Ameliorating Effects of Soil Aggregate Promoter on the Physicochemical Properties of Solonetzes in the Songnen Plain of Northeast China
Abstract
:1. Introduction
2. Materials and Methods
2.1. Experimental Site
2.2. Experimental Design
2.3. Measurement Indexes and Methods
2.3.1. pH Test
2.3.2. EC Test
2.3.3. Laser Particle Size Analysis
2.4. Data Statistical Analysis
3. Results
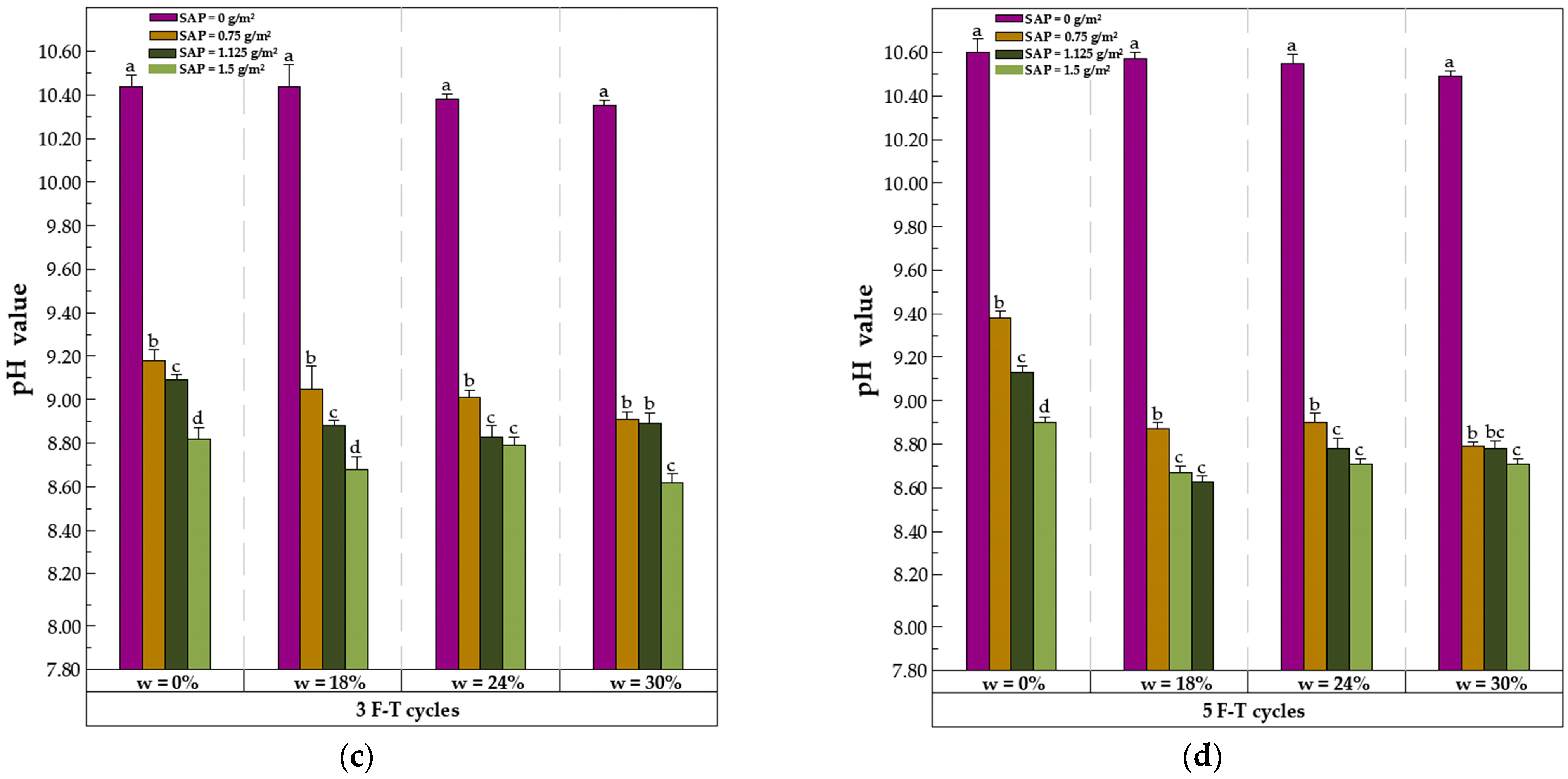
3.1. pH and EC in Soil
3.2. Soil Particle Size Analysis
4. Discussion
5. Conclusions
Author Contributions
Funding
Institutional Review Board Statement
Informed Consent Statement
Data Availability Statement
Acknowledgments
Conflicts of Interest
References
- Qadir, M.; Noble, A.D.; Schubert, S.; Thomas, R.J.; Arslan, A. Sodicity-induced land degradation and its sustainable management: Problems and prospects. Land Degrad. Dev. 2006, 17, 661–676. [Google Scholar] [CrossRef]
- Xia, J.; Ren, J.; Zhang, S.; Wang, Y.; Fang, Y. Forest and grass composite patterns improve the soil quality in the coastal saline-alkali land of the Yellow River Delta, China. Geoderma 2019, 349, 25–35. [Google Scholar] [CrossRef]
- Bhattacharyya, R.; Ghosh, B.N.; Mishra, P.K.; Mandal, B.; Rao, C.S.; Sarkar, D.; Das, K.; Anil, K.S.; Lalitha, M.; Hati, K.M.; et al. Soil Degradation in India: Challenges and Potential Solutions. Sustainability 2015, 7, 3528–3570. [Google Scholar] [CrossRef] [Green Version]
- Vorob’eva, L.A.; Pankova, E.I. Saline-alkali soils of Russia. Eurasian Soil Sci. 2008, 41, 457–470. [Google Scholar] [CrossRef]
- Mao, W.; Kang, S.; Wan, Y.; Sun, Y.; Li, X.; Wang, Y. Yellow River Sediment as a Soil Amendment for Amelioration of Saline Land in the Yellow River Delta. Land Degrad. Dev. 2016, 27, 1595–1602. [Google Scholar] [CrossRef]
- Semendyaeva, N.V. Changes in some properties of solonetzes of the Baraba Lowland 20–25 years after gypsum application. Eurasian Soil Sci. 2009, 42, 902–908. [Google Scholar] [CrossRef]
- Wang, C.; Wu, Z.; Shi, Y.; Wang, R. The Resource of Saline Soil in the Northeast China. Chin. J. Soil Sci. 2004, 35, 643–647. [Google Scholar]
- Wang, C.; Jin, S.; Shi, H. Area change of the frozen ground in China in the next 50 years. J. Glaciol. Geocryol. 2014, 36, 1–8. [Google Scholar]
- Zhao, H.; Wei, X.; He, Y.; Wang, T. Effects of Freeze–thaw on the Physical and Chemical Properties of Saline and Alkali Soil at Shenzhou City, Hebei Province. J. Soil Water Conserv. 2018, 32, 78–83. [Google Scholar]
- Gangwar, R.K.; Makádi, M.; Demeter, I.; Táncsics, A.; Cserháti, M.; Várbíró, G.; Singh, J.; Csorba, Á.; Fuchs, M.; Michéli, E.; et al. Comparing Soil Chemical and Biological Properties of Salt Affected Soils under Different Land Use Practices in Hungary and India. Eurasian Soil Sci. 2021, 54, 1007–1018. [Google Scholar] [CrossRef]
- Karlen, D.L.; Rice, C.W. Soil Degradation: Will Humankind Ever Learn? Sustainability 2015, 7, 12490–12501. [Google Scholar] [CrossRef] [Green Version]
- Zhou, M.; Liu, X.; Meng, Q.; Zeng, X.; Zhang, J.; Li, D.; Wang, J.; Du, W.; Ma, X. Additional application of aluminum sulfate with different fertilizers ameliorates saline-sodic soil of Songnen Plain in Northeast China. J. Soils Sediments 2019, 19, 3521–3533. [Google Scholar] [CrossRef]
- Wang, Z.; Wang, Y.; Chen, Y.; Feng, W. Effects of Applying Flue Gas Desulfurization Gypsum (FGDG) on Carbon Sequestration in Saline-sodic soils. J. Soil Water Conserv. 2021, 35, 353–360. [Google Scholar]
- Sakai, Y.; Shimizu, C.; Murata, H.; Seto, H.; Fukushima, R.; Koga, T.; Wang, C. Changes in Soil Physicochemical Properties and Maize Production Following Improvement of Salt-Affected Soils Using Coal Bio-Briquette Ash in Northeast China. Agronomy 2020, 10, 348. [Google Scholar] [CrossRef] [Green Version]
- Wang, L.; Chen, M.; Zhang, Q.; Zhou, H.; Zheng, P.; Jiang, S. Effects of Desulfurised Gypsum form Coal Power Station on Improvement of Saline-alkali Soil. Chin. Agric. Sci. Bull. 2011, 27, 241–245. [Google Scholar]
- Zhang, P.; Yang, F.; Zhang, H.; Liu, L.; Liu, X.; Chen, J.; Wang, X.; Wang, Y.; Li, C. Beneficial Effects of Biochar-Based Organic Fertilizer on Nitrogen Assimilation, Antioxidant Capacities, and Photosynthesis of Sugar Beet (Beta vulgaris L.) under Saline-Alkaline Stress. Agronomy 2020, 10, 1562. [Google Scholar] [CrossRef]
- Zhao, W.; Zhou, Q.; Tian, Z.; Cui, Y.; Liang, Y.; Wang, H. Apply biochar to ameliorate soda saline-alkali land, improve soil function and increase corn nutrient availability in the Songnen Plain. Sci. Total Environ. 2020, 722, 137428. [Google Scholar] [CrossRef]
- Jiang, M.; Li, C.; Gao, W.; Cai, K.; Tang, Y.; Cheng, J. Comparison of long-term effects of biochar application on soil organic carbon and its fractions in two ecological sites in karst regions. Geoderma Reg. 2022, 28, e00477. [Google Scholar] [CrossRef]
- Wang, S.; Sun, L.; Ling, N.; Zhu, C.; Chi, F.; Li, W.; Hao, X.; Zhang, W.; Bian, J.; Chen, L.; et al. Exploring Soil Factors Determining Composition and Structure of the Bacterial Communities in Saline-Alkali Soils of Songnen Plain. Front. Microbiol 2019, 10, 2902. [Google Scholar] [CrossRef] [Green Version]
- Xiang, J.; Liu, Q.; Shen, Y.; Wang, J.; Zhang, X.; Wang, P.; Yin, K. Variation of bacterial communities in the saline-alkaline soil of meadow on Songnen Plain. Agric. Res. Arid. Areas 2020, 38, 62–68. [Google Scholar]
- Fu, J.; Xiao, Y.; Liu, Z.; Zhang, Y.; Wang, Y.; Yang, K. Trichoderma asperellum improves soil microenvironment in different growth stages and yield of maize in saline-alkaline soil of the Songnen Plain. Plant Soil Environ. 2020, 66, 639–647. [Google Scholar] [CrossRef]
- Pang, N.; Zhang, X.; Liu, J.; Hu, Q.; Zhang, J. Study of compound microbial agents in the improvement of soda saline-alkali soil. J. Jilin Agric. Univ. 2021, 07, 1–12. [Google Scholar]
- Bao, S.; Wang, Q.; Bao, X.; Li, M.; Wang, Z. Biological treatment of saline-alkali soil by Sulfur-oxidizing bacteria. Bioengineered 2016, 7, 372–375. [Google Scholar] [CrossRef] [PubMed] [Green Version]
- Yang, H.; Leng, X.; Shi, C. Research progress on bacterial communities in saline-alkali soil. Environ. Sci. Technol. 2021, 44, 230–236. [Google Scholar]
- Li, Z.; Zhang, H.; Guo, X.; Fan, R.; Ma, K.; Liu, J.; Yang, F. Effects of Different Improvement Measures on Soil Structure and Element Composition, Photosynthesis and Growth of Poplar Leaves in Severe Saline-alkali Soils of Songnen Plain. Bull. Bot. Res. 2019, 39, 733–739. [Google Scholar]
- Lal, R. Restoring Soil Quality to Mitigate Soil Degradation. Sustainability 2015, 7, 5875–5895. [Google Scholar] [CrossRef] [Green Version]
- Huang, Z.; Sun, P.; Zhong, J.; Chen, Y. Application of super absorbent polymer in water and fertilizer conversation of soil and pollution management. Trans. Chin. Soc. Agric. Eng. 2016, 32, 125–131. [Google Scholar]
- An, M.; Wei, C.; Wang, K.; Fan, H.; Wang, X.; Chang, D. Effects of polymer modifiers on the bacterial communities in cadmium-contaminated alkaline soil. Appl. Soil Ecol. 2021, 157, 103777. [Google Scholar] [CrossRef]
- Tianhong, N.; Xing, Y.; Yongchun, L.; Hailong, W. Research Advances on Improvement of Soil Physical Properties by Application of Polymer Materials. Chin. J. Soil Sci. 2020, 51, 1504–1512. [Google Scholar]
- Wang, Z.; Liu, Z.; Zhao, J. Effect of Soil Conditioner MDM on Improuing Meadow Alkali Soils in Songnen Plain. J. Soil Water Conserv. 2004, 18, 144–146. [Google Scholar]
- Liu, S.; Kang, Y.; Wan, S.; Wang, Z.; Liang, Z.; Sun, X. Water and salt regulation and its effects on Leymus chinensis growth under drip irrigation in saline-sodic soils of the Songnen Plain. Agric. Water Manag. 2011, 98, 1469–1476. [Google Scholar] [CrossRef]
- Li, X.; Zhang, L.; Jiang, S.; Xu, Y. Analysis of Variation of Agricultural Climate Resources in Songnen Plain under RCP4.5 and RCP8.5 Scenarios in Next 30 Years. Chin. J. Agrometeorol. 2021, 42, 811–822. [Google Scholar]
- Meng, H.; Bao, X.; Wang, M. Effects of Different Treatment Measures on the Composition and Carbon and Nitrogen of Saline-alkli Soil Aggregates. North. Hortic. 2021, 2021, 88–93. [Google Scholar]
- Pankova, E.I.; Gerasimova, M.I.; Korolyuk, T.V. Salt-Affected Soils in Russian, American, and International Soil Classification Systems. Eurasian Soil Sci. 2018, 51, 1297–1308. [Google Scholar] [CrossRef]
- Wei, H.; Liu, Y.; Xiang, H.; Zhang, J.; Li, S.; Yang, J. Soil pH Responses to Simulated Acid Rain Leaching in Three Agricultural Soils. Sustainability 2020, 12, 280. [Google Scholar] [CrossRef] [Green Version]
- Van Mansvelt, J.D.; Struik, P.C.; Bos, A.; Daub, W.; Sprangers, D.; van den Berg, M.; Vingerhoets, M.; Zoeteman, K. Changing Ground: Handling Tensions between Production Ethics and Environmental Ethics of Agricultural Soils. Sustainability 2021, 13, 13291. [Google Scholar] [CrossRef]
- Xiao, F.; Wang, Y.; Wang, H.; Zhao, L.; Zhao, X.; Sui, B. Study on the Improvement Effect of Different Amendments and Combinations on Soda Saline-alkali Soil. J. Jilin Agric. Univ. 2020, 9, 1–7. [Google Scholar]
- Cao, Y.; Yan, X.; Luo, H.; Jia, Z.; Jiang, X. Nitrification Activity and Microbial Community Structure in Purple Soils with Different pH. Acta Pedol. Sin. 2018, 55, 194–202. [Google Scholar]
- Zuo, Y.; Meng, F.; Li, T.; Fu, Q.; Liu, D.; Hou, R.; Li, Q.; Li, M. Effect of biochar application on freezing-thawing deformation of farmland soil during freeze–thaw cycling. Geoderma 2022, 405, 115510. [Google Scholar] [CrossRef]
- Temiz, C.; Cayci, G. The effects of gypsum and mulch applications on reclamation parameters and physical properties of an alkali soil. Environ. Monit Assess 2018, 190, 347. [Google Scholar] [CrossRef]
- Liu, J.; Zhang, W.; Shen, J.; Qiu, H. The Combined Effects of Water Management and Biochar Amendment on Soil Water Content and pH of Paddy Soil. J. Irrig. Drain. 2021, 40, 44–50. [Google Scholar]
- Yang, H.; Xu, C.; Sai, M.; Cao, J.; Cao, L.; Zhang, A.; Liu, H. Effects of land use on soil moisture, pH and electrical conductivity. Acta Agric. Zhejiangensis 2016, 28, 1922–1927. [Google Scholar]
- Liang, T.; Zhao, Z.; Wang, B.; Zhang, S.; Li, Y.; Zhang, Y.; Yin, Q. Effects of Nano Carbon Sols (NCS) on pH and Nutrient Contents of Alkaline Soil. Soils 2017, 49, 958–962. [Google Scholar]
- Li, X.; Kang, Y. Agricultural utilization and vegetation establishment on saline-sodic soils using a water–salt regulation method for scheduled drip irrigation. Agric. Water Manag. 2020, 231, 105995. [Google Scholar] [CrossRef]
- Chu, L.; Kang, Y.; Wan, S. Effects of water application intensity of microsprinkler irrigation on water and salt environment and crop growth in coastal saline soils. J. Integr. Agric. 2015, 14, 2077–2089. [Google Scholar] [CrossRef]
- Zhao, Y.; Zhang, W.; Wang, S.; Liu, J.; Li, Y.; Zhuo, Y. Effects of soil moisture on the reclamation of sodic soil by flue gas desulfurization gypsum. Geoderma 2020, 375, 114485. [Google Scholar] [CrossRef]
- Dong, S.; Wan, S.; Kang, Y.; Li, X. Prospects of using drip irrigation for ecological conservation and reclaiming highly saline soils at the edge of Yinchuan Plain. Agric. Water Manag. 2020, 239, 106255. [Google Scholar] [CrossRef]
- LV, G.; Yuan, Q.; Liu, X. Research on the Influencing Factors of Soil Electrical Conductivity in Saline Soil. China Rural. Water Hydropower 2020, 2020, 118–128. [Google Scholar]
- Zhang, X.; Huang, B.; Liang, Z.; Zhao, Y.; Sun, W.; Hu, W. Study on Salinization Characteristics of Surface Soil in Western Songnen Plain. Soils 2013, 45, 332–338. [Google Scholar]
- Sun, Y. Experimental Survey for the Effects of Soil Water Content and Soil Salinity on Soil Electrical Conductivity. J. China Agric. Univ. 2000, 5, 39–41. [Google Scholar]
- Zhou, K.; Wang, L.S.; Cheng, D.J.; Qi, M. Effect of Super Absorbent Polymers on Soil Moisture Transport and Water Suction Changes. Water Sav. Irrig. 2021, 2021, 52–57. [Google Scholar]
- Chen, J.; Wang, H.; Ma, R.; Hu, G.; Fu, W.; Zhuge, Y. Research Progress on Improvement of Saline Soil by Organic and Inorganic Materials. Chin. J. Soil Sci. 2020, 51, 1255–1260. [Google Scholar]
- Vaz, C.M.P.; Ferreira, E.J.; Posadas, A.D. Evaluation of models for fitting soil particle-size distribution using UNSODA and a Brazilian dataset. Geoderma Reg. 2020, 21, e00273. [Google Scholar] [CrossRef]
- Sun, Y.; Zhou, L.; Meng, Q.; Zhao, J.; Ma, X. Effects of long-term manure application on distribution of soil water-stable aggregated organic carbon and nitrogen in meadow alkaline soils. Soil Fertil. Sci. China 2014, 1, 6–10+23. [Google Scholar]
- Zhang, Z.; Ma, W.; Feng, W.; Xiao, D.; Hou, X. Reconstruction of Soil Particle Composition during Freeze–Thaw Cycling: A Review. Pedosphere 2016, 26, 167–179. [Google Scholar] [CrossRef]
- Wang, T.; Xu, S.; Zhao, M.-Y.; Li, H.; Kou, D.; Fang, J.-Y.; Hu, H.-F. Allocation of mass and stability of soil aggregate in different types of Nei Mongol grasslands. Chin. J. Plant Ecol. 2017, 41, 1168–1176. [Google Scholar]
- Rahman, M.M.; Kamal, M.Z.U.; Ranamukhaarachchi, S.; Alam, M.S.; Alam, M.K.; Khan, M.A.R.; Islam, M.M.; Alam, M.A.; Jiban, S.I.; Al Mamun, M.A.; et al. Effects of Organic Amendments on Soil Aggregate Stability, Carbon Sequestration, and Energy Use Efficiency in Wetland Paddy Cultivation. Sustainability 2022, 14, 4475. [Google Scholar] [CrossRef]





| Property | Value | Property | Value |
|---|---|---|---|
| Bulk density (g/cm3) | 1.4604 | pH | 10.34 |
| Maximum dry density (g/cm3) | 1.3083 | EC (mS/cm) | 3.086 |
| Minimum dry density (g/cm3) | 1.0755 | CO32− (mmol/kg) | 24.80 |
| Natural moisture content (%) | 23.89 | HCO3− (mmol/kg) | 13.60 |
| Saturation capacity (%) | 67.33 | Cl− (mmol/kg) | 6.34 |
| Field capacity (%) | 35.83 | Na+ (mmol/kg) | 42.48 |
| Liquid limit (%) | 42.0 | Ca2+ (mmol/kg) | 6.11 |
| Plastic limit (%) | 19.0 | K+ (mmol/kg) | 5.95 |
| Plasticity index (PI) | 23.0 | Mg2+ (mmol/kg) | 4.32 |
| Optimum moisture content | 17.4 |
| SAP (g/m2) (S) | Initial Moisture Content (W) | Freeze–Thaw Cycles (T) |
|---|---|---|
| 0 (S0) | 0 (W0) | 0 (T0) |
| 0.75 (S1) | 18% (W1) | 1 (T1) |
| 1.125 (S2) | 24% (W2) | 3 (T3) |
| 1.500 (S3) | 30% (W3) | 5 (T5) |
| Factor | Cycle Times | Initial Moisture Content | SAP | pH |
|---|---|---|---|---|
| Cycle times | 1 | |||
| Initial moisture content | 0 | 1 | ||
| SAP | 0 | 0 | 1 | |
| pH | 0.045 | −0.115 | −0.928 ** | 1 |
| Factor | Cycle Time | Initial Moisture Content | SAP | EC |
|---|---|---|---|---|
| Cycle time | 1 | |||
| Initial moisture content | 0 | 1 | ||
| SAP | 0 | 0 | 1 | |
| EC | 0.276 ** | 0.201 ** | −0.525 ** | 1 |
| Treatment | Particle Size Range (mm) | |||||
|---|---|---|---|---|---|---|
| <0.1 | 0.1–0.25 | 0.25–1 | >1 | <0.25 | >0.25 | |
| S0T0 | 61.04 ± 0.56 a | 18.03 ± 0.08 a | 20.89 ± 0.70 a | 0.04 ± 0.08 a | 79.07 ± 0.63 a | 20.93 ± 0.63 a |
| S1T0 | 62.06 ± 0.61 b | 13.09 ± 0.26 b | 24.15 ± 0.51 b | 0.69 ± 0.14 b | 75.15 ± 0.65 b | 24.84 ± 0.65 b |
| S2T0 | 51.86 ± 0.13 c | 14.28 ± 2.64 b | 33.60 ± 2.49 c | 0.25 ± 0.28 a | 66.14 ± 2.77 c | 33.86 ± 2.77 c |
| S3T0 | 51.03 ± 0.07 c | 6.46 ± 0.09 c | 41.60 ± 0.25 d | 0.91 ± 0.21 b | 57.49 ± 0.09 d | 42.51 ± 0.09 d |
| S0T1 | 73.96 ± 0.16 a | 15.29 ± 0.09 a | 10.68 ± 0.08 a | 0.06 ± 0.04 a | 89.26 ± 0.11 a | 10.74 ± 0.10 a |
| S1T1 | 76.61 ± 0.83 b | 10.85 ± 0.81 b | 12.31 ± 0.09 b | 0.22 ± 0.02 a | 87.46 ± 0.11 a | 12.54 ± 0.11 a |
| S2T1 | 77.73 ± 1.97 b | 9.94 ± 1.70 b | 8.93 ± 0.81 c | 3.39 ± 0.44 b | 87.67 ± 0.47 a | 12.33 ± 0.48 a |
| S3T1 | 66.18 ± 1.32 c | 10.59 ± 0.71 b | 21.64 ± 0.49 d | 1.58 ± 2.04 ab | 76.77 ± 1.91 b | 23.22 ± 1.92 b |
| S0T2 | 85.01 ± 0.77 a | 7.98 ± 0.74 a | 6.95 ± 0.10 a | 0.07 ± 0.12 a | 92.98 ± 0.08 a | 7.02 ± 0.08 a |
| S1T2 | 72.99 ± 0.42 b | 15.30 ± 0.34 b | 11.57 ± 0.23 b | 0.13 ± 0.11 a | 88.29 ± 0.33 b | 11.71 ± 0.33 b |
| S2T2 | 71.16 ± 0.95 c | 14.83 ± 0.84 bc | 13.59 ± 0.10 c | 0.41 ± 0.03 b | 85.99 ± 0.11 c | 14.01 ± 0.11 c |
| S3T2 | 68.03 ± 0.44 d | 13.64 ± 0.54 c | 18.08 ± 0.42 d | 0.25 ± 0.16 ab | 81.67 ± 0.36 d | 18.29 ± 0.39 d |
| S0T3 | 90.80 ± 0.99 a | 8.46 ± 0.93 a | 0.73 ± 0.25 a | 0.00 ± 0.00 a | 99.26 ± 0.24 a | 0.73 ± 0.25 a |
| S1T3 | 71.55 ± 3.86 b | 16.44 ± 0.55 b | 10.40 ± 3.43 b | 1.60 ± 1.05 bc | 87.99 ± 4.36 b | 12.00 ± 4.35 b |
| S2T3 | 74.57 ± 1.17 b | 6.91 ± 0.61 c | 17.88 ± 0.59 c | 0.65 ± 0.13 ab | 81.48 ± 0.73 c | 18.35 ± 1.00 c |
| S3T3 | 76.16 ± 2.88 b | 7.10 ± 0.05 c | 14.29 ± 2.69 bc | 2.45 ± 0.51 c | 83.26 ± 2.90 bc | 16.74 ± 2.90 bc |
Publisher’s Note: MDPI stays neutral with regard to jurisdictional claims in published maps and institutional affiliations. |
© 2022 by the authors. Licensee MDPI, Basel, Switzerland. This article is an open access article distributed under the terms and conditions of the Creative Commons Attribution (CC BY) license (https://creativecommons.org/licenses/by/4.0/).
Share and Cite
Fu, Q.; Meng, F.; Zhang, Y.; Wang, Z.; Li, T.; Hou, R. Ameliorating Effects of Soil Aggregate Promoter on the Physicochemical Properties of Solonetzes in the Songnen Plain of Northeast China. Sustainability 2022, 14, 5747. https://doi.org/10.3390/su14105747
Fu Q, Meng F, Zhang Y, Wang Z, Li T, Hou R. Ameliorating Effects of Soil Aggregate Promoter on the Physicochemical Properties of Solonetzes in the Songnen Plain of Northeast China. Sustainability. 2022; 14(10):5747. https://doi.org/10.3390/su14105747
Chicago/Turabian StyleFu, Qiyang, Fanxiang Meng, Yuan Zhang, Zongliang Wang, Tianxiao Li, and Renjie Hou. 2022. "Ameliorating Effects of Soil Aggregate Promoter on the Physicochemical Properties of Solonetzes in the Songnen Plain of Northeast China" Sustainability 14, no. 10: 5747. https://doi.org/10.3390/su14105747
APA StyleFu, Q., Meng, F., Zhang, Y., Wang, Z., Li, T., & Hou, R. (2022). Ameliorating Effects of Soil Aggregate Promoter on the Physicochemical Properties of Solonetzes in the Songnen Plain of Northeast China. Sustainability, 14(10), 5747. https://doi.org/10.3390/su14105747

