Characteristics of Urban Parks in Chengdu and Their Relation to Public Behaviour and Preferences
Abstract
:1. Introduction
2. Materials and Methods
2.1. Study Area
2.2. Investigation and Analysis of Park Ecosystem Characteristics
2.3. Participatory Questionnaire Survey and Analysis
2.4. Data Analysis
3. Results
3.1. Differences in the Characteristics of Urban Park Ecosystems
3.2. Analysis of Public Behaviour and Preferences
3.2.1. Public Demographic Information
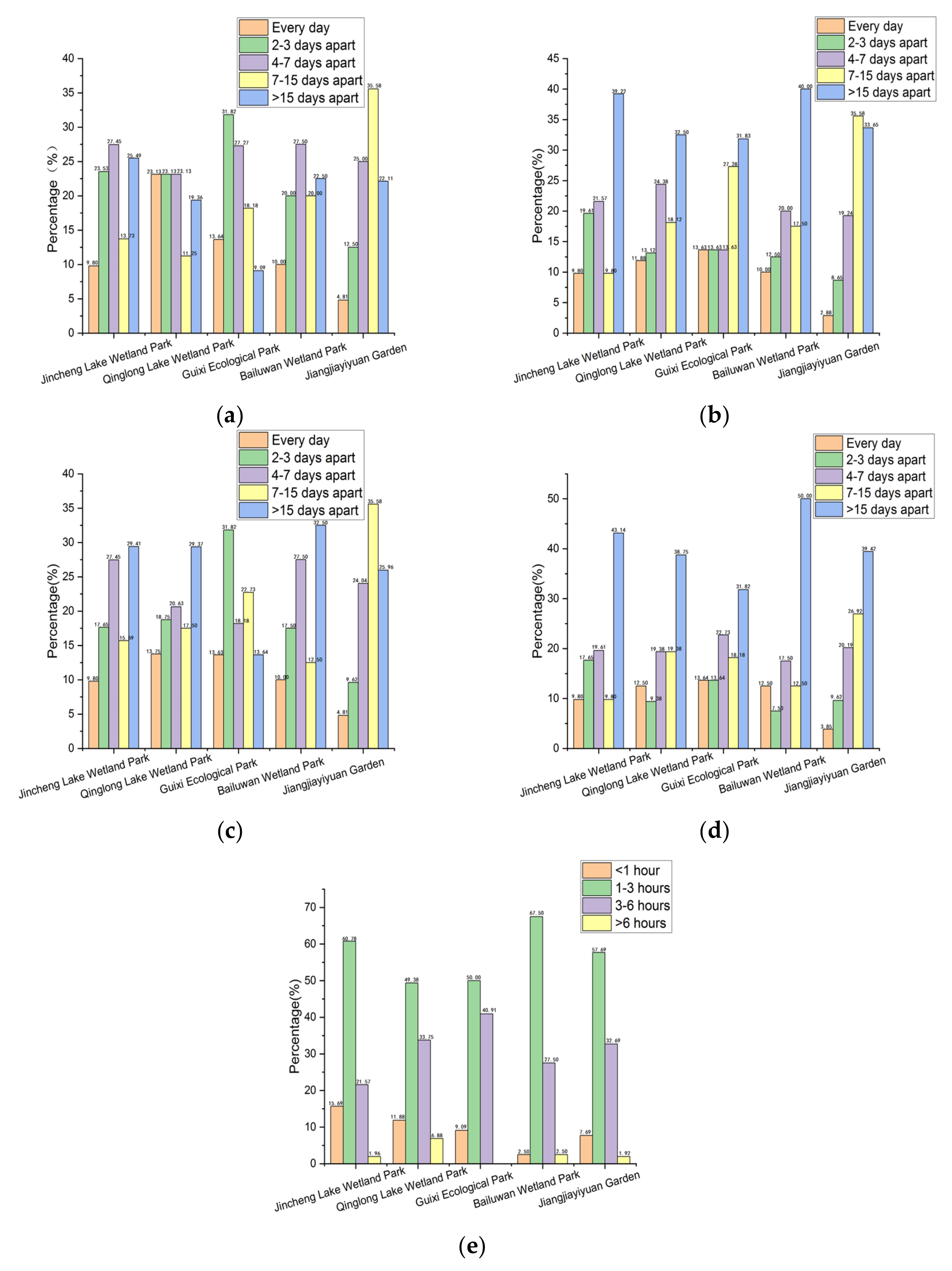
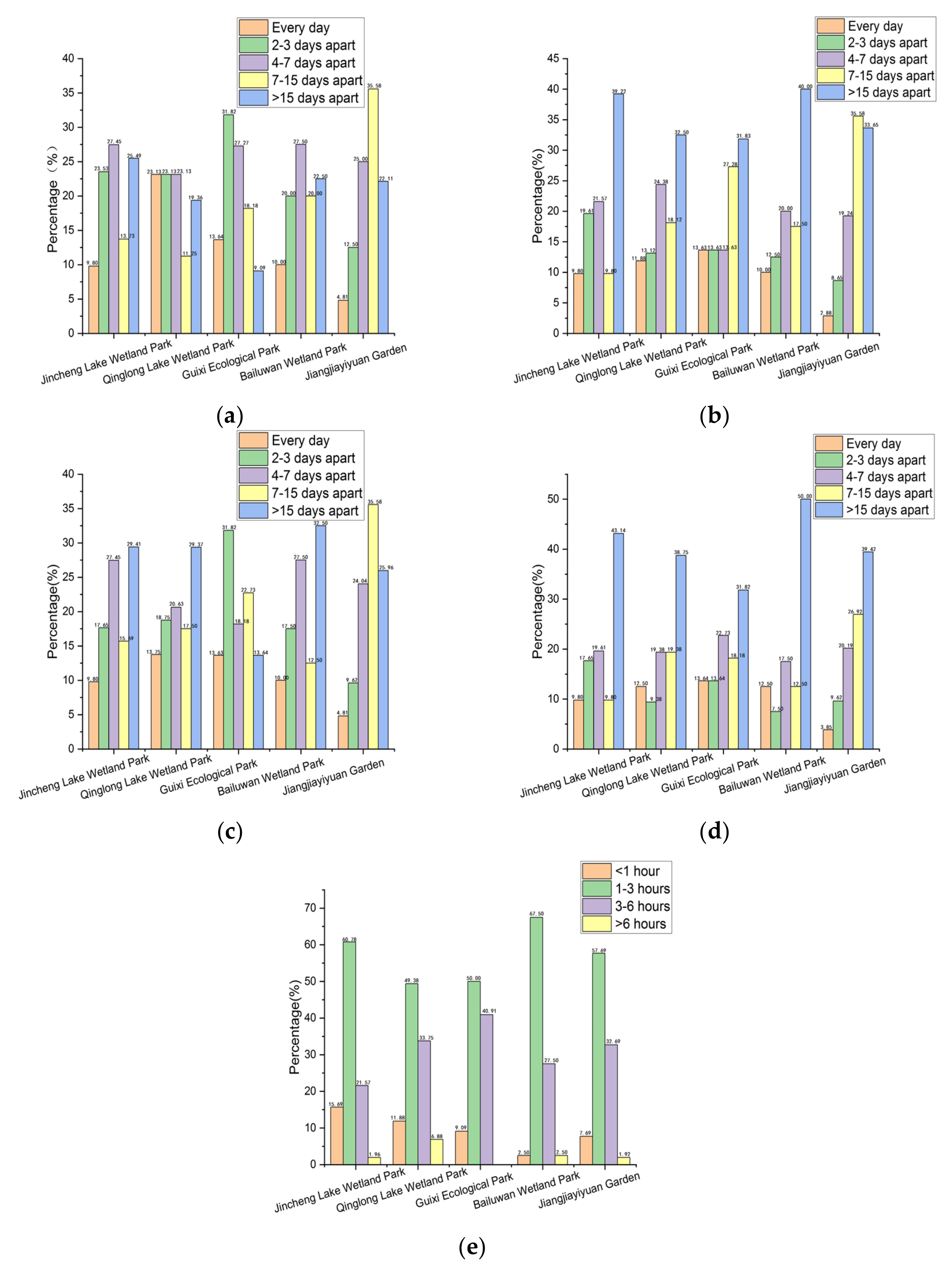
3.2.2. Analysis of Public Behaviour
3.2.3. Analysis of Public Preferences
3.3. Correlation Analysis
4. Discussion
5. Conclusions
Author Contributions
Funding
Institutional Review Board Statement
Informed Consent Statement
Data Availability Statement
Acknowledgments
Conflicts of Interest
Appendix A. Questionnaire
- a.
- How often do you visit this park in spring?
- (1)
- Every day
- (2)
- 2–3 days apart
- (3)
- 4–7 days apart
- (4)
- 7–15 days apart
- (5)
- >15 days apart
- b.
- How often do you visit this park in summer?
- (1)
- Every day
- (2)
- 2–3 days apart
- (3)
- 4–7 days apart
- (4)
- 7–15 days apart
- (5)
- >15 days apart
- c.
- How often do you visit this park in autumn?
- (1)
- Every day
- (2)
- 2–3 days apart
- (3)
- 4–7 days apart
- (4)
- 7–15 days apart
- (5)
- >15 days apart
- d.
- How often do you visit this park in winter?
- (1)
- Every day
- (2)
- 2–3 days apart
- (3)
- 4–7 days apart
- (4)
- 7–15 days apart
- (5)
- >15 days apart
- e.
- How long do you stay during every visit?
- (1)
- <1 hour
- (2)
- 1–3 hours
- (3)
- 3–6 hours
- (4)
- >6 hours
- a.
- Behavioural Activity Preferences
- (1)
- Running/Cycling
- (2)
- Fitness
- (3)
- Viewing
- (4)
- Entertainment
- (5)
- Socialisation
- (6)
- Photography
- b.
- Landscape Preferences
- (1)
- Wetland
- (2)
- Forest Park
- (3)
- Lawn Park
- (4)
- Countryside
- (5)
- Recreational Park
- c.
- Bio-aesthetic Preferences
- (1)
- Viewing Flowers
- (2)
- Viewing Leaves
- (3)
- Lawn
- (4)
- Trees
- (5)
- Shade
- (6)
- Animal Diversity
- d.
- Functional value preferences
- (1)
- Landscaping
- (2)
- Protecting Environment
- (3)
- Exercising
- (4)
- Relaxing
- (5)
- Leisure Activities
- (6)
- Enhancing City Image
Appendix B. Basic Information on the Survey Respondents
| Item | Classification | Number | Percentage |
|---|---|---|---|
| Gender | Male | 183 | 48.54% |
| Female | 194 | 51.46% | |
| Age Group | <20 | 49 | 13.00% |
| 21–40 | 192 | 50.93% | |
| 41–60 | 85 | 22.55% | |
| >61 | 51 | 13.52% | |
| Education | Primary School or less | 56 | 14.85% |
| Junior and Senior School | 133 | 35.28% | |
| Technical School | 46 | 12.20% | |
| Bachelor’s or more | 142 | 37.67% | |
| Occupation | Student | 54 | 14.32% |
| On-the-job | 157 | 41.64% | |
| Free-lancer | 98 | 26.00% | |
| Retired | 68 | 18.04% | |
| Accommodation | Central City | 230 | 61.01% |
| Suburbs | 145 | 38.46% | |
| Other Cities | 2 | 0.53% |
References
- Priess, J.; Pinto, L.V.; Misiune, I.; Palliwoda, J. Ecosystem Service Use and the Motivations for Use in Central Parks in Three European Cities. Land 2021, 10, 154. [Google Scholar] [CrossRef]
- Tao, X.; Chen, M.; Zhang, W.; Bai, Y. Classification and its relationship with the functional analysis of urban parks: Taking Beijing as an example. Geogr. Res. Aust. 2013, 32, 1964–1976. (In Chinese) [Google Scholar]
- Jim, C.Y.; Chen, W.Y. Recreation-amenity use and contingent valuation of urban greenspaces in Guangzhou, China. Landsc. Urban Plan. 2006, 75, 81–96. [Google Scholar] [CrossRef]
- Keith, S.J.; Larson, L.R.; Shafer, C.S.; Hallo, J.C.; Fernandez, M. Greenway use and preferences in diverse urban communities: Implications for trail design and management. Landsc. Urban Plan. 2018, 172, 47–59. [Google Scholar] [CrossRef]
- Talal, M.L.; Santelmann, M.V. Vegetation management for urban park visitors: A mixed methods approach in Portland, Oregon. Ecol. Appl. 2020, 30, e02079. [Google Scholar] [CrossRef] [Green Version]
- Wang, K. Research on Feature Analysis and Optimization Strategy of Children’s Site in Xi’an Urban Parks. Master’s Thesis, Northwest A&F University, Xianyang, China, 29 May 2021. (In Chinese). [Google Scholar]
- Rahnema, S.; Sedaghathoor, S.; Allahyari, M.S.; Damalas, C.A.; El Bilali, H. Preferences and emotion perceptions of ornamental plant species for green space designing among urban park users in Iran. Urban For. Urban Green. 2019, 39, 98–108. [Google Scholar] [CrossRef]
- Goker, P.; Hergul, O.C.C.; Kahveci, H. A research on the function and usability of historical urban parks: Case study of Shah Goli Park, Tabriz, Iran. Appl. Ecol. Environ. Res. 2019, 17, 3147–3163. [Google Scholar] [CrossRef]
- Typhina, E. Urban park design plus love for nature: Interventions for visitor experiences and social networking. Environ. Educ. Res. 2017, 23, 1169–1181. [Google Scholar] [CrossRef]
- Talal, M.L.; Santelmann, M.V.; Tilt, J.H. Urban park visitor preferences for vegetation—An on-site qualitative research study. Plants People Planet 2021, 3, 375–388. [Google Scholar] [CrossRef]
- Mu, B.; Liu, C.; Mu, T.; Xu, X.N.; Tian, G.H.; Zhang, Y.L.; Kim, G.W. Spatiotemporal fluctuations in urban park spatial vitality determined by on-site observation and behavior mapping: A case study of three parks in Zhengzhou City, China. Urban For. Urban Green. 2021, 64, 127246. [Google Scholar] [CrossRef]
- Zhang, K.L.; Tang, X.H.; Zhao, Y.T.; Huang, B.W.; Huang, L.J.; Liu, M.Y.; Luo, E.D.; Li, Y.X.; Jiang, T.; Zhang, L.Q.; et al. Differing perceptions of the youth and the elderly regarding cultural ecosystem services in urban parks: An exploration of the tour experience. Sci. Total Environ. 2022, 821, 153388. [Google Scholar] [CrossRef]
- Brown, G.; Schebella, M.F.; Weber, D. Using participatory GIS to measure physical activity and urban park benefits. Landsc. Urban Plan. 2014, 121, 34–44. [Google Scholar] [CrossRef]
- Hou, Y.-J.; Zhao, X.-L.; Zhang, B. Significance Analysis between Morning Exercise and Spatial Organization Characteristics of Urban Park—Taking 4 Urban Parks in Harbin for Example. Landsc. Archit. 2017, 109–116. (In Chinese) [Google Scholar] [CrossRef]
- Long, C.; Sun, Z.; Wang, Y. Study on the Walking Behavior of the Elderly and the Spatial Organization Characters of Urban Parks—Based on Space Syntax Theory. Archit. Cult. 2018, 148–149. (In Chinese) [Google Scholar] [CrossRef]
- Song, C.; Ikei, H.; Igarashi, M.; Miwa, M.; Takagaki, M.; Miyazaki, Y. Physiological and psychological responses of young males during spring-time walks in urban parks. J. Physiol. Anthropol. 2014, 33, 8. [Google Scholar] [CrossRef] [Green Version]
- Wu, S.; Hong, X.; Dai, Z.; Zheng, Y.; Jiang, Y.; Yan, C.; Lan, S. A Study of the Relationship between Color Characteristics of Urban Parks and Tourists’ Perception Psychology: A Case Study of South Part of Minjiang Park, Fuzhou City. J. Chin. Urban For. 2019, 17, 37–41+72. (In Chinese) [Google Scholar]
- Menconi, M.E.; Sipone, A.; Grohmann, D. Complex Systems Thinking Approach to Urban Greenery to Provide Community-Tailored Solutions and Enhance the Provision of Cultural Ecosystem Services. Sustainability 2021, 13, 11787. [Google Scholar] [CrossRef]
- Wang, Z.F.; Miao, Y.L.; Xu, M.; Zhu, Z.W.; Qureshi, S.; Chang, Q. Revealing the differences of urban parks’ services to human wellbeing based upon social media data. Urban For. Urban Green. 2021, 63, 127233. [Google Scholar] [CrossRef]
- Xiong, Y. 2020 Chengdu Yearbook; Xinhua Publishing House: Beijing, China, 2020. (In Chinese) [Google Scholar]
- Wang, Z.; Wang, W.; Xing, S. A study on the relationship between the characteristics and usage of urban park green space and population health. J. Nanjing For. Univ. Nat. Sci. Ed. 2021, 45, 223–231. (In Chinese) [Google Scholar]
- Hoyle, H.; Hitchmough, J.; Jorgensen, A. All about the ‘wow factor’? The relationships between aesthetics, restorative effect and perceived biodiversity in designed urban planting. Landsc. Urban Plan. 2017, 164, 109–123. [Google Scholar] [CrossRef]
- Ioja, I.C.; Osaci-Costache, G.; Breuste, J.; Hossu, C.A.; Gradinaru, S.R.; Onose, D.A.; Nita, M.R.; Skokanova, H. Integrating urban blue and green areas based on historical evidence. Urban For. Urban Green. 2018, 34, 217–225. [Google Scholar] [CrossRef]
- Li, W.F.; Ouyang, Z.Y.; Meng, X.S.; Wang, X.K. Plant species composition in relation to green cover configuration and function of urban parks in Beijing, China. Ecol. Res. 2006, 21, 221–237. [Google Scholar] [CrossRef]
- Zhang, F.; Jia, X.; Zheng, S.; Dai, X. Research on Plant Diversity and Plant Community Structure of Wildness in Urban Industrial Area—Taking the Rewilding of Shanghai Solvent Factory as an Example. Chin. Landsc. Archit. 2021, 37, 14–19. (In Chinese) [Google Scholar]
- Wang, H.Y.; Hu, Y.F.; Tang, L.; Zhuo, Q. Distribution of Urban Blue and Green Space in Beijing and Its Influence Factors. Sustainability 2020, 12, 2252. [Google Scholar] [CrossRef] [Green Version]
- Liu, X.F.; Liu, X.H.; Shao, X.M.; Songer, M.; He, B.S.; He, X.B.; Zhu, Y. Plant diversity patterns of temperate forests with logging and restoration practices in northwest China. Ecol. Eng. 2018, 124, 116–122. [Google Scholar] [CrossRef]
- Figueroa, J.A.; Castro, S.A.; Reyes, M.; Teillier, S. Urban park area and age determine the richness of native and exotic plants in parks of a Latin American city: Santiago as a case study. Urban Ecosyst. 2018, 21, 645–655. [Google Scholar] [CrossRef]
- Peng, S.; Xiang, Y. The invasion of exotic plants and effects of ecosystems. Acta Ecol. Sin. 1999, 19, 560–569. (In Chinese) [Google Scholar]
- Maniruzzaman, K.M.; Alqahtany, A.; Abou-Korin, A.; Al-Shihri, F.S. An analysis of residents’ satisfaction with attributes of urban parks in Dammam city, Saudi Arabia. Ain Shams Eng. J. 2021, 12, 3365–3374. [Google Scholar] [CrossRef]
- Larson, L.; Whiting, J.W.; Green, G.T.; Bowker, J.M. Physical Activity Levels and Preferences of Ethnically Diverse Visitors to Georgia State Parks. J. Leis. Res. 2014, 46, 540–562. [Google Scholar] [CrossRef]
- Xiang, L.Y.; Tian, Y.Q.; Pan, Y.C. Study on landscape evaluation and optimization strategy of Central Park in Qingkou Town. Sci. Rep. 2022, 12, 1978. [Google Scholar] [CrossRef]
- Chen, Y.; Xu, Z.K.; Byrne, J.; Xu, T.T.; Wang, S.W.; Wu, J.Y. Can smaller parks limit green gentrification? Insights from Hangzhou, China. Urban For. Urban Green. 2021, 59, 127009. [Google Scholar] [CrossRef]
- Yeh, C.T.; Cheng, Y.Y.; Liu, T.Y. Spatial Characteristics of Urban Green Spaces and Human Health: An Exploratory Analysis of Canonical Correlation. Int. J. Environ. Res. Public Health 2020, 17, 3227. [Google Scholar] [CrossRef] [PubMed]
- Jorgensen, A.; Hitchmough, J.; Calvert, T. Woodland spaces and edges: Their impact on perception of safety and preference. Landsc. Urban Plan. 2002, 60, 135–150. [Google Scholar] [CrossRef]
- Lis, A.; Pardela, Ł.; Can, W.; Katlapa, A.; Rąbalski, Ł. Perceived Danger and Landscape Preferences of Walking Paths with Trees and Shrubs by Women. Sustainability 2019, 11, 4565. [Google Scholar] [CrossRef] [Green Version]
- Lis, A.; Pardela, Ł.; Iwankowski, P. Impact of Vegetation on Perceived Safety and Preference in City Parks. Sustainability 2019, 11, 6324. [Google Scholar] [CrossRef] [Green Version]
- Diao, Y.Y.; Hu, W.; He, B.J. Analysis of the Impact of Park Scale on Urban Park Equity Based on 21 Incremental Scenarios in the Urban Core Area of Chongqing, China. Adv. Sustain. Syst. 2021, 5, 2100171. [Google Scholar] [CrossRef]
- Dou, Y.H.; Zhen, L.; De Groot, R.; Du, B.Z.; Yu, X.B. Assessing the importance of cultural ecosystem services in urban areas of Beijing municipality. Ecosyst. Serv. 2017, 24, 79–90. [Google Scholar] [CrossRef]
- Chan, S.Y.; Chau, C.K.; Leung, T.M. On the study of thermal comfort and perceptions of environmental features in urban parks: A structural equation modeling approach. Build Environ. 2017, 122, 171–183. [Google Scholar] [CrossRef]
- Iknayan, K.J.; Wheeler, M.M.; Safran, S.M.; Young, J.S.; Spotswood, E.N. What makes urban parks good for California quail? Evaluating park suitability, species persistence, and the potential for reintroduction into a large urban national park. J. Appl. Ecol. 2022, 59, 199–209. [Google Scholar] [CrossRef]
- Fisher, J.C.; Irvine, K.N.; Bicknell, J.E.; Hayes, W.M.; Fernandes, D.; Mistry, J.; Davies, Z.G. Perceived biodiversity, sound, naturalness and safety enhance the restorative quality and wellbeing benefits of green and blue space in a neotropical city. Sci. Total Environ. 2021, 755, 143095. [Google Scholar] [CrossRef]
- Wilsey, B.J.; Barber, K.; Martin, L.M. Exotic grassland species have stronger priority effects than natives regardless of whether they are cultivated or wild genotypes. New Phytol. 2015, 205, 928–937. [Google Scholar] [CrossRef]
- Chang, C.R.; Chen, M.C.; Su, M.H. Natural versus human drivers of plant diversity in urban parks and the anthropogenic species-area hypotheses. Landsc. Urban Plan. 2021, 208, 104023. [Google Scholar] [CrossRef]
- Nguyen, N.A.; Eskelson, B.N.I.; Gergel, S.E.; Murray, T. The occurrence of invasive plant species differed significantly across three urban greenspace types of Metro Vancouver, Canada. Urban For. Urban Green. 2021, 59, 126999. [Google Scholar] [CrossRef]
- Li, X.P.; Fan, S.X.; Kuhn, N.; Dong, L.; Hao, P.Y. Residents’ ecological and aesthetical perceptions toward spontaneous vegetation in urban parks in China. Urban For. Urban Green. 2019, 44, 126397. [Google Scholar] [CrossRef]






| Total Scale/km2 | Proportion of Blue Space | Proportion of Green Space | Proportion of Blue-Green Space | Plant Diversity Index | Re-Wilding Degree | |
|---|---|---|---|---|---|---|
| Qinglong Lake Wetland Park | 9.42 | 17.09% | 60.11% | 77.20% | 6.71 ± 2.50 | 0.51 |
| Jiangjiayiyuan Garden | 1.23 | 5.96% | 86.66% | 92.59% | 8.67 ± 2.89 | 0.39 |
| Bailuwan Wetland Park | 2.11 | 24.80% | 63.69% | 88.49% | 8.47 ± 2.35 | 0.61 |
| Guixi Ecological Park | 1.02 | 1.98% | 86.84% | 88.82% | 11.00 ± 3.52 | 0.39 |
| Jincheng Lake Wetland Park | 1.05 | 35.28% | 45.91% | 81.19% | 10.50 ± 2.38 | 0.33 |
| Classification | Differences | |
|---|---|---|
| Behavioural | Running/Cycling | X2(5) = 486.443, p < 0.01 |
| Activity | Fitness | X2(5) = 460.915, p < 0.01 |
| Preferences | Viewing | X2(5) = 178.103, p < 0.01 |
| Entertainment | X2(5) = 193.859, p < 0.01 | |
| Socialisation | X2(5) = 778.135, p < 0.01 | |
| Photography | X2(5) = 459.865, p < 0.01 | |
| Landscape | Wetland | X2(5) = 175.716, p < 0.01 |
| Preferences | Forest Park | X2(5) = 179.504, p < 0.01 |
| Lawn Park | X2(5) = 168.045, p < 0.01 | |
| Countryside | X2(5) = 248.958, p < 0.01 | |
| Recreational Park | X2(5) = 326.878, p < 0.01 | |
| Bio-Aesthetic | Viewing Flowers | X2(5) = 251.154, p < 0.01 |
| Preferences | Viewing Leaves | X2(5) = 221.997, p < 0.01 |
| Lawn | X2(5) = 119.950, p < 0.01 | |
| Trees | X2(5) = 267.292, p < 0.01 | |
| Shade | X2(5) = 266.528, p < 0.01 | |
| Animal Diversity | X2(5) = 729.021, p < 0.01 | |
| Functional | Landscaping | X2(5) = 80.385, p < 0.01 |
| Value Preferences | Protecting Environment | X2(5) = 120.427, p < 0.01 |
| Exercising | X2(5) = 140.289, p < 0.01 | |
| Relaxing | X2(5) = 50.496, p < 0.01 | |
| Leisure Activities | X2(5) = 85.987, p < 0.01 | |
| Enhancing City Image | X2(5) = 267.292, p < 0.01 |
| Total Scale/km2 | Proportion of Blue Space | Proportion of Green Space | Proportion of Blue-Green Space | Plant Diversity Index (Average) | Plant Diversity Index (Standard Deviation) | Re-Wilding Degree | ||||||||
|---|---|---|---|---|---|---|---|---|---|---|---|---|---|---|
| Correlation Coefficient | Significance | Correlation Coefficient | Significance | Correlation Coefficient | Significance | Correlation Coefficient | Significance | Correlation Coefficient | Significance | Correlation Coefficient | Significance | Correlation Coefficient | Significance | |
| Running/Cycling | 0.158 | 0.8 | 0.341 | 0.574 | −0.384 | 0.523 | −0.351 | 0.562 | −0.193 | 0.755 | −0.41 | 0.493 | −0.524 | 0.365 |
| Fitness | −0.382 | 0.526 | −0.692 | 0.196 | 0.65 | 0.235 | 0.343 | 0.571 | 0.669 | 0.217 | 0.953 * | 0.012 | −0.64 | 0.245 |
| Viewing | 0.617 | 0.267 | −0.082 | 0.896 | −0.071 | 0.909 | −0.381 | 0.527 | −0.645 | 0.24 | −0.237 | 0.701 | −0.172 | 0.782 |
| Entertainment | −0.31 | 0.612 | 0.749 | 0.145 | −0.72 | 0.171 | −0.415 | 0.487 | 0.576 | 0.31 | −0.305 | 0.618 | −0.382 | 0.525 |
| Socialisation | 0.121 | 0.846 | −0.574 | 0.311 | 0.386 | 0.521 | −0.151 | 0.808 | 0.363 | 0.548 | 0.787 | 0.114 | −0.499 | 0.392 |
| Photography | 0.697 | 0.19 | 0.334 | 0.583 | −0.396 | 0.509 | −0.4 | 0.505 | −0.94 * | 0.017 | −0.759 | 0.137 | 0.587 | 0.298 |
| Wetland | 0.341 | 0.574 | 0.7 | 0.189 | −0.679 | 0.208 | −0.409 | 0.495 | −0.592 | 0.293 | −0.931 * | 0.022 | 0.236 | 0.702 |
| Forest Park | −0.329 | 0.589 | 0.43 | 0.47 | −0.346 | 0.569 | −0.048 | 0.939 | 0.216 | 0.728 | −0.333 | 0.583 | −0.654 | 0.231 |
| Lawn Park | 0.463 | 0.432 | 0.399 | 0.505 | −0.618 | 0.266 | −0.887 * | 0.045 | 0.076 | 0.903 | −0.137 | 0.826 | −0.236 | 0.703 |
| Countryside | 0.142 | 0.82 | 0.365 | 0.546 | −0.354 | 0.559 | −0.215 | 0.729 | −0.346 | 0.568 | −0.545 | 0.342 | −0.307 | 0.615 |
| Recreational Park | −0.488 | 0.404 | −0.655 | 0.23 | 0.651 | 0.235 | 0.424 | 0.477 | 0.696 | 0.191 | 0.904 * | 0.035 | −0.756 | 0.139 |
| Viewing Flowers | 0.618 | 0.266 | 0.559 | 0.327 | −0.624 | 0.261 | −0.557 | 0.33 | −0.784 | 0.117 | −0.866 | 0.058 | 0.324 | 0.594 |
| Viewing Leaves | 0.135 | 0.829 | 0.206 | 0.739 | −0.312 | 0.609 | −0.439 | 0.459 | 0.055 | 0.931 | −0.121 | 0.846 | −0.761 | 0.135 |
| Lawn | −0.434 | 0.465 | −0.014 | 0.982 | 0.094 | 0.881 | 0.237 | 0.701 | 0.588 | 0.297 | 0.335 | 0.581 | 0.198 | 0.75 |
| Trees | 0.514 | 0.375 | 0.419 | 0.482 | −0.59 | 0.295 | −0.766 | 0.131 | −0.295 | 0.63 | −0.433 | 0.466 | −0.405 | 0.498 |
| Shade | −0.398 | 0.507 | −0.881 * | 0.048 | 0.958 * | 0.01 | 0.807 | 0.098 | 0.281 | 0.647 | 0.835 | 0.079 | 0.015 | 0.981 |
| Animal Diversity | −0.532 | 0.356 | −0.426 | 0.475 | 0.496 | 0.395 | 0.483 | 0.41 | 0.471 | 0.423 | 0.516 | 0.374 | −0.829 | 0.083 |
| Landscaping | 0.068 | 0.914 | 0.766 | 0.131 | −0.711 | 0.178 | −0.357 | 0.556 | −0.257 | 0.676 | −0.831 | 0.081 | −0.116 | 0.853 |
| Protecting Environment | 0.243 | 0.694 | 0.417 | 0.485 | −0.323 | 0.596 | −0.012 | 0.985 | −0.705 | 0.184 | −0.797 | 0.106 | 0.562 | 0.324 |
| Exercising | −0.189 | 0.76 | −0.402 | 0.502 | 0.319 | 0.6 | 0.034 | 0.956 | 0.622 | 0.262 | 0.751 | 0.143 | −0.264 | 0.668 |
| Relaxing | 0.938 * | 0.018 | −0.13 | 0.835 | −0.084 | 0.893 | −0.521 | 0.368 | −0.904 * | 0.035 | −0.269 | 0.662 | 0.354 | 0.559 |
| Leisure activities | −0.292 | 0.633 | 0.543 | 0.345 | −0.526 | 0.363 | −0.314 | 0.607 | 0.448 | 0.449 | −0.241 | 0.696 | −0.77 | 0.128 |
| Enhancing City Image | −0.028 | 0.964 | 0.553 | 0.334 | −0.415 | 0.487 | 0.023 | 0.971 | −0.249 | 0.687 | −0.636 | 0.248 | 0.795 | 0.108 |
Publisher’s Note: MDPI stays neutral with regard to jurisdictional claims in published maps and institutional affiliations. |
© 2022 by the authors. Licensee MDPI, Basel, Switzerland. This article is an open access article distributed under the terms and conditions of the Creative Commons Attribution (CC BY) license (https://creativecommons.org/licenses/by/4.0/).
Share and Cite
Li, Z.; Liu, Q.; Zhang, Y.; Yan, K.; Yan, Y.; Xu, P. Characteristics of Urban Parks in Chengdu and Their Relation to Public Behaviour and Preferences. Sustainability 2022, 14, 6761. https://doi.org/10.3390/su14116761
Li Z, Liu Q, Zhang Y, Yan K, Yan Y, Xu P. Characteristics of Urban Parks in Chengdu and Their Relation to Public Behaviour and Preferences. Sustainability. 2022; 14(11):6761. https://doi.org/10.3390/su14116761
Chicago/Turabian StyleLi, Zhiqiao, Qin Liu, Yuxin Zhang, Kun Yan, Yangyang Yan, and Pei Xu. 2022. "Characteristics of Urban Parks in Chengdu and Their Relation to Public Behaviour and Preferences" Sustainability 14, no. 11: 6761. https://doi.org/10.3390/su14116761
APA StyleLi, Z., Liu, Q., Zhang, Y., Yan, K., Yan, Y., & Xu, P. (2022). Characteristics of Urban Parks in Chengdu and Their Relation to Public Behaviour and Preferences. Sustainability, 14(11), 6761. https://doi.org/10.3390/su14116761

