The Imperativeness of Environmental Quality in China Amidst Renewable Energy Consumption and Trade Openness
Abstract
1. Introduction
2. Data and Methodology
2.1. Data
2.2. Methodology
2.2.1. Stationarity Tests
2.2.2. Bayer and Hanck Cointegration Test
2.2.3. Wavelet Coherence Test
2.2.4. Partial Wavelet Coherence
2.2.5. Multiple Wavelet Coherence
3. Findings
3.1. Pre-Estimation Tests
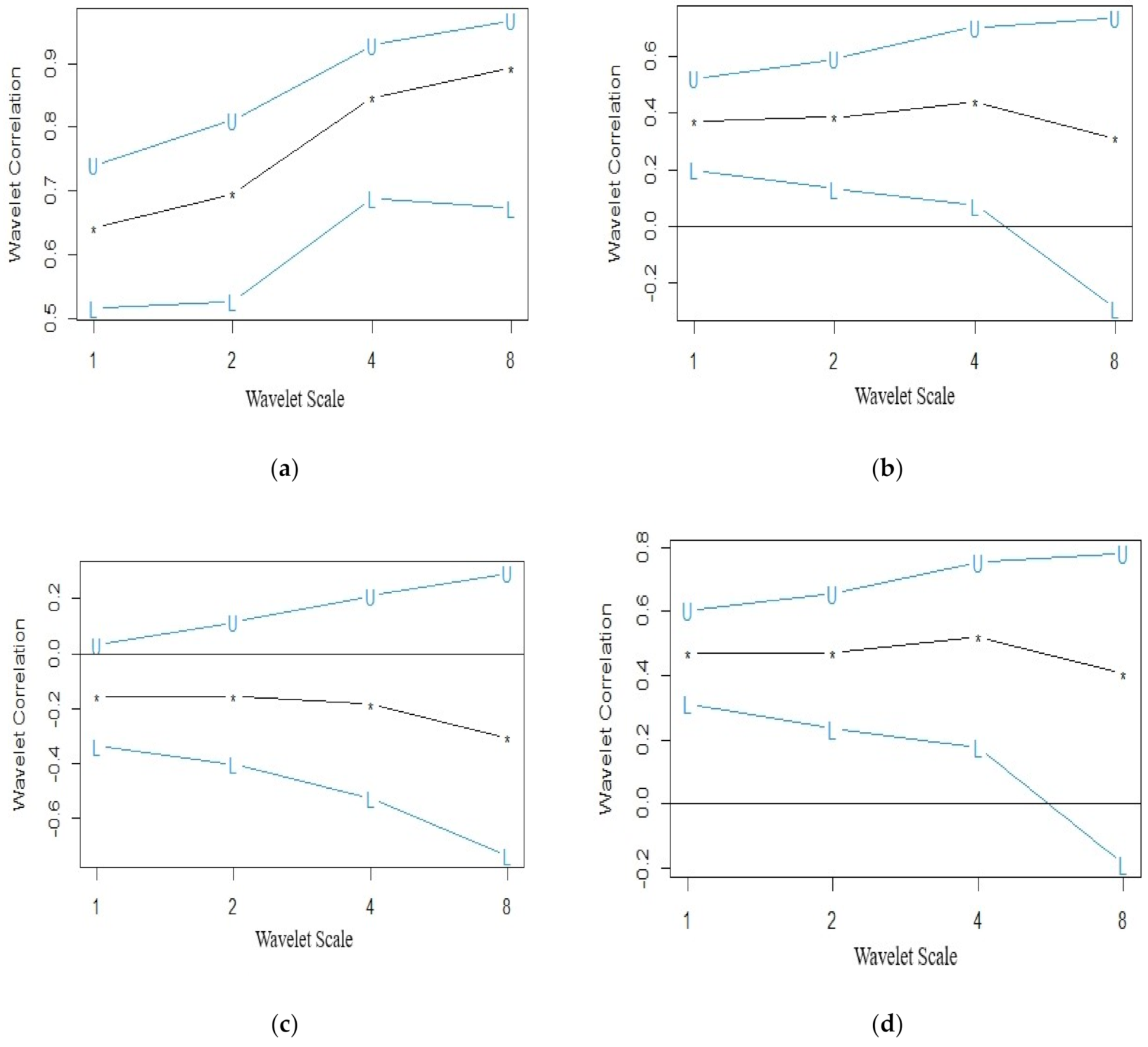
3.2. Wavelet Correlation (WC) Results
3.3. Wavelet Coherence Results
3.4. Partial Wavelet Coherence Test
3.5. Multiple Wavelet Coherence (MWC) Test Results
3.6. Gradual Shift Causality Test Results
4. Discussion
5. Conclusions and Policy Direction
Author Contributions
Funding
Institutional Review Board Statement
Informed Consent Statement
Data Availability Statement
Conflicts of Interest
References
- Adebayo, T.S.; Kirikkaleli, D. Impact of renewable energy consumption, globalization, and technological innovation on environmental degradation in Japan: Application of wavelet tools. Environ. Dev. Sustain. 2021, 1–26. [Google Scholar] [CrossRef]
- Kirikkaleli, D. New insights into an old issue: Exploring the nexus between economic growth and CO2 emissions in China. Environ. Sci. Pollut. Res. 2020, 27, 1–10. [Google Scholar] [CrossRef]
- UNFCCC. UNFCCC United Nations Framework Convention on Climate Change Second Biennial Report of the United States of America. 2016. Available online: http://unfccc.int/files/national_reports/biennial_reports_and_iar/submitted_biennial_reports/application/pdf/2016_second_biennial_report_of_the_united_states_.pdf (accessed on 23 February 2021).
- Wang, L.; Vo, X.V.; Shahbaz, M.; Ak, A. Globalization and carbon emissions: Is there any role of agriculture value-added, financial development, and natural resource rent in the aftermath of COP21? J. Environ. Manag. 2020, 268, 110712. [Google Scholar] [CrossRef]
- Grossman, G.M.; Krueger, A.B. Environmental Impacts of a North. American Free Trade Agreement; National Bureau of economic research: Cambridge, MA, USA, 1991. [Google Scholar]
- Oluwajana, D.; Adebayo, T.S.; Kirikkaleli, D.; Adeshola, I.; Akinsola, G.D.; Osemeahon, O.S. Coal Consumption and Environmental Sustainability in South Africa: The role of Financial Development and Globalization. Int. J. Renew. Energy Dev. 2021, 10, 527–536. [Google Scholar]
- Rjoub, H.; Odugbesan, J.A.; Adebayo, T.S.; Wong, W.K. Sustainability of the moderating role of financial devel-opment in the determinants of environmental degradation: Evidence from Turkey. Sustainability 2021, 13, 1844. [Google Scholar] [CrossRef]
- Odugbesan, J.A.; Adebayo, T.S. The symmetrical and asymmetrical effects of foreign direct investment and finan-cial development on carbon emission: Evidence from Nigeria. SN Appl. Sci. 2020, 2, 1–15. [Google Scholar] [CrossRef]
- Kirikkaleli, D.; Adebayo, T.S. Do public-private partnerships in energy and renewable energy consumption matter for consumption-based carbon dioxide emissions in India? Environ. Sci. Pollut. Res. 2021, 1–14. [Google Scholar] [CrossRef]
- He, X.; Adebayo, T.S.; Kirikkaleli, D.; Umar, M. Consumption-based carbon emissions in Mexico: An analysis using the dual adjustment approach. Sustain. Prod. Consum. 2021, 27, 947–957. [Google Scholar] [CrossRef]
- Olanrewaju, V.O.; Adebayo, T.S.; Akinsola, G.D.; Odugbesan, J.A. Determinants of Environmental Degradation in Thailand: Empirical Evidence from ARDL and Wavelet Coherence Approaches. Pollution 2021, 7, 181–196. [Google Scholar]
- Adebayo, T.S.; Akinsola, G.D. Investigating the Causal Linkage among Economic Growth, Energy Consumption and CO2 Emissions in Thailand: An Application of the Wavelet Coherence Approach. Int. J. Renew. Energy Dev. 2021, 10, 17–26. [Google Scholar] [CrossRef]
- Bekun, F.V.; Udi, J.; Adedoyin, F.F. Modeling the nexus between coal consumption, FDI inflow and economic ex-pansion: Does industrialization matter in South Africa? Environ. Sci. Pollut. Res. 2020, 12, 1–12. [Google Scholar]
- Adebayo, T.S. Testing the EKC hypothesis in Indonesia: Empirical evidence from the ARDL-based bounds and wave-let coherence approaches. Appl. Econ. 2021, 28, 1–23. [Google Scholar]
- Mutascu, M. A time-frequency analysis of trade openness and CO2 emissions in France. Energy Policy 2018, 115, 443–455. [Google Scholar] [CrossRef]
- Dauda, L.; Long, X.; Mensah, C.N.; Salman, M.; Boamah, K.B.; Ampon-Wireko, S.; Dogbe, C.S.K. Innovation, trade openness and CO2 emissions in selected countries in Africa. J. Clean. Prod. 2021, 281, 125143. [Google Scholar] [CrossRef]
- Ansari, M.A.; Haider, S.; Khan, N. Does trade openness affects global carbon dioxide emissions. Manag. Environ. Qual. Int. J. 2020, 31, 32–53. [Google Scholar] [CrossRef]
- Chen, F.; Jiang, G.; Kitila, G. Trade Openness and CO2 Emissions: The Heterogeneous and Mediating Effects for the Belt and Road Countries. Sustainability 2021, 13, 1958. [Google Scholar] [CrossRef]
- Pata, U.K.; Caglar, A.E. Investigating the EKC hypothesis with renewable energy consumption, human capital, globalization and trade openness for China: Evidence from augmented ARDL approach with a structural break. Energy 2021, 216, 119220. [Google Scholar] [CrossRef]
- Koc, S.; Bulus, G.C. Testing validity of the EKC hypothesis in South Korea: Role of renewable energy and trade openness. Environ. Sci. Pollut. Res. 2020, 27, 29043–29054. [Google Scholar] [CrossRef] [PubMed]
- Zeren, F.; Akkuş, H.T. The relationship between renewable energy consumption and trade openness: New evidence from emerging economies. Renew. Energy 2020, 147, 322–329. [Google Scholar] [CrossRef]
- Kirikkaleli, D.; Adebayo, T.S. Do renewable energy consumption and financial development matter for environ-mental sustainability? New Glob. Evid. Sustain. Dev. 2020, 6, 23–36. [Google Scholar]
- Khattak, S.I.; Ahmad, M.; Khan, Z.U.; Khan, A. Exploring the impact of innovation, renewable energy consumption, and income on CO2 emissions: New evidence from the BRICS economies. Environ. Sci. Pollut. Res. 2020, 27, 13866–13881. [Google Scholar] [CrossRef] [PubMed]
- Erdogan, S.; Okumus, I.; Guzel, A.E. Revisiting the Environmental Kuznets Curve hypothesis in OECD countries: The role of renewable, non-renewable energy, and oil prices. Environ. Sci. Pollut. Res. 2020, 27, 23655–23663. [Google Scholar] [CrossRef] [PubMed]
- Alola, A.A.; Arikewuyo, A.O.; Ozad, B.; Alola, U.V.; Arikewuyo, H.O. A drain or drench on biocapacity? Envi-ronmental account of fertility, marriage, and ICT in the USA and Canada. Environ. Sci. Pollut. Res. 2020, 27, 4032–4043. [Google Scholar] [CrossRef] [PubMed]
- Odugbesan, J.A.; Rjoub, H. Relationship among economic growth, energy consumption, CO2 emission, and urbanization: Evidence from MINT countries. Sage Open 2020, 10, 2158244020914648. [Google Scholar] [CrossRef]
- Adedoyin, F.F.; Gumede, M.I.; Bekun, F.V.; Etokakpan, M.U.; Balsalobre-Lorente, D. Modelling coal rent, economic growth and CO2 emissions: Does regulatory quality matter in BRICS economies? Sci. Total. Environ. 2020, 710, 136284. [Google Scholar] [CrossRef]
- Piłatowska, M.; Geise, A.; Włodarczyk, A. The Effect of Renewable and Nuclear Energy Consumption on Decoupling Economic Growth from CO2 Emissions in Spain. Energies 2020, 13, 2124. [Google Scholar] [CrossRef]
- Xu, B.; Zhong, R.; Qiao, H. The impact of biofuel consumption on CO2 emissions: A panel data analysis for seven selected G20 countries. Energy Environ. 2020, 31, 1498–1514. [Google Scholar] [CrossRef]
- Awodumi, O.B.; Adewuyi, A.O. The role of non-renewable energy consumption in economic growth and carbon emission: Evidence from oil producing economies in Africa. Energy Strat. Rev. 2020, 27, 100434. [Google Scholar] [CrossRef]
- Alam, M.S.; Apergis, N.; Paramati, S.R.; Fang, J. The impacts of R&D investment and stock markets on clean-energy consumption and CO2 emissions in OECD economies. Int. J. Financ. Econ. 2020, 4, 68–81. [Google Scholar]
- Adebayo, T.S. Revisiting the EKC hypothesis in an emerging market: An application of ARDL-based bounds and wavelet coherence approaches. SN Appl. Sci. 2020, 2, 1–15. [Google Scholar] [CrossRef]
- Siddique, H.M.A.; Majeed, D.M.T.; Ahmad, D.H.K. The impact of urbanization and energy consumption on CO2 emissions in South Asia. South Asian Stud. 2020, 31, 321–334. [Google Scholar]
- Gardiner, R.; Hajek, P. Interactions among energy consumption, CO2, and economic development in European Union countries. Sustain. Dev. 2020, 28, 723–740. [Google Scholar] [CrossRef]
- Mahmood, H.; Maalel, N.; Zarrad, O. Trade Openness and CO2 Emissions: Evidence from Tunisia. Sustainability 2019, 11, 3295. [Google Scholar] [CrossRef]
- Amin, A.; Aziz, B.; Liu, X.-H. The relationship between urbanization, technology innovation, trade openness, and CO2 emissions: Evidence from a panel of Asian countries. Environ. Sci. Pollut. Res. 2020, 27, 1–15. [Google Scholar] [CrossRef] [PubMed]
- Mutascu, M.; Sokic, A. Trade Openness—CO2 Emissions Nexus: A Wavelet Evidence from EU. Environ. Model. Assess. 2020, 25, 411–428. [Google Scholar] [CrossRef]
- Tachie, A.K.; Xingle, L.; Dauda, L.; Mensah, C.N.; Appiah-Twum, F.; Mensah, I.A. The influence of trade open-ness on environmental pollution in EU-18 countries. Environ. Sci. Pollut. Res. 2020, 27, 35535–35555. [Google Scholar] [CrossRef]
- Destek, M.A.; Sinha, A. Renewable, non-renewable energy consumption, economic growth, trade openness and ecological footprint: Evidence from organisation for economic Co-operation and development countries. J. Clean. Prod. 2020, 242, 118537. [Google Scholar] [CrossRef]
- Leitão, N.C.; Lorente, D.B. The Linkage between Economic Growth, Renewable Energy, Tourism, CO2 Emissions, and International Trade: The Evidence for the European Union. Energies 2020, 13, 4838. [Google Scholar] [CrossRef]
- Kirikkaleli, D.; Bekun, F.V.; Adebayo, T.S.; Akinsola, G.D.; Sukru, U.; Oseyenbhin, S.U. Economic performance of Indonesia amidst CO2 emissions and agriculture: A time series analysis. Environ. Sci. Pollut. Res. 2021, 2, 1–15. [Google Scholar] [CrossRef]
- Saidi, K.; Omri, A. Reducing CO2 emissions in OECD countries: Do renewable and nuclear energy matter? Prog. Nucl. Energy 2020, 126, 103425. [Google Scholar] [CrossRef]
- Ben Jebli, M.; Farhani, S.; Guesmi, K. Renewable energy, CO2 emissions and value added: Empirical evidence from countries with different income levels. Struct. Chang. Econ. Dyn. 2020, 53, 402–410. [Google Scholar] [CrossRef]
- Busu, M.; Nedelcu, A.C. Analyzing the Renewable Energy and CO2 Emission Levels Nexus at an EU Level: A Panel Data Regression Approach. Processes 2021, 9, 130. [Google Scholar] [CrossRef]
- Namahoro, J.P.; Wu, Q.; Xiao, H.; Zhou, N. The Impact of Renewable Energy, Economic and Population Growth on CO2 Emissions in the East African Region: Evidence from Common Correlated Effect Means Group and Asymmetric Analysis. Energies 2021, 14, 312. [Google Scholar] [CrossRef]
- Kwiatkowski, D.; Phillips, P.C.; Schmidt, P.; Shin, Y. Testing the null hypothesis of stationarity against the alterna-tive of a unit root: How sure are we that economic time series have a unit root? J. Econom. 1992, 54, 159–178. [Google Scholar] [CrossRef]
- Dickey, D.A.; Fuller, W.A. Likelihood Ratio Statistics for Autoregressive Time Series with a Unit Root. Economics 1981, 49, 1057. [Google Scholar] [CrossRef]
- Phillips, P.C.; Perron, P. Testing for a unit root in time series regression. Biometrika 1988, 75, 335–346. [Google Scholar] [CrossRef]
- Zivot, E.; Andrews, D.W.K. Further Evidence on the Great Crash, the Oil-Price Shock, and the Unit-Root Hypothesis. J. Bus. Econ. Stat. 2002, 20, 25–44. [Google Scholar] [CrossRef]
- Lee, J.; Strazicich, M.C. Minimum Lagrange Multiplier Unit Root Test with Two Structural Breaks. Rev. Econ. Stat. 2003, 85, 1082–1089. [Google Scholar] [CrossRef]
- Johansen, S. Estimation and Hypothesis Testing of Cointegration Vectors in Gaussian Vector Autoregressive Models. Econometrica 1991, 59, 1551–1580. [Google Scholar] [CrossRef]
- Engle, R.F.; Granger, C.W.J. Co-Integration and Error Correction: Representation, Estimation, and Testing. Economics 1987, 55, 251. [Google Scholar] [CrossRef]
- Banerjee, A.; Dolado, J.; Mestre, R. Error-correction mechanism tests for cointegration in a single-equation frame-work. J. Time Ser. Anal. 1998, 19, 267–283. [Google Scholar] [CrossRef]
- Boswijk, H.P. Unit Roots and Cointegration; Lecture Notes; Universiteit van Amsterdam: Amsterdam, The Netherland, 1998. [Google Scholar]
- Torrence, C.; Webster, P.J. Interdecadal changes in the ENSO–monsoon system. J. Clim. 1999, 12, 2679–2690. [Google Scholar] [CrossRef]
- Grinsted, A.; Moore, J.C.; Jevrejeva, S. Application of the cross wavelet transform and wavelet coherence to geo-physical time series. Nonlinear Process. Geophys. 2004, 11, 561–566. [Google Scholar] [CrossRef]
- Torrence, C.; Compo, G.P. A practical guide to wavelet analysis. Bull. Am. Meteorol. Soc. 1998, 79, 61–78. [Google Scholar] [CrossRef]
- Mishra, S.; Sinha, A.; Sharif, A.; Suki, N.M. Dynamic linkages between tourism, transportation, growth and carbon emission in the USA: Evidence from partial and multiple wavelet coherence. Curr. Issues Tour. 2020, 23, 2733–2755. [Google Scholar] [CrossRef]
- Sebri, M.; Ben-Salha, O. On the causal dynamics between economic growth, renewable energy consumption, CO2 emissions and trade openness: Fresh evidence from BRICS countries. Renew. Sustain. Energy Rev. 2014, 39, 14–23. [Google Scholar] [CrossRef]
- Oh, K.Y.; Bhuyan, M.I. Trade openness and CO2 emissions: Evidence of Bangladesh. Asian J. Atmos. Environ. 2018, 12, 30–36. [Google Scholar] [CrossRef]
- Saidi, K.; Mbarek, M.B. The impact of income, trade, urbanization, and financial development on CO2 emissions in 19 emerging economies. Environ. Sci. Pollut. Res. 2017, 24, 12748–12757. [Google Scholar] [CrossRef]
- Zhang, L.; Li, Z.; Kirikkaleli, D.; Adebayo, T.S.; Adeshola, I.; Akinsola, G.D. Modeling CO2 emissions in Malaysia: An application of Maki cointegration and wavelet coherence tests. Environ. Sci. Pollut. Res. 2021, 1–15. [Google Scholar] [CrossRef]
- Awosusi, A.A.; Adebayo, T.S.; Kirikkaleli, D.; Akinsola, G.D.; Mwamba, M.N. Can CO2 emissiovns and energy consumption determine the economic performance of South Korea? A time series analysis. Environ. Sci. Pollut. Res. 2021, 4, 1–16. [Google Scholar]









| Author (s) | Time-Frame | Country(s) | Techniques | Findings |
|---|---|---|---|---|
| Impact of Economic Growth on CO2 Emissions | ||||
| Kirikkaleli& Adebayo [22] | 1980–2017 | Global | FMOLS, DOLS, Frequency Causality Test | GDP ⇨ CO2 (+) GDP ⇨ CO2 |
| Oluwajana et al. [11] | 1980–2017 | South Africa | ARDL, FMOLS, DOLS, BH Cointegration, and Frequency Domain causality | GDP ⇨ CO2 (+) GDP ⇨ CO2 |
| Rjoub et al. [7] | 1960–2018 | Turkey | FMOLS, DOLS, CCR | GDP ⇨ CO2 (+) |
| Odugebesan and Rjoub [26] | 1992–2018 | MINT | ARDL, Granger Causality | GDP ⇨ CO2 |
| Adedoyin et al. [27] | 1990–2014 | BRICS | PMG-ARDL | GDP ⇨ CO2 (+) |
| Piłatowska et al. [28] | 1970Q1–2017Q4 | Spain | TVAR | GDP ⇨ CO2 (+) GDP ⇨ CO2 |
| Xu et al. [29] | 2001–2017 | G20 | FMOLS | = CO2 (–) GDP ⇨ CO2 (+) |
| Awodumi & Adewuyi [30] | 1980–2015 | Top oil producing economies in Africa | NARDL | = CO2 (–) GDP ⇨ CO2 (+) |
| Alam et al. [31] | 1996–2013 | 30 OECD economies | Panel techniques | GDP ⇨ CO2 (+) |
| Impact of Energy Consumption on CO2 Emissions | ||||
| He et al. [10] | 1990–2018 | Mexico | ARDL, FMOLS, DOLS | EC ⇨ CO2 (+) EC ⇨ CO2 |
| Adebayo [14] | 1981–2018 | Indonesia | ARDL, FMOLS, DOLS | EC ⇨ CO2 (+) EC ⇨ CO2 |
| Olanrewaju et al. [11] | 1980–2016 | Thailand | ARDL, FMOLS, DOLS | EC ⇨ CO2 (+) EC ⇨ CO2 |
| Adebayo [32] | 1980–2016 | Mexico | Wavelet Coherence, ARDL, FMOLS, DOLS | EC ⇨ CO2 (+) EC ⇨ CO2 |
| Siddique et al. [33] | 1983–2013 | South Asia | Panel co-integration and Granger causality approach | EC ⇨ CO2 |
| Gardiner & Hajek [34] | 1990–2015 | Eight new and 15 old EU countries | Panel Techniques | EC ⇨ CO2 (+) EC ⇔ CO2 |
| Impact of Trade Openness on CO2 Emissions | ||||
| Mutascu [15] | 1960–2013 | France | Wavelet Tools | CO2 |
| Mahmood et al. [35] | 1971–2014 | Tunisia | NARD | CO2 |
| Amin et al. [36] | 1980–2019 | 13 Asian countries | FMOLS, VECM | TO⇨ CO2 (+) TO ⇔ CO2 |
| Mutascu&Sokic [37] | 1960–2014 | European Union Nations | Wavelet Tools | TO⇨ CO2 (+) |
| Tachie et al. [38] | 1990–2015 | EU-18 economies. | MG, AMG, D-H Granger causality test | TO ⇨ CO2 (+) TO ⇨ CO2 |
| Destek& Sinha [39] | 1980–2014 | 24 OECD | MG, FMOLS, CCE-MG | TO ⇨ CO2 (–) TO ⇨ CO2 |
| Impact of Renewable Energy on CO2 Emissions | ||||
| Adebayo & Kirikkaleli [1] | 1990Q1–2015Q4 | Japan | Wavelet Tools | REC ⇨ CO2 (–) |
| Leitão & Lorente [40] | 1995–2015 | European Union (EU-28) | FMOLS, DOLS, GMM | REC ⇨ CO2 (–) |
| Kirikkaleli and Adebayo [41] | 1990Q1–2016Q4 | India | FMOLS, DOLS, BC causality | REC ⇨ CO2 (–) REC ⇨ CO2 |
| Saidi & Omri [42] | 1990–2018 | 15 OECD countries | FMOLS, VECM | Mixed Findings |
| Jebli et al. [43] | 1990–2015 | 102countries | GMM, Granger causality | Mixed Findings |
| Busu & Nedelcu, [44] | 2000–2019 | European Union (EU) countries | Panel Techniques | REC ⇨ CO2 (–) |
| Namahoro et al. [45] | 1980–2016 | East African Region | CCEMG | REC ⇨ CO2 (–) |
| Variable | Description | Units | Sources |
|---|---|---|---|
| Economic Growth | GDP Per Capita Constant $US, 2010 | WDI | |
| Trade Openness | Trade % of GDP | WDI | |
| REC | Renewable Energy Consumption | Renewables per capita (kWh) | BP |
| CO2 | CO2 emissions | Per capita emissions | BP |
| Energy Use | Energy consumption per capita (kWh) | BP |
| CO2 | EC | GDP | REN | TO | |
|---|---|---|---|---|---|
| Mean | 3.026398 | 10,494.82 | 2028.750 | 730.6347 | 28.91803 |
| Median | 2.198697 | 7309.315 | 886.9094 | 301.4010 | 30.14572 |
| Maximum | 7.096383 | 27,452.48 | 8254.533 | 3476.801 | 64.47888 |
| Minimum | 0.566790 | 1929.150 | 173.0634 | 70.60600 | 4.920835 |
| Std.Dev. | 2.167343 | 7959.054 | 2321.965 | 895.7024 | 17.64324 |
| Skewness | 0.853558 | 0.892910 | 1.305189 | 1.683521 | 0.244964 |
| Kurtosis | 2.255757 | 2.329029 | 3.457963 | 4.733591 | 1.995945 |
| Jarque-Bera | 7.947823 | 8.340187 | 16.09622 | 32.86780 | 2.860356 |
| Probability | 0.018800 | 0.015451 | 0.000320 | 0.000000 | 0.239266 |
| Observations | 55 | 55 | 55 | 55 | 55 |
| ADF | PP | |||
|---|---|---|---|---|
| Variables | At Level | First Difference | At Level | First Difference |
| CO2 | −2.0886 | −4.7485 * | −2.1608 * | −4.3761 * |
| GDP | −3.9752 *** | −5.0661 * | −3.3334 *** | −4.8793 * |
| EC | −3.1857 *** | −3.9878 ** | −1.6539 | −3.3875 *** |
| REN | −1.8005 | −7.9409 * | −1.7612 | −7.9535 * |
| TO | −0.2464 | −5.2111 * | −0.5951 | −4.9299 * |
| ZA | LS | |||
|---|---|---|---|---|
| Variables | At Level | Break-Date | At Level | Break-Dates |
| CO2 | −3.692 | 1979 | −5.724 | 1988 and 2001 |
| GDP | −5.841 * | 1976 | −6.500 ** | 1978 and 2007 |
| EC | −4.349 | 2003 | −6.035 ** | 1975 and 2001 |
| REN | −5.129 ** | 1998 | −5.209 | 1983 and 2002 |
| TO | −3.590 | 2003 | −5.2407 | 1981 and 2002 |
| First Difference | Break−Date | First Difference | Break−Dates | |
| CO2 | −5.930 * | 2002 | −9.968 * | 1999 and 2009 |
| GDP | −7.436 * | 2006 | −7.570 * | 1980 and 2007 |
| EC | −6.501 * | 2003 | −9.037 * | 2000 and 2009 |
| REN | −5.804 * | 2002 | −10.480 * | 2001 and 2006 |
| TO | −5.1995 ** | 2009 | −6.666 * | 1980 and 1999 |
| Model | Fisher Statistics | Fisher Statistics | Cointegration Decision |
|---|---|---|---|
| CO2 = f(GDP, EC, TO, REC) | EG-JOH | EG-JOH-BAN-BOS | |
| 32.59 ** | 56.154 ** | Yes | |
| CV | CV | ||
| 5% | 10.576 | 20.143 |
| Causality Path | Wald-Stat | No. of Fourier | p-Value | Decision |
|---|---|---|---|---|
| CO2⇨GDP | 6.2250 | 2 | 0.5173 | Do not Reject Ho |
| GDP ⇨ CO2 | 18.112 ** | 2 | 0.0114 | Reject Ho |
| CO2⇨ TO | 11.303 | 3 | 0.1258 | Do not Reject Ho |
| TO⇨CO2 | 10.486 | 3 | 0.1626 | Reject Ho |
| EC ⇨ CO2 | 21.257 ** | 3 | 0.0025 | Reject Ho |
| CO2⇨EC | 6.3291 | 3 | 0.5018 | Do not Reject Ho |
| GDP ⇨ REN | 15.388 ** | 3 | 0.0313 | Reject Ho |
| REN ⇨GDP | 16.528 ** | 3 | 0.0304 | Reject Ho |
Publisher’s Note: MDPI stays neutral with regard to jurisdictional claims in published maps and institutional affiliations. |
© 2021 by the authors. Licensee MDPI, Basel, Switzerland. This article is an open access article distributed under the terms and conditions of the Creative Commons Attribution (CC BY) license (https://creativecommons.org/licenses/by/4.0/).
Share and Cite
Soylu, Ö.B.; Adebayo, T.S.; Kirikkaleli, D. The Imperativeness of Environmental Quality in China Amidst Renewable Energy Consumption and Trade Openness. Sustainability 2021, 13, 5054. https://doi.org/10.3390/su13095054
Soylu ÖB, Adebayo TS, Kirikkaleli D. The Imperativeness of Environmental Quality in China Amidst Renewable Energy Consumption and Trade Openness. Sustainability. 2021; 13(9):5054. https://doi.org/10.3390/su13095054
Chicago/Turabian StyleSoylu, Özgür Bayram, Tomiwa Sunday Adebayo, and Dervis Kirikkaleli. 2021. "The Imperativeness of Environmental Quality in China Amidst Renewable Energy Consumption and Trade Openness" Sustainability 13, no. 9: 5054. https://doi.org/10.3390/su13095054
APA StyleSoylu, Ö. B., Adebayo, T. S., & Kirikkaleli, D. (2021). The Imperativeness of Environmental Quality in China Amidst Renewable Energy Consumption and Trade Openness. Sustainability, 13(9), 5054. https://doi.org/10.3390/su13095054

