Design of Constructed Wetland Treatment Measures for Highway Runoff in a Water Source Protection Area
Abstract
:1. Introduction
2. Materials and Methods
2.1. Design of Constructed Wetland
2.1.1. Structure Types of Constructed Wetland
2.1.2. Structural Designs of Constructed Wetland
2.2. Laboratory Test Model Creation
2.3. Preparation of Road Runoff Water
2.4. Detection Indicator
2.5. Test Setup
2.5.1. Determination of Test Time
2.5.2. Experimental Procedure
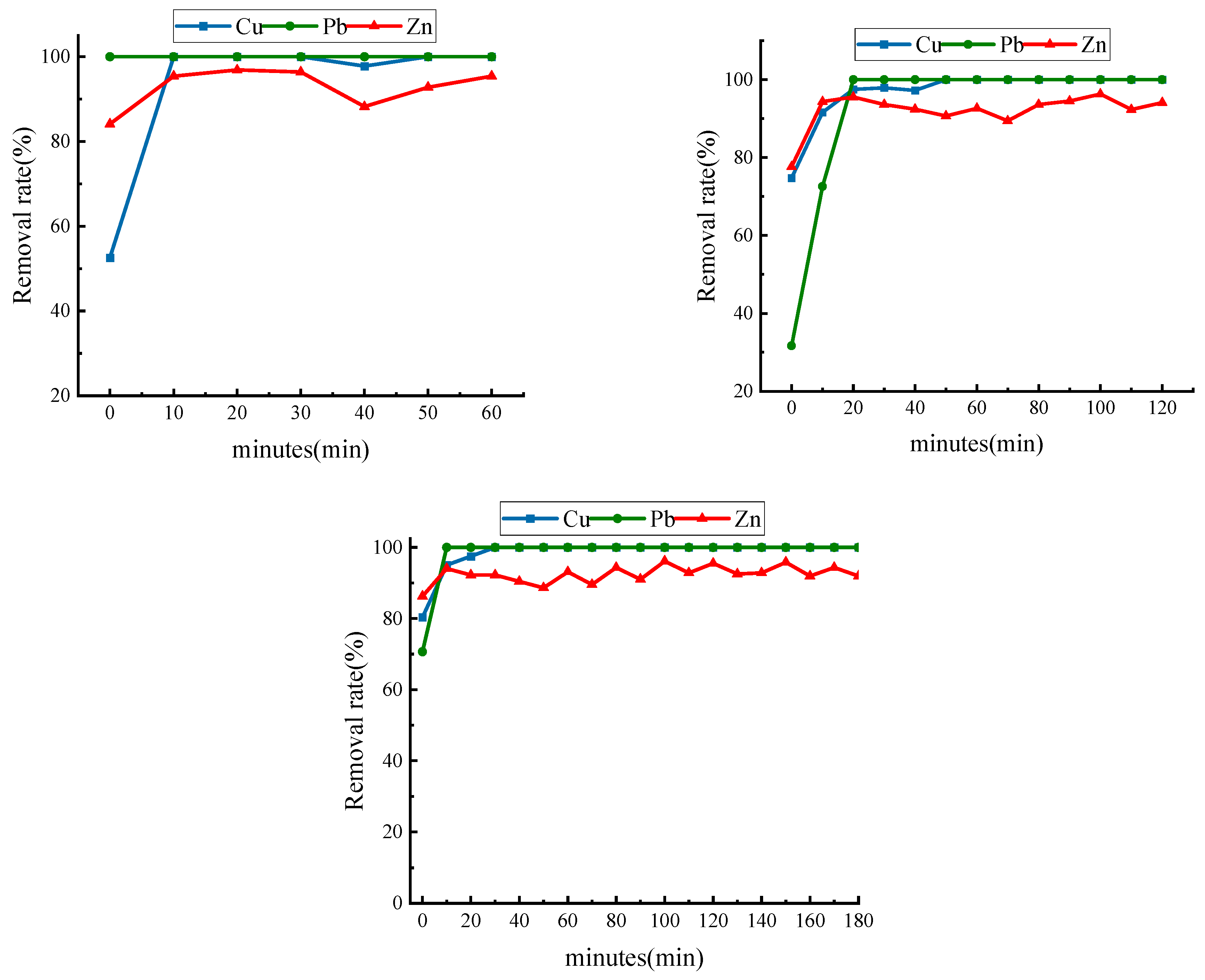
3. Results and Discussion
4. Conclusions
Author Contributions
Funding
Institutional Review Board Statement
Informed Consent Statement
Acknowledgments
Conflicts of Interest
References
- Stotz, G. Investigations of the properties of the surface water run-off from federal highways in the FRG. Sci. Total Environ. 1987, 59, 329–337. [Google Scholar] [CrossRef]
- Ellis, J.B.; Revitt, D.J.; Harrop, D.O.; Beckwith, P.R. The contribution of highway surfaces to urban stormwater sediments and metal loadings. Sci. Total Environ. 1987, 59, 339–349. [Google Scholar] [CrossRef]
- Duncan, J.M.; Welty, C.; Kemper, J.T.; Groffman, P.M.; Ba Nd, L.E. Dynamics of nitrate concentration-discharge patterns in an urban watershed. Water Resour. Res. 2017, 53, 7349–7365. [Google Scholar] [CrossRef]
- Hilliges, R.; Endres, M.; Tiffert, A.; Brenner, E.; Marks, T. Characterization of road runoff with regard to seasonal variations, particle size distribution and the correlation of fine particles and pollutants. Water Sci. Technol. 2017, 75, 1169. [Google Scholar] [CrossRef] [Green Version]
- Qian, G.P.; Zhang, J.Y.; Li, X.; Yu, H.N.; Gong, X.B.; Chen, J.Y. Study on pollution characteristics of urban pavement runoff. Water Sci. Technol. 2021, 84, 1745–1756. [Google Scholar] [CrossRef]
- Wang, Q.; Zhang, Q.; Wang, X.C.; Huang, J.; Ge, Y. Impacts of key factors on heavy metal accumulation in urban road-deposited sediments (RDS): Implications for RDS management. Chemosphere 2020, 261, 127786. [Google Scholar] [CrossRef]
- Wang, Q.; Zhang, Q.; Wang, X.C.; Ge, Y. Size distributions and heavy metal pollution of urban road-deposited sediments (RDS) related to traffic types. Environ. Sci. Pollut. Res. 2020, 27, 34199–34210. [Google Scholar] [CrossRef]
- Xue, H.; Zhao, L.; Liu, X. Characteristics of heavy metal pollution in road runoff in the Nanjing urban area, East China. Water Sci. Technol. 2020, 81, 1961–1971. [Google Scholar] [CrossRef]
- Kim, L.H.; Ko, S.O.; Jeong, S.; Yoon, J. Characteristics of washed-off pollutants and dynamic EMCs in parking lots and bridges during a storm. Sci. Total Environ. 2007, 376, 178–184. [Google Scholar] [CrossRef] [PubMed]
- Gjessing, E.; Lygren, E.; Berglind, L.; Gulbrandsen, T.; Skanne, R. Effect of highway runoff on lake water quality. Sci. Total Environ. 1984, 33, 245–257. [Google Scholar] [CrossRef]
- Flanagan, K.; Branchu, P.; Ramier, D.; Gromaire, M.C. Evaluation of the relative roles of a vegetative filter strip and a biofiltration swale in a treatment train for road runoff. Water Sci. Technol. 2017, 75, 987. [Google Scholar] [CrossRef] [PubMed]
- Kelsey, F.; Philippe, B.; Lila, B.; Emilie, C.; Dominique, D.; Steven, D.; Philippe, D.; Laurent, M.; Chandirane, P.; Mohamed, S. Field performance of two biofiltration systems treating micropollutants from road runoff. Water Res. 2018, 145, 562–578. [Google Scholar] [CrossRef]
- Boger, A.R.; Ahiablame, L.; Mosase, E.; Beck, D. Effectiveness of roadside vegetated filter strips and swales at treating roadway runoff: A tutorial review. Environ. Sci. Water Res. Technol. 2018, 4, 478–486. [Google Scholar] [CrossRef]
- Deletic, A.; Fletcher, T.D. Performance of grass filters used for stormwater treatment—A field and modelling study. J. Hydrol. 2006, 317, 261–275. [Google Scholar] [CrossRef]
- Nystrm, F.; Nordqvist, K.; Herrmann, I.; Hedstrm, A.; Viklander, M. Treatment of road runoff by coagulation/flocculation and sedimentation. Water Sci. Technol. 2019, 79, 518–525. [Google Scholar] [CrossRef]
- Cheng, J.; Yuan, Q.; Youngchul, K. Evaluation of a first-flush capture and detention tank receiving runoff from an asphalt-paved road: Evaluation of a first-flush capture. Water Environ. J. 2017, 31, 410–417. [Google Scholar] [CrossRef]
- Hares, R.; Ward, N. Comparison of the heavy metal content of motorway stormwater following discharge into wet biofiltration and dry detention ponds along the London Orbital (M25) motorway. Sci. Total Environ. 1999, 235, 169–178. [Google Scholar] [CrossRef]
- Comings, K.J.; Booth, D.B.; Horner, R.R. Storm Water Pollutant Removal by Two Wet Ponds in Bellevue, Washington. J. Environ. Eng. 2000, 126, 321–330. [Google Scholar] [CrossRef] [Green Version]
- Lundberg, K.; Carling, M.; Lindmark, P. Treatment of highway runoff: A study of three detention ponds. Sci. Total Environ. 1999, 235, 363–365. [Google Scholar] [CrossRef]
- Siriwardene, N.R.; Deletic, A.; Fletcher, T.D. Clogging of stormwater gravel infiltration systems and filters: Insights from a laboratory study. Water Res. 2007, 41, 1433–1440. [Google Scholar] [CrossRef]
- Wu, J.S.; Allan, C. Vegetated Swales for Managing Stormwater Runoff from Secondary Roads. J. Environ. Eng. 2018, 144, 04018097. [Google Scholar] [CrossRef]
- Thives, L.P.; Ghisi, E.; Brecht, D.G.; Pires, D.M. Filtering Capability of Porous Asphalt Pavements. Water 2018, 10, 206. [Google Scholar] [CrossRef] [Green Version]
- Pagotto, C.; Legret, M.; Cloirec, P.L. Comparison of the hydraulic behaviour and the quality of highway runoff water according to the type of pavement. Water Res. 2000, 34, 4446–4454. [Google Scholar] [CrossRef]
- Zhou, Y.; Gu, T.; Yi, W.; Zhang, T.; Zhang, Y. The release mechanism of heavy metals from lab-scale vertical flow constructed wetlands treating road runoff. Environ. Sci. Pollut. Res. 2019, 26, 16588–16595. [Google Scholar] [CrossRef]
- Gill, L.W.; Ring, P.; Higgins, N.; Johnston, P.M. Accumulation of heavy metals in a constructed wetland treating road runoff. Ecol. Eng. 2014, 70, 133–139. [Google Scholar] [CrossRef] [Green Version]
- Choi, J.; Maniquiz-Redillas, M.C.; Hong, J.; Kim, L.H. Development of a hybrid constructed wetland system for treating stormwater runoff from road. Desalination Water Treat. 2017, 63, 397–403. [Google Scholar] [CrossRef]
- Senduran, C.; Gunes, K.; Topaloglu, D.; Dede, O.H.; Masi, F.; Kucukosmanoglu, O.A. Mitigation and treatment of pollutants from railway and highway runoff by pocket wetland system; A case study. Chemosphere 2018, 204, 335–343. [Google Scholar] [CrossRef]
- Zhao, J.; Zhao, Y.; Xu, Z.; Doherty, L.; Liu, R. Highway runoff treatment by hybrid adsorptive media-baffled subsurface flow constructed wetland. Ecol. Eng. 2016, 91, 231–239. [Google Scholar] [CrossRef]
- Terzaki, S.; Fountoulakis, M.S.; Georgaki, I.; Albantakis, D.; Sabathianakis, I.; Karathanasis, A.D.; Kalogerakis, N.; Manios, T. Constructed wetlands treating highway runoff in the central Mediterranean region. Chemosphere 2008, 72, 141–149. [Google Scholar] [CrossRef]
- Herricks, E.E.; Jenkins, J.R. Stormwater Runoff and Receiving Systems: Impact, Monitoring, and Assessment; CRC Press: Boca Raton, FL, USA, 1995. [Google Scholar]
- Stankovic, D. Constructed wetlands for wastewater treatment. Građevinar 2017, 69, 639–652. [Google Scholar] [CrossRef] [Green Version]
- Gao, H.; Lan, W.; Sun, H.M.; Hu, Z. Annual study of hydraulic characteristics in surface flow constructed wetlands using hydrogen and oxygen stable isotope technology. Environ. Sci. Pollut. Res. 2020, 27, 29502–29511. [Google Scholar] [CrossRef] [PubMed]
- Tang, Z.P.; Wood, J.; Smith, D.; Thapa, A.; Aryal, N. A Review on Constructed Treatment Wetlands for Removal of Pollutants in the Agricultural Runoff. Sustainability 2021, 13, 13578. [Google Scholar] [CrossRef]
- Ministry of Ecology and Environment of the People’s Republic of China. Water Quality-Determination of Suspended Substance-Gravimetric Method (GB 11901-89). 1989. Available online: https://www.mee.gov.cn/image20010518/3723.pdf (accessed on 24 March 2022).
- Ministry of Ecology and Environment of the People’s Republic of China. Water Quality-Determination of Copper, Zinc, Lead and Cadmium-Atomlc Absorption Spectrometry (GB 7475-87). 1987. Available online: https://www.mee.gov.cn/image20010518/3571.pdf (accessed on 24 March 2022).
- Ministry of Ecology and Environment of the People’s Republic of China. Water Quality-Determination of the Chemical Oxygen Demand-Dichromate Method (HJ 828-2017). 2017. Available online: https://www.mee.gov.cn/ywgz/fgbz/bz/bzwb/jcffbz/201704/W020170606398873416325.pdf (accessed on 24 March 2022).
- Zhang, C.; Wen, L.; Wang, Y.; Liu, C.; Zhou, Y.; Lei, G. Can Constructed Wetlands be Wildlife Refuges? A Review of Their Potential Biodiversity Conservation Value. Sustainability 2020, 12, 1442. [Google Scholar] [CrossRef] [Green Version]








| Serial Number | Detection Indicator | Referenced Standards | Testing Equipment |
|---|---|---|---|
| 1 | SS | GB 11901-89 [34] | Oven, balance |
| 2 | Zn | GB 7475-87 [35] | GDYS-201M multi-parameter water quality analyzer |
| 3 | Pb | GB 7475-87 | GDYS-201M multi-parameter water quality analyzer |
| 4 | Cu | GB 7475-87 | GDYS-201M multi-parameter water quality analyzer |
| 5 | COD | HJ 828-2017 [36] | GDYS-201M multi-parameter water quality analyzer |
| 6 | Petro | SL 93.2-94 | MAI-50G infrared oil meter |
Publisher’s Note: MDPI stays neutral with regard to jurisdictional claims in published maps and institutional affiliations. |
© 2022 by the authors. Licensee MDPI, Basel, Switzerland. This article is an open access article distributed under the terms and conditions of the Creative Commons Attribution (CC BY) license (https://creativecommons.org/licenses/by/4.0/).
Share and Cite
Qian, G.; Wang, C.; Gong, X.; Zhou, H.; Cai, J. Design of Constructed Wetland Treatment Measures for Highway Runoff in a Water Source Protection Area. Sustainability 2022, 14, 5951. https://doi.org/10.3390/su14105951
Qian G, Wang C, Gong X, Zhou H, Cai J. Design of Constructed Wetland Treatment Measures for Highway Runoff in a Water Source Protection Area. Sustainability. 2022; 14(10):5951. https://doi.org/10.3390/su14105951
Chicago/Turabian StyleQian, Guoping, Chang Wang, Xiangbing Gong, Hongyu Zhou, and Jun Cai. 2022. "Design of Constructed Wetland Treatment Measures for Highway Runoff in a Water Source Protection Area" Sustainability 14, no. 10: 5951. https://doi.org/10.3390/su14105951
APA StyleQian, G., Wang, C., Gong, X., Zhou, H., & Cai, J. (2022). Design of Constructed Wetland Treatment Measures for Highway Runoff in a Water Source Protection Area. Sustainability, 14(10), 5951. https://doi.org/10.3390/su14105951

