and 2000 times, saving the representative and high-quality electron micrographs for qualitative analysis.

3. Results

3.1. Analysis of Direct Shear Test Results

3.1.1. Changes in the Profiles of Shear Stress vs. Shear Displacement

Through the direct shear test, the shear displacement and shear stress values of remolded Yili loess samples with different dry-wet cycles and mica contents at 50, 100, 150, and 200 kPa were data processed, yielding a total of 32 curves of shear stress vs. shear displacement under the varying conditions. These curves reflected the shear deformation characteristics to a certain extent.
Based on the results, the samples’ deformation was divisible into three stages: elastic deformation stage, elastoplastic deformation stage, and ideal plastic deformation stage [34]. Figure 5 shows the stress-strain curves of samples with different mica contents under the condition of three dry-wet cycles. These stress-strain curves are not very smooth, having fluctuations, but the overall trends are relatively prominent: The maximum principal stress decreased with increased mica content. In the elastic deformation stage, the stress-strain curve was nearly linear, and the soil deformation was elastic; increasing mica content, the slope of the curve steepened. With increased mica content, the elastic modulus of the sample increased because, in the initial loading stage, the normal stress was relatively small, the pores in the soil were uncompacted, and relative displacement did not occur between soil particles. In this stage, mica played the role of “reinforcement.” In the elastoplastic deformation stage, the soil pores were further compressed with the continuous increase of normal stress, generating the internal shear failure surfaces. With increased mica content, the maximum soil stress-strain curve occurred earlier. The primary reason was that a large amount of mica affects soil’s stress and strain fields in the vicinity of mica, leading to stress concentration. The greater the normal stress was, the more pronounced the stress concentration phenomenon. In the ideal plastic stage, the shear failure surface in the soil was thoroughly developed, and the continuous increase of normal stress caused the displacement of soil particles around the shear failure surface. At this time, the primary resistance to shear force was the relative friction between particles. With the increase of mica content, the stress-strain curve showed softening characteristics, mainly because when the mica content was high, the overall strength of the soil was low, and the structure was not intact. After the deformation reached a maximum, the entire soil structure was destroyed, resulting in the continuous increase of deformation and a decrease in stress. Under other cycling conditions, the soil with different mica contents exhibited similar characteristics.
In addition, according to the shape of the stress-strain curve, they can be divided into strain-hardening and strain-softening types. The experimental results show that with the increase of mica content, the graphs of shear displacement vs. shear stress evolved from strain-hardening to strain-softening, indicating that the soil with a higher mica content improved the shear strength of soil at the initial stage of stress loading, but generally speaking, the soil possessed degraded shear strength.

3.1.2. Analysis of Shear Strength Parameters

If a peak was present in the relationship curve between shear stress and shear displacement, the maximum shear stress was the shear strength of soil. In the absence of a peak, the shear stress corresponding to the shear displacement of 4 mm was the shear strength. According to the Mohr–Coulomb strength criterion, we plotted the shear strength contour on the τ-σ stress plane, and the shear strength parameters of remolded loess were obtained based on the intercept and slope of the contour line. Table 5 shows the calculated results.
Figure 6 shows that under a certain number of dry-wet cycles, the cohesion of soil mass significantly reduced with the increase of mica content, the average reduction was 4.96 KPa. The cohesion change was the most obvious when the mica content increased from 0% to 5%, the average reduction was 3.56 KPa. If the mica content further increased, the cohesion would decrease to a smaller extent, the average reduction was 1.21 KPa and 0.19 KPa. In contrast, the internal friction angle of soil increased first and then decreased. When the mica content increased from 0% to 5%, there was a slight increase, the average increment was 0.68°. When the mica content increased from 5% to 10%, the internal friction angle remained almost constant. Finally, the internal friction angle decreased slightly when the mica content increased from 10% to 15%. These results showed that the attenuation of cohesion decreases with the increase of mica content, the higher the content of mica, the smaller the cohesion parameter, but the internal friction angle does not reflect a similar trend, and its value remains basically unchanged.
Figure 7 shows that under the condition of different mica contents, the cohesion of soil mass gradually decreased with the increase of dry-wet cycles, especially in the first three cycles. After 10 cycles, the cohesion progressively reduced to a smaller extent and tended to a constant value. This characteristic was more evident if the mica content was higher. However, with the increase in dry-wet cycles, the internal friction angle changed in different trends. When the mica content was 0%, the internal friction angle of soil decreased gradually with the increasing number of dry-wet cycles. The changing trend was approximately linear. When the mica content was 5%, the internal friction angle decreased with the rising number of cycles but was less noticeable than the soil containing 0% mica. When the mica contents reached 10% and 15%, both curves were similar, and the internal friction angles decreased slightly with the increasing number of dry-wet cycles with minor variations.

3.1.3. Analysis of Shear Strength Characteristics

Based on the shear stress and shear displacement variation, if the curve peaked, the maximum shear stress was taken as the shear strength of soil; If a peak did not occur, the shear stress corresponding to the shear displacement of 4 mm was the peak shear strength in this test. Table 6 shows the calculated results of shear strength.
Figure 8 and Figure 9 show the relationships between normal stress and soil shear strength with different mica contents after the treatment with other dry-wet cycles. Obviously, the higher the normal stress, the greater the shear strength. Regardless of the type of normal stress, the shear strength showed a similar changing trend. The specimen with 0% mica had the highest shear strength, and that with 15% mica had the lowest shear strength. If the number of dry-wet cycles was fixed, soil shear strength decreased with the increase of mica content. However, shear strength degradation was gradually mitigated with the increased normal stress. Under the conditions of fixed mica content and normal stress, the shear strength became lower and lower with the increase of the number of dry-wet cycles, and the influence of a small number of cycles was significant, while that of a large number of cycles was smaller and smaller.
The direct shear test results show that the dry-wet cycling process and mica content had apparent degradation effects on the shear strength of loess. To further analyze the degradation trend of soil shear strength, the degradation degree of shear strength was used to represent the deterioration degree of shear strength. The degradation degree was calculated according to Equation (2). Table 7 and Figure 8 present the computed results.
τ i j = | τ f i τ f 0 | τ f 0 × 100 % ,
where τ i j is the degradation degree of shear strength under a certain normal stress in a dry wet cycle; τ f i is the shear strength after a dry wet cycle; τ f 0 is the Shear strength after 0 dry wet cycles.
Figure 10 shows that under a fixed number of dry-wet cycles and normal stress, soil strength degradation degree gradually increased with mica content, when the content of mica is 5%, the deterioration effect of dry-wet cycle is the most obvious, under normal stress of 50 kPa and 20 cycles of wetting and drying, under normal stress of 50 kPa and 20 cycles of dry-wet, the degradation of shear strength reached 58.3%. Under a fixed number of dry-wet cycles and mica content, the degradation degree of shear strength decreased gradually with the increased normal stress, the same 20 cycles of dry-wet, the average deterioration of normal stress at 50 kPa, and 200 kpa was 47.8% and 18.1%, respectively. Under the condition of fixed mica content and normal stress, the degradation degree of shear strength increased with the number of dry-wet cycles, this shows that the degradation effect of the dry-wet cycling process on shear strength was a cumulative process.

3.2. Analysis of Microstructure Test Results

Further to the analysis mentioned above, the dry-wet cycling process had a degradation effect on the shear strength of soil samples with different mica contents and had a more significant impact on a small number of cycles and a more negligible impact under the condition of a large number of cycles. Therefore, the microstructures of soil samples with different mica contents after 0, 1, 3, and 5 dry-wet cycles were analyzed. These samples were observed with the scanning electron microscope using different magnifications (50 times, 100 times, 200 times, 500 times, 800 times, 1000 times, and 1500 times). With the magnifications of 50 and 100 times, the soil particles and pores in the images were not visible to the naked eye compared to their microstructures. In contrast, with the magnifications of 500 times, 800 times, 1000 times, 1200 times, 1500 times, and 2000 times, the soil particles and pores in the images were too large, and only a small number of soil particles and pores could be analyzed in the images, so it was not easy to comprehend the real structure of soil mass. Therefore, the magnification of 200 times was selected for the processing and analysis of microscopic morphology (Figure 11).
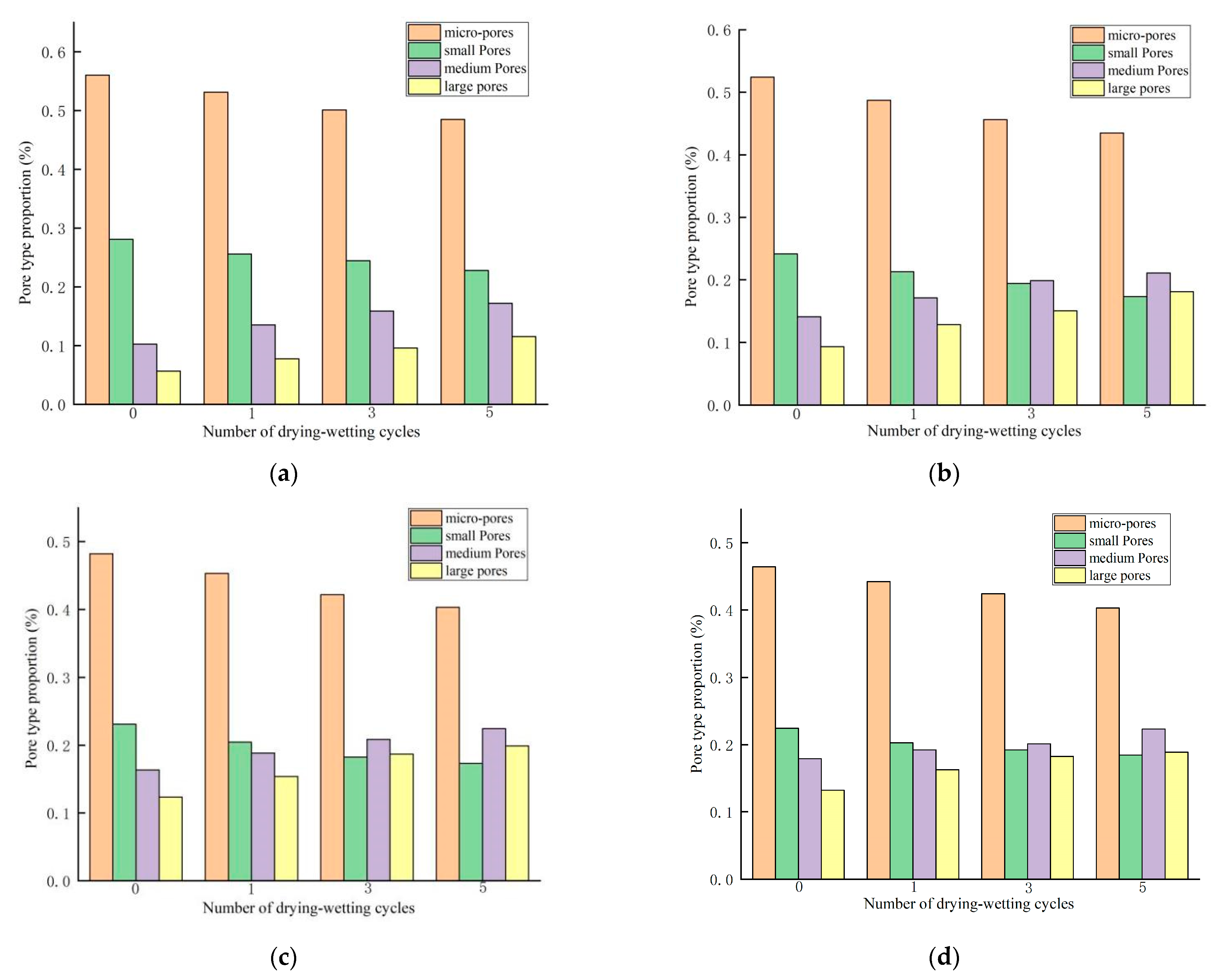
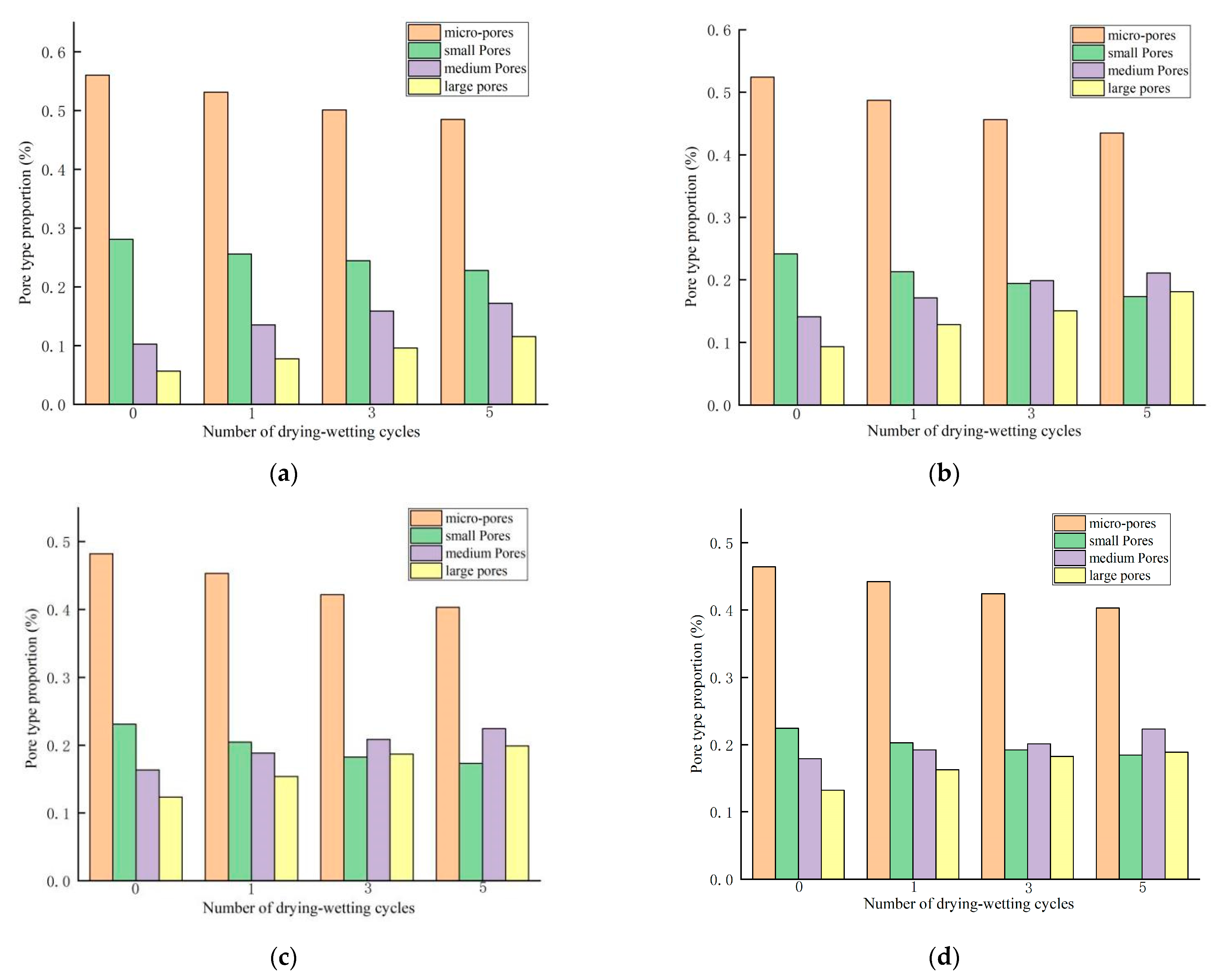
The Image-ProPlus software (IPP, digital image processing software, version 6.0, Media Cybernetics company, Rockville, MD, USA) was used for digitizing the SEM images and counting the numbers of particles and pores in different particle ranges. Each image was processed and analyzed in the same way to reduce deviations. The classification criteria of particle size and pore size were formulated according to the previous research results [24,28]. The numbers of particles in different particle ranges were counted using the automatic counting/measurement functions of IPP6.0 software. Table 8 lists the data, and the corresponding histogram is in Figure 12. The porous composition was analyzed and tabulated in Table 9, and the corresponding histogram is in Figure 13.
Table 8 and Figure 12 show that for loess with different content of mica under 0 cycles of dry-wet, with the increase of mica content, the content of micro-particles in loess particles decreases with an average decrease of 5.19%, while the content of large particles increases with an average increase of 3.49%, and the changes are most obvious when the content of mica increases from 0% to 5%. The variation can reach 5.26% and 4.09%. However, the change in the content of small particles and medium particles is relatively insignificant. Under the condition of a certain content of mica, with the increase of the number of dry-wet cycles, the content of micro-particles in loess particles decreases continuously, the average decrease amount can reach 11.25%, the content of small particles and medium particles increases, the average increase is 6.21% and 3.1%, the content of large particles fluctuates, but the overall trend remains increasing; these changes were most intense in the first three wet-dry cycles, this is mainly because the dry-wet cycle makes more small particles adhere to or gather around particles one or several orders larger than it, forming larger particles. The attachment phenomenon would be more evident with an increase of mica content.
Table 9 and Figure 13 show that for loess with different content of mica under 0 cycles of dry-wet, with the increase of mica content, the content of micropores and small pores decreases continuously, with an average decrease of 3.2% and 1.89. The content of medium and macropores showed an increasing trend, with an average increase of 2.6%, and the change was most obvious when the content of mica increased from 0% to 5%. Under the condition of a certain content of mica, the content of micropores and small pores decreases with the increase of the number of dry-wet cycles, with an average decrease of 7.63% and 5.48%, respectively. The content of medium and large pores showed an increasing trend, with an average increase of 6.13% and 6.99%, and these changes were most intense under the action of the first three dry-wet cycles. The main reason is that micropores and small pores are gradually connected into medium or large pores due to the dry-wet cycle.

4. Discussion

The loess is distributed widely with continuous thick deposits in the Yili region. This loess primarily originated from weathering of igneous rocks. Compared to other types of loess, the mica mineral content was higher and stable, and this loess is typical in China and elsewhere in the world. The modern climate of the Yili River Valley region is different from the eastern monsoon region with the synchronous rainy and hot periods and the Mediterranean region with rainy summer. As a transitional type between both climate types, the modern climate of the Yili region is very similar to that of the Central Asia region in the west. The precipitation is uniform over seasons, with considerable rainfall and intensive evaporation. As a result, the Yili loess always suffers from the dry-wet cycling process, and the Yili region also suffers from frequent loess landslides, resulting in tremendous property loss and casualties. This study probed aspects of dry-wet cycling, and the Yili Valley loess landslide highlighted the dominant factors that lead to such failures. This study further focused on the “strength degrading effect of mica on loess in the presence of dry-wet cycling effect,” which was essential but has been seldom studied. The research results are beneficial for understanding the deformation of Yili loess in the dry-wet cycling effect and shed light on the frequent loess landslide in Yili.
In this study, two control variables, the number of dry-wet cycles and the content of mica, were selected to study the change rule of loess strength in Yili. There are similarities and differences between the research results and those that only consider the influence of the number of dry-wet cycles on the strength of Yili loess. The similarity lies in whether it is the increase of number of dry-wet circulation and the increase of the content of mica that has an effect on the shear strength of loess’ degradation, and the degradation effect is more apparent in the early performance. Experimental data shows that the mica content under certain conditions, the first three dry-wet circulation functions and the dry-wet cycles’ given conditions, mica content increased from 0% to 5%. The deterioration of shear strength of loess is the most significant. With the increase of the number of wetting and drying cycles or the content of mica, it finally becomes stable. The difference lies in the variation law of shear parameters. Previous research results show that the dry-wet cycle mainly has a significant impact on the internal friction angle of soil, which decreases first and then tends to be stable in the whole cycle, but has no significant impact on the cohesion. It is found in this study that considering the content of mica, the wetting and drying cycle mainly has a significant effect on the cohesion of soil, which decreases first and then tends to be stable in the whole cycle, and has a certain effect on the internal friction angle, but the change is small. Causes of this difference may be due to the fact that mica in loess have the effect of a similar “reinforcement”, which is partly offset by dry-wet circulation internal friction angle of degradation. However a large number mica will certainly affect the surrounding soil of stress and strain fields, and the loess particles are weakened always in the direction of development, which may also be a cohesive force of the main cause of degradation.
In this study, it was found that the influence of dry-wet cycles on soil microstructure was strongly correlated with the change in soil shear strength, and the change in microstructure parameters was also most significant when the first three dry-wet cycles and the mica content increased from 0% to 5%. Under the action of the dry-wet cycle, the content of micro-particles in loess particles decreases continuously, the content of small particles and medium particles increases, and the content of large particles generally keeps increasing. However, the content of micropores and small pores decreases continuously, and the content of medium pores and large pores increases continuously. This is basically consistent with previous studies. The content of mica and the number of wetting and drying cycles affect the contact mode, contact mode, and connection mode of loess particle units and pores. With the increase of the content of mica and the number of dry-wet cycles, the contact mode, contact mode and connection mode of the loess always tended to weaken, and the strength of the loess also deteriorated.
Additionally, this paper focused on the impact of mica content on the shear strength of loess under different numbers of dry-wet cycles and correlated the macroscopic mechanical characteristics with microscopic structures using microscopic structural measurements. We drew informative conclusions, although some shortcomings prevailed, such as: The remolded Yili loess sample tested in this experiment may differ from the original Yili loess; The relevant strength and microstructure tests on the original Yili loess are necessary for the future; The mechanical strength test was performed once for each group, and thus the shear strength measured may not be globally representative. Therefore, repeat tests are needed, with the mean values taken to minimize errors and improve representability. The accuracy of the rapid direct shear test in this experiment was slightly low; a triaxial shear test can verify the test results further. This study found that with the increase of mica content, the samples expanded to different degrees after humidification compared with the mica-free sample, increasing saturated moisture contents. In the future, the design of experiments needs to explore the influence of mica on the deformation characteristics caused by humidification. In this paper, the Image-Pro Plus 6.0 software did simple image processing and qualitative analysis in the microstructure measurement. In the future, performing quantitative processing of microstructure parameters preliminarily, and the macroscopic mechanical indexes and microstructure parameters can be analyzed quantitatively using correlation models to derive microstructure parameters with good relevance.

5. Conclusions

The Yili loess was the research object in this paper. We studied different mica contents (0%, 5%, 10%, and 15%) and dry-wet cycle numbers (0, 1, 3, 5, 7, 10, 15, and 20), obtaining 128 direct shear test results and 16 microstructure measurements for Yili loess. In addition, we probed the influence of mica content on the shear strength of the Yili loess under dry-wet cycling conditions was probed. The primary conclusions drawn were as follows:
(1)
Under the influence of mica, the stress-strain profiles were not very smooth with fluctuations. However, the trends were prominent: The maximum principal stress decreased with increased mica content. With the increased mica content, the stress-strain profiles evolved to a certain extent from strain-hardening to strain-softening types.
(2)
Under a fixed number of dry-wet cycles, soil cohesion decreased gradually with the increased mica content. Among them, when the content of mica increases from 0% to 5%, the cohesion decreases most obviously, and when the content of mica increases further, the cohesion still decreases further, but the decreasing range gradually decreases. Under the same conditions, the internal friction angle of the soil increases first and then decreases. When the content of mica increases from 0% to 5%, the internal friction angle slightly increases; when the content of mica increases from 5% to 10%, the internal friction angle basically remains unchanged; when the content of mica increases from 10% to 15%, the internal friction angle slightly decreases. This indicates that the increase of mica content mainly reduces the cohesion of soil, while the change in shear strength of soil is mainly caused by the decrease of cohesion.
(3)
Under a fixed number of dry-wet cycles and normal stress, soil strength degradation degree gradually increased with mica content: when the content of mica is 5%, the deterioration effect of the wet-dry cycle is the most obvious, under normal stress of 50 kPa and 20 cycles of wetting and drying, under normal stress of 50 kPa and 20 cycles of wetting and drying, the degradation of shear strength reached 58.3%. Under a fixed number of dry-wet cycles and mica content, the degradation degree of shear strength decreased gradually with the increased normal stress, the same 20 cycles of wetting and drying, and the average deterioration of normal stress at 50 kPa and 200 kpa was 47.8% and 18.1%, respectively.
(4)
Through the microstructure test, it is found that the influence of the dry-wet cycle on the microstructure of soil is closely related to the change in the shear strength of soil. In terms of particle size, the dry-wet cycle makes more micro-particles adhere to or gather around particles one or several levels larger than it, forming larger particles. In the aspect of pores, the dry-wet cycle makes the micro-pores and small pores gradually connect to medium pores or large pores. These changes were most significant when the content of mica increased from 0% to 5% and under the first three cycles of dry-wet.

Author Contributions

Conceptualization, G.S. and X.L.; data curation, G.S. and Z.G.; formal analysis, G.S. and X.L.; investigation, G.S.; methodology, G.S. and Z.G.; project administration, G.S. and Z.Z.; resources, G.S. and Z.Z.; supervision, G.S.; software, G.S. and X.L.; validation, Y.Z.; Visualization, G.S.; writing—original, G.S. and X.L.; writing—review and editing, G.S. All authors have read and agreed to the published version of the manuscript.

Funding

This research was funded by Natural Science Foundation of Xinjiang Uygur Autonomous Region (2021D01C111), National Natural Science Foundation of China (U2003103), Xinjiang Uygur Autonomous Region Special Program for Key R&D Tasks (2021B03004), Natural Science Foundation of Xinjiang Uygur Autonomous Region (2020D01A47).

Institutional Review Board Statement

Not applicable.

Informed Consent Statement

Not applicable.

Data Availability Statement

The data used to support the findings of this study are induded within the manuscript.

Conflicts of Interest

The authors declare that there are no conflict of interest.

References

  1. Li, C.X.; Song, Y.G. Chemical Weathering Characteristics and Controlling Factors of the Ili Loess, Xinjiang. Geol. J. China Univ. 2011, 17, 611–619. [Google Scholar]
  2. Liu, Y. Analysis of Geological Features, Cause and Stability of the Loess Landslide. Master’s Thesis, Shihezi University, Shihezi, China, 2015. [Google Scholar]
  3. Zhuang, M.; Gao, W.; Zhao, T.; Hu, R.; Wei, Y.; Shao, H.; Zhu, S. Mechanistic Investigation of Typical Loess Landslide Disasters in Ili Basin, Xinjiang, China. Sustainability 2021, 13, 635. [Google Scholar] [CrossRef]
  4. Huang, W. The Engineering Nature of Soil; China Water & Power Press: Beijing, China, 1983. [Google Scholar]
  5. Li, G.X. Higher Soil Mechanics; Tsinghua University Press: Beijing, China, 2004. [Google Scholar]
  6. Bishop, A.W.; Blight, G.E. Some Aspect of Effective Stress in Saturated and Partly Stursted and Partly Saturated Soils. Geotechnique 1963, 3, 177–197. [Google Scholar] [CrossRef]
  7. Fredlund, D.G.; Morgenstern, N.R.; Widger, R.A. The Shear Strength of Unsaturated Soil. Can. Geotech. J. 1978, 3, 313–321. [Google Scholar] [CrossRef]
  8. Wan, Y.; Xue, Q.; Wu, Y.; Zhao, L.Y. Mechanical Properties and Micromechanisms of Compacted Clay During Drying-Wetting Cycles. Yantu Lixue Rock Soil Mech. 2015, 36, 2815–2824. [Google Scholar]
  9. Xu, J.; Li, Y.; Ren, C.; Lan, W. Damage of Saline Intact Loess After Dry-Wet and its Interpretation Based on SEM and NMR. Soils. Found. 2020, 60, 911–928. [Google Scholar] [CrossRef]
  10. Hu, X.K.; Chen, J.T.; Zhu, L.X.; Li, L.L. Effects of Dry-Wet Alternation on Characteristics of Soil Aggregates. Agric. Sci. Technol. 2021, 23, 141–149. [Google Scholar]
  11. Jiang, Q.-Q.; Liu, L.-L.; Jiao, Y.-Y.; Wang, H. Strength Properties and Microstructure Characteristics of Slip Zone Soil Subjected to Wetting-Drying Cycles. Rock Soil Mech. 2019, 40, 38–42. [Google Scholar]
  12. Huang, W.; Mou, Y.; Li, Y.; Zhao, B.; Li, J.; Wu, X.; Zhou, M. Study on Durability of MICP Treated Cohesive Soils under Dry–Wet Cycle and Freeze–Thaw Cycle. Arab. J. Geosci. 2022, 15, 1–10. [Google Scholar] [CrossRef]
  13. Salehi, M.; Bayat, M.; Saadat, M.; Nasri, M. Experimental Study on Mechanical Properties of Cement-Stabilized Soil Blended with Crushed Stone Waste. KSCE J. Civ. Eng. 2021, 25, 1974–1984. [Google Scholar] [CrossRef]
  14. Hadi Sahlabadi, S.; Bayat, M.; Mousivand, M.; Saadat, M. Freeze—Thaw Durability of Cement-Stabilized Soil Reinforced with Polypropylene/Basalt Fibers. J. Mater. Civ. Eng. 2021, 33, 04021232. [Google Scholar] [CrossRef]
  15. Xu, Z.; Lin, Z.; Zhang, M. Loees in China and Loess Landslides. Chin. J. Rock Mech. Eng. 2007, 7, 1297–1312. [Google Scholar]
  16. Ye, W.; Jin, H.L.; Zhao, X.Y.; Chen, X.F. Depositional Features and Material Sources of Loess in Yili Region, Xinjiang. Arid Land Geogr. 1998, 4, 1–8. [Google Scholar]
  17. Ye, W. Characteristics of Physical Environment and Conditions of Loess Formation in Yili Area, Xinjiang. Arid Land Geogr. 1999, 3, 9–16. [Google Scholar]
  18. Ye, W.; Li, C.; Ma, W. Mechanism Fractured Loess Expansion Joints under the Effect of Wet-Dry Cycle. Sci. Technol. Eng. 2016, 16, 122–127. [Google Scholar]
  19. Wang, T.; Hao, Y.; Wang, Z.; Cheng, L.; Li, J. Experimental Study on Dynamic Strength Properties of Compacted Loess Under Wetting-Drying Cycles. Chin. J. Rock Mech. Eng. 2020, 39, 1242–1251. [Google Scholar]
  20. Liu, F.Y.; Liu, Z.; Zhou, D.; Zhao, X.G.; Zhu, L. Effects of Initial Density and Drying-Wetting Cycle on Soil Water Characteristic Curve of Unsaturated Loess. Rock Soil Mech. 2011, 32 (Suppl. 2), 132–136, 142. [Google Scholar]
  21. Zhao, T.Y.; Wang, J.F. Soil-Water Characteristic Curve for Unsaturated Loess Soil Considering Density and Wetting-Drying Cycle Effects. J. Cent. South Univ. Sci. Technol. 2012, 43, 2445–2453. [Google Scholar]
  22. Pan, Z.; Yang, G.; Ye, W.; Tian, J.; Liang, B. Study on Mechanical Prorerties and Microscopic Damage of Undisturbed Loess uuder Dry and Wet Cycles. J. Eng. Geol. 2020, 28, 1186–1192. [Google Scholar]
  23. Yuan, Z.H.; Ni, W.K.; Tang, C.; Hu, S.M.; Gan, J.-J. Experimental Study of Structure Strength and Strength Attenuation of Loess under Wetting-Drying Cycle. Rock Soil Mech. 2017, 38, 1894–1902. [Google Scholar]
  24. Yuan, Z.H. Research on Change Mechanism of Strength and Microstructure of Loess Under Wetting-Drying Cycle. Ph.D. Thesis, Chang’an University, Xi’an, China, 2015. [Google Scholar]
  25. Hao, Y.Z.; Wang, T.X.; Wang, C.; Jin, X. Experimental Study On Triaxial Shear Characteristics of Compacted Loess under Drying and Wetting Cycles. Shuili Xuebao 2021, 52, 359–368. [Google Scholar]
  26. Li, Z.Y.; Wang, L. Mechanical Properties of Special Loess in Xi’an Under Dry and Wet Circulation. Sci. Technol. Eng. 2017, 17, 315–319. [Google Scholar]
  27. Hu, C.M.; Yuan, Y.L.; Wang, X.Y.; Mei, Y.; Liu, Z. Experimental Study on Strength Deterioration Model of Coppacted Loess under Wetting-Drying Cycles. Chin. J. Rock Mech. Eng. 2018, 37, 2804–2818. [Google Scholar]
  28. Tang, G.B. Characteristics of Strength and Effect of Loess in Yili Valey Under Dry and Wet Circulation. Master’s Thesis, Xinjiang University, Urumqi, China, 2021. [Google Scholar]
  29. Hao, R.; Zhang, Z.; Guo, Z.; Huang, X.; Lv, Q.; Wang, J.; Liu, T. Investigation of Changes to Triaxial Shear Strength Parameters and Microstructure of Yili Loess with Drying–Wetting Cycles. Materials 2022, 15, 255. [Google Scholar] [CrossRef]
  30. Lv, Q.; Zhang, Z.; Zhang, T.; Hao, R.; Guo, Z.; Huang, X.; Zhu, J.; Liu, T. The Trend of Permeability of Loess in Yili, China, under Freeze–Thaw Cycles and its Microscopic Mechanism. Water 2021, 13, 3257. [Google Scholar] [CrossRef]
  31. Wei, Y. The Mineral Characteristics of Loess and Depositing Environment in Yili Area, Xinjing. Arid Zone Res. 2000, 4, 1–10. [Google Scholar]
  32. GB/T 50123-1999; Standard for Geotechnical Testing Method. Ministry of Housing and Urban-Rural Development of the People’s Republic of China: Beijing, China, 2019.
  33. JTG 3430-2020; Test Methods of Soils for Highway Engineering. Ministry of Transport of the People’s Republic of China: Beijing, China, 2021.
  34. Hu, X. Study on Relationship between Microstructure and Shear Strength of Cohesice Soil with Calcarrous Nodules. Master’s Thesis, Hefei University of Technology, Hefei, China, 2017. [Google Scholar]
Figure 1. Particle grading curve of soil samples (all three samples were taken from YiLi, China).
Figure 1. Particle grading curve of soil samples (all three samples were taken from YiLi, China).
Sustainability 14 09569 g001
Figure 2. Illustration of drying-wetting cyclic process.
Figure 2. Illustration of drying-wetting cyclic process.
Sustainability 14 09569 g002
Figure 3. Samples for direct shear test.
Figure 3. Samples for direct shear test.
Sustainability 14 09569 g003
Figure 4. Drying-Wetting cycle test process.
Figure 4. Drying-Wetting cycle test process.
Sustainability 14 09569 g004
Figure 5. Relation curve between shear stress and shear displacement of samples with different mica content after three dry-wet cycles. (a) mica content 0%; (b) mica content 5%; (c) mica Content 10%; (d) mica content 15%. In the figure ① representative elastic deformation stage, ② representative elastoplastic deformation stage, ③ representative elastoplastic deformation stage.
Figure 5. Relation curve between shear stress and shear displacement of samples with different mica content after three dry-wet cycles. (a) mica content 0%; (b) mica content 5%; (c) mica Content 10%; (d) mica content 15%. In the figure ① representative elastic deformation stage, ② representative elastoplastic deformation stage, ③ representative elastoplastic deformation stage.
Sustainability 14 09569 g005aSustainability 14 09569 g005b
Figure 6. Correlation between mica content and shear strength parameters. (a) the relationship between cohesion and mica content; (b) the relationship between internal friction angle and mica content.
Figure 6. Correlation between mica content and shear strength parameters. (a) the relationship between cohesion and mica content; (b) the relationship between internal friction angle and mica content.
Sustainability 14 09569 g006
Figure 7. Correlation between drying-wetting cycles and shear strength parameters. (a) the relationship between cohesion and the number of dry-wet cycles; (b) the relationship between internal friction angle and the number of dry-wet cycles.
Figure 7. Correlation between drying-wetting cycles and shear strength parameters. (a) the relationship between cohesion and the number of dry-wet cycles; (b) the relationship between internal friction angle and the number of dry-wet cycles.
Sustainability 14 09569 g007
Figure 8. Correlation between mica content and shear strength. (a) normal stress 50 KPa; (b) normal stress 100 KPa; (c) normal stress 150 KPa; (d) normal stress 200 KPa.
Figure 8. Correlation between mica content and shear strength. (a) normal stress 50 KPa; (b) normal stress 100 KPa; (c) normal stress 150 KPa; (d) normal stress 200 KPa.
Sustainability 14 09569 g008
Figure 9. Correlation between the number of drying-wetting cycles and shear strength. (a) mica content 0%; (b) mica content 5%; (c) mica Content 10%; (d) mica content 15%.
Figure 9. Correlation between the number of drying-wetting cycles and shear strength. (a) mica content 0%; (b) mica content 5%; (c) mica Content 10%; (d) mica content 15%.
Sustainability 14 09569 g009
Figure 10. Correlation between the number of drying- wetting cycles and shear strength deterioration. (a) mica content 0%; (b) mica content 5%; (c) mica Content 10%; (d) mica content 15%.
Figure 10. Correlation between the number of drying- wetting cycles and shear strength deterioration. (a) mica content 0%; (b) mica content 5%; (c) mica Content 10%; (d) mica content 15%.
Sustainability 14 09569 g010
Figure 11. Scanning image of specimen magnified by 200 times of electron microscope. (ad) mica content 0%; (eh) mica content 5%; (il) mica Content 10%; (mp) mica content 15%.
Figure 11. Scanning image of specimen magnified by 200 times of electron microscope. (ad) mica content 0%; (eh) mica content 5%; (il) mica Content 10%; (mp) mica content 15%.
Sustainability 14 09569 g011aSustainability 14 09569 g011bSustainability 14 09569 g011c
Figure 12. Variation statistics of soil particles in samples with different mica contents under drying-wetting cycle conditions. (a) Mica Content 0%, (b) Mica Content 5%, (c) Mica Content 10%, (d) Mica Content 15%.
Figure 12. Variation statistics of soil particles in samples with different mica contents under drying-wetting cycle conditions. (a) Mica Content 0%, (b) Mica Content 5%, (c) Mica Content 10%, (d) Mica Content 15%.
Sustainability 14 09569 g012aSustainability 14 09569 g012b
Figure 13. Changes in soil particle pores with different mica content under drying-wetting cycle conditions. (a) Mica Content 0%, (b) Mica Content 5%, (c) Mica Content 10%, (d) Mica Content 15%.
Figure 13. Changes in soil particle pores with different mica content under drying-wetting cycle conditions. (a) Mica Content 0%, (b) Mica Content 5%, (c) Mica Content 10%, (d) Mica Content 15%.
Sustainability 14 09569 g013
Table 1. Mineral component analysis results.
Table 1. Mineral component analysis results.
Sampling PositionSample NumbersQuartzCalciteDolomiteFeldsparMicaOther Minerals
Middle of slope127.721.9419.415.311.7
228.121.1/18.714.717.4
foot of slope344.216.42.817.8216.8
433.711.92.231.91.818.5
Table 2. Basic physical index of native loess.
Table 2. Basic physical index of native loess.
Natural Moisture Content (%)Natural Density (g/cm3)Natural Dry Density (g/cm3)Saturated Moisture Content (%)Optimum Moisture Content (%)Maximum Dry Density (g/cm3)Plastic Limit (%)
18.91.961.6424.5717.41.8617.34
Table 3. Compaction test results.
Table 3. Compaction test results.
Mica Content (%)Dry Density (g/cm3)Maximum Dry Density (g/cm3)Degree of Compaction (%)
01.641.8688.17%
51.581.7988.17%
101.511.7188.17%
151.441.6388.17%
Table 4. Numbers of the loess samples in different tests.
Table 4. Numbers of the loess samples in different tests.
Number of Drying-Wetting CyclesNumber of Loess Samples for Direct Shear TestNumber of Loess Samples for Scanning Electron Microscopy Test (SEM) Analysis
0%5%10%15%0%5%10%15%
044441111
144441111
344441111
544441111
74444////
104444////
154444////
204444////
Table 5. Numbers of the loess samples in different tests.
Table 5. Numbers of the loess samples in different tests.
Number of Drying-Wetting CyclesMica Content(%)
051015
φ C (kPa) φ C (kPa) φ C (kPa) φ C (kPa)
010.10409.600010.30948.645210.39815.234610.23734.8257
19.92078.785410.35377.114710.33714.135710.05413.8856
39.77617.134210.34274.009110.32602.874110.04292.6183
59.67036.823110.33712.934510.35932.05819.84281.8723
79.58686.435510.29831.981210.33711.23689.86511.1132
109.43076.165310.28171.112310.27610.78549.71490.6578
159.24115.612410.17620.776910.28170.62419.72040.5621
209.05684.915210.12070.436710.27060.35689.74830.2857
Table 6. Shear strength.
Table 6. Shear strength.
Mica Content 0%Mica Content 5%
Number of Drying-Wetting CyclesShear Strength (kPa)Shear Strength (kPa)
σ = 50σ = 100σ = 150σ = 200σ = 50σ = 100σ = 150σ = 200
017.0727.7635.7344.2715.7326.6734.1143.20
116.0026.6734.9342.6714.4025.2733.0742.13
314.8325.0734.1340.5311.1522.1430.0838.92
514.2924.0033.0738.9310.1221.0728.8737.86
713.8722.9332.0037.809.0520.1027.7536.79
1013.3322.6731.4737.007.8818.9126.5935.56
1512.8021.8730.4036.277.2018.1125.6134.63
2012.0021.3329.3335.506.5617.2424.4133.76
Mica Content 10%Mica Content 15%
Number of Drying-Wetting CyclesShear Strength (kPa)Shear Strength (kPa)
σ = 50σ = 100σ = 150σ = 200σ = 50σ = 100σ = 150σ = 200
013.3323.4732.5141.0713.0722.9731.3540.50
112.1222.2331.1239.4411.7921.8729.3338.19
311.0521.1229.3438.7810.6520.7728.7937.07
510.2320.3128.5637.959.8719.7326.8936.16
79.6019.3627.8937.179.0719.0226.0535.57
108.9118.8327.2036.528.5118.4325.4334.86
158.4318.2926.5635.897.9117.9324.8734.25
207.8917.6026.0335.267.2017.2824.3733.86
Table 7. Shear strength deterioration degree.
Table 7. Shear strength deterioration degree.
Mica Content 0%Mica Content 5%
Number of Drying-Wetting CyclesDeterioration (%)Deterioration (%)
σ = 50σ = 100σ = 150σ = 200σ = 50σ = 100σ = 150σ = 200
000000000
16.27%3.93%2.24%3.61%8.46%5.25%3.05%2.48%
313.12%9.69%4.48%8.45%29.12%16.99%11.81%9.91%
516.29%13.54%7.44%12.06%35.66%21.00%15.36%12.36%
718.75%17.40%10.44%14.61%42.47%24.63%18.65%14.84%
1021.91%18.34%11.92%16.42%49.90%29.10%22.05%17.69%
1525.01%21.22%14.92%18.07%54.23%32.10%24.92%19.84%
2029.70%23.16%17.91%19.81%58.30%35.36%28.44%21.85%
Mica Content 10%Mica Content 15%
Number of Drying-Wetting CyclesDeterioration (%)Deterioration (%)
σ = 50σ = 100σ = 150σ = 200σ = 50σ = 100σ = 150σ = 200
000000000
19.08%5.28%4.28%3.97%9.79%4.79%6.44%5.70%
317.10%10.01%9.75%5.58%18.52%9.58%8.17%8.47%
523.26%13.46%12.15%7.60%24.48%14.11%14.23%10.72%
727.98%17.51%14.21%9.50%30.60%17.20%16.91%12.17%
1033.16%19.77%16.33%11.08%34.89%19.76%18.88%13.93%
1536.76%22.07%18.30%12.61%39.48%21.94%20.67%15.43%
2040.81%25.01%19.93%14.15%44.91%24.77%22.26%16.40%
Table 8. The proportion of particles in different grain groups.
Table 8. The proportion of particles in different grain groups.
Mica Content 0%
Number of Drying-Wetting CyclesParticle Type Proportion (%)
Micro-particleSmall ParticleMedium ParticleLarge Particle
<2 μm2–5 μm5–20 μm>20 μm
045.63%19.52%18.62%16.23%
141.00%22.33%19.52%17.15%
337.21%27.78%18.28%16.73%
535.11%28.92%18.93%17.04%
Mica Content 5%
Number of Drying-Wetting CyclesParticle Type Proportion (%)
Micro-particleSmall ParticleMedium ParticleLarge Particle
<2 μm2–5 μm5–20 μm>20 μm
040.14%23.24%16.30%20.32%
135.87%24.13%18.76%21.24%
330.23%26.45%20.21%23.11%
528.23%27.87%21.42%22.48%
Mica Content 10%
Number of Drying-Wetting CyclesParticle Type Proportion (%)
Micro-particleSmall ParticleMedium ParticleLarge particle
<2 μm2–5 μm5–20 μm>20 μm
034.72%22.29%19.21%23.78%
130.01%24.21%21.00%24.78%
324.43%26.24%23.21%26.12%
522.11%27.43%23.11%27.35%
Mica Content 15%
Number of Drying-Wetting CyclesParticle Type Proportion (%)
Micro-particleSmall ParticleMedium ParticleLarge particle
<2 μm2–5 μm5–20 μm>20 μm
029.85%22.13%21.79%26.23%
125.79%24.00%23.21%27.00%
321.21%26.30%24.23%28.26%
519.86%27.78%24.77%27.59%
Table 9. The proportion of particles in different grain groups.
Table 9. The proportion of particles in different grain groups.
Mica Content 0%
Number of Drying-Wetting CyclesPore Type Proportion (%)
MicroporesSmall PoresMedium PoresLarge pores
<1 μm1–4 μm4–16 μm>16 μm
056.03%28.09%10.23%5.65%
153.12%25.59%13.53%7.76%
350.11%24.44%15.87%9.58%
548.47%22.78%17.21%11.54%
Mica Content 5%
Number of Drying-Wetting CyclesPore Type Proportion (%)
MicroporesSmall PoresMedium PoresLarge pores
<1 μm1–4 μm4–16 μm>16 μm
052.42%24.14%14.12%9.32%
148.72%21.32%17.12%12.84%
345.61%19.44%19.89%15.06%
543.47%17.32%21.11%18.10%
Mica Content 10%
Number of Drying-Wetting CyclesPore Type Proportion (%)
MicroporesSmall PoresMedium PoresLarge pores
<1 μm1–4 μm4–16 μm>16 μm
048.21%23.12%16.34%12.33%
145.32%20.45%18.85%15.38%
342.18%18.25%20.88%18.69%
540.31%17.33%22.45%19.91%
Mica Content 15%
Number of Drying-Wetting CyclesPore Type Proportion (%)
MicroporesSmall PoresMedium PoresLarge pores
<1 μm1–4 μm4–16 μm>16 μm
046.43%22.46%17.91%13.20%
144.23%20.27%19.23%16.27%
342.43%19.21%20.12%18.24%
540.32%18.45%22.34%18.89%
Publisher’s Note: MDPI stays neutral with regard to jurisdictional claims in published maps and institutional affiliations.

Share and Cite

MDPI and ACS Style

Shi, G.; Li, X.; Guo, Z.; Zhang, Z.; Zhang, Y. Effect of Mica Content on Shear Strength of the Yili Loess under the Dry-Wet Cycling Condition. Sustainability 2022, 14, 9569. https://doi.org/10.3390/su14159569

AMA Style

Shi G, Li X, Guo Z, Zhang Z, Zhang Y. Effect of Mica Content on Shear Strength of the Yili Loess under the Dry-Wet Cycling Condition. Sustainability. 2022; 14(15):9569. https://doi.org/10.3390/su14159569

Chicago/Turabian Style

Shi, Guangming, Xinyu Li, Zekun Guo, Zizhao Zhang, and Yanyang Zhang. 2022. "Effect of Mica Content on Shear Strength of the Yili Loess under the Dry-Wet Cycling Condition" Sustainability 14, no. 15: 9569. https://doi.org/10.3390/su14159569

APA Style

Shi, G., Li, X., Guo, Z., Zhang, Z., & Zhang, Y. (2022). Effect of Mica Content on Shear Strength of the Yili Loess under the Dry-Wet Cycling Condition. Sustainability, 14(15), 9569. https://doi.org/10.3390/su14159569

Note that from the first issue of 2016, this journal uses article numbers instead of page numbers. See further details here.

Article Metrics

Back to TopTop