Pistol Shooting Performance Correlates with Respiratory Muscle Strength and Pulmonary Function in Police Cadets
Abstract
1. Introduction
2. Materials and Methods
2.1. Participants
2.2. Anthropometric Measurements
2.3. Respiratory Muscle Strength
2.4. Pulmonary Function Test
2.5. Shooting Task
2.6. Statistical Analysis
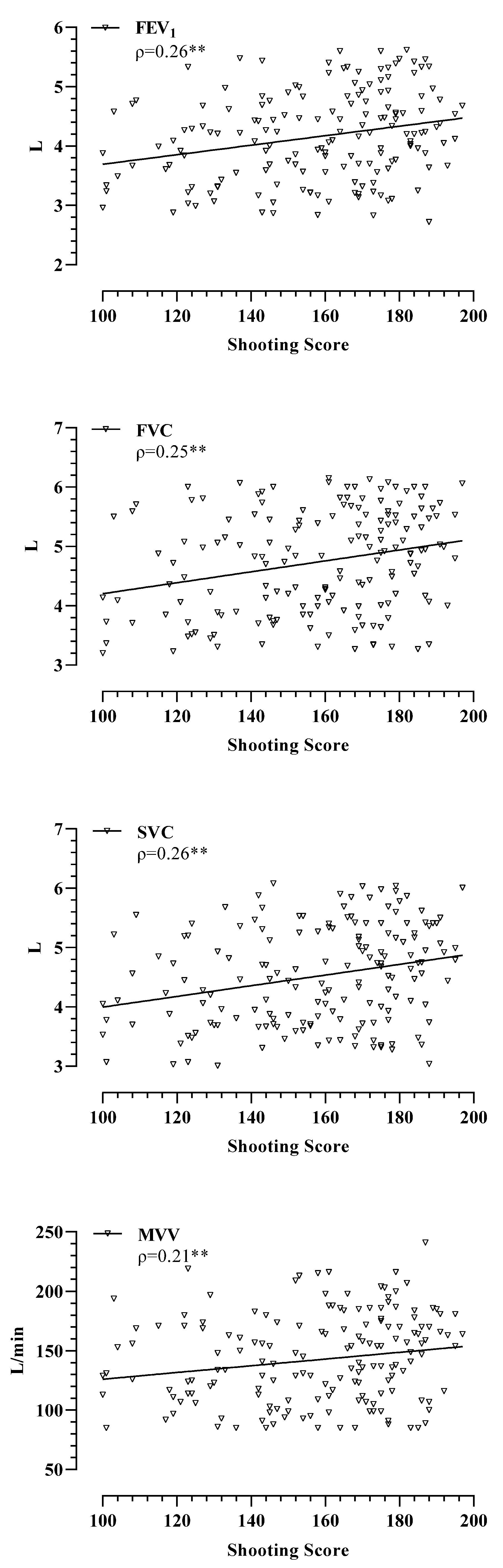
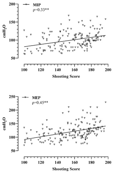
3. Results
4. Discussion
5. Conclusions
Author Contributions
Funding
Institutional Review Board Statement
Informed Consent Statement
Data Availability Statement
Acknowledgments
Conflicts of Interest
References
- Evans, R.; Farmer, C. Do Police Need Guns?: Policing and Firearms: Past, Present and Future; Springer Nature: Singapore, 2020; pp. 1–3. [Google Scholar] [CrossRef]
- Nieuwenhuys, A.; Savelsbergh, G.J.; Oudejans, R.R. Persistence of threat-induced errors in police officers’ shooting decisions. Appl. Ergon. 2015, 48, 263–272. [Google Scholar] [CrossRef] [PubMed]
- Nieuwenhuys, A.; Savelsbergh, G.J.; Oudejans, R.R. Shoot or don’t shoot? Why police officers are more inclined to shoot when they are anxious. Emotion 2012, 12, 827. [Google Scholar] [CrossRef] [PubMed]
- Arble, E.; Arnetz, B.B. A model of first-responder coping: An approach/avoidance bifurcation. Stress Health 2017, 33, 223–232. [Google Scholar] [CrossRef]
- Baldwin, S.; Bennell, C.; Andersen, J.P.; Semple, T.; Jenkins, B. Stress-activity mapping: Physiological responses during general duty police encounters. Front. Psychol. 2019, 10, 2216. [Google Scholar] [CrossRef]
- Arble, E.; Daugherty, A.M.; Arnetz, B. Differential effects of physiological arousal following acute stress on police officer performance in a simulated critical incident. Front. Psychol. 2019, 10, 759. [Google Scholar] [CrossRef] [PubMed]
- Giessing, L.; Frenkel, M.O.; Zinner, C.; Rummel, J.; Nieuwenhuys, A.; Kasperk, C.; Plessner, H. Effects of coping-related traits and psychophysiological stress responses on police recruits’ shooting behavior in reality-based scenarios. Front. Psychol. 2019, 10, 1523. [Google Scholar] [CrossRef]
- Gershon, R.R.; Barocas, B.; Canton, A.N.; Li, X.; Vlahov, D. Mental, physical, and behavioral outcomes associated with perceived work stress in police officers. Crim. Justice Behav. 2009, 36, 275–289. [Google Scholar] [CrossRef]
- Anderson, G.S.; Litzenberger, R.; Plecas, D. Physical evidence of police officer stress. Policing 2002, 25, 399–420. [Google Scholar] [CrossRef]
- Baldwin, S.; Hall, C.; Blaskovits, B.; Bennell, C.; Lawrence, C.; Semple, T. Excited delirium syndrome (ExDS): Situational factors and risks to officer safety in non-fatal use of force encounters. Int. J. Law Psychiatry 2018, 60, 26–34. [Google Scholar] [CrossRef]
- Sá, M.; Santos, T.; Afonso, J.; Gouveia, É.R.; Marques, A. Physical fitness and anthropometrical profile for the recruits of the elite close protection unit of the Portuguese public security police. Police Pract. Res. 2022, 23, 308–321. [Google Scholar] [CrossRef]
- Yapıcı, A.; Bacak, Ç.; Çelik, E. Relationship between shooting performance and motoric characteristics, respiratory function test parameters of the competing shooters in the youth category. EJPESS 2018, 4, 113–124. [Google Scholar] [CrossRef]
- Oudejans, R.R.D. Reality-based practice under pressure improves handgun shooting performance of police officers. Ergonomics 2008, 51, 261–273. [Google Scholar] [CrossRef]
- Nieuwenhuys, A.; Oudejans, R.R. Effects of anxiety on handgun shooting behavior of police officers: A pilot study. Anxiety Stress Coping 2010, 23, 225–233. [Google Scholar] [CrossRef]
- Nieuwenhuys, A.; Oudejans, R.R.D. Training with anxiety: Short-and long-term effects on police officers’ shooting behavior under pressure. Cogn. Process 2011, 12, 277–288. [Google Scholar] [CrossRef] [PubMed]
- Nieuwenhuys, A.; Cañal-Bruland, R.; Oudejans, R.R. Effects of threat on police officers’ shooting behavior: Anxiety, action specificity, and affective influences on perception. Appl. Cogn. Psychol. 2012, 26, 608–615. [Google Scholar] [CrossRef]
- Thompson, A.G.; Swain, D.P.; Branch, J.D.; Spina, R.J.; Grieco, C.R. Autonomic response to tactical pistol performance measured by heart rate variability. J. Strength Cond. Res. 2015, 29, 926–933. [Google Scholar] [CrossRef] [PubMed]
- Nibbeling, N.; Oudejans, R.R.; Ubink, E.M.; Daanen, H.A. The effects of anxiety and exercise-induced fatigue on shooting accuracy and cognitive performance in infantry soldiers. Ergonomics 2014, 57, 1366–1379. [Google Scholar] [CrossRef] [PubMed]
- Pelin, B.I.; Bondoc-Ionescu, D. Shooting Range Improvement by Monitoring the Discriminating Factors of the Junior Biathletes. Bull. Transilv. Univ. Braşov. Ser. IX Sci. Hum. Kinet. 2020, 13, 61–68. [Google Scholar] [CrossRef]
- Landman, A.; Nieuwenhuys, A.; Oudejans, R.R. Decision-related action orientation predicts police officers’ shooting performance under pressure. Anxiety Stress Coping 2016, 29, 570–579. [Google Scholar] [CrossRef] [PubMed]
- Tornero-Aguilera, J.F.; Gil-Cabrera, J.; Fernandez-Lucas, J.; Clemente-Suárez, V.J. The effect of experience on the psychophysiological response and shooting performance under acute physical stress of soldiers. Physiol. Behav. 2021, 238, 113489. [Google Scholar] [CrossRef]
- Bertilsson, J.; Niehorster, D.C.; Fredriksson, P.J.; Dahl, M.; Granér, S.; Fredriksson, O.; Nyström, M. Stress levels escalate when repeatedly performing tasks involving threats. Front. Psychol. 2019, 10, 1562. [Google Scholar] [CrossRef]
- Yao, Z.; Yuan, Y.; Buchanan, T.W.; Zhang, K.; Zhang, L.; Wu, J. Greater heart rate responses to acute stress are associated with better post-error adjustment in special police cadets. PLoS ONE 2016, 11, e0159322. [Google Scholar] [CrossRef]
- Anderson, G.S.; Di Nota, P.M.; Metz, G.A.S.; Andersen, J.P. The impact of acute stress physiology on skilled motor performance: Implications for policing. Front. Psychol. 2019, 10, 2501. [Google Scholar] [CrossRef]
- Röttger, S.; Theobald, D.A.; Abendroth, J.; Jacobsen, T. The effectiveness of combat tactical breathing as compared with prolonged exhalation. Appl. Psychophysiol. Biofeedback 2020, 46, 19–28. [Google Scholar] [CrossRef]
- Hope, L. Evaluating the effects of stress and fatigue on police officer response and recall: A challenge for research, training, practice and policy. J. Appl. Res. Mem. Cogn. 2016, 5, 239–245. [Google Scholar] [CrossRef]
- Vickers, J.N.; Williams, A.M. Performing under pressure: The effects of physiological arousal, cognitive anxiety, and gaze control in biathlon. J. Mot. Behav. 2007, 39, 381–394. [Google Scholar] [CrossRef]
- Klinger, D. Police responses to officer-involved shootings. Nat. Inst. Justice 2006, 253, 21–24. [Google Scholar]
- Nieuwenhuys, A.; Caljouw, S.R.; Leijsen, M.R.; Schmeits, B.A.; Oudejans, R.R. Quantifying police officers’ arrest and self-defence skills: Does performance decrease under pressure? Ergonomics 2009, 52, 1460–1468. [Google Scholar] [CrossRef]
- Andersen, J.P.; Gustafsberg, H. A training method to improve police use of force decision making: A randomized controlled trial. Sage Open 2016, 6, 1–13. [Google Scholar] [CrossRef]
- Baldwin, S.; Bennell, C.; Blaskovits, B.; Brown, A.; Jenkins, B.; Lawrence, C.; Andersen, J.P. A Reasonable Officer: Examining the Relationships Among Stress, Training, and Performance in a Highly Realistic Lethal Force Scenario. Front. Psychol. 2021, 12, 759132. [Google Scholar] [CrossRef]
- Di Nota, P.M.; Stoliker, B.E.; Vaughan, A.D.; Andersen, J.P.; Anderson, G.S. Stress and memory: A systematic state-of-the-art review with evidence-gathering recommendations for police. Policing 2020, 44, 1–17. [Google Scholar] [CrossRef]
- Metz, G.A.; Jadavji, N.M.; Smith, L.K. Modulation of motor function by stress: A novel concept of the effects of stress and corticosterone on behavior. Eur. J. Neurosci. 2005, 22, 1190–1200. [Google Scholar] [CrossRef]
- Coco, M.; Fiore, A.S.; Perciavalle, V.; Maci, T.; Petralia, M.C.; Perciavalle, V. Stress exposure and postural control in young females. Mol. Med. Rep. 2015, 11, 2135–2140. [Google Scholar] [CrossRef]
- Coco, M.; Buscemi, A.; Pennisi, E.; Cavallari, P.; Papotto, G.; Papotto, G.M.F.; Perciavalle, V. Postural control and stress exposure in young men: Changes in cortisol awakening response and blood lactate. Int. J. Environ. Res. Public Health 2020, 17, 7222. [Google Scholar] [CrossRef]
- Ohno, H.; Wada, M.; Saitoh, J.; Sunaga, N.; Nagai, M. The effect of anxiety on postural control in humans depends on visual information processing. Neurosci. Lett. 2004, 364, 37–39. [Google Scholar] [CrossRef]
- Zaback, M.; Adkin, A.L.; Carpenter, M.G. Adaptation of emotional state and standing balance parameters following repeated exposure to height-induced postural threat. Sci. Rep. 2019, 9, 12449. [Google Scholar] [CrossRef]
- Balaban, C.D.; Thayer, J.F. Neurological bases for balance–anxiety links. J. Anxiety Disord. 2021, 15, 53–79. [Google Scholar] [CrossRef]
- Guillot, A.; Collet, C.; Molinaro, C.; Dittmar, A. Expertise and peripheral autonomic activity during the preparation phase in shooting events. Percept. Mot. Ski. 2004, 98, 371–381. [Google Scholar] [CrossRef]
- Guillot, A.; Coller, C.; Dittmar, A.; Delhomme, G.; Delemer, C.; Vernet-Maury, E. Psychophysiological study of the concentration period in shooting. J. Hum. Mov. Stud. 2005, 48, 417–435. [Google Scholar]
- Laaksonen, M.S.; Finkenzeller, T.; Holmberg, H.C.; Sattlecker, G. The influence of physiobiomechanical parameters, technical aspects of shooting, and psychophysiological factors on biathlon performance: A review. J. Sport Health Sci. 2018, 7, 394–404. [Google Scholar] [CrossRef]
- Tang, W.T.; Zhang, W.Y.; Huang, C.C.; Young, M.S.; Hwang, I.S. Postural tremor and control of the upper limb in air pistol shooters. J. Sports Sci. 2008, 26, 1579–1587. [Google Scholar] [CrossRef]
- Dadswell, C.E.; Payton, C.; Holmes, P.; Burden, A. Biomechanical analysis of the change in pistol shooting format in modern pentathlon. J. Sports Sci. 2019, 31, 1294–1301. [Google Scholar] [CrossRef]
- Vickers, J.N.; Lewinski, W. Performing under pressure: Gaze control, decision making and shooting performance of elite and rookie police officers. Hum. Mov. Sci. 2012, 31, 101–117. [Google Scholar] [CrossRef]
- Diamond, A. Executive functions. Annu. Rev. Psychol. 2013, 64, 135–168. [Google Scholar] [CrossRef]
- Bertollo, M.; Robazza, C.; Falasca, W.N.; Stocchi, M.; Babiloni, C.; Del Percio, C.; Comani, S. Temporal pattern of pre-shooting psycho-physiological states in elite athletes: A probabilistic approach. Psychol. Sport Exerc. 2012, 13, 91–98. [Google Scholar] [CrossRef]
- Ulrich-Lai, Y.M.; Herman, J.P. Neural regulation of endocrine and autonomic stress responses. Nat. Rev. Neurosci. 2009, 10, 397–409. [Google Scholar] [CrossRef]
- Burton, D.A.; Stokes, K.; Hall, G.M. Physiological effects of exercise. Continuing Educ. Anaesth. Critic. Care Pain 2004, 4, 185–188. [Google Scholar] [CrossRef]
- Brisinda, D.; Venuti, A.; Cataldi, C.; Efremov, K.; Intorno, E.; Fenici, R. Real-time imaging of stress-induced cardiac autonomic adaptation during realistic force-on-force police scenarios. J. Police Crim. Psychol. 2015, 30, 71–86. [Google Scholar] [CrossRef]
- Ortega, E.; Wang, C.J.K. Pre-performance physiological state: Heart rate variability as a predictor of shooting performance. Appl. Psychophysiol. Biofeedback 2018, 43, 75–85. [Google Scholar] [CrossRef]
- Lakie, M. The influence of muscle tremor on shooting performance. Exp. Physiol. 2010, 95, 441–450. [Google Scholar] [CrossRef]
- Zemková, E.; Hamar, D. Physiological mechanisms of post-exercise balance impairment. Sports Med. 2014, 44, 437–448. [Google Scholar] [CrossRef]
- Ball, K.A.; Best, R.J.; Wrigley, T.V. Inter-and intra-individual analysis in elite sport: Pistol shooting. J. Appl. Biomech. 2003, 19, 28–38. [Google Scholar] [CrossRef]
- Ball, K.; Best, R.; Wrigley, T. Body sway, aim point fluctuation and performance in rifle shooters: Inter-and intra-individual analysis. J. Sports Sci. 2003, 21, 559–566. [Google Scholar] [CrossRef]
- Mononen, K.; Konttinen, N.; Viitasalo, J.; Era, P. Relationships between postural balance, rifle stability and shooting accuracy among novice rifle shooters. Scand. J. Med. Sci. Sports 2007, 17, 180–185. [Google Scholar] [CrossRef]
- Andersen, J.P.; Pitel, M.; Weerasinghe, A.; Papazoglou, K. Highly realistic scenario based training simulates the psychophysiology of real world use of force encounters: Implications for improved police officer performance. J. Law Enforc. 2016, 5, 1–13. [Google Scholar]
- Liu, Y.; Mao, L.; Zhao, Y.; Huang, Y. Impact of a simulated stress training program on the tactical shooting performance of SWAT trainees. Res. Q. Exerc. Sport 2018, 89, 482–489. [Google Scholar] [CrossRef]
- Johnson, B.R. Crucial Elements of Police Firearms Training; Looseleaf Law Publications: New York, NY, USA, 2007; pp. 121–132. [Google Scholar]
- Muñoz, J.E.; Quintero, L.; Stephens, C.L.; Pope, A.T. A psychophysiological model of firearms training in police officers: A virtual reality experiment for biocybernetic adaptation. Front. Psychol. 2020, 11, 683. [Google Scholar] [CrossRef]
- Grossman, D.; Christensen, L.W. On Combat: The Psychology and Physiology of Deadly Conflict in War and in Peace; PPCT Research Publications: Belleville, IL, USA, 2007. [Google Scholar]
- Annex, G.; Center, E.O. Standard Operating Procedures; Revere’s Riders: Las Vegas, NV, USA, 2017; pp. 17–18. [Google Scholar]
- Corps, U.M. Pistol Marksmanship. In Chapter 3 Fundamentals of Pistol Marksmanship; Marine Corps Logistics Base: Albany, GA, USA, 2003; pp. 1–3. [Google Scholar]
- Nomura, T.; Oshikawa, S.; Suzuki, Y.; Kiyono, K.; Morasso, P. Modeling human postural sway using an intermittent control and hemodynamic perturbations. Math. Biosci. 2013, 245, 86–95. [Google Scholar] [CrossRef]
- Schmid, M.; Conforto, S.; Bibbo, D.; D’Alessio, T. Respiration and postural sway: Detection of phase synchronizations and interactions. Hum. Mov. Sci. 2004, 23, 105–119. [Google Scholar] [CrossRef] [PubMed]
- Conforto, S.; Schmid, M.; Camomilla, V.; D’Alessio, T.; Cappozzo, A. Hemodynamics as a possible internal mechanical disturbance to balance. Gait Posture 2001, 14, 28–35. [Google Scholar] [CrossRef]
- Caron, O.; Fontanari, P.; Cremieux, J.; Joulia, F. Effects of ventilation on body sway during human standing. Neurosci. Lett. 2004, 366, 6–9. [Google Scholar] [CrossRef]
- Hamaoui, A.; Hudson, A.L.; Laviolette, L.; Nierat, M.C.; Do, M.C.; Similowski, T. Postural disturbances resulting from unilateral and bilateral diaphragm contractions: A phrenic nerve stimulation study. J. Appl. Physiol. 2014, 117, 825–832. [Google Scholar] [CrossRef]
- Kocjan, J.; Gzik-Zroska, B.; Nowakowska, K.; Burkacki, M.; Suchoń, S.; Michnik, R.; Adamek, M. Impact of diaphragm function parameters on balance maintenance. PLoS ONE 2018, 13, e0208697. [Google Scholar] [CrossRef]
- Frazer, W.D. American Pistol Shooting: A Manual of Instruction in Modern Pistol Markmanship; EP Dutton & Company, Incorporated: New York, NY, USA, 1929. [Google Scholar]
- Frazer, W.D. American Pistol Shooting; Skyhorse Publishing: New York, NY, USA, 2015; pp. 66–68. [Google Scholar]
- Lawrence, E.; Pannone, M. Tactical Pistol Shooting, 2nd ed.; Gun Digest Books: Iola, WI, USA, 2009. [Google Scholar]
- Royal Canadian Mounted Police. Canadian Firearms Safety Course Modules: Student Handbook, 5th ed.; Ottawa Firearms Safety Education&Training: Ottawa, ON, Canada, 2014. [Google Scholar]
- Kolar, P.; Sulc, J.; Kyncl, M.; Sanda, J.; Neuwirth, J.; Bokarius, A.V.; Kobesova, A. Stabilizing function of the diaphragm: Dynamic MRI and synchronized spirometric assessment. J. Appl. Physiol. 2010, 109, 1064–1071. [Google Scholar] [CrossRef]
- Zeren, M.; Cakir, E.; Gurses, H.N. Effects of inspiratory muscle training on postural stability, pulmonary function and functional capacity in children with cystic fibrosis: A randomised controlled trial. Respir. Med. 2019, 148, 24–30. [Google Scholar] [CrossRef]
- American Thoracic Society. ATS/ERS statement on respiratory muscle testing. Am. J. Respir. Crit. Care Med. 2002, 166, 518–624. [Google Scholar] [CrossRef]
- McConnell, A. Lung and respiratory muscle function. In Sport and Exercise Physiology Testing Guidelines, 1st ed.; Winter, E.M., Jones, A.M., Davison, R.C.R., Bromley, P.D., Mercer, T.H., Eds.; British Association of Sport and Exercise Sciences Guide; Routledge: Oxford, UK, 2007; pp. 63–75. [Google Scholar]
- Graham, B.L.; Steenbruggen, I.; Miller, M.R.; Barjaktarevic, I.Z.; Cooper, B.G.; Hall, G.L.; Thompson, B.R. Standardization of spirometry 2019 update. An official American thoracic society and European respiratory society technical statement. Am. J. Respir. Crit. Care Med. 2019, 200, e70–e88. [Google Scholar] [CrossRef]
- Hawkins, R.N.; Sefton, J.M. Effects of stance width on performance and postural stability in national-standard pistol shooters. J. Sports Sci. 2011, 29, 1381–1387. [Google Scholar] [CrossRef]
- International Shooting Sport Federation. ISSF Pistol Rules. ISSF. 2020. Available online: https://www.issf-sports.org/theissf/rules_and_regulations/ristol_rules.ashx (accessed on 10 April 2022).
- Shinkai, S.; Watanabe, S.; Kumagai, S.; Fujiwara, Y.; Amano, H.; Yoshida, H.; Shibata, H. Walking speed as a good predictor for the onset of functional dependence in a Japanese rural community population. Age Ageing 2000, 29, 441–446. [Google Scholar] [CrossRef]
- Cohen, J. Statistical Power Analysis for the Behavioral Sciences; Routledge: London, UK, 2013. [Google Scholar]
- Paillard, T. Effects of general and local fatigue on postural control: A review. Neurosci. Biobehav. Rev. 2012, 36, 162–176. [Google Scholar] [CrossRef]
- Pendergrass, T.L.; Moore, J.H.; Gerber, J.P. Postural control after a 2-mile run. Mil. Med. 2003, 168, 896–903. [Google Scholar] [CrossRef] [PubMed][Green Version]
- Chrousos, G.P. Stress and disorders of the stress system. Nat. Rev. Endocrinol. 2009, 5, 374–381. [Google Scholar] [CrossRef] [PubMed]
- Joëls, M.; Baram, T.Z. The neuro-symphony of stress. Nat. Rev. Neurosci. 2009, 10, 459–466. [Google Scholar] [CrossRef] [PubMed]
- Park, J.W.; Kweon, M.; Hong, S. The influences of position and forced respiratory maneuvers on spinal stability muscles. J. Phys. Ther. Sci. 2015, 27, 491–493. [Google Scholar] [CrossRef]
- Kocjan, J.; Adamek, M.; Gzik-Zroska, B.; Czyżewski, D.; Rydel, M. Network of breathing. Multifunctional role of the diaphragm: A review. Adv. Respir. Med. 2017, 85, 224–232. [Google Scholar] [CrossRef]
- Hodges, P.W.; Eriksson, A.M.; Shirley, D.; Gandevia, S.C. Intra-abdominal pressure increases stiffness of the lumbar spine. J. Biomech. 2005, 38, 1873–1880. [Google Scholar] [CrossRef]
- Borujeni, B.G.; Yalfani, A. Reduction of postural sway in athletes with chronic low back pain through eight weeks of inspiratory muscle training: A randomized controlled trial. Clin. Biomech. 2019, 69, 215–220. [Google Scholar] [CrossRef]
- Janssens, L.; Brumagne, S.; McConnell, A.K.; Claeys, K.; Pijnenburg, M.; Burtin, C.; Troosters, T. Proprioceptive changes impair balance control in individuals with chronic obstructive pulmonary disease. PLoS ONE 2013, 8, e57949. [Google Scholar] [CrossRef]
- Yakut, H.; Özalevli, S.; Birlik, A.M. Postural balance and fall risk in patients with systemic sclerosis: A cross-sectional study. Arch. Rheumatol. 2021, 36, 167. [Google Scholar] [CrossRef]
- Chuatrakoon, B.; Ngai, S.P.; Sungkarat, S.; Uthaikhup, S. Balance impairment and effectiveness of exercise intervention in chronic obstructive pulmonary disease—A systematic review. Arch. Phys. Med. Rehabil. 2020, 101, 1590–1602. [Google Scholar] [CrossRef]
- Mkacher, W.; Tabka, Z.; Trabelsi, Y. Relationship between postural balance, lung function, nutritional status and functional capacity in patients with chronic obstructive pulmonary disease. Sci. Sports 2016, 31, 88–94. [Google Scholar] [CrossRef]
- Porto, E.F.; Castro, A.A.M.; Schmidt, V.G.S.; Rabelo, H.M.; Kümpel, C.; Nascimento, O.A.; Jardim, J.R. Postural control in chronic obstructive pulmonary disease: A systematic review. Int. J. Chron. Obstruct. Pulmon. Dis. 2015, 10, 1233–1239. [Google Scholar] [CrossRef]
- Park, H.K.; Kim, D.W.; Kim, T.H. Improvements of shooting performance in adolescent air rifle athletes after 6-week balance and respiration training programs. J. Sport Rehabil. 2019, 28, 552–557. [Google Scholar] [CrossRef]
- Hamaoui, A.; Gonneau, E.; Le Bozec, S. Respiratory disturbance to posture varies according to the respiratory mode. Neurosci. Lett. 2010, 475, 141–144. [Google Scholar] [CrossRef]
- Malakhov, M.; Makarenkova, E.; Melnikov, A. The influence of different modes of ventilation on standing balance of athletes. Asian J. Sports Med. 2014, 5, e22767. [Google Scholar] [CrossRef]
- Bostanci, Ö.; Kabadayi, M.; Mayda, M.H.; Yilmaz, A.K.; Yilmaz, C. The relationship between shooting performance and respiratory muscle strength in archers aged 9–12. Balt. J. Health Phys. Act. 2021, 13, 31–36. [Google Scholar] [CrossRef]
- Eswaramoorthi, V.; Abdullah, M.R.; Musa, R.M.; Maliki, A.B.; Kosni, N.A.; Raj, N.B.; Juahir, H. A multivariate analysis of cardiopulmonary parameters in archery performance. Hum. Mov. 2018, 19, 35–41. [Google Scholar] [CrossRef]



| Low Score (45) | Moderate Score (77) | High Score (45) | ||||
|---|---|---|---|---|---|---|
| Male (24) | Female (21) | Male (48) | Female (29) | Male (35) | Female (10) | |
| Age, yr | 20 (19–21) | 19 (19–20) | 20 (19–21) | 19 (19–21) | 20 (19–21) | 20 (19–21) |
| Weight, kg | 72 (67–77) | 61 (55–67) | 70 (66–76) | 65 (60–70) | 71 (65–76) | 63 (58–68) |
| Height, cm | 175 (170–180) | 163 (162–165) | 174 (170–180) | 165 (164–168) | 176 (171–179) | 166 (164–171) |
| BMI, kg/m2 | 24 (22–25) | 23 (20–25) | 23 (22–25) | 24 (21–26) | 23 (22–25) | 23 (21–24) |
| Shooting score * | 130 (122–140) | 121 (106–131) | 166 (157–171) | 160 (148–169) | 184 (179–189) | 184 (177–187) |
| Male (107) | Female (60) | |||
|---|---|---|---|---|
| Shooting Score | ||||
| ρ | p-Values | ρ | p-Values | |
| MIP (cmH2O) | 0.455 | <0.001 | 0.213 | 0.028 |
| MEP (cmH2O) | 0.473 | <0.001 | 0.321 | 0.001 |
| FEV1 (L) | 0.092 | 0.484 | 0.062 | 0.527 |
| FVC (L) | 0.027 | 0.841 | 0.103 | 0.291 |
| FEV1/FVC (%) | −0.168 | 0.199 | 0.055 | 0.577 |
| SVC (L) | 0.000 | 0.998 | 0.153 | 0.115 |
| MVV (L/min) | −0.202 | 0.122 | 0.108 | 0.268 |
Publisher’s Note: MDPI stays neutral with regard to jurisdictional claims in published maps and institutional affiliations. |
© 2022 by the authors. Licensee MDPI, Basel, Switzerland. This article is an open access article distributed under the terms and conditions of the Creative Commons Attribution (CC BY) license (https://creativecommons.org/licenses/by/4.0/).
Share and Cite
Karaduman, E.; Bostancı, Ö.; Karakaş, F.; Kabadayı, M.; Yılmaz, A.K.; Akyildiz, Z.; Badicu, G.; Cataldi, S.; Fischetti, F. Pistol Shooting Performance Correlates with Respiratory Muscle Strength and Pulmonary Function in Police Cadets. Sustainability 2022, 14, 7515. https://doi.org/10.3390/su14127515
Karaduman E, Bostancı Ö, Karakaş F, Kabadayı M, Yılmaz AK, Akyildiz Z, Badicu G, Cataldi S, Fischetti F. Pistol Shooting Performance Correlates with Respiratory Muscle Strength and Pulmonary Function in Police Cadets. Sustainability. 2022; 14(12):7515. https://doi.org/10.3390/su14127515
Chicago/Turabian StyleKaraduman, Emre, Özgür Bostancı, Fatih Karakaş, Menderes Kabadayı, Ali Kerim Yılmaz, Zeki Akyildiz, Georgian Badicu, Stefania Cataldi, and Francesco Fischetti. 2022. "Pistol Shooting Performance Correlates with Respiratory Muscle Strength and Pulmonary Function in Police Cadets" Sustainability 14, no. 12: 7515. https://doi.org/10.3390/su14127515
APA StyleKaraduman, E., Bostancı, Ö., Karakaş, F., Kabadayı, M., Yılmaz, A. K., Akyildiz, Z., Badicu, G., Cataldi, S., & Fischetti, F. (2022). Pistol Shooting Performance Correlates with Respiratory Muscle Strength and Pulmonary Function in Police Cadets. Sustainability, 14(12), 7515. https://doi.org/10.3390/su14127515

