Torrefaction Thermogravimetric Analysis and Kinetics of Sorghum Distilled Residue for Sustainable Fuel Production
Abstract
:1. Introduction
2. Materials and Methods
2.1. Materials
2.2. Thermogravimetric Analysis
2.3. Isothermal Torrefaction Kinetics
2.4. Two-Step Reaction Mechanism
2.5. Particle Swarm Optimization (PSO)
3. Results and Discussion
3.1. Basic Properties and Thermogravimetric Analysis
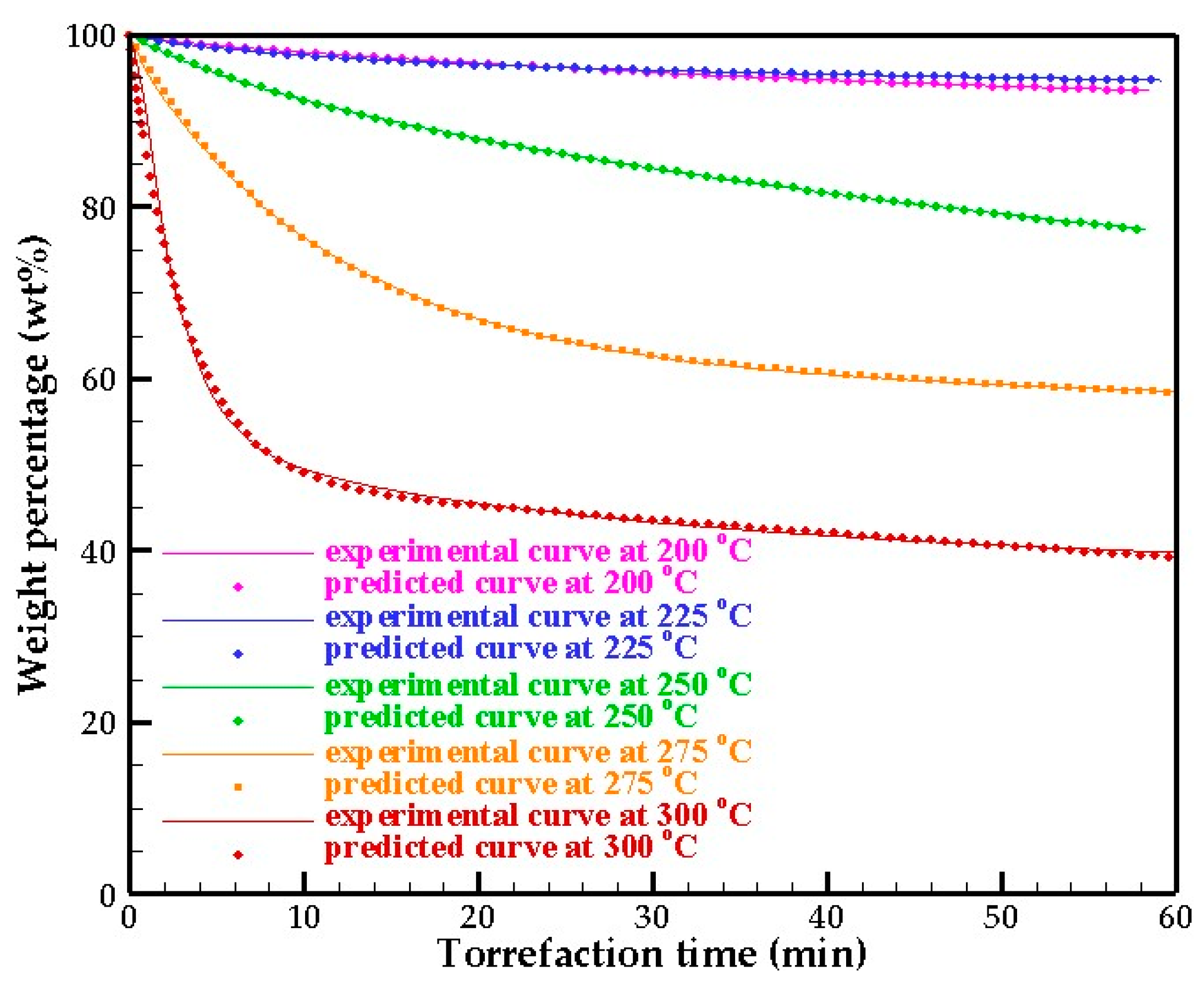
3.2. Isothermal Torrefaction
3.3. Torrefaction Kinetics from the Traditional Model-Free Approach
3.4. Torrefaction Kinetics from PSO Approach
4. Conclusions
Author Contributions
Funding
Institutional Review Board Statement
Informed Consent Statement
Data Availability Statement
Acknowledgments
Conflicts of Interest
References
- Adeleke, A.A.; Odusote, J.K.; Ikubanni, P.P.; Lasode, O.A.; Malathi, M.; Paswan, D. Essential basics on biomass torrefaction, densification and utilization. Int. J. Energy Res. 2020, 45, 1375–1395. [Google Scholar] [CrossRef]
- Chen, W.-H.; Lin, B.-J.; Lin, Y.-Y.; Chu, Y.-S.; Ubando, A.T.; Show, P.L.; Ong, H.C.; Chang, J.-S.; Ho, S.-H.; Culaba, A.B.; et al. Progress in biomass torrefaction: Principles, applications and challenges. Prog. Energy Combust. Sci. 2021, 82, 100887. [Google Scholar] [CrossRef]
- Chen, W.H.; Huang, M.Y.; Chang, J.S.; Chen, C.Y. Thermal decomposition dynamics and severity of microalgae residues in torrefaction. Bioresour. Technol. 2014, 169, 258–264. [Google Scholar] [CrossRef] [PubMed]
- Chen, W.H.; Lu, K.M.; Tsai, C.M. An experimental analysis on property and structure variations of agricultural wastes undergoing torrefaction. Appl. Energy 2012, 100, 318–325. [Google Scholar] [CrossRef]
- Lu, K.-M.; Lee, W.-J.; Chen, W.-H.; Lin, T.-C. Thermogravimetric analysis and kinetics of co-pyrolysis of raw/torrefied wood and coal blends. Appl. Energy 2013, 105, 57–65. [Google Scholar] [CrossRef]
- Prins, M.J.; Ptasinski, K.J.; Janssen, F.J.J.G. Torrefaction of wood. J. Anal. Appl. Pyrolysis 2006, 77, 28–34. [Google Scholar] [CrossRef]
- Rousset, P.; Aguiar, C.; Labbe, N.; Commandre, J.M. Enhancing the combustible properties of bamboo by torrefaction. Bioresour. Technol. 2011, 102, 8225–8231. [Google Scholar] [CrossRef]
- Chen, Y.-D.; Liu, F.; Ren, N.-Q.; Ho, S.-H. Revolutions in algal biochar for different applications: State-of-the-art techniques and future scenarios. Chin. Chem. Lett. 2020, 31, 2591–2602. [Google Scholar] [CrossRef]
- Li, Y.H.; Kuo, W.C. The study of optimal parameters of oxygen-enriched combustion in fluidized bed with optimal torrefied woody waste. Int. J. Energy Res. 2020, 44, 7416–7434. [Google Scholar] [CrossRef]
- Chen, C.Y.; Chen, W.H. Co-torrefaction followed by co-combustion of intermediate waste epoxy resins and woody biomass in the form of mini-pellet. Int. J. Energy Res. 2020, 44, 9317–9332. [Google Scholar] [CrossRef]
- Ubando, A.T.; Felix, C.B.; Chen, W.H. Biorefineries in circular bioeconomy: A comprehensive review. Bioresour. Technol. 2020, 299, 122585. [Google Scholar] [CrossRef]
- Wang, T.T.; Sun, Z.Y.; Huang, Y.L.; Tan, L.; Tang, Y.Q.; Kida, K. Biogas Production from Distilled Grain Waste by Thermophilic Dry Anaerobic Digestion: Pretreatment of Feedstock and Dynamics of Microbial Community. Appl. Biochem. Biotechnol. 2018, 184, 685–702. [Google Scholar] [CrossRef]
- Luo, T.; Huang, H.; Mei, Z.; Shen, F.; Ge, Y.; Hu, G.; Meng, X. Hydrothermal pretreatment of rice straw at relatively lower temperature to improve biogas production via anaerobic digestion. Chin. Chem. Lett. 2019, 30, 1219–1223. [Google Scholar] [CrossRef]
- Su, M.Y.; Tzeng, W.S.; Shyu, Y.T. An analysis of feasibility of bioethanol production from Taiwan sorghum liquor waste. Bioresour. Technol. 2010, 101, 6669–6675. [Google Scholar] [CrossRef] [PubMed]
- Ye, G.; Luo, H.; Ren, Z.; Ahmad, M.S.; Liu, C.-G.; Tawab, A.; Al-Ghafari, A.B.; Omar, U.; Gull, M.; Mehmood, M.A. Evaluating the bioenergy potential of Chinese Liquor-industry waste through pyrolysis, thermogravimetric, kinetics and evolved gas analyses. Energy Convers. Manag. 2018, 163, 13–21. [Google Scholar] [CrossRef]
- Chen, W.-H.; Peng, J.; Bi, X.T. A state-of-the-art review of biomass torrefaction, densification and applications. Renew. Sustain. Energy Rev. 2015, 44, 847–866. [Google Scholar] [CrossRef]
- Devos, P.; Commandre, J.M.; Brancheriau, L.; Candelier, K.; Rousset, P. Modeling mass loss of biomass by NIR-spectrometry during the torrefaction process. Int. J. Energy Res. 2020, 44, 9787–9797. [Google Scholar] [CrossRef]
- Bach, Q.V.; Chen, W.H.; Chu, Y.S.; Skreiberg, O. Predictions of biochar yield and elemental composition during torrefaction of forest residues. Bioresour. Technol. 2016, 215, 239–246. [Google Scholar] [CrossRef]
- Chew, J.J.; Doshi, V. Recent advances in biomass pretreatment—Torrefaction fundamentals and technology. Renew. Sustain. Energy Rev. 2011, 15, 4212–4222. [Google Scholar] [CrossRef]
- Ciolkosz, D.; Wallace, R. A review of torrefaction for bioenergy feedstock production. Biofuels Bioprod. Biorefining 2011, 5, 317–329. [Google Scholar] [CrossRef]
- Van der Stelt, M.J.C.; Gerhauser, H.; Kiel, J.H.A.; Ptasinski, K.J. Biomass upgrading by torrefaction for the production of biofuels: A review. Biomass Bioenergy 2011, 35, 3748–3762. [Google Scholar] [CrossRef]
- Chen, W.-H.; Chu, Y.-S.; Liu, J.-L.; Chang, J.-S. Thermal degradation of carbohydrates, proteins and lipids in microalgae analyzed by evolutionary computation. Energy Convers. Manag. 2018, 160, 209–219. [Google Scholar] [CrossRef]
- Chen, W.-H.; Eng, C.F.; Lin, Y.-Y.; Bach, Q.-V. Independent parallel pyrolysis kinetics of cellulose, hemicelluloses and lignin at various heating rates analyzed by evolutionary computation. Energy Convers. Manag. 2020, 221, 113165. [Google Scholar] [CrossRef]
- Chen, W.-H.; Kuo, P.-C. Isothermal torrefaction kinetics of hemicellulose, cellulose, lignin and xylan using thermogravimetric analysis. Energy 2011, 36, 6451–6460. [Google Scholar] [CrossRef]
- Aquilanti, V.; Mundim, K.C.; Cavalli, S.; De Fazio, D.; Aguilar, A.; Lucas, J.M. Exact activation energies and phenomenological description of quantum tunneling for model potential energy surfaces. The F+H2 reaction at low temperature. Chem. Phys. 2012, 398, 186–191. [Google Scholar] [CrossRef]
- Liu, J.-L.; Lin, J.-H. Evolutionary computation of unconstrained and constrained problems using a novel momentum-type particle swarm optimization. Eng. Optim. 2007, 39, 287–305. [Google Scholar] [CrossRef]
- Rizzo, A.M.; Prussi, M.; Bettucci, L.; Libelli, I.M.; Chiaramonti, D. Characterization of microalga Chlorella as a fuel and its thermogravimetric behavior. Appl. Energy 2013, 102, 24–31. [Google Scholar] [CrossRef]
- Peng, W.M.; Wu, Q.Y.; Tu, P.G.; Zhao, N.M. Pyrolytic characteristics of microalgae as renewable energy source determined by thermogravimetric analysis. Bioresour. Technol. 2001, 80, 1–7. [Google Scholar] [CrossRef]
- Peng, W.M.; Wu, Q.Y.; Tu, P.G. Pyrolytic characteristics of heterotrophic Chlorella protothecoides for renewable bio-fuel production. J. Appl. Phycol. 2001, 13, 5–12. [Google Scholar] [CrossRef]










| Biomass | SDR |
|---|---|
| Photograph | ![]() |
| Composition analysis (%) | |
| Crude carbohydrate | 68.5 |
| Crude protein | 12.7 |
| Crude lipid | 4.5 |
| Others | 14.3 |
| Proximate analysis (wt%) | |
| Volatile matter (VM) | 68.97 |
| Fixed carbon (FC) | 16.28 |
| Moisture | 5.68 |
| Ash | 9.08 |
| HHV (MJ·kg−1, dry basis) | 17.386 |
| n | R2 |
|---|---|
| 1 | 0.8469 |
| 2 | 0.8931 |
| 3 | 0.9115 (Max.) |
| 4 | 0.9083 |
| 5 | 0.9062 |
| 6 | 0.9012 |
| 7 | 0.8975 |
| 8 | 0.8938 |
| 9 | 0.8909 |
| Parameters/Equation | Amount/Expression |
|---|---|
| R2 | 0.9115 |
| Regression line | ln k = −13,611/T+21.621 |
| n | 3 |
| Ea (kJ·mol−1) | 113.1619 |
| A(min−1) | 2,454,036,361 |
| Temperature (°C) | Fit Quality, F (%) |
|---|---|
| 200 | 99.98 |
| 225 | 99.97 |
| 250 | 99.91 |
| 275 | 99.77 |
| 300 | 99.28 |
| Parameters | k1 | kV1 | k2 | kV2 |
|---|---|---|---|---|
| 200 °C | ||||
| Ea | 4.21 × 104 | 3.88 × 104 | 1.67 × 105 | 9.27 × 104 |
| A | 2.42 × 102 | 1.05 | 8.13 × 1014 | 4.45 × 105 |
| k | 5.41 × 10-3 | 5.49 × 10-5 | 2.65 × 10-4 | 2.57 × 10-5 |
| 225 °C | ||||
| Ea | 4.52 × 104 | 4.04 × 104 | 1.75 × 105 | 9.83 × 104 |
| A | 1.45 × 102 | 1.09 | 8.50 × 1014 | 3.23 × 105 |
| k | 2.64 × 10-3 | 6.41 × 10-5 | 3.72 × 10-4 | 1.59 × 10-5 |
| 250 °C | ||||
| Ea | 4.53 × 104 | 3.69 × 104 | 1.86 × 105 | 9.56 × 104 |
| A | 8.43 × 10 | 8.78 × 10-1 | 6.49 × 1014 | 2.78 × 105 |
| k | 2.54 × 10-3 | 1.83 × 10-4 | 1.80 × 10-4 | 7.93 × 10-5 |
| 275 °C | ||||
| Ea | 5.21 × 104 | 3.24 × 104 | 1.89 × 105 | 9.43 × 104 |
| A | 2.63 × 102 | 8.10 × 10-1 | 9.07 × 1014 | 3.07 × 105 |
| k | 2.85 × 10-3 | 6.65 × 10-4 | 7.84 × 10-4 | 3.13 × 10-4 |
| 300 °C | ||||
| Ea | 5.17 × 104 | 3.00 × 104 | 2.02 × 105 | 1.03 × 105 |
| A | 1.38 × 102 | 1.50 | 6.15 × 1014 | 2.25 × 105 |
| k | 2.68 × 10-3 | 2.77 × 10-3 | 2.22 × 10-4 | 9.31 × 10-5 |
Publisher’s Note: MDPI stays neutral with regard to jurisdictional claims in published maps and institutional affiliations. |
© 2021 by the authors. Licensee MDPI, Basel, Switzerland. This article is an open access article distributed under the terms and conditions of the Creative Commons Attribution (CC BY) license (https://creativecommons.org/licenses/by/4.0/).
Share and Cite
Yen, S.-W.; Chen, W.-H.; Chang, J.-S.; Eng, C.-F.; Raza Naqvi, S.; Show, P.L. Torrefaction Thermogravimetric Analysis and Kinetics of Sorghum Distilled Residue for Sustainable Fuel Production. Sustainability 2021, 13, 4246. https://doi.org/10.3390/su13084246
Yen S-W, Chen W-H, Chang J-S, Eng C-F, Raza Naqvi S, Show PL. Torrefaction Thermogravimetric Analysis and Kinetics of Sorghum Distilled Residue for Sustainable Fuel Production. Sustainability. 2021; 13(8):4246. https://doi.org/10.3390/su13084246
Chicago/Turabian StyleYen, Shih-Wei, Wei-Hsin Chen, Jo-Shu Chang, Chun-Fong Eng, Salman Raza Naqvi, and Pau Loke Show. 2021. "Torrefaction Thermogravimetric Analysis and Kinetics of Sorghum Distilled Residue for Sustainable Fuel Production" Sustainability 13, no. 8: 4246. https://doi.org/10.3390/su13084246
APA StyleYen, S.-W., Chen, W.-H., Chang, J.-S., Eng, C.-F., Raza Naqvi, S., & Show, P. L. (2021). Torrefaction Thermogravimetric Analysis and Kinetics of Sorghum Distilled Residue for Sustainable Fuel Production. Sustainability, 13(8), 4246. https://doi.org/10.3390/su13084246


