Use of Insulation Based on Nanomaterials to Improve Energy Efficiency of Residential Buildings in a Hot Desert Climate
Abstract
1. Introduction
2. Materials and Methods
2.1. Study Area
2.2. The Model Definition
2.3. External Walls and Glass Specifications
2.4. Weather Data File
2.5. The Simulation Procedures
2.6. Electric Energy Prices
3. Results and Discussion
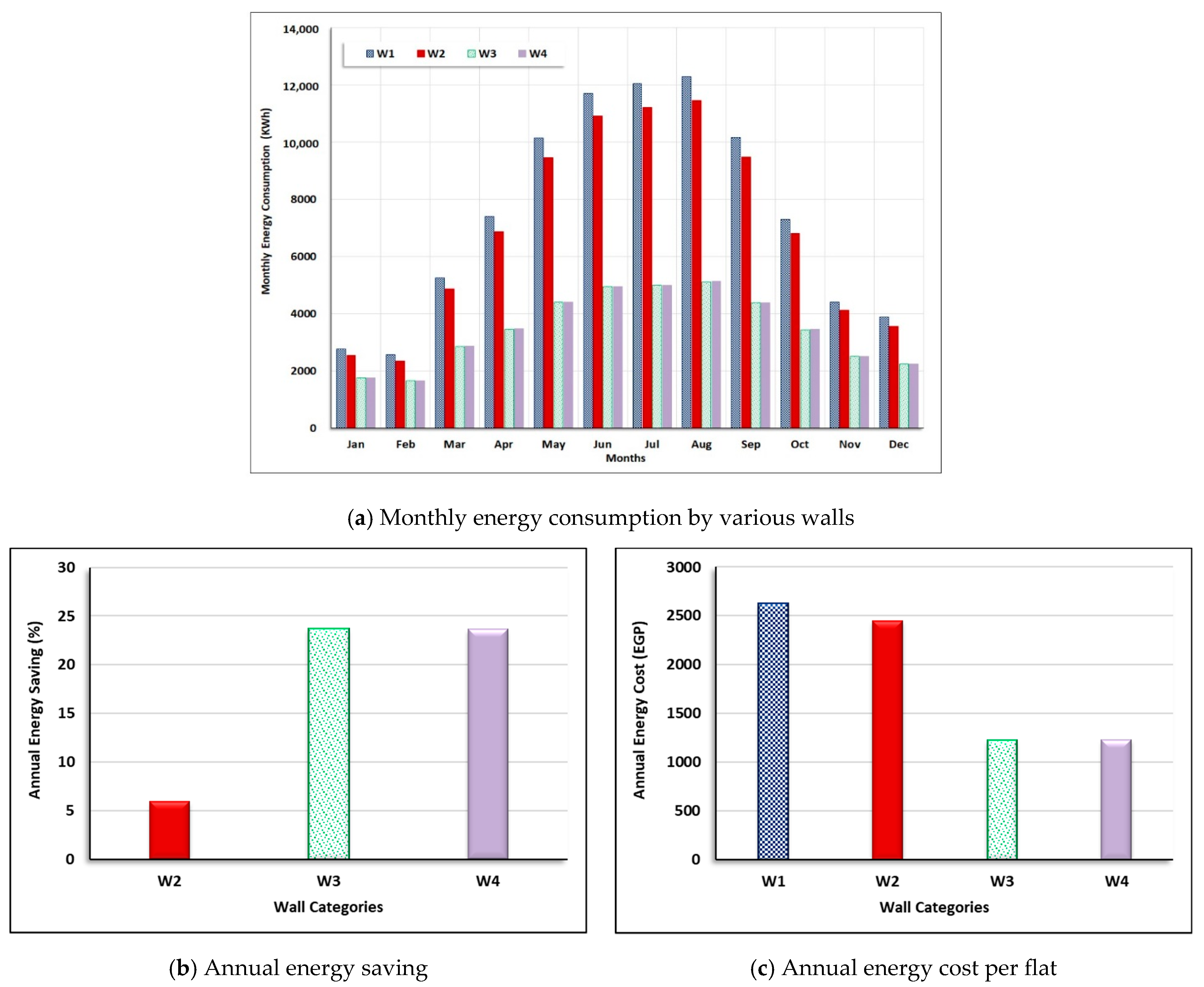
3.1. External Wall
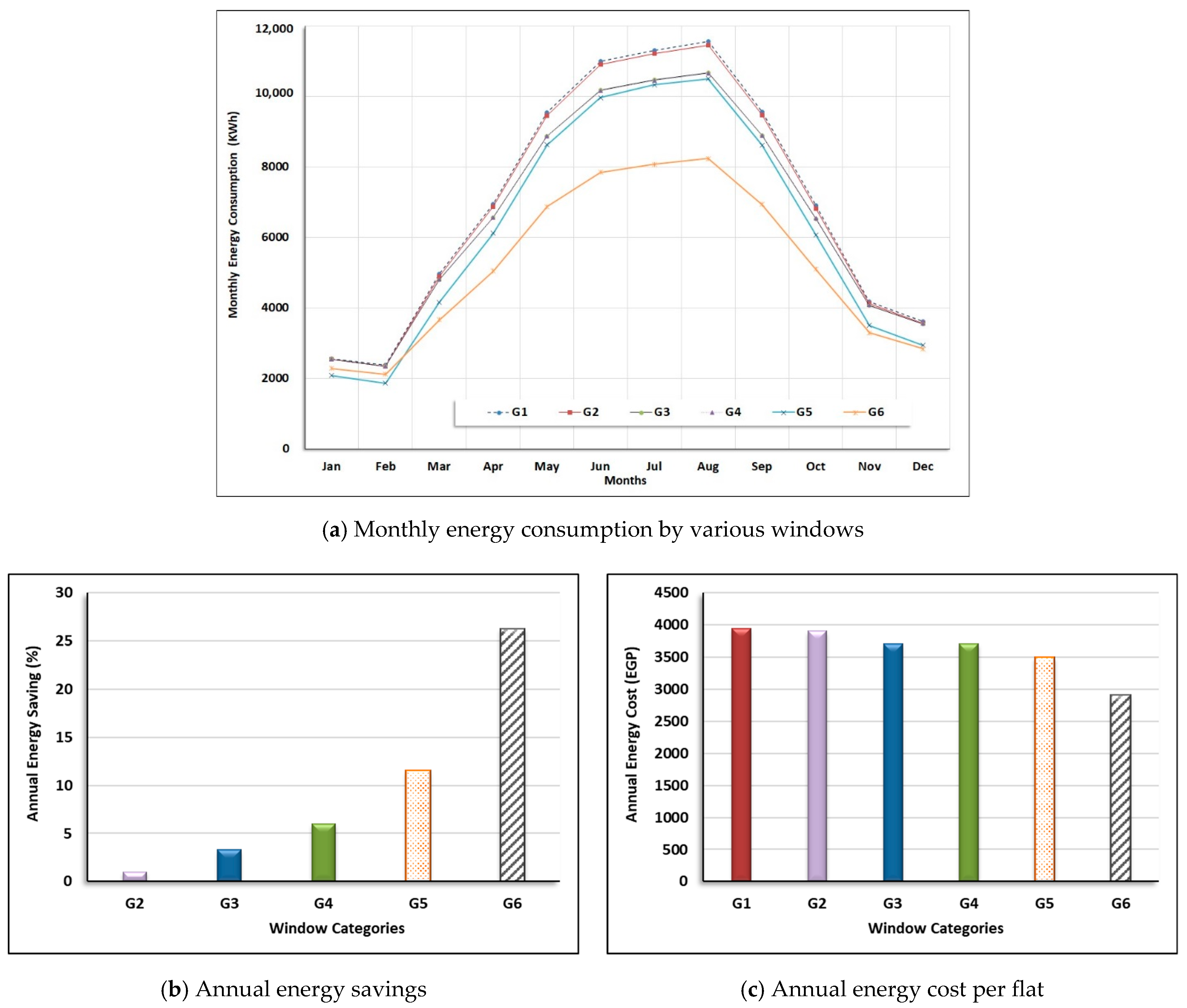
3.2. Insulation Windows
3.3. The Effect of Integration between Insulation Based on Nanomaterials in the External Walls and Windows
- (O1) showed a decline in annual energy usage by around 24% relative to the base case, while (O2) showed a decrease of about 30.2% in annual energy consumption compared to the same base case.
- (O3) and (O4) showed almost the same impact as (O2). They contributed to an improvement in terms of energy efficiency with 30.3%, and 30.4%, respectively, in comparison with the base case.
- The most promising option was O5. Among all other options, it had the highest effect, improving energy efficiency by 47.6% compared to the base case.
3.4. Cost Analysis
4. Conclusions
Author Contributions
Funding
Institutional Review Board Statement
Informed Consent Statement
Data Availability Statement
Conflicts of Interest
References
- Araki, K.; Kamoto, D.; Matsuoka, S.-I. Optimization about multilayer laminated film and getter device materials of vacuum insulation panel for using at high temperature. J. Mater. Process. Technol. 2009, 209, 271–282. [Google Scholar] [CrossRef]
- Johannesen, N.J.; Kolhe, M.; Goodwin, M. Relative evaluation of regression tools for urban area electrical energy demand forecasting. J. Clean. Prod. 2019, 218, 555–564. [Google Scholar] [CrossRef]
- Vasilakopoulou, K.; Kolokotsa, D.; Santamouris, M. Cities for Smart Environmental and Energy Futures: Urban heat Island Mitigation Techniques for Sustainable Cities. In Cities for Smart Environmental and Energy Futures; Springer: Berlin/Heidelberg, Germany, 2014; pp. 215–233. [Google Scholar]
- Wang, Q.; Su, M.; Li, R. The effects of energy prices, urbanization and economic growth on energy consumption per capita in 186 countries. J. Clean. Prod. 2019, 225, 1017–1032. [Google Scholar] [CrossRef]
- Zhou, N.; Price, L.; Dai, Y.; Creyts, J. A roadmap for China to peak carbon dioxide emissions and achieve a 20% share of non-fossil fuels in primary energy by 2030. Appl. Energy 2019, 239, 793–819. [Google Scholar] [CrossRef]
- Güneralp, B.; Zhou, Y.; Sha, L. Global scenarios of urban density and its impacts on building energy use through 2050. Natl. Acad. Sci. 2017, 114, 8945–8950. [Google Scholar] [CrossRef]
- King, D. A Global Apollo Programme to Combat Climate Change; London School of Economics and Political Science: London, UK, 2015. [Google Scholar]
- Buratti, C. Nano and Biotech Based Materials for Energy Building Efficiency; Springer International Publishers: Cham, Switzerland, 2016. [Google Scholar]
- Sharma, A.; Saaxena, A.; Venu, S. Life cycle assessment of buildings: A review. Renew. Sustain. Energy Rev. 2011, 15, 871–875. [Google Scholar] [CrossRef]
- Edenhofer, O. Renewable Energy Sources and Climate Change Mitigation: Special Report of the Intergovernmental Panel on Climate Change; Cambridge University Press: Cambridge, UK, 2011. [Google Scholar]
- Jelle, B.P.; Kalnæs, S.E. Nanotech Based Vacuum Insulation Panels for Building Applications. In Nano and Biotech Based Materials for Energy Building Efficiency; Springer: Berlin/Heidelberg, Germany, 2016; pp. 167–214. [Google Scholar]
- Fricke, J.; Heinemann, U.; Ebert, H. Vacuum insulation panels—From research to market. Vacuum 2008, 82, 680–690. [Google Scholar] [CrossRef]
- Yang, C.; Li, Y.J.; Gao, X.; Xu, L. A review of vacuum degradation research and the experimental outgassing research of the core material-PU foam on vacuum insulation panels. Phys. Procedia 2012, 32, 239–244. [Google Scholar] [CrossRef]
- Tenpierik, M.J. Vacuum Insulation Panels Applied in Building Constructions. Ph.D. Thesis, Delft University of Technology, Delft, The Netherlands, 2010. [Google Scholar]
- Brunner, S.; Simmler, H. In situ performance assessment of vacuum insulation panels in a flat roof construction. Vacuum 2008, 82, 700–707. [Google Scholar] [CrossRef]
- Jelle, B.P. Moisture Robustness during Retrofitting of Timber Frame Walls with Vacuum Insulation Panels: Experimental and Theoretical Studies. In Hygrothermal Behavior, Building Pathology and Durability; Springer: Berlin/Heidelberg, Germany, 2013; pp. 183–210. [Google Scholar]
- Buratti, C.; Moretti, E.; Belloni, E. Nanogel Windows for Energy Building Efficiency. In Nano and Biotech Based Materials for Energy Building Efficiency; Springer: Berlin/Heidelberg, Germany, 2016; pp. 41–69. [Google Scholar]
- Zhao, Y.; Tang, G.; Du, M. Numerical study of radiative properties of nanoporous silica aerogel. Int. J. Therm. Sci. 2015, 89, 110–120. [Google Scholar] [CrossRef]
- Koebel, M.; Rigacci, A.; Achard, P. Aerogel-based thermal superinsulation: An overview. J. Sol-Gel Sci. Technol. 2012, 63, 315–339. [Google Scholar] [CrossRef]
- Rigacci, A.; Einarsrud, M.A.; Pirard, R. Improvement of the silica aerogel strengthening process for scaling-up monolithic tile production. J. Non-Cryst. Solids 2004, 350, 196–201. [Google Scholar] [CrossRef]
- Buratti, C.; Moretti, E. Glazing systems with silica aerogel for energy savings in buildings. Appl. Energy 2012, 98, 396–403. [Google Scholar] [CrossRef]
- Ihara, T.; Gao, T.; Jelle, B.P. Aerogel granulate glazing facades and their application potential from an energy saving perspective. Appl. Energy 2015, 142, 179–191. [Google Scholar] [CrossRef]
- Rashwan, A.; Farag, O.; Moustafa, W.S. Energy performance analysis of integrating building envelopes with nanomaterials. Int. J. Sustain. Built Environ. 2013, 2, 209–223. [Google Scholar] [CrossRef]
- Mujeebu, M.A.; Ashraf, N.; Alsuwayigh, A. Energy performance and economic viability of nano aerogel glazing and nano vacuum insulation panel in multi-story office building. Energy 2016, 113, 949–956. [Google Scholar] [CrossRef]
- Mujeebu, M.A.; Ashraf, N.; Alsuwayigh, A.H. Effect of nano vacuum insulation panel and nanogel glazing on the energy performance of office building. Appl. Energy 2016, 173, 141–151. [Google Scholar] [CrossRef]
- Attia, S.; Shafik, Z.; Ibrahim, A. New Cities and Community Extensions in Egypt and the Middle East: Visions and Challenges; Springer: Berlin/Heidelberg, Germany, 2018. [Google Scholar]
- Aly, A.M.; Hassn, M.H.; Rady, Y.R. The effect of using nano-materials in external openings on energy consumption in hot desert climate. J. Eng. Sci. 2020, 48, 468–477. [Google Scholar] [CrossRef]
- Ragab Abdel Radi, A. The impact of phase change materials on the buildings enegy efficiency in the hot desert areas the annexed rooms of the traffic building in new aswan city as a case study. JES J. Eng. Sci. 2020, 48, 302–316. [Google Scholar]
- Ragab, A.; Abdelrady, A. Impact of Green Roofs on Energy Demand for Cooling in Egyptian Buildings. Sustainability 2020, 12, 5729. [Google Scholar] [CrossRef]
- Hamdy, O.; Zhao, S.; Abd El-Atty, H.; Ragab, A.; Salem, M. Urban Areas Management in Developing Countries: Analysis of the Urban Areas Crossed with Risk of Storm Water Drains, Aswan-Egypt. Int. J. Urban Civ. Eng. 2020, 14, 96–102. [Google Scholar]
- Roberto, B.; Zhao, S.; Abd, H.; Ragab, A. Current Status and Future Developments of the ECMWF Ensemble Prediction System; ECMWF: Shinfield Park, UK, 1999. [Google Scholar]
- Hanna, G.B. Energy Efficiency Building Codes and Green Pyramid Rating System. In Renewable Energy in the Service of Mankind Vol I; Springer: Berlin/Heidelberg, Germany, 2015; pp. 597–608. [Google Scholar]
- Fahmy, M. Estimating the future energy efficiency and CO2 emissions of passive country housing applying domestic biogas reactor: A case study in Egypt. Ain Shams Eng. J. 2018, 9, 2599–2607. [Google Scholar] [CrossRef]
- Radwan, A.F.; Mahdy, M.M.; Rizk, H. Retrofitting of existing buildings to achieve better energy-efficiency in commercial building case study: Hospital in Egypt. Alex. Eng. J. 2016, 55, 3061–3071. [Google Scholar] [CrossRef]
- Huang, Y.; Niu, J.-L. Application of super-insulating translucent silica aerogel glazing system on commercial building envelope of humid subtropical climates–Impact on space cooling load. Energy 2015, 83, 316–325. [Google Scholar] [CrossRef]
- Mahdy, M.M.; Nikolopoulou, M. The cost of achieving thermal comfort via altering external walls specifications in Egypt, from construction to operation through different climate change scenarios. In Proceedings of the Building Simulation Conference, Chambery, France, 26–28 August 2013. [Google Scholar]
- Attia, S.; Evrard, A.; Gratia, E. Development of benchmark models for the Egyptian residential buildings sector. Appl. Energy 2012, 94, 270–284. [Google Scholar] [CrossRef]
- Osman, M. Population Situation Analysis; NFPA: Cairo, Egypt, 2016; p. 188. [Google Scholar]
- Moretti, E. Optical, thermal, and energy performance of advanced polycarbonate systems with granular aerogel. Energy Build. 2018, 166, 407–417. [Google Scholar] [CrossRef]
- Schultz, J.M.; Jensen, K.I. Evacuated aerogel glazings. Vacuum 2008, 82, 723–729. [Google Scholar] [CrossRef]
- Gao, T.; Jelle, B.P.; Gustavsen, A.; Stefan, J. Aerogel-incorporated concrete: An experimental study. Constr. Build. Mater. 2014, 52, 130–136. [Google Scholar] [CrossRef]










| Abbreviation | Wall Layers and Materials | U-Value (W/m2K) |
|---|---|---|
| W1 (Commonly used) | 20 mm Cement Plaster + 120 mm Brick + 20mm Cement Plaster | 2.434 |
| W2 (Commonly used) | 20 mm Cement Plaster + 250 mm Brick + 20mm Cement Plaster | 1.691 |
| W3 | 20 mm Cement Plaster + 120 mm Brick + 50 mm PS Foam + 120 mm Brick + 20 mm Cement Plaster | 0.473 |
| W4 | 20 mm Cement Plaster + 120 mm Brick + 50 mm nano VIPs + 120 mm Brick+ 20 mm Cement Plaster | 0.058 |
| Abbreviation | Window Layers and Materials | Solar Heat Gain Coefficient (SHGC) | Visible Light Transmittance | U-Value (W/m2K) |
|---|---|---|---|---|
| G1 (Commonly used) | 3 mm Clear glass | 0.861 | 0.898 | 5.894 |
| G2 (Commonly used) | 6 mm Clear glass | 0.819 | 0.881 | 5.778 |
| G3 | 6 mm Clear glass + 13 mm Air + 6 mm Clear glass | 0.703 | 0.781 | 2.665 |
| G4 | 6 mm Clear glass + 13 mm Argon + 6 mm Clear glass | 0.704 | 0.781 | 2.511 |
| G5 | 6 mm Clear glass + 10 mm nanogel + 6 mm Clear glass | 0.52 | 0.373 | 2.132 |
| G6 | 6 mm Clear glass + 13 mm Argon + 10 mm nanogel + 13 mm Argon + 6 mm Clear glass | 0.35 | 0.3 | 0.45 |
| Item | Specification |
|---|---|
| Type | Multi-story residential building |
| Location | New Aswan City-Aswan-Egypt |
| Floor area | 86 m2 per flat |
| No. of floors | 6 |
| Floor height | 3 m |
| Occupancy (Persons) | 5 per flat |
| Windows | Single-glazed (SG) (3 mm) |
| Window-to-wall ratio | 10% |
| Orientation | North-South |
| Lighting | 400 Lux |
| HVAC | 4 split air conditioning for each flat |
| Cooling setpoint | 25 °C |
| Heating setpoint | 18 °C |
| Appliance | W | Daily Operating Hours |
|---|---|---|
| Refrigerator | 380 | 24 |
| Exhaust fan | 150 | 24 |
| Mobile charger | 5 | 24 |
| Television | 3 | 6 |
| Phone charger | 3 | 3 |
| PC or laptop | 300/60 | 2 |
| Washing machine | 512 | 0.2 |
| Satellite decoder | 3 | 0.2 |
| Electric iron | 1100 | 0.1 |
| Kettle | 1800 | 0.1 |
| Collective water pump | 300 | 0.1 |
| Vacuum cleaner | 630 | 0.1 |
| Stereo | 100 | 0.1 |
| Mixer | 127 | 0.05 |
| Bracket | Category (kWh) | Price (EGP) |
|---|---|---|
| First | 0:50 | 0.38 |
| Second | 51:100 | 0.48 |
| Third | 101:200 | 0.65 |
| Fourth | 201:350 | 0.96 |
| Fifth | 351:650 | 1.18 |
| Sixth | 651:1000 | 1.40 |
| Seventh | more than 1000 | 1.45 |
| Abbreviation | Materials |
|---|---|
| Base | W1 + G1 |
| O1 | W3 + G2 |
| O2 | W3 + G3 |
| O3 | W3 + G4 |
| O4 | W3 + G5 |
| O5 | W3 + G6 |
| Materials | Unit Cost EGP/m2 |
|---|---|
| Brick masonry | 110 b |
| Cement plaster | 31 b |
| Polystyrene foam | 133 a |
| Single glazed window 6 mm air | 1570 b |
| Double glazed window filled by 13 mm air | 1962.5 a |
| Argon glazed window | 2355 a |
| Nanogel glazed window | 2826 a |
| Argon-nanogel glazed window | 5055 a |
| Insulation Options | Material Cost (EGP) | Total (EGP) | Additional Investment (EGP) | Energy Cost (EGP/year) | Annual Savings (EGP/year) | SPP (No. of Years) | |
|---|---|---|---|---|---|---|---|
| External Walls | Windows | ||||||
| O1 | 991,780.46 | 155,053.2 | 1,146,833.66 | 555,862.80 | 51,431.47 | 28,908.56 | 19.23 |
| O2 | 193,816.5 | 1,185,596.96 | 594,626.10 | 46,952.26 | 33,387.75 | 17.81 | |
| O3 | 232,579.8 | 1,224,360.26 | 633,389.40 | 46,884.28 | 33,455.73 | 18.93 | |
| O4 | 279,095.76 | 1,270,876.22 | 679,905.36 | 46,815.20 | 33,524.81 | 20.28 | |
| O5 | 499,271.30 | 1,491,051.76 | 900,080.90 | 27,403.88 | 52,936.26 | 17.00 | |
Publisher’s Note: MDPI stays neutral with regard to jurisdictional claims in published maps and institutional affiliations. |
© 2021 by the authors. Licensee MDPI, Basel, Switzerland. This article is an open access article distributed under the terms and conditions of the Creative Commons Attribution (CC BY) license (https://creativecommons.org/licenses/by/4.0/).
Share and Cite
Abdelrady, A.; Abdelhafez, M.H.H.; Ragab, A. Use of Insulation Based on Nanomaterials to Improve Energy Efficiency of Residential Buildings in a Hot Desert Climate. Sustainability 2021, 13, 5266. https://doi.org/10.3390/su13095266
Abdelrady A, Abdelhafez MHH, Ragab A. Use of Insulation Based on Nanomaterials to Improve Energy Efficiency of Residential Buildings in a Hot Desert Climate. Sustainability. 2021; 13(9):5266. https://doi.org/10.3390/su13095266
Chicago/Turabian StyleAbdelrady, Ahmed, Mohamed Hssan Hassan Abdelhafez, and Ayman Ragab. 2021. "Use of Insulation Based on Nanomaterials to Improve Energy Efficiency of Residential Buildings in a Hot Desert Climate" Sustainability 13, no. 9: 5266. https://doi.org/10.3390/su13095266
APA StyleAbdelrady, A., Abdelhafez, M. H. H., & Ragab, A. (2021). Use of Insulation Based on Nanomaterials to Improve Energy Efficiency of Residential Buildings in a Hot Desert Climate. Sustainability, 13(9), 5266. https://doi.org/10.3390/su13095266
