Driving Factors of Heavy Rainfall Causing Flash Floods in the Middle Reaches of the Yellow River: A Case Study in the Wuding River Basin, China
Abstract
:1. Introduction
2. Materials and Methods
2.1. Study Area
2.2. Data Sources and Processing
2.3. Methods
3. Results and Analysis
3.1. Key Rainfall Factors Affecting Flash Floods
3.2. Analysis of the Relationship between Heavy Rainfall and Flash Floods
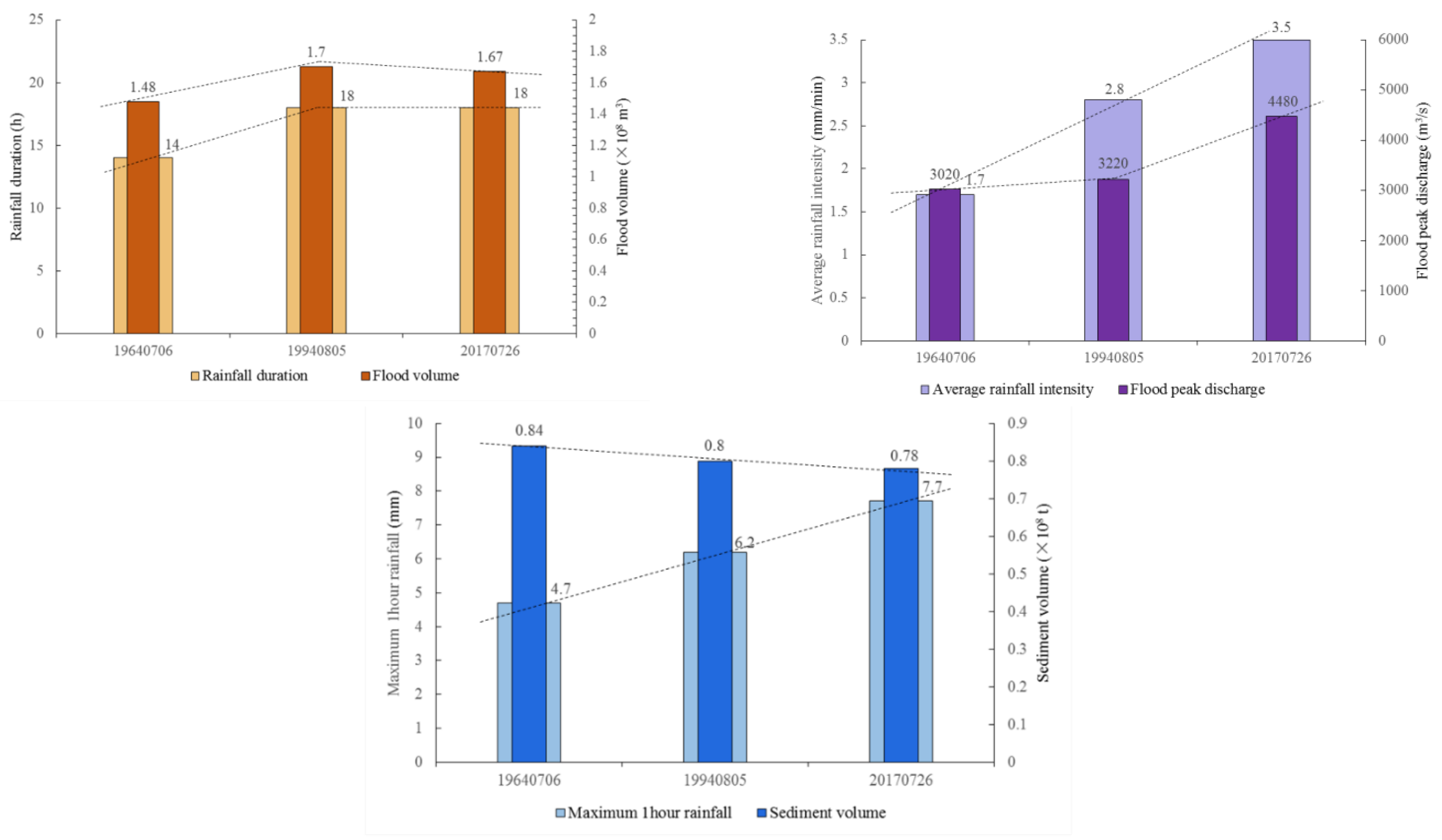
3.3. Comparison of Typical Rainfall and Flash Floods in the Wuding River Basin
4. Conclusions
Author Contributions
Funding
Data Availability Statement
Conflicts of Interest
References
- Miao, Q.; Yang, D.; Yang, H.; Li, Z. Establishing a rainfall threshold for flash flood warnings in China’s mountainous areas based on a distributed hydrological model. J. Hydrol. 2016, 541, 371–386. [Google Scholar] [CrossRef]
- Shen, Y.; Pan, Y.; Yu, J.J.; Zhao, P.; Zhou, Z.J. Quality assessment of hourly merged precipitation product over China. Trans. Atmos. Sci. 2013, 36, 37–46. (In Chinese) [Google Scholar]
- Duan, J.; Liu, Y.J.; Yang, J.; Tang, C.J.; Shi, Z.H. Role of groundcover management in controlling soil erosion under extreme rainfall in citrus orchards of southern China. J. Hydrol. 2020, 582, 124290. [Google Scholar] [CrossRef]
- Easterling, D.R.; Meehl, G.A.; Parmesan, C.; Changnon, S.A.; Karl, T.R.; Mearns, L.O. Climate extremes: Observations, modeling, and impacts. Science 2000, 289, 2068–2074. [Google Scholar] [CrossRef] [Green Version]
- Wei, W.; Chen, L.D.; Fu, B.J. Effects of rainfall change on water erosion processes in terrestrial ecosystems: A review. Prog. Phys. Geogr. 2009, 33, 307–318. [Google Scholar] [CrossRef]
- Vallebona, C.; Pellegrino, E.; Frumento, P.; Bonari, E. Temporal trends in extreme rainfall intensity and erosivity in the Mediterranean region: A case study in southern Tuscany, Italy. Clim. Chang. 2015, 128, 139–151. [Google Scholar] [CrossRef]
- Sarhadi, A.; Soulis, E.D. Time-varying extreme rainfall intensity-duration-frequency curves in a changing climate. Geophys. Res. Lett. 2017, 44, 2454–2463. [Google Scholar] [CrossRef]
- Sharma, S.; Mujumdar, P.P. On the relationship of daily rainfall extremes and local mean temperature. J. Hydrol. 2019, 572, 179–191. [Google Scholar] [CrossRef]
- Razavi, S.; Gober, P.; Maier, H.R.; Brouwer, R.; Wheater, H. Anthropocene flooding: Challenges for science and society. Hydrol. Process. 2020, 34, 1996–2000. [Google Scholar] [CrossRef] [Green Version]
- Arent, D.J.; Tol, R.S.J.; Faust, E.; Hella, J.P.; Kumar, S.; Strzepek, K.M.; T’oth, F.L.; Yan, D. Key economic sectors and services. In Climate Change 2014: Impacts, Adaptation, and Vulnerability. Part A: Global and Sectoral Aspects; Contribution of Working Group II to the Fifth Assessment Report of the Intergovernmental Panel on Climate Change; Cambridge University Press: Cambridge, UK, 2014; pp. 659–708. [Google Scholar]
- Wasko, C.; Sharma, A.; Pui, A. Linking temperature to catastrophe damages from hydrologic and meteorological extremes. J. Hydrol. 2021, 602, 126731. [Google Scholar] [CrossRef]
- Wieczorek, G.F.; Glade, T. Climatic factors influencing occurrence of debris flow. In Debris-Flow Hazards and Related Phenomena; Jakob, M., Hungr, O., Eds.; Springer: Berlin/Heidelberg, Germany, 2005; pp. 325–362. [Google Scholar]
- Li, F.; Zhang, Y.; Xu, Z.; Teng, J.; Liu, C.; Liu, W.; Mpelasoka, F. The impact of climate change on runoff in the southeastern Tibetan Plateau. J. Hydrol. 2013, 505, 188–201. [Google Scholar] [CrossRef]
- Wang, H.; Yang, Z.; Saito, Y.; Liu, J.P.; Sun, X.; Wang, Y. Stepwise decreases of the Huanghe (Yellow River) sediment load (1950–2005): Impacts of climate change and human activities. Glob. Planet. Change. 2007, 57, 331–354. [Google Scholar] [CrossRef]
- Gao, T.; Xie, L. Multivariate regression analysis and statistical modeling for summer extreme rainfall over the Yangtze River basin, China. Adv. Meteorol. 2014, 1, 269059. [Google Scholar]
- Li, P.; Xu, G.C.; Lu, K.C.; Zhang, X.M.; Shi, P.; Bai, L.L. Runoff change and sediment source during rainstorms in an ecologically constructed watershed on the loess plateau, China. Sci. Total Environ. 2019, 664, 968–974. [Google Scholar] [CrossRef]
- Yuan, M.; Zhang, Y.; Zhao, Y.; Deng, J. Effect of rainfall gradient and vegetation restoration on gully initiation under a large-scale extreme rainfall event on the hilly Loess Plateau: A case study from the Wuding River basin, China. Sci. Total Environ. 2020, 739, 140066. [Google Scholar] [CrossRef]
- Han, J.; Gao, J.; Luo, H. Changes and implications of the relationship between rainfall, runoff and sediment load in the Wuding River basin on the Chinese Loess Plateau. Catena 2019, 175, 228–235. [Google Scholar] [CrossRef]
- Wei, W.; Chen, D.; Wang, L.; Daryanto, S.; Chen, L.; Yu, Y.; Lu, Y.; Sun, G.; Feng, T. Global synthesis of the classifications, distributions, benefits and issues of terracing. Earth Sci. Rev. 2016, 159, 388–403. [Google Scholar] [CrossRef] [Green Version]
- Wang, S.; Fu, B.; Piao, S.; Lü, Y.; Ciais, P.; Feng, X.; Wang, Y. Reduced sediment transport in the Yellow River due to anthropogenic changes. Nat. Geosci. 2015, 9, 38–41. [Google Scholar] [CrossRef]
- Wang, F.; Hessel, R.; Mu, X.; Maroulis, J.; Zhao, G.; Geissen, V.; Ritsema, C. Distinguishing the impacts of human activities and climate variability on runoff and sediment load change based on paired periods with similar weather conditions: A case in the Yan River, China. J. Hydrol. 2015, 527, 884–893. [Google Scholar] [CrossRef]
- Yang, X.; Sun, W.; Li, P.; Mu, X.; Gao, P.; Zhao, G. Reduced sediment transport in the Chinese Loess Plateau due to climate change and human activities. Sci. Total Environ. 2018, 642, 591–600. [Google Scholar] [CrossRef]
- Hou, T.; Kong, F.; Chen, X.; Lei, H. Impact of 3DVAR data assimilation on the prediction of heavy rainfall over Southern China. Adv. Meteorol. 2013, 3, 129642. [Google Scholar] [CrossRef] [Green Version]
- Zhu, J.; Kong, F.; Lei, H. A regional ensemble forecast system for stratiform precipitation events in the Northern China Region. Part II: Seasonal evaluation for summer 2010. Adv. Atmos. Sci. 2013, 30, 15–28. [Google Scholar] [CrossRef]
- Wasko, C.; Nathan, R.; Stein, L.; O’Shea, D. Evidence of shorter more extreme rainfalls and increased flood variability under climate change. J. Hydrol. 2021, 603, 126994. [Google Scholar] [CrossRef]
- Liu, Y.J.; Yang, J.; Hu, J.M.; Tang, C.J.; Zheng, H.J. Characteristics of the surface–subsurface flow generation and sediment yield to the rainfall regime and landcover by long-term in-situ observation in the red soil region, Southern China. J. Hydrol. 2016, 539, 457–467. [Google Scholar] [CrossRef]
- Higley, M.C.; Conroy, J.L. The hydrological response of surface water to recent climate variability: A remote sensing case study from the central tropical Pacific. Hydrol. Processes 2019, 33, 2227–2239. [Google Scholar] [CrossRef]
- Ran, Q.; Zong, X.; Ye, S.; Gao, J.; Hong, Y. Dominant mechanism for annual maximum flood and sediment events generation in the Yellow River basin. Catena 2020, 187, 104376. [Google Scholar] [CrossRef]
- Wei, W.; Chen, L.D.; Fu, B.J.; Lü, Y.H.; Gong, J. Responses of water erosion to rainfall extremes and vegetation types in a loess semiarid hilly area, NW China. Hydrol. Processes 2009, 23, 1780–1791. [Google Scholar] [CrossRef]
- Wang, L.J.; Zhang, G.H.; Wang, X.; Li, X.Y. Hydraulics of overland flow influenced by litter incorporation under extreme rainfall. Hydrol. Processes. 2018, 33, 737–747. [Google Scholar] [CrossRef]
- Farsi, N.; Mahjouri, N. Evaluating the contribution of the climate change and human activities to runoff change under uncertainty. J. Hydrol. 2019, 574, 872–891. [Google Scholar] [CrossRef]
- Solano-Rivera, V.; Geris, J.; Granados-Bolaños, S.; Brenes-Cambronero, L.; Artavia-Rodríguez, G.; Sánchez-Murillo, R.; Birke, C. Exploring extreme rainfall impactson flow and turbidity dynamics in a steep, pristine and tropical volcanic catchment. Catena 2019, 182, 104–118. [Google Scholar] [CrossRef]
- Zhang, Y.; Zhao, Y.Y.; Liu, B.Y.; Wang, Z.Q.; Zhang, S. Rill and gully erosion on unpaved roads under heavy rainfall in agricultural watersheds on China’s Loess Plateau. Agric. Ecosyst. Environ. 2019, 284, 106580. [Google Scholar] [CrossRef]
- Jin, L.; Wang, C.; Wang, P.; Guo, T. Analysis of characteristics of the extreme precipitation in the Yellow river basin. J. Water Resourc. Water Eng. 2016, 6, 44–48. (In Chinese) [Google Scholar]
- Mustafa, A.; Szydłowski, M. The impact of spatiotemporal changes in land development (1984–2019) on the increase in the runoff coefficient in Erbil, Kurdistan Region of Iraq. Remote Sens. 2020, 12, 1302. [Google Scholar] [CrossRef] [Green Version]
- Fofana, M.; Adounkpe, J.; Larbi, I.; Hounkpe, J.; Djan’na Koubodana, H.; Toure, A.; Bokar, H.; Dotse, S.-Q.; Limantol, A.M. Urban flash flood and extreme rainfall events trend analysis in Bamako, Mali. Environ. Chall. 2022, 6, 100449. [Google Scholar] [CrossRef]
- Borga, M.; Boscolo, P.; Zanon, F.; Sangati, M. Hydrometeorological analysis of the 29 August 2003 flash flood in the Eastern Italian Alps. J. Hydrometeorol. 2007, 8, 1049–1067. [Google Scholar] [CrossRef]
- Liu, Y.; Fu, B.J.; Lv, Y.; Wang, Z.; Gao, G. Hydrological responses and soil erosion potential of abandoned cropland in the Loess Plateau, China. Geomorphology 2012, 138, 404–414. [Google Scholar] [CrossRef]
- Zhao, Y.; Cao, W.; Hu, C.; Wang, Y.; Wang, Z.; Zhang, X.; Zhu, B.; Cheng, C.; Yin, X.; Liu, B.; et al. Analysis of changes in characteristics of flood and sediment yield in typical basins of the Yellow River under extreme rainfall events. Catena 2019, 177, 31–40. [Google Scholar] [CrossRef]
- Xu, Z.; Zhang, S.; Yang, X. Water and sediment yield response to extreme rainfall events in a complex large river basin: A case study of the Yellow River Basin, China. J. Hydrol. 2021, 597, 126183. [Google Scholar] [CrossRef]
- Abolverdi, J.; Ferdosifar, G.; Khalili, D.; Kamgar-Haghighi, A.A. Spatial and temporal changes of precipitation concentration in Fars province, southwestern Iran. Meteorol. Atmos. Phys. 2016, 128, 181–196. [Google Scholar] [CrossRef]
- Wei, W.; Chen, L.; Fu, B.; Huang, Z.; Wu, D.; Gui, L. The effect of land uses and rainfall regimes on runoff and soil erosion in the semi-arid loess hilly area, China. J. Hydrol. 2007, 335, 247–258. [Google Scholar] [CrossRef]




| Flood Factors | Rainfall Characteristic Factors | ||||||
|---|---|---|---|---|---|---|---|
| Rainfall Duration | Amount of Rainfall | Average Rainfall Intensity | Maximum 1 h Rainfall | Maximum 6 h Rainfall | Maximum 12 h Rainfall | 50 mm Covered Area | |
| (h) | (mm) | (mm/min) | (mm/min) | (mm) | (mm) | (km2) | |
| Peak flood discharge | 0.107 | 0.294 | 0.518 | 0.042 | 0.218 | 0.098 | 0.248 |
| Flood volume | 0.389 | 0.037 | 0.032 | 0.204 | 0.175 | 0.155 | 0.232 |
| Sediment volume | 0.212 | 0.002 | 0.063 | 0.474 | 0.024 | 0.014 | 0.062 |
Publisher’s Note: MDPI stays neutral with regard to jurisdictional claims in published maps and institutional affiliations. |
© 2022 by the authors. Licensee MDPI, Basel, Switzerland. This article is an open access article distributed under the terms and conditions of the Creative Commons Attribution (CC BY) license (https://creativecommons.org/licenses/by/4.0/).
Share and Cite
Zhang, P.; Sun, W.; Xiao, P.; Yao, W.; Liu, G. Driving Factors of Heavy Rainfall Causing Flash Floods in the Middle Reaches of the Yellow River: A Case Study in the Wuding River Basin, China. Sustainability 2022, 14, 8004. https://doi.org/10.3390/su14138004
Zhang P, Sun W, Xiao P, Yao W, Liu G. Driving Factors of Heavy Rainfall Causing Flash Floods in the Middle Reaches of the Yellow River: A Case Study in the Wuding River Basin, China. Sustainability. 2022; 14(13):8004. https://doi.org/10.3390/su14138004
Chicago/Turabian StyleZhang, Pan, Weiying Sun, Peiqing Xiao, Wenyi Yao, and Guobin Liu. 2022. "Driving Factors of Heavy Rainfall Causing Flash Floods in the Middle Reaches of the Yellow River: A Case Study in the Wuding River Basin, China" Sustainability 14, no. 13: 8004. https://doi.org/10.3390/su14138004
APA StyleZhang, P., Sun, W., Xiao, P., Yao, W., & Liu, G. (2022). Driving Factors of Heavy Rainfall Causing Flash Floods in the Middle Reaches of the Yellow River: A Case Study in the Wuding River Basin, China. Sustainability, 14(13), 8004. https://doi.org/10.3390/su14138004
