Heavy Metal Concentrations in Orchard Soils with Different Cultivation Durations and Their Potential Ecological Risks in Shaanxi Province, Northwest China
Abstract
1. Introduction
2. Materials and Methods
2.1. Study Area
2.2. Sampling and Lab Analysis
2.3. Evaluation of Soil Heavy Metal Pollution
2.4. Multivariate Statistics
3. Results and Discussion
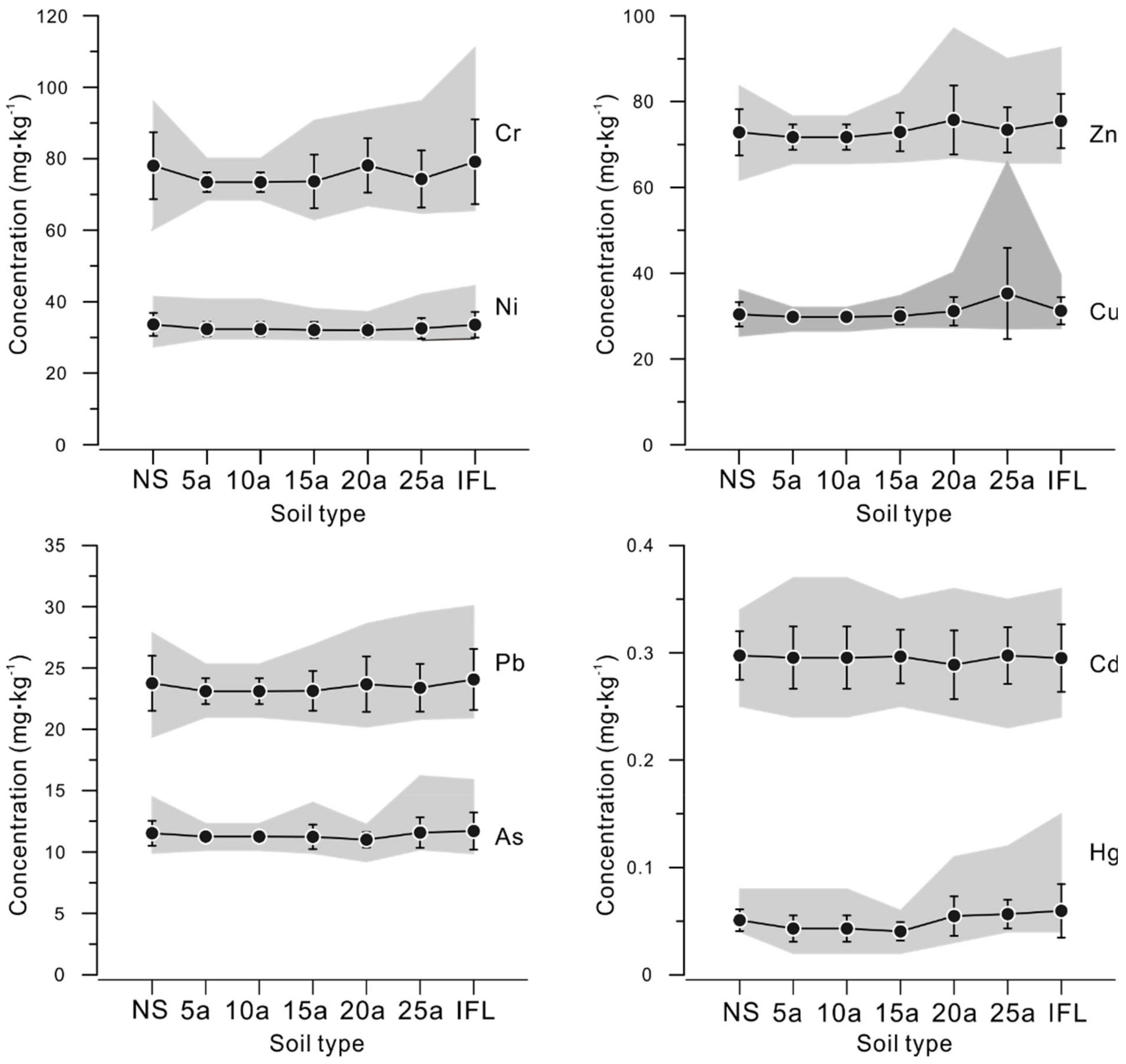
3.1. Spatial Pattern of Heavy Metal Concentrations in Soil
3.2. Multivariate Statistical Results and Their Implications for Sources
3.3. Potential Pollution Assessment of Heavy Metals in Baishui Apple Orchard Soil
3.3.1. Evaluation of Heavy Metal Pollution in Pollution-Free Orchard Soil
3.3.2. Evaluation of Heavy Metal Pollution in the Soil of Green Food-Producing Areas and the Potential Ecological Risk
4. Conclusions
Author Contributions
Funding
Institutional Review Board Statement
Informed Consent Statement
Data Availability Statement
Acknowledgments
Conflicts of Interest
References
- Zeng, S.; Ma, J.; Yang, Y.; Zhang, S.; Liu, G.J.; Chen, F. Spatial assessment of farmland soil pollution and its potential human health risks in China. Sci. Total Environ. 2019, 687, 642–653. [Google Scholar] [CrossRef]
- Singh, J.; Kalamdhad, A.S. Effects of Heavy Metals on Soil, Plants, Human Health and Aquatic Life. Int. J. Res. Chem. Environ. 2011, 1, 15–21. [Google Scholar]
- Yan, X.; Liu, M.; Zhong, J.; Guo, J.; Wu, W. How Human Activities Affect Heavy Metal Contamination of Soil and Sediment in a Long-Term Reclaimed Area of the Liaohe River Delta, North China. Sustainability 2018, 10, 338. [Google Scholar] [CrossRef]
- Sungur, A. Heavy metals mobility, sources, and risk assessment in soils and uptake by apple (Malus domestica Borkh.) leaves in urban apple orchards. J. Arch. Agron. 2016, 62, 1051–1065. [Google Scholar] [CrossRef]
- Sonoda, K.; Hashimoto, Y.; Wang, S.-L.; Ban, T. Copper and zinc in vineyard and orchard soils at millimeter vertical resolution. Sci. Total Environ. 2019, 689, 958–962. [Google Scholar] [CrossRef] [PubMed]
- Yan, M.; Ding, X.; Lei, J.; Deng, H.; Wang, R.; Chen, Q.; Gong, Y.; Dong, P. Potential ecological and health risk assessment of different kiwifruit orchards in Qianjiang district, Chongqing city, China. Environ. Sci. Pollut. Res. 2021, 28, 3088–3105. [Google Scholar] [CrossRef]
- Kinuthia, G.K.; Ngure, V.; Beti, D.; Lugalia, R.; Wangila, A.; Kamau, L. Levels of heavy metals in wastewater and soil samples from open drainage channels in Nairobi, Kenya: Community health implication. Sci. Rep. 2020, 10, 8434. [Google Scholar] [CrossRef] [PubMed]
- Kilicel, F.; Dag, B. The relationship between some heavy metal concentrations in soils, leaves and fruits of starking delicious (Malus communis Lam.) in Van, Turkey. Rev. Anal. Chem. 2006, 25, 271–283. [Google Scholar] [CrossRef]
- Nedyalkova, M.; Simeonov, V. Chemomertic Risk Assessment of Soil Pollution. Open Chem. 2019, 17, 711–721. [Google Scholar] [CrossRef]
- Zhang, Y.; Wang, R.; Peng, X.; Zhang, Y.; Ning, F.; Xu, Z.; Wang, Q.; Dong, Z.; Jia, G.; Wei, L.; et al. Changes in soil organic carbon and total nitrogen in apple orchards in different climate regions on the Loess Plateau. Catena 2021, 197, 104989. [Google Scholar] [CrossRef]
- Zhang, C.; Pang, J.; Shen, H.; Zhu, M.; Chang, M. Effects of artificial apple orchard planting ages on soil heavy metals distribution. Arid Land Geogr. 2010, 33, 164–169. [Google Scholar]
- Zhang, C.Y.; Pang, J.L.; Shen, H.Y. Assessment on Contents of Heavy Metals and Properties of Apple Orchard Soil with Different Planting Ages in Luochuan County. Bull. Soil Water Conserv. 2009, 29, 32–35,39. [Google Scholar]
- Chang, M.; Pang, J.; Zhang, C.; Zhu, M.; Zhang, W. The distribution characteristics of heavy metal elements in fruit orchard soil planted 40 years in Weibei Plateau of Shaanxi Province. J. Arid Land Resour. Environ. 2009, 23, 160–163. [Google Scholar]
- Li, Q.; Li, C.; Wang, H.; Wei, X.; Liu, Y.; Yang, R.; Wen, X. Geochemical Characteristics of Heavy Metals in Soil and Blueberries of the Core Majiang Blueberry Production Area. Bull. Environ. Contam. Toxicol. 2021, 106, 57–64. [Google Scholar] [CrossRef]
- Zhuang, S.; Lu, X. Environmental Risk Evaluation and Source Identification of Heavy Metal(loid)s in Agricultural Soil of Shangdan Valley, Northwest China. Sustainability 2020, 12, 5806. [Google Scholar] [CrossRef]
- CNwest. Baishui County, Shaanxi Province: The New Model of “Orchard Trusteeship” Helps Farmers Increase Their Income. Available online: http://news.cnwest.com/weinan/a/2020/10/17/19191068.html (accessed on 4 April 2021).
- Liang, Q.; Grégoire, D.C. Determination of Trace Elements in Twenty Six Chinese Geochemistry Reference Materials by Inductively Coupled Plasma-Mass Spectrometry. Geostand. Newsl. 2000, 24, 51–63. [Google Scholar] [CrossRef]
- Kowalska, J.B.; Mazurek, R.; Gąsiorek, M.; Zaleski, T. Pollution indices as useful tools for the comprehensive evaluation of the degree of soil contamination—A review. Environ. Geochem. Health 2018, 40, 2395–2420. [Google Scholar] [CrossRef]
- Nemerow, N.L. Scientific Stream Pollution Analysis; McGraw-Hill Book Co.: New York, NY, USA, 1974. [Google Scholar]
- Hakanson, L. An ecological risk index for aquatic pollution control.a sedimentological approach. Water Res. 1980, 14, 975–1001. [Google Scholar] [CrossRef]
- Zhu, D.; Wei, Y.; Zhao, Y.; Wang, Q.; Han, J. Heavy Metal Pollution and Ecological Risk Assessment of the Agriculture Soil in Xunyang Mining Area, Shaanxi Province, Northwestern China. Bull. Environ. Contam. Toxicol. 2018, 101, 178–184. [Google Scholar] [CrossRef]
- Dash, S.; Borah, S.S.; Kalamdhad, A.S. Heavy metal pollution and potential ecological risk assessment for surficial sediments of Deepor Beel, India. Ecol. Indic. 2021, 122, 107265. [Google Scholar] [CrossRef]
- Hammer, Ø.; Harper, D.A.T.; Ryan, P.D. PAST: Paleontological Statistics Software Package for Education and Data Analysis. Palaeontol. Electron. 2001, 4, 1–9. [Google Scholar]
- An, L.; Pan, Y.; Wang, Z.; Zhu, C. Heavy metal absorption status of five plant species in monoculture and intercropping. Plant Soil 2011, 345, 237–245. [Google Scholar] [CrossRef]
- Zaharescu, D.G.; Hooda, P.S.; Soler, A.P.; Fernandez, J.; Burghelea, C.I. Trace metals and their source in the catchment of the high altitude Lake Respomuso, Central Pyrenees. Sci. Total Environ. 2009, 407, 3546–3553. [Google Scholar] [CrossRef] [PubMed]
- Pan, H.; Lu, X.; Lei, K. A comprehensive analysis of heavy metals in urban road dust of Xi’an, China: Contamination, source apportionment and spatial distribution. Sci. Total Environ. 2017, 609, 1361–1369. [Google Scholar] [CrossRef] [PubMed]
- Yan, D.; Bai, Z.; Liu, X. Heavy-Metal Pollution Characteristics and Influencing Factors in Agricultural Soils: Evidence from Shuozhou City, Shanxi Province, China. Sustainability 2020, 12, 1907. [Google Scholar] [CrossRef]
- Ministry of Ecology and Environment of the People’s Republic of China. Soil Environmental Quality Risk Control Standards of Soil Environment Quality and Agricultural Soil Pollution Risk (GB15618-2018); Ministry of Ecology and Environment (China): Beijing, China, 2018; pp. 1–4. [Google Scholar]
- Ministry of Agriculture People’s Republic of China. Green Food-Environmental Quality for the Production Area; Ministry of Agriculture (China): Beijing, China, 2013; pp. 1–5. [Google Scholar]







| Class of Pollution | I | II | III | IV | V |
|---|---|---|---|---|---|
| Pi | ≤1 | 1–2 | 2–3 | 3–5 | >5 |
| NCI (Pt) | ≤0.7 | 0.7–1.0 | 1.0–2.0 | 2.0–3.0 | >3.0 |
| Pollution Level | Clean | Warning | Light | Intermediate | Severe |
| RI | <150 | 150–300 | 300–600 | 600–1200 | >1200 |
| Pollution Risk | Low | Moderate | Considerable | High | Very High |
| Cr | Ni | Cu | Zn | As | Cd | Pb | Hg | |
|---|---|---|---|---|---|---|---|---|
| Apple Orchard Soil | ||||||||
| Cr | 1 | |||||||
| Ni | 0.653 | 1 | ||||||
| Cu | 0.452 | 0.374 | 1 | |||||
| Zn | 0.714 | 0.662 | 0.491 | 1 | ||||
| As | 0.668 | 0.754 | 0.413 | 0.496 | 1 | |||
| Cd | −0.227 | −0.265 | −0.055 * | −0.223 | −0.183 | 1 | ||
| Pb | 0.835 | 0.574 | 0.503 | 0.749 | 0.596 | −0.083 | 1 | |
| Hg | 0.087 * | 0.060 * | 0.126 * | 0.268 | −0.104 * | −0.041 * | 0.109 * | 1 |
| Intercropping Farmland Soil | ||||||||
| Cr | 1 | |||||||
| Ni | 0.952 | 1 | ||||||
| Cu | 0.950 | 0.969 | 1 | |||||
| Zn | 0.905 | 0.938 | 0.966 | 1 | ||||
| As | 0.939 | 0.981 | 0.962 | 0.926 | 1 | |||
| Cd | −0.101 * | −0.176 * | −0.184 * | −0.138 * | −0.143 * | 1 | ||
| Pb | 0.933 | 0.864 | 0.915 | 0.887 | 0.880 | 0.094 * | 1 | |
| Hg | 0.084 * | −0.078 * | 0.001 * | 0.014 * | −0.023 * | 0.629 | 0.339 * | 1 |
| Natural Soil | ||||||||
| NS | Cr | Ni | Cu | Zn | As | Cd | Pb | |
| Cr | 1 | |||||||
| Ni | 0.930 | 1 | ||||||
| Cu | 0.871 | 0.918 | 1 | |||||
| Zn | 0.862 | 0.919 | 0.894 | 1 | ||||
| As | 0.562 | 0.530 | 0.498 | 0.545 | 1 | |||
| Cd | −0.113 * | −0.168 * | −0.075 * | −0.075 * | −0.292 * | 1 | ||
| Pb | 0.925 | 0.893 | 0.907 | 0.827 | 0.603 | −0.166 * | 1 | |
| Hg | −0.304 * | −0.263 * | −0.275 * | −0.153 * | −0.222 * | 0.177 * | −0.287 * | 1 |
Publisher’s Note: MDPI stays neutral with regard to jurisdictional claims in published maps and institutional affiliations. |
© 2021 by the authors. Licensee MDPI, Basel, Switzerland. This article is an open access article distributed under the terms and conditions of the Creative Commons Attribution (CC BY) license (https://creativecommons.org/licenses/by/4.0/).
Share and Cite
Dong, H.; Zhao, J.; Xie, M. Heavy Metal Concentrations in Orchard Soils with Different Cultivation Durations and Their Potential Ecological Risks in Shaanxi Province, Northwest China. Sustainability 2021, 13, 4741. https://doi.org/10.3390/su13094741
Dong H, Zhao J, Xie M. Heavy Metal Concentrations in Orchard Soils with Different Cultivation Durations and Their Potential Ecological Risks in Shaanxi Province, Northwest China. Sustainability. 2021; 13(9):4741. https://doi.org/10.3390/su13094741
Chicago/Turabian StyleDong, Hongmei, Jingbo Zhao, and Mengping Xie. 2021. "Heavy Metal Concentrations in Orchard Soils with Different Cultivation Durations and Their Potential Ecological Risks in Shaanxi Province, Northwest China" Sustainability 13, no. 9: 4741. https://doi.org/10.3390/su13094741
APA StyleDong, H., Zhao, J., & Xie, M. (2021). Heavy Metal Concentrations in Orchard Soils with Different Cultivation Durations and Their Potential Ecological Risks in Shaanxi Province, Northwest China. Sustainability, 13(9), 4741. https://doi.org/10.3390/su13094741

