Esports Spectating Motives and Streaming Consumption: Moderating Effect of Game Genres and Live-Streaming Types
Abstract
1. Introduction
2. Theoretical Background and Hypothesis Development
2.1. Growth of Esports Market
2.2. Esports Spectators’ Motives
2.3. Esports Live-Streaming Consumption
2.4. Game Genres and Live-Streaming Types
3. Method
3.1. Sampling
3.2. Measurement
3.3. Data Analysis
4. Results
4.1. Descriptive Analysis, Assumption Test
4.2. Measurement Model
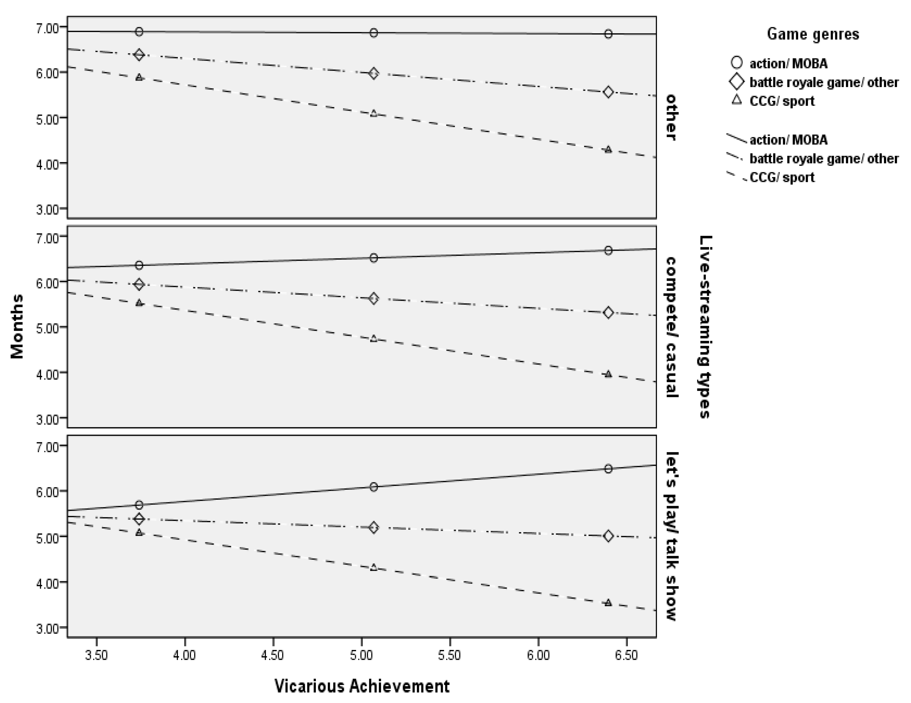
4.3. Moderating Effects
5. Discussion
5.1. Practical Implications
5.2. Limitations and Future Study Suggestions
Author Contributions
Funding
Institutional Review Board Statement
Informed Consent Statement
Conflicts of Interest
References
- Charts, E. 2019 World Championship. 2019. Available online: https://escharts.com/tournaments/lol/2019-world-championship (accessed on 5 August 2020).
- Global, N. eSports Market Report 2020: Light Version. 2020. Available online: https://esportsobserver.com/product/newzoo-global-esports-market-report-2020/ (accessed on 1 March 2021).
- Dziubinski, Z.; Jasny, M. Free time, tourism and recreation: Some sociological reflections. IDO Mov. Cult. J. Martial Arts Anthropol. 2017, 17, 68–73. [Google Scholar] [CrossRef]
- Goldman, M.M.; Hedlund, D.P. Rebooting content: Broadcasting sport and esports to homes during COVID-19. Int. J. Sport Commun. 2020, 13, 370–380. [Google Scholar] [CrossRef]
- Jang, W.W.; Byon, K.K. Antecedents and consequence associated with esports gameplay. Int. J. Sports Mark. Spons. 2020, 21, 1–22. [Google Scholar] [CrossRef]
- Sjöblom, M.; Törhönen, M.; Hamari, J.; Macey, J. Content structure is king: An empirical study on gratifications, game genres and content type on Twitch. Comput. Hum. Behav. 2017, 73, 161–171. [Google Scholar] [CrossRef]
- Jang, W.W.; Byon, K.K.; Baker, T.A.; Tsuji, Y. Mediating effect of esports content live streaming in the relationship between esports recreational gameplay and esports event broadcast. Sport Bus. Manag. Int. J. 2020. [Google Scholar] [CrossRef]
- Cynarski, W.J.; Słopecki, J. Martial arts in area of mass culture–chosen examples of presence. J. Combat. Sports Martial Arts 2016, 1, 1–5. [Google Scholar] [CrossRef]
- Hamari, J.; Sjöblom, M. What is esports and why do people watch it? Internet Res. 2017, 27, 211–232. [Google Scholar] [CrossRef]
- Hilvert-Bruce, Z.; Neill, J.T.; Sjöblom, M.; Hamari, J. Social motivations of live-streaming viewer engagement on Twitch. Comput. Hum. Behav. 2018, 84, 58–67. [Google Scholar] [CrossRef]
- Jang, W.W.; Byon, K.K. Antecedents of esports gameplay intention: Genre as a moderator. Comput. Hum. Behav. 2020, 109, 106336. [Google Scholar] [CrossRef]
- Funk, D.C.; Pizzo, A.D.; Baker, B.J. eSport management: Embracing eSport education and research opportunities. Sport Manag. Rev. 2018, 21, 7–13. [Google Scholar] [CrossRef]
- Newzoo. Global Games Market Report 2018: Per Region & Segment. 2018. Available online: https://newzoo.com/insights/articles/global-games-market-reaches-137-9-billion-in-2018-mobile-games-take-half/ (accessed on 30 December 2020).
- Taylor, H. Global eSports Revenue Projected to Reach $905.6 m in Gameinduatry.biz. Available online: https://www.gamesindustry.biz/articles/2018-02-21-global-esports-revenue-projected-to-reach-usd905-6m-in-2018 (accessed on 21 February 2018).
- Charts, E. Fortnite World Cup 2019 Final. 2019. Available online: https://escharts.com/tournaments/fortnite/fortnite-world-cup-finals (accessed on 5 August 2020).
- Statista. Hours Viewed of the Fortnite World Cup in 2019. 2019. Available online: https://www.statista.com/statistics/746089/fortnite-world-cup-hours-viewed/ (accessed on 26 February 2021).
- Qian, T.Y.; Zhang, J.J.; Wang, J.J.; Hulland, J. Beyond the game: Dimensions of esports online spectator demand. Commun. Sport 2020, 8, 825–851. [Google Scholar] [CrossRef]
- Pizzo, A.D.; Sangwon, N.; Baker, B.J.; Mi Ae, L.; Doohan, K.; Funk, D.C. eSport vs. sport: A comparison of spectator motives. Sport Mark. Q. 2018, 27, 108–123. [Google Scholar]
- Trail, G.T. Manual for the MSSC. 2012. Available online: http://sportconsumerresearchconsultants.yolasite.com/resources/MSSC%20Manual%20-%202012.pdf (accessed on 30 August 2020).
- Trail, G.T.; James, J.D. The motivation scale for sport consumption: Assessment of the scale’s psychometric properties. J. Sport Behav. 2001, 24, 108–127. [Google Scholar]
- Sjöblom, M.; Hamari, J. Why do people watch others play video games? An empirical study on the motivations of Twitch users. Comput. Hum. Behav. 2017, 75, 985–996. [Google Scholar] [CrossRef]
- Hamilton, W.A.; Garretson, O.; Kerne, A. Streaming on twitch: Fostering participatory communities of play within live mixed media. In Proceedings of the SIGCHI Conference on Human Factors in Computing Systems, Toronto, ON, Canada, 26 April–1 May 2014. [Google Scholar]
- Anttila, P. What are the Motivational Aspects to Spectate Esports or Other Live Gaming Streams? Master’s Thesis, University of Oulu, Oulu, Finland, 2018. Available online: http://jultika.oulu.fi/files/nbnfioulu-201811093010.pdf (accessed on 2 March 2021).
- Browne, J.T.; Batra, B. Twickle: Growing Twitch streamer’s communities through gamification of word-of-mouth referrals. In Proceedings of the 2018 ACM International Conference on Interactive Experiences for T.V. and Online Video, New York, NY, USA, 26–28 June 2018. [Google Scholar]
- Chen, C.C.; Lin, Y.C. What drives live-stream usage intention? The perspectives of flow, entertainment, social interaction, and endorsement. Telemat. Inform. 2018, 35, 293–303. [Google Scholar] [CrossRef]
- Drive, M. Insight: Gaming Industry Trend in 2019 and Analysis of Players. 2019. Available online: http://www.mediadrive.com.tw/blog_content.php?id=207# (accessed on 2 January 2021).
- Richardson, L. Study Says Women Make up 30 Percent of eSports Viewership. 2019. Available online: https://dotesports.com/culture/news/study-says-women-make-up-30-percent-of-esports-viewership (accessed on 22 December 2020).
- Newzoo. Games Consumer Insights 2018: Taiwanese Urban Online Population. 2018. Available online: https://newzoo.com/insights/infographics/taiwan-games-market-2018/ (accessed on 15 February 2021).
- Hayes, A.F. Introduction to Mediation, Moderation, and Conditional Process Analysis: A Regression-Based Approach; Guilford Publications: New York, NY, USA, 2017. [Google Scholar]
- Nevitt, J.; Hancock, G. Performance of bootstrapping approaches to model test statistics and parameter standard error estimation in structural equation modeling. Struct. Equ. Model. Multidiscip. J. 2001, 8, 353–377. [Google Scholar] [CrossRef]
- Bagozzi, R.P.; Yi, Y. On the evaluation of structural equation models. J. Acad. Mark. Sci. 1988, 16, 74–94. [Google Scholar] [CrossRef]
- Hair, J.F.; Black, W.C.; Babin, B.J.; Anderson, R.E.; Tatham, R.L. Multivariate Data Analysis, 7th ed.; Prentice Hall Upper: Saddle River, NJ, USA, 2010. [Google Scholar]
- Tang, T.; Kucek, J.; Toepfer, S. Active within structures: Predictors of esports gameplay and spectatorship. Commun. Sport 2020, in press. [Google Scholar] [CrossRef]
- Lee, S.; Bonnar, D.; Roane, B.; Gradisar, M.; Dunican, I.C.; Lastella, M.; Maisey, G.; Suh, S. Sleep characteristics and mood of professional esports athletes: A multi-national study. Int. J. Environ. Res. Public Health 2021, 18, 664. [Google Scholar] [CrossRef]
- Chang, C.H.; Robinson, L.; Shu, S.T.; Ma, S.C. Fitness innovativeness, duration of stay, and revisit behavior: A moderation relationship. Int. J. Sports Mark. Spons. 2019, 20, 634–645. [Google Scholar] [CrossRef]
- Jang, W.W.; Byon, K.K. Investigation of esports playing intention formation: The moderating impact of gender. Sport Mark. Q. in press.








| Live-Streaming Types | Description |
|---|---|
| Compete | Competitive matchmaking, esports tournament, and matches. |
| Casual | No strict structure or aim, relatively explorative. Commentary and gameplay may focus and adapt to the discussion forming around the stream. |
| Let’s play | The streamer plays a new esports game. The aim is commonly to simulate the experience the average consumer’s experience when starting to play the esports game. |
| Talk show | Streamers are good game players and great entertainers. The popular streamers who play esports games indicate that engaging with stream chat is the most important to satisfy their viewers. The viewers are not just looking for gameplay but also entertainment with streamers’ talking and reaction. |
| How to play | The streamer plays a game in an instructive/demonstrative manner to teach viewers the strategies and intricacies of the game they are playing. |
| Reviews | The streamer gives a concise review of a game. Reviews provide an analytical and sometimes also critical approach to the game. |
| Speed-run | Streamers who play popular esports games not only play well but also entertain their viewers. Thus, streamers make speed-run content such as the fastest death, first kill, solo win, etc. Sometimes, viewers bet donations for the success of those speed-run missions. |
| Genres | Description | e.g. |
|---|---|---|
| Action | Games that offer intensity of action as the primary attraction. | Super Smash Bros: Ultimate |
| Multiplayer online battle arena (MOBA) | Players use powerful units known as heroes and are assisted by allied heroes and AI-controlled fighters called creeps. As in role-playing games, players level up their hero and use gold to buy equipment during the mission. | League of Legends, Arena of Valor |
| Battle royale | Battle royale games involve a large number of players, ranging from dozens to hundreds, who start with minimal equipment and then must eliminate all other opponents while avoiding being trapped outside of a shrinking safe area, with the winner being the last player or team alive. | Apex Legends, PUBG |
| Collectible card game (CCG) | A kind of strategy card game. | Hearthstone, Shadowverse |
| Sport simulation | Games based on athletic teams and events. | FIFA |
| Variable | Frequency | % |
|---|---|---|
| Sex | ||
| Male | 225 | 72.1 |
| Female | 87 | 27.9 |
| Age group | ||
| 21–30 years | 241 | 77.2 |
| 31–40 years | 41 | 13.1 |
| 41–49 years | 18 | 5.8 |
| 50 years and older | 12 | 3.8 |
| Education | ||
| Senior high school | 31 | 9.9 |
| College/university | 197 | 63.2 |
| Graduate and above | 84 | 26.9 |
| Game genres | ||
| Action | 49 | 15.7 |
| MOBA | 119 | 38.1 |
| Battle royale | 40 | 12.8 |
| CCG | 31 | 9.9 |
| Sport | 25 | 8.1 |
| Other | 48 | 15.4 |
| Live-streaming types | ||
| Compete | 149 | 47.8 |
| Casual | 86 | 27.5 |
| Let’s play | 32 | 10.2 |
| Talk show | 23 | 7.4 |
| Other | 22 | 7.1 |
| Items | M | SD | Kurt. | Skew | SFL |
|---|---|---|---|---|---|
| Vicarious achievement (CR = 0.93; AVE = 0.81; α = 0.93) | 5.07 | 1.33 | 0.32 | −0.63 | |
| I feel a personal sense of achievement when the team does well. | 5.01 | 1.39 | −0.50 | −0.04 | 0.92 |
| I feel proud when the team plays well. | 5.09 | 1.42 | −0.52 | −0.08 | 0.93 |
| I feel like I have won when the team wins. | 5.09 | 1.44 | −0.56 | 0.08 | 0.85 |
| Aesthetics (CR = 0.94; AVE = 0.84; α = 0.94) | 5.26 | 1.30 | 0.52 | −0.74 | |
| I enjoy the gracefulness associated with the esports game. | 5.30 | 1.38 | −0.72 | 0.30 | 0.86 |
| I appreciate the beauty inherent in the esports game. | 5.25 | 1.38 | −0.61 | 0.06 | 0.96 |
| I like the beauty and grace of the esports game. | 5.22 | 1.36 | −0.63 | 0.17 | 0.93 |
| Drama (CR = 0.88; AVE = 0.70; α = 0.88) | 5.48 | 1.28 | 0.78 | −0.92 | |
| I enjoy the drama of close esports games. | 5.46 | 1.39 | −0.79 | 0.32 | 0.78 |
| I enjoy the uncertainty of close esports games. | 5.51 | 1.45 | −0.92 | 0.52 | 0.87 |
| I enjoy it when the outcome of the game is not decided until the very end. | 5.47 | 1.44 | −0.91 | 0.41 | 0.86 |
| Escape (CR = 0.92; AVE = 0.79; α = 0.89) | 4.37 | 1.57 | −0.52 | −0.25 | |
| The esports game provides an escape from my day-to-day routine. | 4.33 | 1.66 | −0.27 | −0.51 | 0.84 |
| The esports game provides a distraction from my everyday activities. | 4.43 | 1.76 | −0.36 | −0.65 | 0.90 |
| It provides me with an opportunity to escape the reality of my daily life for a while. | 4.34 | 1.78 | −0.22 | −0.80 | 0.93 |
| Acquisition of knowledge (CR = 0.92; AVE = 0.80; α = 0.92) | 5.40 | 1.29 | 1.15 | −0.97 | |
| I can increase my knowledge about the esports game. | 5.38 | 1.38 | −0.88 | 0.90 | 0.84 |
| I can increase my understanding of the strategy by watching the esports game. | 5.38 | 1.37 | −0.99 | 1.17 | 0.94 |
| I can learn about the technical aspects by watching the esports game. | 5.42 | 1.38 | −0.91 | 0.74 | 0.90 |
| Physical skill of the athletes (CR = 0.96; AVE = 0.89; α = 0.96) | 5.71 | 1.32 | 1.71 | −1.28 | |
| The superior skills are something I appreciate while watching the esports game. | 5.69 | 1.36 | −1.16 | 1.24 | 0.93 |
| I enjoy watching a skillful performance in the esports game. | 5.72 | 1.36 | −1.19 | 1.33 | 0.96 |
| I enjoy watching a well-executed performance. | 5.71 | 1.37 | −1.17 | 1.20 | 0.94 |
| Social interaction (CR = 0.91; AVE = 0.78; α = 0.91) | 4.72 | 1.42 | −0.18 | −0.41 | |
| I enjoy interacting with other people when I watch an esports game. | 4.90 | 1.52 | −0.48 | −0.19 | 0.85 |
| I enjoy socializing with other people when I watch a game. | 4.58 | 1.55 | −0.35 | −0.26 | 0.89 |
| I like having the opportunity to interact with other people. | 4.65 | 1.54 | −0.31 | −0.30 | 0.91 |
| Physical attractiveness (CR = 0.87; AVE = 0.70; α = 0.78) | 4.58 | 1.38 | −0.23 | −0.33 | |
| I enjoy watching players who are physically attractive. | 5.12 | 1.60 | −0.57 | −0.55 | 0.60 |
| An individual player’s “sex appeal” is a big reason why I watch esports. | 4.90 | 1.62 | −0.42 | −0.63 | 0.93 |
| The main reason I watch esports is because I find the players physically attractive. | 3.73 | 1.73 | 0.16 | −0.80 | 0.93 |
| Enjoyment of aggression (CR = 0.84; AVE = 0.63; α = 0.83) | 4.50 | 1.37 | 0.04 | −0.29 | |
| I enjoy the fighting and rough play during the esports game. | 4.17 | 1.64 | −0.23 | −0.46 | 0.86 |
| I enjoy the aggressive behavior of the esports players. | 5.02 | 1.65 | −0.6 | 0.20 | 0.68 |
| I enjoy the hostility and intimidation that are part of the esports game | 4.30 | 1.64 | −0.21 | −0.48 | 0.83 |
| Novelty (CR = 0.93; AVE = 0.82; α = 0.93) | 4.81 | 1.41 | 0.04 | −0.54 | |
| I like having the opportunity to watch a new esports team. | 4.62 | 1.55 | −0.44 | −0.41 | 0.89 |
| The opportunity to attend games with a new team is fun. | 4.81 | 1.51 | −0.54 | −0.07 | 0.93 |
| I enjoy the novelty of a new esports team. | 5.09 | 1.45 | −0.60 | 0.05 | 0.89 |
| Donate | 247.75 | 271.81 | 1.70 | 1.72 | NA |
| Subscription | 5.71 | 4.72 | 0.27 | −1.60 | NA |
| Time spent | 1.26 | 1.33 | 3.51 | 18.05 | NA |
| Construct | 1 | 2 | 3 | 4 | 5 | 6 | 7 | 8 | 9 | 10 |
|---|---|---|---|---|---|---|---|---|---|---|
| 1. VAM | 1 | |||||||||
| 2. AM | 0.66 a (0.54, 0.75) b | 1 | ||||||||
| 3. DM | 0.64 (0.53, 0.74) | 0.74 (0.64, 0.82) | 1 | |||||||
| 4. EM | 0.51 (0.39, 0.61) | 0.46 (0.34, 0.56) | 0.53 (0.42, 0.64) | 1 | ||||||
| 5. AKM | 0.65 (0.52, 0.75) | 0.73 (0.64, 0.81) | 0.82 (0.75, 0.88) | 0.56 (0.45, 0.66) | 1 | |||||
| 6. PSAM | 0.64 (0.53, 0.73) | 0.70 (0.60, 0.78) | 0.80 (0.72, 0.87) | 0.46 (0.36, 0.57) | 0.80 (0.81, 0.91) | 1 | ||||
| 7. SIM | 0.49 (0.36, 0.60) | 0.57 (0.47, 0.66) | 0.55 (0.44, 0.66) | 0.49 (0.36, 0.60) | 0.62 (0.52, 0.72) | 0.54 (0.43, 0.65) | 1 | |||
| 8. PAM | 0.50 (0.37, 0.60) | 0.55 (0.43, 0.65) | 0.61 (0.49, 0.70) | 0.54 (0.43, 0.64) | 0.61 (0.51, 0.70) | 0.67 (0.58, 0.75) | 0.55 (0.43, 0.65) | 1 | ||
| 9. EAM | 0.59 (0.44, 0.70) | 0.59 (0.46, 0.70) | 0.61 (0.56, 0.79) | 0.54 (0.46, 0.70) | 0.61 (0.55, 0.78) | 0.67 (0.50, 0.80) | 0.55 (0.55, 0.75) | 0.61 (0.43, 0.74) | 1 | |
| 10. NM | 0.68 (0.58, 0.78) | 0.59 (0.48, 0.70) | 0.65 (0.54, 0.75) | 0.47 (0.35, 0.59) | 0.74 (0.65, 0.81) | 0.65 (0.54, 0.74) | 0.60 (0.50, 0.71) | 0.52 (0.39, 0.62) | 0.52 (0.65, 0.83) | 1 |
Publisher’s Note: MDPI stays neutral with regard to jurisdictional claims in published maps and institutional affiliations. |
© 2021 by the authors. Licensee MDPI, Basel, Switzerland. This article is an open access article distributed under the terms and conditions of the Creative Commons Attribution (CC BY) license (https://creativecommons.org/licenses/by/4.0/).
Share and Cite
Ma, S.-C.; Byon, K.K.; Jang, W.; Ma, S.-M.; Huang, T.-N. Esports Spectating Motives and Streaming Consumption: Moderating Effect of Game Genres and Live-Streaming Types. Sustainability 2021, 13, 4164. https://doi.org/10.3390/su13084164
Ma S-C, Byon KK, Jang W, Ma S-M, Huang T-N. Esports Spectating Motives and Streaming Consumption: Moderating Effect of Game Genres and Live-Streaming Types. Sustainability. 2021; 13(8):4164. https://doi.org/10.3390/su13084164
Chicago/Turabian StyleMa, Shang-Chun, Kevin K. Byon, Wooyoung (William) Jang, Shang-Min Ma, and Tsung-Nan Huang. 2021. "Esports Spectating Motives and Streaming Consumption: Moderating Effect of Game Genres and Live-Streaming Types" Sustainability 13, no. 8: 4164. https://doi.org/10.3390/su13084164
APA StyleMa, S.-C., Byon, K. K., Jang, W., Ma, S.-M., & Huang, T.-N. (2021). Esports Spectating Motives and Streaming Consumption: Moderating Effect of Game Genres and Live-Streaming Types. Sustainability, 13(8), 4164. https://doi.org/10.3390/su13084164

