Development of an Agent-Based Model for Weather Forecast Information Exchange in Rural Area of Bahir Dar, Ethiopia
Abstract
1. Introduction
2. Materials and Methods
2.1. Description of the Study Area
2.2. Sampling and Data Collection
2.3. Model Development
2.3.1. Conceptual Framework of ABM Development
2.3.2. Information Flow Path in the ABM Model
2.3.3. Model Calibration
2.3.4. Model Sensitivity
3. Results and Discussion
3.1. Weather Forecast Information and Main Crops
3.2. Baseline Condition
3.3. Experiments
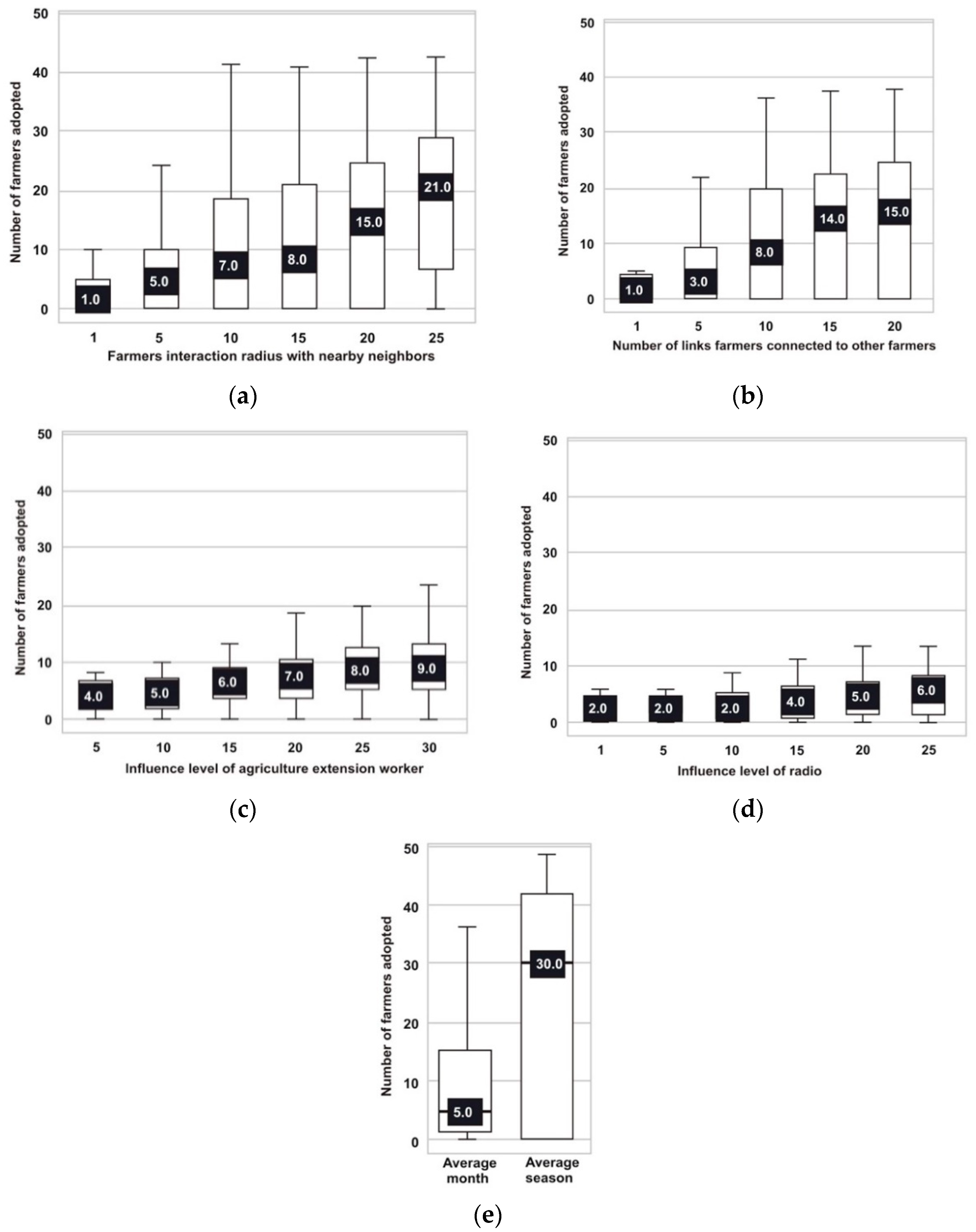
3.3.1. Experiment with Varying Farmers Interaction Distance
3.3.2. Experiment with Varying Farmers’ Links to Other Farmers
3.3.3. Experiment Varying the Influence of Radio
3.3.4. Experiment with Number of Visits from Agricultural Extension Worker
3.3.5. Experiment Varying the Extension Workers’ Influence
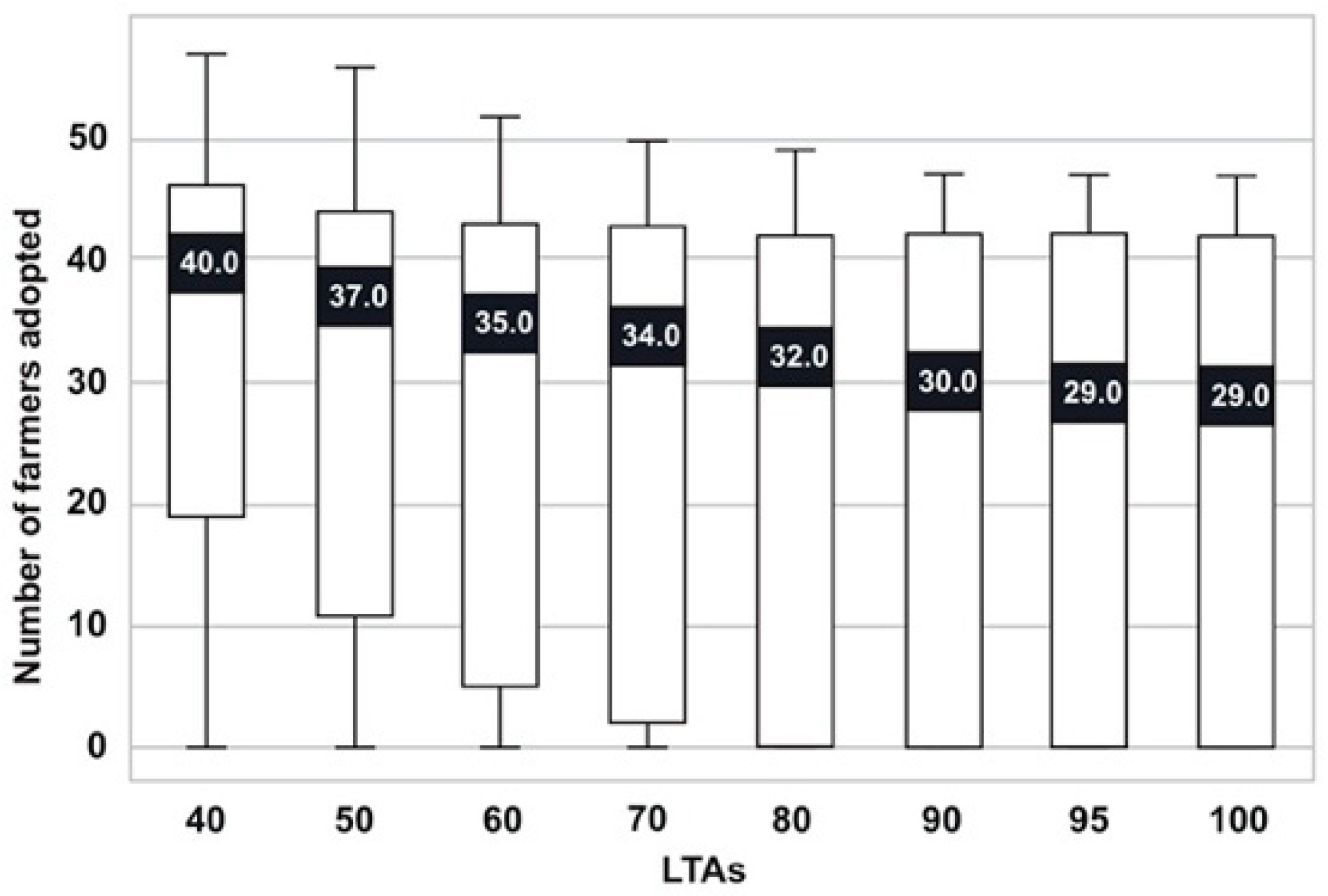
3.3.6. Experiment Varying Forecast Accuracy
4. Conclusions
Author Contributions
Funding
Institutional Review Board Statement
Informed Consent Statement
Data Availability Statement
Acknowledgments
Conflicts of Interest
Appendix A
| Name of the Village | Estimated Household Size | Cultivated Land Out of Total Area (%) | Forest Land Out of Total Area (%) | Irrigated Land Out of Cultivated Land (%) | Irrigation User Households Out of Total Households (%) | |
|---|---|---|---|---|---|---|
| 1 | Angut—Adis Alem | 45 | 81.5 | 4.2 | 0 | 0 |
| 2 | Angut—Mahal | 65 | 76.8 | 9.2 | 0 | 0 |
| 3 | Shafri | 65 | 81 | 4.2 | 0 | 0 |
| 4 | Wuren—1 | 65 | 81.8 | 4.2 | 0 | 0 |
| 5 | Wuren—2 | 60 | 81.8 | 42 | 0.05 | 10 |
| 6 | Wuren—3 | 60 | 81.8 | 4.2 | 0 | 0 |
| 7 | Cheba—1 | 60 | 81 | 4 | 0.05 | 10 |
| 8 | Cheba—2 | 55 | 81 | 4 | 0 | 0 |
| 9 | Deber Mender—1 | 55 | 81 | 4 | 0.05 | 10 |
| 10 | Deber Mender—2 | 48 | 81 | 4 | 0 | 0 |
| 11 | Babo Bate—1 | 45 | 76.5 | 9 | 0 | 0 |
| 12 | Babo Bate—2 | 45 | 77 | 9 | 0 | 0 |
| 13 | Kuyu | 50 | 81 | 4.2 | 0 | 0 |
| 14 | Ko Rim | 54 | 82 | 4 | 0 | 0 |
| 15 | Lay Gult | 50 | 82 | 4 | 0 | 0 |
| 16 | Sendi | 54 | 80 | 5 | 1 | 15 |
| 17 | Dima | 60 | 81 | 5 | 1 | 15 |
| 18 | Ketema | 387 | 2 | 10 | 0 | 0 |
| Rim Kebele | 1323 | 1916 ha (81.8%) | 100 ha (4.2%) | 20 ha (0.1%) | 22% | |
Appendix B
| Agent Types | Source | Trust | Act Upon | ||||||||
|---|---|---|---|---|---|---|---|---|---|---|---|
| Yes | No | Not | Some | Very | Fully | Never | Season | Month | Week | ||
| 1 | Neighboring farmers | 41 | 59 | 59 | 34 | 7 | 0 | 61 | 32 | 7 | 0 |
| 2 | Other farmers in the kebele | 36 | 64 | 64 | 32 | 4 | 0 | 64 | 33 | 2 | 1 |
| 3 | Relatives outside of the kebele | 22 | 78 | 78 | 21 | 0 | 1 | 78 | 21 | 1 | 0 |
| 4 | Church Priest | 9 | 91 | 91 | 5 | 4 | 0 | 91 | 8 | 1 | 0 |
| 5 | Water Father | 1 | 99 | 99 | 1 | 0 | 0 | 99 | 1 | 0 | 0 |
| 6 | Agriculture extension worker | 50 | 50 | 50 | 24 | 15 | 11 | 52 | 40 | 7 | 1 |
| 7 | Irrigation projects expert | 1 | 99 | 99 | 1 | 0 | 0 | 99 | 1 | 0 | 0 |
| 8 | Farmer cooperative member | 2 | 98 | 98 | 2 | 0 | 0 | 98 | 0 | 2 | 0 |
| 9 | Radio | 34 | 66 | 67 | 23 | 6 | 4 | 67 | 24 | 5 | 4 |
| 10 | Newspaper | 0 | 100 | 100 | 0 | 0 | 0 | 100 | 0 | 0 | 0 |
| 11 | Television | 0 | 100 | 100 | 0 | 0 | 0 | 100 | 0 | 0 | 0 |

Appendix B.1. Agents’ Environment and Interaction with the Neighboring Farmer


Appendix B.2. Agents’ Interaction through Networks

Appendix B.3. Farmers’ Interaction with an Agricultural Extension Worker

Appendix B.4. Influence of Media in Weather Forecast Dissemination
References
- Awulachew, S.B.; McCartney, M.; Ibrahim, Y.; Shiferaw, Y.S.; Gichuki, F. Evaluation of water availability and allocation in the Blue Nile basin. In Proceedings of the III and IV Proceedings of the CGIAR Challenge Program on Water and Food 2nd International Forum on Water and Food, Addis Ababa, Ethiopia, 10–14 November 2008; Humphreys, E., Bayot, R.S., Brakel, M., Gichuki, F., Eds.; Central Printing Press: Addis Ababa, Ethiopia, 2008; Volume I. [Google Scholar]
- Derib, S.D.; Assefa, T.; Berhanu, B.; Zeleke, G. Impacts of micro-basin water harvesting structures in improving vegetative cover in degraded hillslope areas of north-east Ethiopia. Rangel. J. 2009, 31, 259. [Google Scholar] [CrossRef]
- Gissila, T.; Black, E.; Grimes, D.I.F.; Slingo, J.M. Seasonal forecasting of the Ethiopian summer rains. Int. J. Climatol. 2004, 24, 1345–1358. [Google Scholar] [CrossRef]
- Ifejika, S. Resilient Adaptation to Climate Change in African Agriculture; Series 54; Deutsches Institut für Entwicklungspolitik gGmbH: Bonn, Germany, 2010; pp. 91–107. Available online: https://www.die-gdi.de/uploads/media/Studies_54.pdf (accessed on 23 May 2020).
- Wubie, A.A. Review on the impact of climate change on crop production in Ethiopia. J. Biol. Agric. Healthc. 2015, 5, 103–111. [Google Scholar]
- Klopper, E.; Vogel, C.H.; Landman, W.A. Seasonal climate forecasts—Potential agricultural-risk management tools? Clim. Chang. 2006, 76, 73–90. [Google Scholar] [CrossRef]
- Skees, J.; Hazell, P.; Miranda, M. New Approaches to Crop Yield Insurance in Developing Countries; IFPRI Discussion Paper 55; IFPRI: Washington, DC, USA, 1999. [Google Scholar]
- Roncoli, C. Ethnographic and participatory approaches to research on farmers’ responses to climate predictions. Clim. Res. 2006, 33, 81–99. [Google Scholar] [CrossRef]
- Ziervogel, G.; Opere, A. Integrating Meteorological and Indigenous Knowledge-Based Seasonal Climate Forecasts for the Agricultural Sector: Lessons from Participatory Action Research in Sub-Saharan Africa; IDRC: Ottawa, ON, Canada, 2010. [Google Scholar]
- Hammer, G.; Nicholls, N.; Mitchell, C. (Eds.) Applications of Seasonal Climate Forecasting in Agricultural and Natural Ecosystems; Atmospheric and Oceanographic Sciences Library; Springer: Dordrecht, The Netherlands, 2000; Volume 21, ISBN 978-90-481-5443-2. [Google Scholar]
- Roman, M.; Roman, M.; Prus, P.; Szczepanek, M. Tourism competitiveness of rural areas: Evidence from a region in Poland. Agriculture 2020, 10, 569. [Google Scholar] [CrossRef]
- Liu, Y.; Ji, D.; Zhang, L.; An, J.; Sun, W. Rural financial development impacts on agricultural technology innovation: Evidence from China. Int. J. Environ. Res. Public Health 2021, 18, 1110. [Google Scholar] [CrossRef] [PubMed]
- Stone, R.C.; Hoedt, G.C. The development and delivery of current seasonal climate forecasting capabilities in Australia. In Applications of Seasonal Climate Forecasting in Agricultural and Natural Ecosystems—The Australian Experience; Hammer, G., Nicholls, N., Mitchell, C., Eds.; Kluwer Academic: Amsterdam, The Netherlands, 2000; pp. 67–75. [Google Scholar]
- Gunda, T.; Bazuin, J.; Nay, J.; Yeung, K. Impact of seasonal forecast use on agricultural income in a system with varying crop costs and returns: An empirically-grounded simulation. Environ. Res. Lett. 2017, 12, 034001. [Google Scholar] [CrossRef]
- Wood, S.A.; Jina, A.S.; Jain, M.; Kristjanson, P.; DeFries, R.S. Smallholder farmer cropping decisions related to climate variability across multiple regions. Glob. Environ. Chang. 2014, 25, 163–172. [Google Scholar] [CrossRef]
- Murphy, A. Forecast verification. In Economic Value of Weather and Climate Forecasts; Katz, R., Murphy, A., Eds.; Cambridge University Press: Cambridge, UK, 1997; pp. 19–74. [Google Scholar]
- Murphy, S.J.; Washington, R.; Downing, T.E.; Martin, R.V.; Ziervogel, G.; Preston, A.; Todd, M.; Butterfield, R.; Briden, J. Seasonal forecasting for climate hazards: Prospects and responses. Nat. Hazards 2001, 23, 171–196. [Google Scholar] [CrossRef]
- Palmer, T.N.; Anderson, D.L.T. The prospects for seasonal forecasting—A review paper. Q. J. R. Meteorol. Soc. 1994, 120, 755–793. [Google Scholar] [CrossRef]
- Luhmann, N. Trust and Power; Wiley: Chichester, UK, 1979. [Google Scholar]
- Lagenspetz, O. Legitimacy and trust. Philos. Investig. 1992, 15, 1–21. [Google Scholar] [CrossRef]
- Yamamoto, Y. A morality based on trust: Some reflections on Japanese morality. Philos. East West 1990, XL, 451–469. [Google Scholar] [CrossRef]
- Deutsch, M. The Resolution of Conflict; Yale University Press: New Haven, CT, USA; London, UK, 1973. [Google Scholar]
- Renn, O.; Levine, D. Credibility and trust in risk communication. In Communicating Risks to the Public; Kasperson, R., Stallen, P., Eds.; Springer: Dordrecht, The Netherlands, 1991; pp. 175–217. [Google Scholar]
- Broad, K.; Agrawala, S. The Ethiopian food crisis—Uses and limits of climate forecasts. Science 2000, 289, 1693–1964. [Google Scholar] [CrossRef] [PubMed]
- Traoré, P.C.S.; Kouressy, M.; Vaksmann, M.; Tabo, R.; Maikano, I.; Traoré, S.B.; Cooper, P. Climate prediction and agriculture: What is different about Sudano-Sahelian West Africa? In Climate Prediction and Agriculture; Sivakumar, M., Hansen, J., Eds.; Springer: Berlin/Heidelberg, Germany, 2007; pp. 189–203. [Google Scholar]
- Vincent, K.; Cull, T.; Archer Van Garderen, E.; Conway, D.; Dalin, C.; Deryng, D.; Fallon, A.; Landman, W. Improving Effective Use of Seasonal Forecasts in South Africa; IFPRI: Washington, DC, USA, 2016. [Google Scholar]
- Patt, A.; Gwata, C. Effective seasonal climate forecast applications: Examining constraints for subsistence farmers in Zimbabwe. Glob. Environ. Chang. 2002, 12, 185–195. [Google Scholar] [CrossRef]
- Ziervogel, G.; Bithell, M.; Washington, R.; Downing, T. Agent-based social simulation: A method for assessing the impact of seasonal climate forecast applications among smallholder farmers. Agric. Syst. 2005, 83, 1–26. [Google Scholar] [CrossRef]
- Warnasooriya, A.R. Interview on Jan 19 2016 with the Deputy Director, Forecasting Division. Department of Meteorology. 2016. [Google Scholar]
- Stigter, K. (Ed.) Applied Agrometeorology, 1st ed.; Springer: Berlin/Heidelberg, Germany, 2010; ISBN 978-3-540-74697-3. [Google Scholar]
- Berri, G.J.; Antico, P.L.; Goddard, L. Evaluation of the climate outlook forums’ seasonal precipitation forecasts of southeast south America during 1998–2002. Int. J. Climatol. 2005, 25, 365–377. [Google Scholar] [CrossRef]
- Power, S.; Casey, T.; Folland, C.; Colman, A.; Mehta, V. Inter-decadal modulation of the impact of ENSO on Australia. Clim. Dyn. 1999, 15, 319–324. [Google Scholar] [CrossRef]
- Ash, A.; McIntosh, P.; Cullen, B.; Carberry, P.; Smith, M.S. Constraints and opportunities in applying seasonal climate forecasts in agriculture. Aust. J. Agric. Res. 2007, 58, 952. [Google Scholar] [CrossRef]
- Ziervogel, G.; Calder, R. Climate variability and rural livelihoods: Assessing the impact of seasonal climate forecasts in Lesotho. Area 2003, 35, 403–417. [Google Scholar] [CrossRef]
- Carberry, P.; Hammer, G.L.; Meinke, H.; Bange, M. The potential value of seasonal climate forecasting in managing cropping systems. In Applications of Seasonal Climate Forecasting Agricultural and Natural Ecosystems; Hammer, G., Nicholls, N., Mitchell, C., Eds.; Kluwer: Dordrecht, The Netherlands, 2000; pp. 167–180. [Google Scholar]
- Hammer, G.; Holzworth, D.P.; Stone, R. The value of skill in seasonal climate forecasting to wheat crop management in a region with high climatic variability. Aust. J. Agric. Res. 1996, 47, 717. [Google Scholar] [CrossRef]
- Niazi, M.; Hussain, A. Agent-based computing from multi-agent systems to agent-based models: A visual survey. Scientometrics 2011, 89, 479–499. [Google Scholar] [CrossRef]
- Chattoe, E. Why is building multi-agent models of social systems so difficult? A case study of innovation diffusion. In Proceedings of the XXIV International Conference of Agricultural Economists (IAAE), Mini-Symposium on “Integrating Approaches for Natural Resource Management and Policy Analysis: Bioeconomic Models, Multi-Agent Systems and Cellular Automata”, Berlin, Germany, 13–18 August 2000; pp. 13–19. [Google Scholar]
- Barreteau, O.; Bousquet, F.; Attonaty, J.M. Role-playing games for opening the black box of multi-agent systems: Method and lessons of its application to Senegal river valley irrigated systems. J. Artif. Soc. Soc. Simul. 2001, 4, 5. [Google Scholar]
- Mellor, J.E.; Smith, J.A.; Learmonth, G.P.; Netshandama, V.O.; Dillingham, R.A. Modeling the complexities of water, hygiene, and health in Limpopo province, south Africa. Environ. Sci. Technol. 2012, 46, 13512–13520. [Google Scholar] [CrossRef]
- Adugna, A. Ethiopian Demography and Health. Available online: http://www.ethiodemographyandhealth.org/Amhara.html (accessed on 6 December 2020).
- Central Statistical Agency Agricultural Sample Survey 2014/2015 (2007 E.C.) (September–December, 2014). Report on Land Utilization (Private Peasant Holdings, Meher Season). 2015, IV, 331. Available online: https://www.statsethiopia.gov.et/wp-content/uploads/2019/06/Agricultural-Sample-Survey-Land-Utilization-Meher-Season-2015.pdf (accessed on 23 May 2020).
- Pfaff, A.; Broad, K.; Glantz, M. Who benefits from climate forecasts? Nature 1999, 397, 645–646. [Google Scholar] [CrossRef]
- Marsh, S. Formalizing Trust as a Computational Concept; University of Stirling: Stirling, UK, 1994. [Google Scholar]
- Block, P.J. Mitigating the Effects of Hydrologic Variability in Ethiopia: An Assessment of Investments in Agricultural and Transportation Infrastructure, Energy and Hydroclimatic Forecasting; CPWF: Colombo, Sri Lanka, 2008. [Google Scholar]
- Berhan, B.; Melesse, A.M.; Seleshi, Y. GIS-Based Hydrological Zones and Soil Geo-Database of Ethiopia. Catena 2013, 104, 21–31. [Google Scholar] [CrossRef]
- Goshu, Y.A.; Yitayew, A.E. Malaria knowledge and its associated factors among pregnant women attending antenatal clinic of Adis Zemen hospital, north-western Ethiopia, 2018. PLoS ONE 2019, 14, e0210221. [Google Scholar] [CrossRef]
- Seleshi, Y.; Zanke, U. Recent changes in rainfall and rainy days in Ethiopia. Int. J. Climatol. 2004, 24, 973–983. [Google Scholar] [CrossRef]
- Van den Berg, H.; Ketelaar, J.W.; Dicke, M.; Fredrix, M. Is the farmer field school still relevant? Case studies from Malawi and Indonesia. NJAS Wageningen J. Life Sci. 2020, 92, 100329. [Google Scholar] [CrossRef]
- Cai, J.; Shi, G.; Hu, R. An impact analysis of farmer field school in China. Sustainability 2016, 8, 137. [Google Scholar] [CrossRef]
- Van Keulen, R.; Gerrit Holtland, R.W. Farmers ’ field schools in Ethiopia a manual on learning and linking for Smallholders horti. LIFE 2016. Available online: https://snv.org/cms/sites/default/files/explore/download/farmers_field_schools_-_ethiopia.pdf (accessed on 23 May 2020).
- Holtland, G. Farm Field Schools to Boost Income and Reduce Use of Harmful Pesticide. Available online: https://snv.org/update/farm-field-schools-boost-income-and-reduce-use-harmful-pesticide (accessed on 23 May 2020).
- Davis, K.; Nkonya, E.; Kato, E.; Mekonnen, D.A.; Odendo, M.; Miiro, R.; Nkuba, J. Impact of Farmer Field Schools on Agricultural Productivity and Poverty in East Africa; International Food Policy Research Institute (IFPRI): Washington, DC, USA, 2010; Volume 00992. [Google Scholar]
- IEA Ethiopia—Countries & Regions. Available online: https://www.iea.org/countries/ethiopia (accessed on 23 May 2020).
- Howard, P.N.; Mazaheri, N. Telecommunications reform, internet use and mobile phone adoption in the developing world. World Dev. 2009, 37, 1159–1169. [Google Scholar] [CrossRef]
- Trading Economics. Mobile Cellular Subscriptions in Ethiopia. Available online: https://tradingeconomics.com/ethiopia/mobile-cellular-subscriptions-wb-data.html (accessed on 4 April 2021).
- Dercon, S.; Gilligan, D.O.; Hoddinott, J.; Woldehanna, T. The impact of agricultural extension and roads on poverty and consumption growth in fifteen Ethiopian villages. Am. J. Agric. Econ. 2009, 91, 1007–1021. [Google Scholar] [CrossRef]
- Dorosh, P.; Thurlow, J. Agriculture and small towns in Africa. Agric. Econ. 2013, 44, 449–459. [Google Scholar] [CrossRef]
- Tadesse, B. Simulating strategy options for enhancing HYV-maize technology adoption in Oromia, Ethiopia. In Proceedings of the International Conference on Contemporary Development Issues in Ethiopia, Kalamazoo, MI, USA, 16–18 August 2001. [Google Scholar]
- Tura, M.; Aredo, D.; Tsegaye, W.; Rovere, R.; Kassie, G.; Mwangi, W.; Mwabu, G. Adoption and continued use of improved maize seeds: Case study of central Ethiopia. Afr. J. Agric. Res. 2010, 5, 2350–2358. [Google Scholar] [CrossRef]
- Thuo, M.; Bell, A.A.; Bravo-Ureta, B.E.; Lachaud, M.A.; Okello, D.K.; Okoko, E.N.; Kidula, N.L.; Deom, C.M.; Puppala, N. Effects of social network factors on information acquisition and adoption of improved groundnut varieties: The case of Uganda and Kenya. Agric. Hum. Values 2014, 31, 339–353. [Google Scholar] [CrossRef]
- Monge, M.; Hartwich, F.; Halgin, D. How Change Agents and Social Capital Influence the Adoption of Innovations among Small Farmers: Evidence from Social Networks in Rural Bolivia; IFPRI Discussion Paper 00761; IFPRI: Washington, DC, USA, 2008. [Google Scholar]
- Heeks, R. ICT4D 2.0: The next phase of applying ICT for international development. Computer 2008, 41, 26–33. [Google Scholar] [CrossRef]
- Tuheirwe-Mukasa, D.; Haveraaen, M.; Sansa-Otim, J.; Kanagwa, B.; Mujuni, G.R. The efficacy of ICT in weather forecast information dissemination: Evidence from farming communities in Mbale and Rakai districts, Uganda. In Climate Change Management: Agriculture and Ecosystem Resilience in Sub Saharan Africa; Bamutaze, Y., Kyamanywa, S., Singh, B., Nabanoga, G., Lal, G., Eds.; Springer: Cham, Switzerland, 2019; pp. 571–593. [Google Scholar]
- Kassie, M.; Teklewold, H.; Marenya, P.; Jaleta, M.; Erenstein, O. Production risks and food security under alternative technology choices in Malawi: Application of a multinomial endogenous switching regression. J. Agric. Econ. 2015, 66, 640–659. [Google Scholar] [CrossRef]
- Ozor, N.; Nnaji, C. The role of extension in agricultural adaptation to climate change in Enugu State, Nigeria. J. Agric. Ext. Rural Dev. 2011, 3, 42–50. [Google Scholar] [CrossRef]
- Sulaiman, R.; Davis, K. The “New Extensionist”: Roles, Strategies, and Capacities to Strengthen Extension and Advisory Services; Global Forum for Rural Advisory Services: Lindau, Switzerland, 2012. [Google Scholar]
- Cavatassi, R.; Lipper, L.; Narloch, U. Modern variety adoption and risk management in drought prone areas: Insights from the sorghum farmers of eastern Ethiopia. Agric. Econ. 2011, 42, 279–292. [Google Scholar] [CrossRef]
- Gurstein, M. Rural development and food security: A “Community Informatics” based conceptual framework. In Proceedings of the 34th Annual Hawaii International Conference on System Sciences, Maui, HI, USA, 6 January 2001; p. 10. [Google Scholar]
- Sear, C.B.; Tadesse, T.; Bettany, B.; Budgen, P.; Copley, V.; Griggs, D. The presentation of weather information via the media in Ethiopia. Meteorol. Appl. 2007, 3, 295–300. [Google Scholar] [CrossRef]
- Eakin, H. Smallholder maize production and climatic risk: A case study from Mexico. Clim. Chang. 2000, 45, 19–36. [Google Scholar] [CrossRef]
- Phillips, J.; Makaudze, E.; Unganai, L. Current and potential use of climate forecasts for resource-poor farmers in Zimbabwe. In Impacts of El Niño and Climate Variability in Agriculture; Rosenzweig, C., Ed.; American Society of Agronomy: Madison, WI, USA, 2001; pp. 87–100. [Google Scholar]
- Roncoli, C.; Ingram, K.; Kirshen, P.; Jost, C. Meteorological meanings: Understandings of seasonal rainfall forecasts by farmers of Burkina Faso. In Weather, Climate and Culture; Strauss, S., Orlove, B., Eds.; Berg: Oxford, UK, 2003; pp. 181–202. [Google Scholar]













| Information Flow | Neighboring Farmer | Other Farmers | Extension Worker | Media (Radio) | Average | |
|---|---|---|---|---|---|---|
| Source of information farmers receive from: | Yes | 41 | 36 | 50 | 34 | 40.2 |
| No | 59 | 64 | 50 | 66 | 59.8 | |
| Level of trust in weather forecast from: | Not at all | 59 | 64 | 50 | 67 | 60.0 |
| somewhat | 34 | 32 | 24 | 23 | 28.2 | |
| Very much | 7 | 4 | 15 | 6 | 8.0 | |
| Fully | 0 | 0 | 11 | 4 | 3.7 | |
| How often agents act-upon the forecast information: | Never | 61 | 64 | 52 | 67 | 61.0 |
| Twice a year | 32 | 33 | 40 | 24 | 32.2 | |
| Every month | 7 | 2 | 7 | 5 | 5.2 | |
| Once a week | 0 | 1 | 1 | 4 | 1.5 |
| Value Range | Label |
|---|---|
| 1.0 | Complete trust |
| >0.9 | Very high trust |
| 0.75–0.9 | High trust |
| 0.5–0.75 | High medium trust |
| 0.25–0.5 | Low medium trust |
| 0–0.25 | Low trust |
| −0.25 to 0 | Low distrust |
| −0.5 to −0.25 | Low medium distrust |
| −0.75 to −0.5 | High medium distrust |
| −0.9 to −0.75 | High distrust |
| <−0.9 | Very high distrust |
| −1 | Complete distrust |
| Gender of the Household Head | Age of Household Head | Education Level of Household Head | Kebele Households Own | Household Family Size | ||||
|---|---|---|---|---|---|---|---|---|
| Male | 85 | 20–30 | 19 | Illiterate | 77 | Cellphone | 63 | Average 5.01 |
| Female | 15 | 31–40 | 32 | Read & write | 9 | TV | 0 | |
| 41–50 | 26 | Grade 1–12 | 15 | Electricity | 11 | |||
| 51–81 | 29 | Church school | 4 | Radio | 66 | |||
| Bicycle | 5 | |||||||
| Solar lamp | 72 | |||||||
| Yes | No | |
|---|---|---|
| Kiremt/Meher season (Jun–Aug) | 72 | 28 |
| Belg/Autumn season (Sep–Nov) | 43 | 57 |
| Bega/Winter season (Dec–Feb) | 38 | 62 |
| Tsedey/Spring season (Mar–May) | 44 | 56 |
| Yes | No | |
|---|---|---|
| Weather forecast | 55 | 45 |
| Soil/land condition | 72 | 28 |
| Capital (money) availability | 65 | 35 |
| Availability of farm inputs/resources | 60 | 40 |
| Availability of labor | 55 | 45 |
| Family consumption needs | 56 | 44 |
| Traditional | Scientific | |||
|---|---|---|---|---|
| Yes | No | Yes | No | |
| Land preparation | 68 | 32 | 21 | 79 |
| Choose what crop type to plant | 54 | 46 | 19 | 81 |
| Choose what crop variety | 50 | 50 | 21 | 79 |
| Determine planting date | 71 | 29 | 19 | 81 |
| Determine harvest period | 69 | 31 | 28 | 72 |
| Pest management | 49 | 51 | 16 | 84 |
| Weed management | 47 | 53 | 10 | 90 |
| Never | 1–2 Times a Year | Every Month | 1 Time per Week | Daily | |
|---|---|---|---|---|---|
| Cloud and color of the sky | 21 | 55 | 9 | 6 | 9 |
| Wind direction and level | 26 | 58 | 5 | 2 | 9 |
| Temperature and humidity | 43 | 41 | 5 | 2 | 9 |
| Indicative birds | 67 | 31 | 1 | 0 | 1 |
| TV | 100 | 0 | 0 | 0 | 0 |
| Radio | 67 | 24 | 5 | 4 | 0 |
| Newspaper | 100 | 0 | 0 | 0 | 0 |
| Yes | No | |
|---|---|---|
| Starting date of rain | 72 | 28 |
| Ending date of rain | 71 | 29 |
| Number of rainy days | 56 | 44 |
| Rainfall amounts (mm) | 46 | 54 |
| Temperature (low/high) | 42 | 58 |
| Wind direction | 57 | 43 |
| Hail incidence | 66 | 34 |
| Dry Spells (days) | 59 | 41 |
| Much Worse | Worse | Same as Normal | Better | Much Better | |
|---|---|---|---|---|---|
| 2018 (2010/11 E.C) | 0/0 | 3/17 | 58/53 | 25/18 | 14/12 |
| 2017 (2009/10 E.C) | 0/0 | 13/12 | 63/67 | 21/21 | 3/0 |
| 2016 (2008/09 E.C) | 0/0 | 11/12 | 70/73 | 19/15 | 0/0 |
| Agent Type | Variable | Unit | Baseline Measurement | Adoption Rate per 100 Farmers, Seasonal |
|---|---|---|---|---|
| Number of farmers | number | number | 100 | 30 |
| Neighboring farmer | interaction radius distance | patch, 45 m | 15 | 30 |
| Other farmers | links | number | 5 | 30 |
| Extension worker | number | number | 4 | 30 |
| Extension worker | interaction radius distance | patch, 45 m | 25 | 30 |
| Extension worker | influence level | 0–100 | 15 | 30 |
| Extension worker | speed | 0–40 | 10 | 30 |
| Radio | influence level | 0–100 | 15 | 30 |
Publisher’s Note: MDPI stays neutral with regard to jurisdictional claims in published maps and institutional affiliations. |
© 2021 by the authors. Licensee MDPI, Basel, Switzerland. This article is an open access article distributed under the terms and conditions of the Creative Commons Attribution (CC BY) license (https://creativecommons.org/licenses/by/4.0/).
Share and Cite
Musayev, S.; Mellor, J.; Walsh, T.; Anagnostou, E. Development of an Agent-Based Model for Weather Forecast Information Exchange in Rural Area of Bahir Dar, Ethiopia. Sustainability 2021, 13, 4936. https://doi.org/10.3390/su13094936
Musayev S, Mellor J, Walsh T, Anagnostou E. Development of an Agent-Based Model for Weather Forecast Information Exchange in Rural Area of Bahir Dar, Ethiopia. Sustainability. 2021; 13(9):4936. https://doi.org/10.3390/su13094936
Chicago/Turabian StyleMusayev, Sardorbek, Jonathan Mellor, Tara Walsh, and Emmanouil Anagnostou. 2021. "Development of an Agent-Based Model for Weather Forecast Information Exchange in Rural Area of Bahir Dar, Ethiopia" Sustainability 13, no. 9: 4936. https://doi.org/10.3390/su13094936
APA StyleMusayev, S., Mellor, J., Walsh, T., & Anagnostou, E. (2021). Development of an Agent-Based Model for Weather Forecast Information Exchange in Rural Area of Bahir Dar, Ethiopia. Sustainability, 13(9), 4936. https://doi.org/10.3390/su13094936

