Intelligent Assessment for Visual Quality of Streets: Exploration Based on Machine Learning and Large-Scale Street View Data
Abstract
:1. Introduction
1.1. Importance and Significance of the Visual Quality Assessment of Streets
1.2. Assessment Potential of Artificial Intelligence Techniques
2. Literature Review
2.1. Theories and Methods of Visual Quality Assessment
2.2. Indicators and Criteria of Visual Quality Assessment
2.3. Needs and Difficulties
3. Materials and Methods
3.1. Study Area
3.2. Analytical Framework
- (1)
- The collection of SVIs. These images were obtained using Open Street Maps (OSMs), Geographic System Information System (GIS), and Baidu Street View Map application programming interface (API).
- (2)
- The assessment of objective indicators based on PaddleSeg. The PaddleSeg machine learning method, which is based on expert approaches, was used to identify the objective indicators, measure the percentage of objective indicators of the street in each image, and score the objective indicators using SVIs.
- (3)
- The assessment of subjective indicators based on neural image assessment (NIMA). Based on the public perception-based approaches, the deep-learning NIMA model was used to score the subjective indicators using SVIs.
- (4)
- The visual quality assessment of streets using a random forest. A random forest model was established to obtain the visual quality score of the street to be evaluated using the objective indicator assessment of a small number of samples, subjective indicator assessment of the samples, and manual assessment of the visual quality of the streets in the samples.
- (5)
- Intelligent strategic analysis of street visual quality, which includes an analysis of the relationship between the assessments of each indicator and street visual quality, the relationship between the assessments of subjective and objective indicators (especially the interpretability of objective indicator scores with respect to subjective indicator scores), and providing suggestions and measures for optimizing street landscape quality.
3.2.1. Collection of SVIs
3.2.2. Assessment of Objective Indicators Based on PaddleSeg
- (1)
- Selection of objective indicators and their assessment criteria
- (2)
- Intelligent image segmentation of physical street elements and the establishment of objective indicator assessment model
3.2.3. Assessment of Subjective Indicators Based on NIMA
- (1)
- Selection of subjective indicators and their assessment criteria
- (2)
- Machine learning principles and the construction of the subjective indicator assessment model
3.2.4. Visual Quality Assessment of Streets Based on a Random Forest
4. Results
4.1. Analysis for the Assessment Results of Objective Indicators
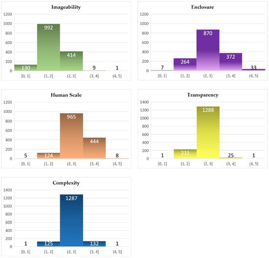
4.2. Analysis of the Assessment Results of Subjective Indicators
4.3. Analysis of Street Visual Quality Assessment Results
4.4. Impact and Importance Ranking of the Key Indicators of Visual Quality Assessment
- a.
- Pearson correlation coefficient analysis
- (1)
- When is closer to 1 or −1, it means the variables are more relevant. When , there exists coefficients a and b such that Y= aX + b.
- (2)
- When equals 0, X is completely uncorrelated with Y.
- (3)
- A value of is greater than 0 means that as X increases, Y increases. A value of less than 0 means that as X increases, Y decreases.
- b.
- Random forest approach
4.5. Relationship between Objective and Subjective Indicators
4.6. Validation of the Assessment Results
4.7. Potential Applications
5. Discussion
5.1. Large-Scale Data Improves the Speed and Accuracy of Street Visual Quality Assessment
5.2. Efficient Assessment of Subjective Indicators Using Machine Learning Techniques
5.3. Machine Assessment Effectively Replaces Manual Assessment and Improves Assessment Efficiency
5.4. Improving the Interpretability of Relationships
5.5. Limitations and Future Improvements
6. Conclusions
Author Contributions
Funding
Institutional Review Board Statement
Informed Consent Statement
Data Availability Statement
Conflicts of Interest
References
- McCloskey, M. Wilderness Act of 1964: Its Background and Meaning. Or. L. Rev. 1965, 45, 288. [Google Scholar]
- Anderson, F.R. NEPA in the Courts: A Legal Analysis of the National Environmental Policy Act, 1st ed.; RFF Press: New York, NY, USA, 2013; pp. 1–324. [Google Scholar]
- Bacon, W.R. The visual management system of the Forest Service, USDA. In Proceedings of the Our National Landscape: A Conference on Applied Techniques for Analysis and Management of the Visual Resource, Incline Village, NV, USA, 23–25 April 1979. [Google Scholar]
- Ross, R.W., Jr. The bureau of land management and visual resource management—An overview. In Proceedings of the Our National Landscape: A Conference on Applied Techniques for Analysis and Management of the Visual Resource, Incline Village, NV, USA, 23–25 April 1979. [Google Scholar]
- Schauman, S.; Adams, C. Soil conservation service landscape resource management. In Proceedings of the Our National Landscape: A Conference on Applied Techniques for Analysis and Management of the Visual Resource, Incline Village, NV, USA, 23–25 April 1979. [Google Scholar]
- Streetscape Guidance. Available online: https://content.tfl.gov.uk/streetscape-guidance-.pdf (accessed on 1 March 2019).
- Street Design Manual. Available online: https://www.nycstreetdesign.info/sites/default/files/2020-03/FULL-MANUAL_SDM_v3_2020.pdf (accessed on 1 January 2020).
- Sydney Streets Code 2021. Available online: https://www.cityofsydney.nsw.gov.au/design-codes-technical-specifications/sydney-streets-code (accessed on 12 May 2021).
- Shanghai Planning and Land Resource Administration Bureau; Shanghai Municipal Transportation Commission; Shanghai Urban Planning and Design Research Institute. Shanghai Street Design Guidelines, 1st ed.; Tongji University Press: Shanghai, China, 2016; pp. 14–181. [Google Scholar]
- The Urban Design Guidelines for Beijing Street Regeneration and Governance. Available online: http://ghzrzyw.beijing.gov.cn/biaozhunguanli/bz/cxgh/202106/P020210623592985465247.pdf (accessed on 23 June 2021).
- Huang, J.T.; Li, J.; Gong, Y. An analysis of convolutional neural networks for speech recognition. In Proceedings of the 2015 IEEE International Conference on Acoustics, Speech and Signal Processing (ICASSP), South Brisbane, QLD, Australia, 19–24 April 2015. [Google Scholar]
- Zhao, J.; Cao, Y. Overview of artificial intelligence methods in landscape architecture research. Chin. Landsc. Archit. 2020, 36, 82–87. [Google Scholar]
- Li, X.; Cai, B.Y.; Ratti, C. Using street-level images and deep learning for urban landscape studies. Landsc. Archit. Front. 2018, 6, 20–30. [Google Scholar] [CrossRef] [Green Version]
- Naik, N.; Philipoom, J.; Raskar, R.; Cesar, H. Streetscore-predicting the Perceived Safety of One Million Streetscapes. In Proceedings of the IEEE Conference on Computer Vision and Pattern Recognition Workshops, Columbus, OH, USA, 23–28 June 2014. [Google Scholar]
- Naik, N.; Kominers, S.D.; Raskar, R.; Hidalgo, C.A. Computer vision uncovers predictors of physical urban change. Proc. Natl. Acad. Sci. USA 2017, 114, 7571–7576. [Google Scholar] [CrossRef] [PubMed] [Green Version]
- Al-Sayed, K.; Penn, A. Translating Analytical Descriptions of Cities into Planning and Simulation Models. In Proceedings of the Design Computing and Cognition’16, Chicago, IL, USA, 27–29 June 2016; pp. 1–20. [Google Scholar]
- Tang, J.; Long, Y. Measuring visual quality of street space and its temporal variation: Methodology and its application in the Hutong area in Beijing. Landsc. Urban Plan. 2019, 191, 103436. [Google Scholar] [CrossRef]
- Ye, Y.; Zeng, W.; Shen, Q.; Zhang, X.H.; Lu, Y. The visual quality of streets: A human-centred continuous measurement based on machine learning algorithms and street view images. Environ. Plan. B Urban Anal. City Sci. 2019, 46, 1439–1457. [Google Scholar] [CrossRef]
- Zhang, K.; Li, C.L.; Zhang, J.Y. A Study on the Spatio-temporal Evolution of Inbound Tourists’Perceptions and Behaviors Based on Big Pictorial Data: The Case of Beijing. Tourism Tribune/Lvyou Xuekan 2020, 35, 61–70. [Google Scholar]
- Lynch, K. The Image of the City; MIT Press: Cambridge, MA, USA, 1964; p. 10. [Google Scholar]
- Ashihara, Y. The Aesthetic Townscape, 1st ed.; MIT Press: Cambridge, MA, USA, 1983; pp. 3–98. [Google Scholar]
- Jacobs, J. The Death and Life of Great American Cities, 1st ed.; Random House: New York, NY, USA, 1961; pp. 5–57. [Google Scholar]
- Whyte, W.H. The Social Life of Small Urban Spaces, 1st ed.; Project for Public Spaces, Inc.: Washington, DC, USA, 1980; pp. 3–40. [Google Scholar]
- Daniel, T.C. Whither scenic beauty? Visual landscape quality assessment in the 21st century. Landsc. Urban Plan. 2001, 54, 267–281. [Google Scholar] [CrossRef]
- Tveit, M.S.; Sang, O.Å.; Hagerhall, C.M. Scenic beauty: Visual landscape assessment and human landscape perception. In Environmental Psychology: An Introduction, 1st ed.; Steg, L., de Groot, J.I.M., Eds.; John Wiley & Sons Ltd: New York, NY, USA, 2018; Volume 5, pp. 45–54. [Google Scholar]
- Daniel, T.C.; Vining, J. Methodological issues in the assessment of landscape quality. In Behavior and the Natural Environment, 1st ed.; Altman, I., Lawton, M.P., Wohlwill, J.F., Eds.; Springer: Boston, MA, USA, 1983; Volume 6, pp. 39–84. [Google Scholar]
- Palmer, J.F.; Hoffman, R.E. Rating reliability and representation validity in scenic landscape assessments. Landsc. Urban Plan. 2001, 54, 149–161. [Google Scholar] [CrossRef]
- Kaplan, R. The analysis of perception via preference: A strategy for studying how the environment is experienced. Landsc Plan. 1985, 12, 161–176. [Google Scholar] [CrossRef] [Green Version]
- Brown, T.C.; Daniel, T.C. Context effects in perceived environmental quality assessment: Scene selection and landscape quality ratings. J. Environ. Psychol. 1987, 7, 233–250. [Google Scholar] [CrossRef]
- Daniel, T.C.; Boster, R.S. Measuring Landscape Esthetics: The Scenic Beauty Estimation Method, 1st ed.; Department of Agriculture, Forest Service, Rocky Mountain Forest and Range Experiment Station: Fort Collins, CO, USA, 1976; pp. 2–61. [Google Scholar]
- Lange, E.; Legwaila, I. Visual landscape research–Overview and outlook. Chinese Landsc. Archit. 2012, 28, 5–14. [Google Scholar]
- Zhao, J.W.; Zhang, L.; Wu, H. Visual Landscape Preference Assessment Overview and Development in the Future. Chin. Landsc. Archit. 2015, 7, 48–51. [Google Scholar]
- Kaltenborn, B.P.; Bjerke, T. Associations between environmental value orientations and landscape preferences. Landsc. Urban Plan. 2002, 59, 1–11. [Google Scholar] [CrossRef]
- Pflüger, Y.; Rackham, A.; Larned, S. The aesthetic value of river flows: An assessment of flow preferences for large and small rivers. Landsc. Urban Plan. 2010, 95, 68–78. [Google Scholar] [CrossRef]
- Han, J.W.; Dong, L. A Study of Visual Evaluation of Streetscape Based on the Psychophysical Method. Chin. Landsc. Archit. 2015, 5, 116–119. [Google Scholar]
- Tieskens, K.F.; Van, Z.B.T.; Schulp, C.J.E.; Verburg, P.H. Aesthetic appreciation of the cultural landscape through social media: An analysis of revealed preference in the Dutch river landscape. Landsc. Urban Plan. 2018, 177, 128–137. [Google Scholar] [CrossRef]
- Han, X.; Wang, L.; Seong, S.H.; He, J.; Taeyeol, J. Measuring Perceived Psychological Stress in Urban Built Environments Using Google Street View and Deep Learning. Front. Public Health 2022, 10, 891736. [Google Scholar] [CrossRef]
- Chen, C.; Li, T.; Zhou, W. Research on Urban Street Landscape Guidelines Based on Constituent Elements: A Study of Tianjin Street Design Guidelines. In Proceedings of the Planning Innovation—2010 China Urban Planning Annual Conference, Chong Qing, China, 15 October 2010. [Google Scholar]
- Pendola, R.; Gen, S. Does “Main Street” promote sense of community? A comparison of San Francisco neighborhoods. Environ. Behav. 2008, 40, 545–574. [Google Scholar] [CrossRef]
- Garré, S.; Meeus, S.; Gulinck, H. The dual role of roads in the visual landscape: A case-study in the area around Mechelen (Belgium). Landsc. Urban Plan. 2009, 92, 125–135. [Google Scholar] [CrossRef]
- Ewing, R.; Handy, S. Measuring the unmeasurable: Urban design qualities related to walkability. J. Urban Plan. Dev. 2009, 14, 65–84. [Google Scholar] [CrossRef]
- Ewing, R.; Clemente, O.; Neckerman, K.M.; Purciel-Hill, M.; Quinn, J.W.; Rundle, A. Measuring Urban Design: Metrics for Livable Places, 3rd ed.; Island Press: Washington, DC, USA, 2013; p. 6. [Google Scholar]
- Deng, Y.L.; Chen, Q.H.; Guo, X.C. The impact of street environment on pedestrian walking experience. Urban Probl. 2018, 6, 43–50. [Google Scholar]
- Ye, Y.; Zhang, Z.X.; Zhang, X.H.; Zeng, W. Human-scale Quality on Streets: A Large-scale and Efficient Analytical Approach Based on Street View Images and New Urban Analytical Tools. Urban Plan. Int. 2019, 34, 18–27. [Google Scholar] [CrossRef]
- Guo, R.; Wang, H.C. Influence of Landscape Composition Characteristics on Walking Activities in Life Service Streets and Its Optimization: A Case Study of Streets in Downtown Tianjin. Landsc. Archit. 2020, 27, 99–105. [Google Scholar]
- Tao, A.; Sapra, K.; Catanzaro, B. Hierarchical multi-scale attention for semantic segmentation. arXiv 2020, arXiv:2005.10821. [Google Scholar]
- GitHub. Available online: https://github.com/PaddlePaddle/PaddleSeg/tree/release/2.3/contrib/CityscapesSOTA (accessed on 29 December 2021).
- Cavalcante, A.; Mansouri, A.; Kacha, L.; Barros, A.K.; Takeuchi, Y.; Matsumoto, N. Measuring streetscape complexity based on the statistics of local contrast and spatial frequency. PLoS ONE 2014, 9, e87097. [Google Scholar] [CrossRef] [PubMed]
- Cheng, L.; Chu, S.; Zong, W.; Li, S.Y.; Wu, J.; Li, M.C. Use of tencent street view imagery for visual perception of streets. ISPRS 2017, 6, 265. [Google Scholar] [CrossRef]
- Tang, J.X.; Long, Y. Metropolitan street space quality evaluation: Second and third ring Of Beijing, inner ring of Shanghai. Planners 2017, 33, 68–73. [Google Scholar]
- Di, D.; Jiang, Y.H.; Ye, D.; Ye, Y. Street Space Quality Evaluation Supported by New Urban Science: The Central District of Shanghai. Planners 2021, 37, 5–12. [Google Scholar]
- Talebi, H.; Milanfar, P. NIMA: Neural image assessment. IEEE Trans. Image Process. 2018, 27, 3998–4011. [Google Scholar] [CrossRef] [Green Version]
- Tianjin Hexi District Government. Available online: http://www.tjhx.gov.cn/hxxw/szyw/202202/t20220216_5805175.html (accessed on 16 February 2022).
- Hu, C.B.; Zhang, F.; Gong, F.Y.; Rattic, C.; Li, X. Classification and mapping of urban canyon geometry using Google Street View images and deep multitask learning. Build. Environ. 2020, 167, 106424. [Google Scholar] [CrossRef]
- Shao, Y.H.; Liu, B.Y. Urban Streetscape Visual Aesthetics Assessment Research. Chin. Landsc. Archit. 2017, 33, 17–22. [Google Scholar]
- Zhang, L.; Zhang, R.; Yin, B. The impact of the built-up environment of streets on pedestrian activities in the historical area. Alex. Eng. J. 2021, 60, 285–300. [Google Scholar] [CrossRef]
- Wilson, E.O. Biophilia; Harvard University Press: Cambridge, MA, USA, 1984; pp. 1–10. [Google Scholar]
- Mehaffy, M.W.; Kryasheva, Y.; Rudd, A.; Salingaros, N.A. A Pattern Language for Growing Regions: Places, Networks, Processes a Collection of 80 New Patterns for a New Generation of Urban Challenges; Sustasis Press: Portland, OR, USA, 2020; pp. 56–59. [Google Scholar]
- Lee, S.; Kim, Y. A framework of biophilic urbanism for improving climate change adaptability in urban environments. Urban For. Urban Green. 2021, 61, 127104. [Google Scholar] [CrossRef]














| Subjective Indicator | Imageability | Enclosure | Human Scale | Transparency | Complexity |
|---|---|---|---|---|---|
| Precision | 55.7% | 53.5% | 55.5% | 70.5% | 75.2% |
| Error within 1 precision | 99.0% | 97% | 98.1% | 98.5% | 100% |
| Score | SVIs 1 | SVIs 2 | SVIs 3 | SVIs 4 | SVIs 5 |
|---|---|---|---|---|---|
| 5 | ![]() | ![]() | ![]() | ![]() | ![]() |
| 4 | ![]() | ![]() | ![]() | ![]() | ![]() |
| 3 | ![]() | ![]() | ![]() | ![]() | ![]() |
| 2 | ![]() | ![]() | ![]() | ![]() | ![]() |
| 1 | ![]() | ![]() | ![]() | ![]() | ![]() |
| Key Indicator | Greenery | Sky View | Vertical Element | Motorization | Pedestrian Space | Imageability | Enclosure | Human Scale | Transparency | Complexity |
|---|---|---|---|---|---|---|---|---|---|---|
| Correlation coefficient | 0.082 | 0.082 | −0.19 | 0.215 | 0.012 | 0.452 | −0.088 | 0.689 | 0.612 | 0.287 |
| Road Name | Intelligent Assessment Model Scoring | Greenery by Intelligent Assessment Model | Measures in the Government Report |
|---|---|---|---|
| Qingwan Road | 2 | 0.3395 | greenery upgrade |
| Jianshan Road | 2 | 0.0864 | greenery upgrade |
| Youyibei Road | 4 | maintenance | |
| Binshui Road | 4 | maintenance | |
| Taierzhuang Road | 4 | maintenance |
Publisher’s Note: MDPI stays neutral with regard to jurisdictional claims in published maps and institutional affiliations. |
© 2022 by the authors. Licensee MDPI, Basel, Switzerland. This article is an open access article distributed under the terms and conditions of the Creative Commons Attribution (CC BY) license (https://creativecommons.org/licenses/by/4.0/).
Share and Cite
Zhao, J.; Guo, Q. Intelligent Assessment for Visual Quality of Streets: Exploration Based on Machine Learning and Large-Scale Street View Data. Sustainability 2022, 14, 8166. https://doi.org/10.3390/su14138166
Zhao J, Guo Q. Intelligent Assessment for Visual Quality of Streets: Exploration Based on Machine Learning and Large-Scale Street View Data. Sustainability. 2022; 14(13):8166. https://doi.org/10.3390/su14138166
Chicago/Turabian StyleZhao, Jing, and Qi Guo. 2022. "Intelligent Assessment for Visual Quality of Streets: Exploration Based on Machine Learning and Large-Scale Street View Data" Sustainability 14, no. 13: 8166. https://doi.org/10.3390/su14138166
APA StyleZhao, J., & Guo, Q. (2022). Intelligent Assessment for Visual Quality of Streets: Exploration Based on Machine Learning and Large-Scale Street View Data. Sustainability, 14(13), 8166. https://doi.org/10.3390/su14138166


























