The Collaboration Mechanism of Agricultural Product Supply Chain Dominated by Farmer Cooperatives
Abstract
1. Introduction
- Analyze the members’ behavior of agricultural products supply chain dominated by farmer cooperatives and the possible reasons for failure to collaborate.
- Build a theoretical model and analyze the evolution process of tripartite strategy and evolutionarily stability strategy.
- Analyze how various factors affect the strategic decisions of members through numerical simulation.
2. Literature Review
3. Model Assumptions and Construction
4. Equilibrium Analysis of Tripartite Game Model
4.1. Expected Revenue Function and Replication Dynamic Equation
4.2. Analysis of Evolutionarily Stability Strategy
- (1)
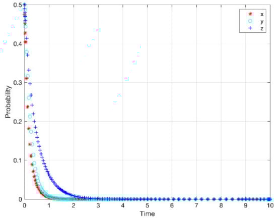
- When , , and , the equilibrium is ESS. This shows that when the supervision cost of farmer cooperatives is higher than the penalty amount received from manufacturers and retailers, farmer cooperatives tend to “loose supervision”. If the amount of penalty for subordinate enterprises increases, the sum of the two penalties is higher than the supervision cost, and the stability strategy changes. If the difference between the additional income obtained by the manufacturers or the retailers from the farmer cooperative through collaboration and the collaboration cost is less than the “free-rider” income obtained from the farmer cooperative without the collaboration, then the two will tend to “non-collaboration”. The evolution strategy is shown in Figure 1.
- (2)
- When , , and , the equilibrium is ESS. This shows that when the supervision cost of farmer cooperatives is higher than half of the penalty amount of “non-collaboration” for manufacturers or retailers, then farmer cooperatives tend to “loose supervision”. If the difference between the additional income obtained from the farmer cooperatives and the collaboration input is higher than the “free-rider” income obtained from the farmer cooperatives, the manufacturers will choose the “collaboration” strategy. If the difference between the sum of the additional income obtained from the farmer cooperatives and the manufacturers and the collaboration input is less than the “free-rider” income from the farmer cooperatives for the retailers that do not collaborate, then the retailers will choose the “non-collaboration” strategy. The evolution strategy is shown in Figure 2.
- (3)
- When , and , the equilibrium is ESS. In this case, farmer cooperatives tend to “loose supervision”. If the manufacturers collaborate with farmer cooperatives and retailers, and the difference between the sum of the additional income obtained from them and the collaboration input is higher than the “free-rider” income obtained by the manufacturers without collaboration, then the manufacturers choose the strategy of “collaboration”. If the retailers collaborate with farmer cooperatives and manufacturers, and the difference between the sum of the additional income obtained from farmer cooperatives and manufacturers and the collaboration input is higher than the “free-rider” income obtained without adopting the collaboration strategy, the retailers will choose the “collaboration” strategy. The evolution strategy is shown in Figure 3.
- (4)
- When , , and , the equilibrium is ESS. This shows that when the supervision cost of farmer cooperatives is lower than the penalty amount received from manufacturers and retailers, farmer cooperatives tend to adopt the “strict supervision”. The net income obtained when manufacturers adopt the “collaboration” strategy is less than the net income obtained without the “collaboration” strategy, then the manufacturers adopt the “non-collaboration” strategy. The net income obtained when manufacturers adopt the “collaboration” strategy means the difference between the reward distribution obtained due to the collaboration adding the additional income obtained from the collaborative farmer cooperatives and the collaboration input of the manufacturers. The net income obtained without the “collaboration” strategy means the difference between the “free-rider” income and the penalty amount. The net income obtained when retailers adopt the “collaboration” strategy is less than the net income obtained without the “collaboration” strategy, and then the retailers adopt the “non-collaboration” strategy. The net income obtained when retailers adopt the “collaboration” strategy means the difference between the reward distribution obtained due to the collaboration adding the additional income obtained from the collaborative farmer cooperatives and the collaboration input of the retailers. The evolution strategy is shown in Figure 4.
- (5)
- When , , and , the equilibrium is ESS. This shows that when the supervision cost of farmer cooperatives is less than half of the penalty amount received from retailers, farmer cooperatives tend to the “strict supervision”. The net income obtained when manufacturers adopt the “collaboration” strategy is higher than the net income obtained without the “collaboration” strategy, then the manufacturers adopt the “collaboration” strategy. The net income obtained when manufacturers adopt the “collaboration” strategy means the difference between the reward distribution obtained due to the collaboration adding the additional income obtained from the collaborative farmer cooperatives and the collaboration input of the manufacturers. The net income obtained without the “collaboration” strategy means the difference between the “free-rider” income and the penalty amount. The net income obtained when retailers adopt the “collaboration” strategy is less than the net income obtained without the “collaboration” strategy, and then the retailers adopt the “non-collaboration” strategy. The net income obtained when retailers adopt the “collaboration” strategy means the difference between the reward distribution obtained due to the collaboration adding the additional income obtained from the collaborative farmer cooperatives and manufacturers and the collaboration input of the retailers. The evolution strategy is shown in Figure 5.
- (6)
- When , and , the equilibrium is ESS. In this case, farmer cooperatives tend to choose the “strict supervision”. The net income obtained when manufacturers adopt the “collaboration” strategy is less than the net income obtained without the “collaboration” strategy, then the manufacturers adopt the “non-collaboration” strategy. The net income obtained when manufacturers adopt the “collaboration” strategy means the difference between the reward distribution obtained due to the collaboration adding the additional income obtained from the collaborative farmer cooperatives and retailers and the collaboration input of the manufacturers. The net income obtained without the “collaboration” strategy means the difference between the “free-rider” income and the penalty amount. The net income obtained when retailers adopt the “collaboration” strategy is higher than the “free-rider” income without the “collaboration” strategy, then the retailers adopt the “collaboration” strategy. The net income obtained when retailers adopt the “collaboration” strategy means the difference between the reward distribution obtained due to the collaboration adding the additional income obtained from the collaborative farmer cooperatives and the collaboration input of the retailers. The evolution strategy is shown in Figure 6.
5. Numerical Simulation and Discussion
5.1. The Impact of Supervision Cost on Evolutionary Game
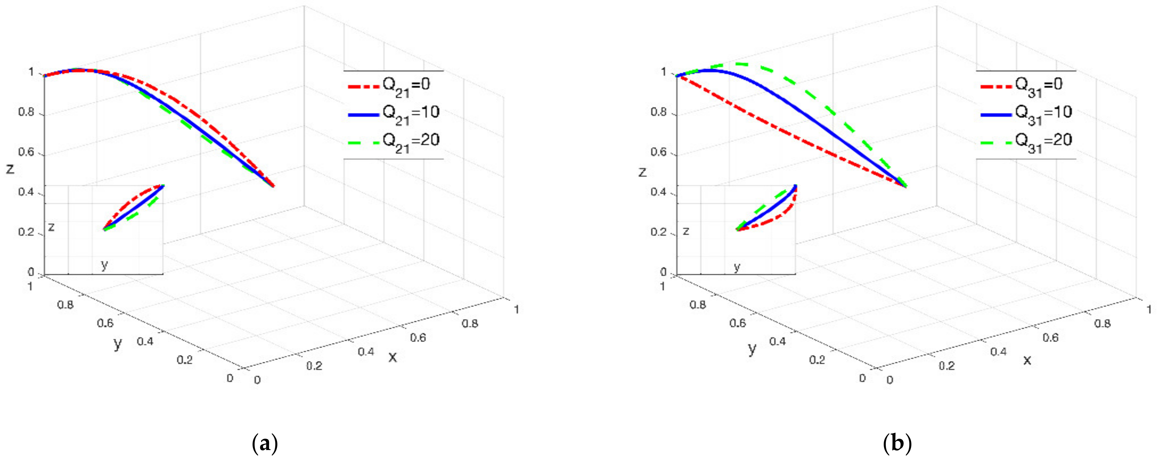
5.2. The Impact of Additional Income on Evolutionary Game
5.3. The Impact of “Free-Rider” Income on Evolutionary Game
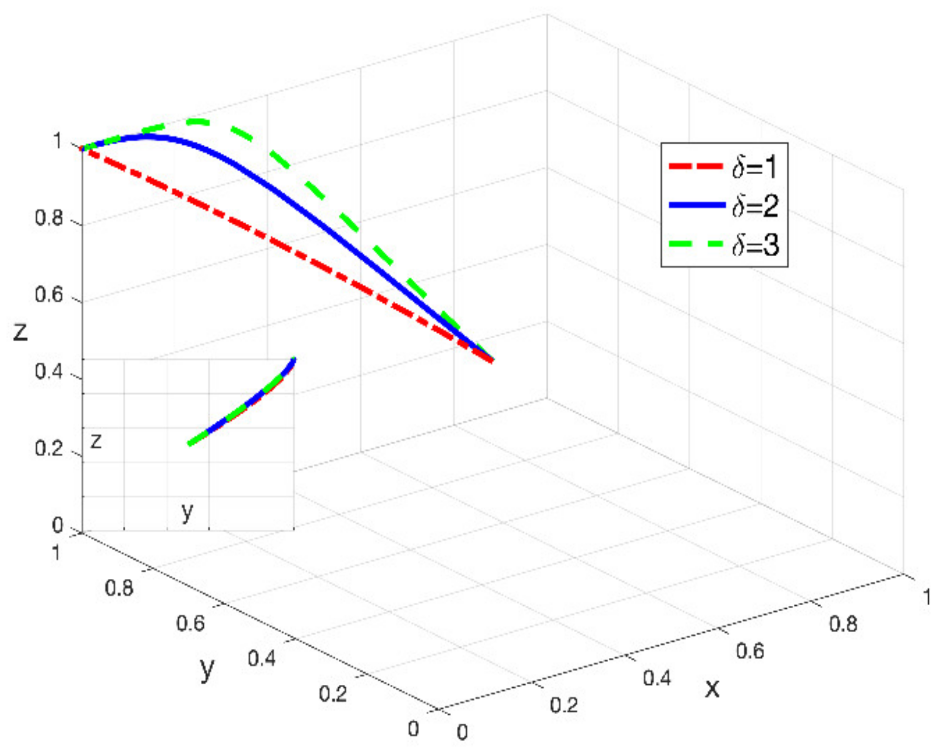
5.4. The Impact of Synergy Coefficient on Evolutionary Game
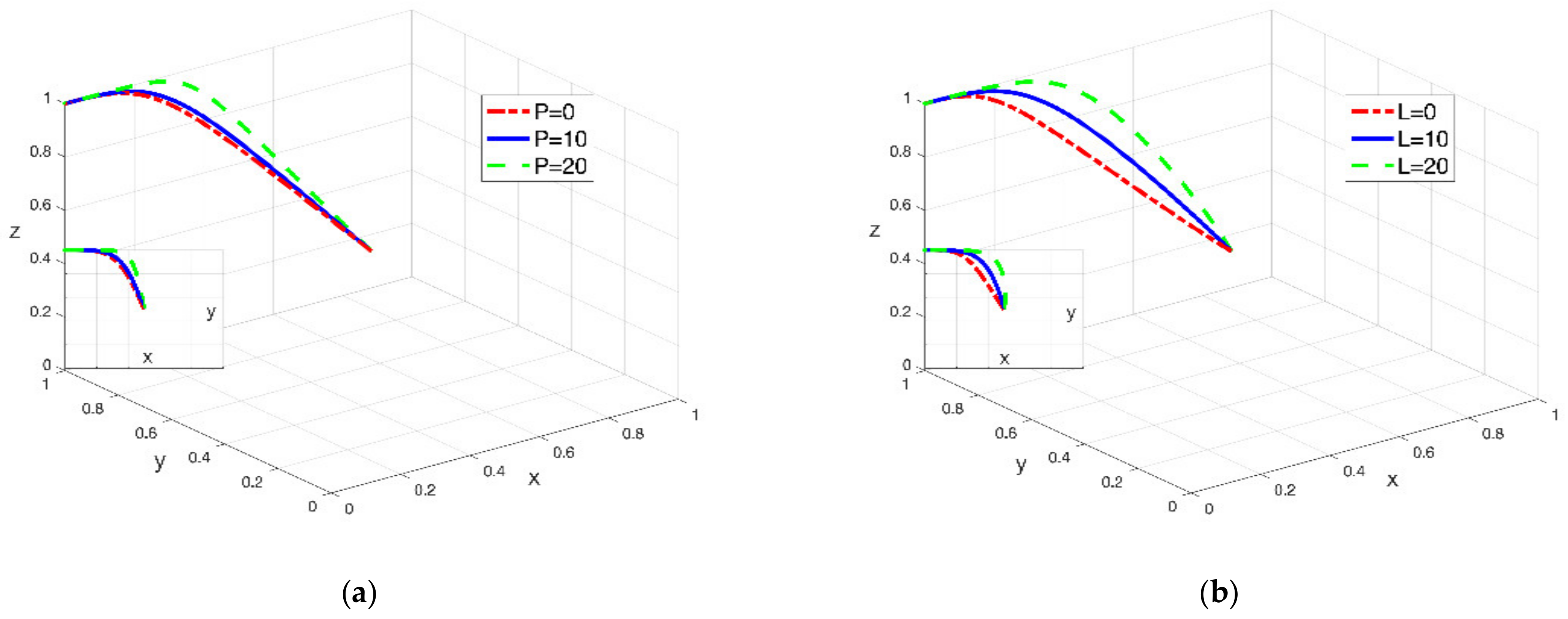
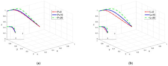
5.5. The Impact of Reward and Punishment Mechanism on Evolutionary Game
6. Conclusions and Enlightenment
7. Limitations and Future Research
Author Contributions
Funding
Institutional Review Board Statement
Informed Consent Statement
Data Availability Statement
Acknowledgments
Conflicts of Interest
References
- Thoo, A.C.; Huam, H.T.; Zuraidah, S. Green Supply Chain Management, Environmental Collaboration and Sustainability Performance. Procedia CIRP 2015, 26, 695–699. [Google Scholar]
- Rota, C.; Pugliese, P.; Hashem, S.; Zanasi, C. Assessing the level of collaboration in the egyptian organic and fair trade cotton chain. J. Clean. Prod. 2016, 170, 1665–1676. [Google Scholar] [CrossRef]
- Schggl, J.P.; Fritz, M.M.C.; Baumgartner, R.J. Toward supply chain-wide sustainability assessment: A conceptual framework and an aggregation method to assess supply chain performance. J. Clean. Prod. 2016, 131, 822–835. [Google Scholar] [CrossRef]
- Arora, A.; Arora, A.; Anyu, J.; McIntyre, J.R. Global Value Chains’ Disaggregation through Supply Chain Collaboration, Market Turbulence, and Performance Outcomes. Sustainability 2021, 13, 4151. [Google Scholar] [CrossRef]
- Serra, T.; Poli, E. Shadow prices of social capital in rural India, a nonparametric approach. Eur. J. Oper. Res. 2015, 240, 892–903. [Google Scholar] [CrossRef]
- Stefan, G.; Rüdiger, H.; Stefan, S. Sustainable supply chain management in “Base of the Pyramid” food projects—A path to triple bottom line approaches for multinationals? Int. Bus. Rev. 2013, 22, 784–799. [Google Scholar]
- Fayet, L.; Vermeulen, W.J.V. Supporting Smallholders to Access Sustainable Supply Chains: Lessons from the Indian Cotton Supply Chain. Sustain. Dev. 2014, 22, 289–310. [Google Scholar] [CrossRef]
- Touboulic, A.; Walker, H. Love me, love me not: A nuanced view on collaboration in sustainable supply chains. J. Purch. Supply Manag. 2015, 21, 178–191. [Google Scholar] [CrossRef]
- Hernandez, J.E.; Mortimer, M.; Panetto, H. Operations management and collaboration in agri-food supply chains. Prod. Plan. Control 2020, 32, 1163–1164. [Google Scholar] [CrossRef]
- Cao, M.; Zhang, Q.Y. Supply chain collaboration: Impact on collaborative advantage and firm performance. J. Oper. Manag. 2011, 29, 163–180. [Google Scholar] [CrossRef]
- Lozano, R. Collaboration as a pathway for sustainability. Sustain. Dev. 2007, 15, 370–381. [Google Scholar] [CrossRef]
- Perez-Mesa, J.C.; Piedra-Munoz, L.; Galdeano-Gomez, E.; Giagnocavo, C. Management Strategies and Collaborative Relationships for Sustainability in the Agrifood Supply Chain. Sustainability 2021, 13, 749. [Google Scholar] [CrossRef]
- Jraisat, L.; Gotsi, M. Drivers of information sharing and export performance in the jordanian agri-food export supply chain: A qualitative study. Int. Market. Rev. 2013, 30, 323–356. [Google Scholar] [CrossRef]
- Zhang, Z.; Xue, Y.; Li, J.; Gong, L.; Wang, L. Supply chain logistics information collaboration strategy based on evolutionary game theory. IEEE Access 2020, 8, 46102–46120. [Google Scholar]
- Stella, D.; Grammatoula, P.; George, S.; Samir, D. Does collaboration pay in agricultural supply chain? An empirical approach. Int. J. Prod. Res. 2018, 56, 4396–4417. [Google Scholar]
- Ding, H.; Zhao, Q.; An, Z.; Tang, O. Collaborative mechanism of a sustainable supply chain with environmental constraints and carbon caps. Int. J. Prod. Econ. 2016, 181, 191–207. [Google Scholar] [CrossRef]
- Whipple, J.M.; Dawn, R. Building supply chain collaboration: A typology of collaborative approaches. Int. J. Logist. Manag. 2007, 18, 174–196. [Google Scholar] [CrossRef]
- Leat, P.; Revoredo-Giha, C. Risk and resilience in agri-food supply chains: The case of the ASDA PorkLink supply chain in Scotland. Supply Chain Manag. 2013, 18, 219–231. [Google Scholar] [CrossRef]
- Umar, M.; Wilson, M. Supply Chain Resilience: Unleashing the Power of Collaboration in Disaster Management. Sustainability 2021, 13, 10573. [Google Scholar] [CrossRef]
- Allaoui, H.; Guo, Y.H.; Sarkis, J. Decision support for collaboration planning in sustainable supply chains. J. Clean. Prod. 2019, 229, 761–774. [Google Scholar] [CrossRef]
- Scholten, K.; Schilder, S. The role of collaboration in supply chain resilience. Supply Chain Manag. 2015, 20, 471–484. [Google Scholar] [CrossRef]
- Grekova, K.; Calantone, R.J.; Bremmers, H.J.; Trienekens, J.H.; Omta, S. How environmental collaboration with suppliers and customers influences firm performance: Evidence from dutch food and beverage processors. J. Clean. Prod. 2016, 112, 1861–1871. [Google Scholar] [CrossRef]
- Leon-Bravo, V.; Caniato, F.; Caridi, M.; Johnsen, T. Collaboration for Sustainability in the Food Supply Chain: A Multi-Stage Study in Italy. Sustainability 2017, 9, 1253. [Google Scholar] [CrossRef]
- Yan, B.; Chen, X.X.; Cai, C.Y.; Guan, S.Y. Supply chain coordination of fresh agricultural products based on consumer behavior. Comput. Oper. Res. 2020, 123, 105038. [Google Scholar] [CrossRef]
- Liu, J.; Li, C.; Li, S.Z. Agricultural Standardization Effect of Demonstration Cooperatives: An econometric Analysis Based on ESR Model. J. Agrotech. Econ. 2021; in press. (In Chinese). [Google Scholar] [CrossRef]
- Yang, H.; Liu, K.F. A Study on Place Branding Strategy of Characteristic Agricultural Products in Xinjiang Based on Brand Ecosystem. Ekoloji 2018, 27, 1021–1028. [Google Scholar]
- Wang, J.L.; Peng, X.; Du, Y.; Wang, F. A tripartite evolutionary game research on information sharing of the subjects of agricultural product supply chain with a farmer cooperative as the core enterprise. Manag. Decis. Econ. 2021, 43, 159–177. [Google Scholar] [CrossRef]
- Sambasivan, M.; Siew-Phaik, L.; Mohamed, Z.A.; Leong, Y.C. Factors influencing strategic alliance outcomes in a manufacturing supply chain: Role of alliance motives, interdependence, asset specificity and relational capital. Int. J. Prod. Econ. 2013, 141, 339–351. [Google Scholar] [CrossRef]
- Zi, W.C.; Zhou, J.Y.; Xu, H.L.; Li, G.D.; Lin, G. Preserving relational contract stability of fresh agricultural product supply chains. J. Ind. Manag. Optim. 2021, 17, 2505–2518. [Google Scholar] [CrossRef]
- Wang, L.; Luo, J.L. Vegetable supply chain integration: The case of a trinity cooperative in China. Int. Food Agribus. Manag. Rev. 2019, 22, 767–780. [Google Scholar] [CrossRef]
- Fu, S.L.; Zhan, Y.Z.; Ouyang, J.; Ding, Y.L.; Tan, K.H.; Fu, L.M. Power, supply chain integration and quality performance of agricultural products: Evidence from contract farming in China. Prod. Plan. Control 2020, 32, 1119–1135. [Google Scholar] [CrossRef]
- Fu, S.L.; Li, Z.W.; Wang, B.; Han, Z.J.; Huo, B.F. Cooperative behavior between companies and contract farmers in Chinese agricultural supply chains: Relational antecedents and consequences. Ind. Manag. Data Syst. 2018, 118, 1033–1051. [Google Scholar] [CrossRef]
- Heimeriks, K.H.; Schreiner, M. Relational quality, alliance capability, and alliance performance: An integrated framework. In Enhancing Competences for Competitive Advantage; Sanchez, R., Heene, A., Eds.; Emerald Group Publishing Limited: Bingley, UK, 2010; Volume 12, pp. 145–171. [Google Scholar]
- Fischer, C.; Reynolds, N. Collaborative Advantage, Relational Risks and Sustainable Relationships: A Literature Review and Definition. In Agri-Food Chain Relationships; Fischer, C., Hartmann, M., Eds.; CAB International: London, UK, 2010; pp. 74–89. [Google Scholar]
- Sun, Y.L.; Zhu, Z.Y.; Yang, H. Fairness Perception, Trust Perception, and Relationship Quality in Agricultural Supply Chains. J. Food Qual. 2021, 2021, 8817003. [Google Scholar] [CrossRef]
- Bezuidenhout, C.N.; Bodhanya, S.; Brenchley, L. An analysis of collaboration in a sugarcane production and processing supply chain. Br. Food J. 2012, 114, 880–895. [Google Scholar] [CrossRef]
- Dora, M. Collaboration in a circular economy: Learning from the farmers to reduce food waste. J. Enterp. Inf. Manag. 2019, 33, 769–789. [Google Scholar] [CrossRef]
- Shin, N.; Park, S.H.; Park, S. Partnership-Based Supply Chain Collaboration: Impact on Commitment, Innovation, and Firm Performance. Sustainability 2019, 11, 449. [Google Scholar] [CrossRef]
- Tabrizi, S.; Ghodsypour, S.H.; Ahmadi, A. Modelling three-echelon warm-water fish supply chain: A bi-level optimization approach under nash–cournot equilibrium. Appl. Soft. Comput. 2017, 71, 1035–1053. [Google Scholar] [CrossRef]
- Aggarwal, S.; Srivastava, M.K. Towards a grounded view of collaboration in Indian agri-food supply chains. Br. Food J. 2016, 118, 1085–1106. [Google Scholar] [CrossRef]
- Lozano, S.; Moreno, P.; Adenso-Díaz, B.; Algaba, E. Cooperative game theory approach to allocating benefits of horizontal cooperation. Eur. J. Oper. Res. 2013, 229, 444–452. [Google Scholar] [CrossRef]
- Fynes, B.; Voss, C.; Búrca, S.D. The impact of supply chain relationship quality on quality performance. Int. J. Prod. Econ. 2005, 96, 339–354. [Google Scholar] [CrossRef]
- Boer, H.; Gertsen, F.; Kaltoft, R.; Nielsen, J.S. Factors affecting the development of collaborative improvement with strategic suppliers. Prod. Plan. Control 2005, 16, 356–367. [Google Scholar] [CrossRef]
- Hausman, A.; Johnston, W.J. The impact of coercive and non-coercive forms of influence on trust, commitment, and compliance in supply chains. Ind. Mark. Manag. 2010, 39, 519–526. [Google Scholar] [CrossRef]
- Dania, W.; Xing, K.; Amer, Y. Collaboration behavioural factors for sustainable agri-food supply chains: A systematic review. J. Clean. Prod. 2018, 186, 851–864. [Google Scholar] [CrossRef]
- Chen, X.; Wang, X.; Zhou, M. Firms’ green R&D cooperation behaviour in a supply chain: Technological spillover, power and coordination. Int. J. Prod. Econ. 2019, 218, 118–134. [Google Scholar]
- Hollos, D.; Blome, C.; Kai, F. Does sustainable supplier co-operation affect performance? Examining implications for the triple bottom line. Int. J. Prod. Res. 2012, 50, 2968–2986. [Google Scholar] [CrossRef]
- Xie, J.P.; Lei, H.Y. Simulation study on the evolutionary game mechanism of collaborative innovation in supply chain enterprises and its influencing elements. J. Math. 2021, 2021, 8038672. [Google Scholar] [CrossRef]
- Shen, D.; Lai, K.K.; Leung, S.C.H.; Liang, L. Modelling and analysis of inventory replenishment for perishable agricultural products with buyer-seller collaboration. Int. J. Syst. Sci. 2011, 42, 1207–1217. [Google Scholar] [CrossRef]
- Chen, T.; Jiang, Y. Research on operating mechanism for creative products supply chain based on game theory. Discret. Contin. Dyn. Syst. Ser. S 2017, 8, 1103–1112. [Google Scholar] [CrossRef][Green Version]
- Pero, M.; Moretto, A.; Bottani, E.; Bigliardi, B. Environmental Collaboration for Sustainability in the Construction Industry: An Exploratory Study in Italy. Sustainability 2017, 9, 125. [Google Scholar] [CrossRef]
- Barari, S.; Agarwal, G.; Zhang, W.J.; Mahanty, B.; Tiwari, M.K. A decision framework for the analysis of green supply chain contracts: An evolutionary game approach. Expert Syst. Appl. 2012, 39, 2965–2976. [Google Scholar] [CrossRef]
- Helbing, D. Evolutionary Game Theory. In Quantitative Sociodynamics; Springer: Dordrecht, The Netherlands, 1995; Volume 31, pp. 227–254. [Google Scholar]
- Ming, Y.; Grabot, B.; Houé, R. A typology of the situations of cooperation in supply chains. Comput. Ind. Eng. 2014, 67, 56–71. [Google Scholar] [CrossRef]
- Long, Q.; Tao, X.; Shi, Y.; Zhang, S. Evolutionary game analysis among three green-sensitive parties in green supply chains. IEEE Trans. Evol. Comput. 2021, 25, 508–523. [Google Scholar] [CrossRef]
- Esmaeili, M.; Allameh, G.; Tajvidi, T. Using game theory for analysing pricing models in closed-loop supply chain from short- and long-term perspectives. Int. J. Prod. Res. 2016, 54, 2152–2169. [Google Scholar] [CrossRef]
- Friedman, D. Evolutionary game in economics. Econometrica 1991, 59, 637–666. [Google Scholar] [CrossRef]
- Sun, S.M.; Yang, H.; Yang, G.H.; Pi, J.X. Evolutionary games and dynamics in public goods supply with repetitive actions. Mathematics 2021, 9, 1726. [Google Scholar] [CrossRef]
- Hao, C.C.; Du, Q.; Huang, Y.D.; Shao, L.; Yan, Y.Q. Evolutionary Game Analysis on Knowledge-Sharing Behavior in the Construction Supply Chain. Sustainability 2019, 9, 5319. [Google Scholar] [CrossRef]
- Li, B.Z.; Wang, X.; Su, Y.; Luo, X.F. Evolutionary Game Research on Collaborative Innovation of Supply Chain Enterprises from Different Strategic Emerging Industries in China. Chin. J. Manag. Sci. 2021, 29, 136–147. (In Chinese) [Google Scholar]
- Ma, Z.Q.; Chen, J.J.; Tian, G.; Gong, Y.; Guo, B.H.; Cheng, F.X. Regulations on the corporate social irresponsibility in the supply chain under the multiparty game: Taking China’s organic food supply chain as an example. J. Clean. Prod. 2021, 317, 128459. [Google Scholar] [CrossRef]
- Zhang, H.; Su, X. The Applications and Complexity Analysis Based on Supply Chain Enterprises’ Green Behaviors under Evolutionary Game Framework. Sustainability 2021, 13, 10987. [Google Scholar] [CrossRef]












| Farmer Cooperative | Manufacturer | Retailer | |
|---|---|---|---|
| Collaboration (y) | Non-Collaboration (1 − y) | ||
| Strict supervision (x) | , | Collaboration (z) | |
| , , | , , | Non-Collaboration (1 − z) | |
| Loose supervision (1 − x) | ), ), ) | , , | Collaboration (z) | 
| , , | , , | Non-Collaboration (1 − z) | |
| Equilibrium Points | Eigenvalues | ||
|---|---|---|---|
| Publisher’s Note: MDPI stays neutral with regard to jurisdictional claims in published maps and institutional affiliations. | 
© 2022 by the authors. Licensee MDPI, Basel, Switzerland. This article is an open access article distributed under the terms and conditions of the Creative Commons Attribution (CC BY) license (https://creativecommons.org/licenses/by/4.0/).
Share and Cite
Huo, Y.; Wang, J.; Guo, X.; Xu, Y. The Collaboration Mechanism of Agricultural Product Supply Chain Dominated by Farmer Cooperatives. Sustainability 2022, 14, 5824. https://doi.org/10.3390/su14105824
Huo Y, Wang J, Guo X, Xu Y. The Collaboration Mechanism of Agricultural Product Supply Chain Dominated by Farmer Cooperatives. Sustainability. 2022; 14(10):5824. https://doi.org/10.3390/su14105824
Chicago/Turabian StyleHuo, Yujia, Jiali Wang, Xiangyu Guo, and Yang Xu. 2022. "The Collaboration Mechanism of Agricultural Product Supply Chain Dominated by Farmer Cooperatives" Sustainability 14, no. 10: 5824. https://doi.org/10.3390/su14105824
APA StyleHuo, Y., Wang, J., Guo, X., & Xu, Y. (2022). The Collaboration Mechanism of Agricultural Product Supply Chain Dominated by Farmer Cooperatives. Sustainability, 14(10), 5824. https://doi.org/10.3390/su14105824
 
         
                                                

 
       