An Investigation upon Industry 4.0 and Society 5.0 within the Context of Sustainable Development Goals
Abstract
1. Introduction
2. Literature Review
2.1. Industry 4.0
2.2. Industry 4.0 and Society 5.0 Relationship
3. Materials and Methods
- No Poverty (SDG1): Removing extreme poverty, providing humans an easy access to basic sources and services and protecting people against economic and environmental events are the aim [54].
- Zero Hunger (SDG2): It is aimed that all the people have access to safe, nutrient, and enough food throughout the year and the poverty on earth is eliminated [56].
- Good Health and Well-Being (SDG3): It is aimed to supply people with basic health needs such as treatment, diagnosis, medical care, and economic medicine [57].
- Quality Education (SDG4): An equal, life-long, and accessible education, which involves everybody from each age group, is aimed to be encouraged [58].
- Gender Equality (SDG5): It is aimed to provide gender equality in communities and strengthen the circumstances of women and girls in the society by the United Nations [59].
- Clean Water and Sanitation (SDG6): Water is one the most significant substances in the world so as to maintain life and for all living things. Therefore, it is aimed to take new measures so as to supply people with fresh and drinkable water and to use technology effectively [60].
- Affordable and Clean Energy (SDG7): It is aimed to support energy production from resources such as geothermal, hydro solar, wind, and sea waves which do not cause an increase in CO2 emissions [61].
- Decent Work and Economic Growth (SDG8): The main aim is to ensure economic development and employing people in decent work and a work and development model which is consistent, provides gender equality, involves low or no risk, and involves relevant payments in return for human efforts is intended [62].
- Industry, Innovation, and Infrastructure (SDG9): It aims to increase human welfare by creating innovations, produce eligible products in accordance with human needs by using those innovations in the field of industry, and to construct bridges, roads, airports, water, and sewage infrastructure which are much safer, of high quality, and stronger [63].
- Reduced Inequalities (SDG10): It is aimed to reduce inequalities among countries and within countries and to prevent people from being exposed to discrimination due to age, gender, ethnicity, religion, political beliefs, and disabilities [64].
- Sustainable Cities and Communities (SDG 11): More than half of the world population lives in cities. It is aimed to reduce the life in slums, increase transportation facilities, arrange sewage and other infrastructure affecting human health, and to actualize and plan programs and practices oriented towards forming decent sustainable cities [65].
- Responsible Consumption and Production (SDG12): It is aimed to use food, water, houseware, electronic devices, energy, and all the fossil fuels economically and cyclically and to respect the future as the environmental effects of the products that we use today create greater threats for the future [66].
- Climate Action (SDG13): It aims to reduce the use of fossil fuels and the consumption of fossil-fuel dependent energy, to create carbon-free cities so as to be able to reduce climate changes, to take measures against natural disasters resulting from climate change and develop counter measures [67].
- Life under Water (SDG14): It is aimed to ensure effective use of oceans, seas, and those resources, to compensate for the destructions, to create a healthy structure, and to make use of resources sustainably [68].
- Life on Land (SDG15): It focuses on protection of ecosystems and species on earth and their sustainable use [69].
- Peace, Justice, and Strong Institutions (SDG16): Every year, many people die as a result of gunfights among countries or caused by splinter groups. Those conflicts prevent taking service to the people and forming a more judicious and peaceful environment [70].
- Partnerships for The Goals (SDG17): It is aimed to help development of the whole world by enabling effective cooperation and communication among countries [71].
Sample and Data Collection
4. Results
5. Discussion
Author Contributions
Funding
Institutional Review Board Statement
Informed Consent Statement
Data Availability Statement
Conflicts of Interest
References
- Kagermann, H.; Lukas, W.; Wahlster, W. Industrie 4.0—Mit Dem Internet Der Dinge Auf Dem Weg Zur 4. Industriellen Revolution. VDI Nachr. 2011, 13, 2–3. [Google Scholar]
- Mourtzis, D.; Vlachou, E. A cloud-based cyber-physical system for adaptive shop-floor scheduling and condition-based maintenance. J. Manuf. Syst. 2018, 47, 179–198. [Google Scholar] [CrossRef]
- Lorenz, M.; Rüßmann, M.; Waldner, M.; Engel, P.; Harnisch, M.; Justus, J. Industry 4.0: The Future of Productivity and Growth in Manufacturing Industries. Available online: https://www.bcg.com/publications/2015/engineered_products_project_business_industry_4_future_productivity_growth_manufacturing_industries (accessed on 22 December 2020).
- Mariani, M.; Borghi, M. Industry 4.0: A bibliometric review of its managerial intellectual structure and potential evolution in the service industries. Technol. Forecast. Soc. Chang. 2019, 149, 119752. [Google Scholar] [CrossRef]
- Yıldız, T. Examining the Concept of Industry 4.0 Studies Using Text Mining and Scientific Mapping Method. Proc. Comput. Sci. 2019, 158, 498–507. [Google Scholar] [CrossRef]
- Zhou, J.; Li, P.; Zhou, Y.; Wang, B.; Zang, J.; Meng, L. Toward New-Generation Intelligent Manufacturing. Engineering 2018, 4, 11–20. [Google Scholar] [CrossRef]
- Carayannis, E.G.; Draper, J.; Bhaneja, B. Towards Fusion Energy in the Industry 5.0 and Society 5.0 Context: Call for a Global Commission for Urgent Action on Fusion Energy. J. Knowl. Econ. 2020, 1–14. [Google Scholar] [CrossRef]
- Mavrodieva, A.V.; Shaw, R. Disaster and Climate Change Issues in Japan’s Society 5.0—A Discussion. Sustainable 2020, 12, 1893. [Google Scholar] [CrossRef]
- Web of Science. Please Sign in to Access Web of Science. Available online: https://login.webofknowledge.com/error/Error?Error=IPError&PathInfo=%2F&RouterURL=https%3A%2F%2Fwww.webofknowledge.com%2F&Domain=.webofknowledge.com&Src=IP&Alias=WOK5 (accessed on 22 December 2020).
- Fukuyama, M. Society 5.0: Aiming for a New Human-Centered Society. Jpn. Spotlight 2018, 27, 47–50. [Google Scholar]
- Roblek, V.; Meško, M.; Bach, M.P.; Thorpe, O.; Šprajc, P. The Interaction between Internet, Sustainable Development, and Emergence of Society 5.0. Data 2020, 5, 80. [Google Scholar] [CrossRef]
- Rathee, G.; Sharma, A.; Kumar, R.; Iqbal, R. A Secure Communicating Things Network Framework for Industrial IoT using Blockchain Technology. Ad Hoc Netw. 2019, 94, 101933. [Google Scholar] [CrossRef]
- Tabaa, M.; Monteiro, F.; Bensag, H.; Dandache, A. Green Industrial Internet of Things from a smart industry perspectives. Energy Rep. 2020, 6, 430–446. [Google Scholar] [CrossRef]
- Moghaddam, M.; Cadavid, M.N.; Kenley, C.R.; Deshmukh, A.V. Reference architectures for smart manufacturing: A critical review. J. Manuf. Syst. 2018, 49, 215–225. [Google Scholar] [CrossRef]
- Culot, G.; Nassimbeni, G.; Orzes, G.; Sartor, M. Behind the definition of Industry 4.0: Analysis and open questions. Int. J. Prod. Econ. 2020, 226, 107617. [Google Scholar] [CrossRef]
- Holroyd, C. Technological innovation and building a ‘super smart’ society: Japan’s vision of society 5.0. J. Asian Public Policy 2020, 1–14. [Google Scholar] [CrossRef]
- Anadolu Agency Bakan Varank. 4. Sanayi Devrimi Merkezi’ni Ülkemize Kazandırdık. Available online: https://www.aa.com.tr/tr/ekonomi/bakan-varank-4-sanayi-devrimi-merkezini-ulkemize-kazandirdik/2070621 (accessed on 20 December 2020).
- Bedolla, J.S.; D’Antonio, G.; Chiabert, P. A Novel Approach for Teaching IT Tools within Learning Factories. Proc. Manuf. 2017, 9, 175–181. [Google Scholar] [CrossRef]
- Lu, Y. Industry 4.0: A survey on technologies, applications and open research issues. J. Ind. Inf. Integr. 2017, 6, 1–10. [Google Scholar] [CrossRef]
- Witkowski, K. Internet of Things, Big Data, Industry 4.0—Innovative Solutions in Logistics and Supply Chains Management. Proc. Eng. 2017, 182, 763–769. [Google Scholar] [CrossRef]
- Santos, M.Y.; Sá, J.O.; Andrade, C.; Lima, F.V.; Costa, E.; Costa, C.; Martinho, B.; Galvão, J. A Big Data system supporting Bosch Braga Industry 4.0 strategy. Int. J. Inf. Manag. 2017, 37, 750–760. [Google Scholar] [CrossRef]
- Bortolini, M.; Ferrari, E.; Gamberi, M.; Pilati, F.; Faccio, M. Assembly system design in the Industry 4.0 era: A general framework. IFAC Pap. Online 2017, 50, 5700–5705. [Google Scholar] [CrossRef]
- Trappey, A.J.; Trappey, C.V.; Govindarajan, U.H.; Chuang, A.C.; Sun, J.J. A review of essential standards and patent landscapes for the Internet of Things: A key enabler for Industry 4.0. Adv. Eng. Inform. 2017, 33, 208–229. [Google Scholar] [CrossRef]
- Lee, J.; Bagheri, B.; Kao, H.-A. A Cyber-Physical Systems architecture for Industry 4.0-based manufacturing systems. Manuf. Lett. 2015, 3, 18–23. [Google Scholar] [CrossRef]
- O’Donovan, P.; Gallagher, C.; Bruton, K.; O’Sullivan, D.T. A fog computing industrial cyber-physical system for embedded low-latency machine learning Industry 4.0 applications. Manuf. Lett. 2018, 15, 139–142. [Google Scholar] [CrossRef]
- Legat, C.; Vogel-Heuser, B. A configurable partial-order planning approach for field level operation strategies of PLC-based industry 4.0 automated manufacturing systems. Eng. Appl. Artif. Intell. 2017, 66, 128–144. [Google Scholar] [CrossRef]
- Miśkiewicz, R.; Wolniak, R. Practical Application of the Industry 4.0 Concept in a Steel Company. Sustainability 2020, 12, 5776. [Google Scholar] [CrossRef]
- Kaygin, E.; Zengin, Y.; Topçuoğlu, E. Endüstri 4.0′ akademik bakış. Atatürk Univ. Iktis. İdari Bilim. Derg. 2019, 33, 1065–1081. [Google Scholar]
- Müller, J.M. Assessing the barriers to Industry 4.0 implementation from a workers’ perspective. IFAC Pap. Online 2019, 52, 2189–2194. [Google Scholar] [CrossRef]
- De Pascale, A.; Arbolino, R.; Szopik-Depczyńska, K.; Limosani, M.; Ioppolo, G. A systematic review for measuring circular economy: The 61 indicators. J. Clean. Prod. 2021, 281, 124942. [Google Scholar] [CrossRef]
- Chang, V.; Xu, Y.K.; Zhang, J.; Xu, Q. Research on Intelligent Manufacturing Development Approach for China’s Local Valve Industry. Smart Sustain. Built Environ. 2020. [Google Scholar] [CrossRef]
- Cabinet Office Government of Japan. Report on the 5th Science and Technology Basic Plan. Available online: https://www8.cao.go.jp/cstp/kihonkeikaku/5basicplan_en.pdf (accessed on 22 December 2020).
- Pereira, A.G.; Lima, T.M.; Charrua-Santos, F. Industry 4.0 and Society 5.0: Opportunities and Threats. Int. J. Recent Technol. Eng. 2020, 8, 3305–3308. [Google Scholar] [CrossRef]
- Kansha, Y.; Ishizuka, M. Design of energy harvesting wireless sensors using magnetic phase transition. Energy 2019, 180, 1001–1007. [Google Scholar] [CrossRef]
- Deguchi, A.; Hirai, C.; Matsuoka, H.; Nakano, T.; Oshima, K.; Tai, M.; Tani, S. What Is Society 5.0? In Society 5.0: A People-Centric Super-Smart Society; Springer: Singapore, 2020; pp. 1–23. ISBN 9789811529894. [Google Scholar]
- Dantas, T.; De-Souza, E.; Destro, I.; Hammes, G.; Rodriguez, C.; Soares, S. How the combination of Circular Economy and Industry 4.0 can contribute towards achieving the Sustainable Development Goals. Sustain. Prod. Consum. 2021, 26, 213–227. [Google Scholar] [CrossRef]
- Wang, Q.; Liu, X.; Liu, Z.; Xiang, Q. Option-based supply contracts with dynamic information sharing mechanism under the background of smart factory. Int. J. Prod. Econ. 2020, 220, 107458. [Google Scholar] [CrossRef]
- Goh, S.K.; McNown, R.; Wong, K.N. Macroeconomic implications of population aging: Evidence from Japan. J. Asian Econ. 2020, 68, 101198. [Google Scholar] [CrossRef]
- The Ministry of Economy. Trade and Industry New Industrial Structure Vision. Available online: https://www.meti.go.jp/english/publications/pdf/vision_171222.pdf (accessed on 22 December 2020).
- Heller, P.S. The challenge of an aged and shrinking population: Lessons to be drawn from Japan’s experience. J. Econ. Ageing 2016, 8, 85–93. [Google Scholar] [CrossRef]
- Wang, J.; Yang, Z.; Qian, X. Driving factors of urban shrinkage: Examining the role of local industrial diversity. Cities 2020, 99, 102646. [Google Scholar] [CrossRef]
- Sugiyama, M.; Fujimori, S.; Wada, K.; Endo, S.; Fujii, Y.; Komiyama, R.; Kato, E.; Kurosawa, A.; Matsuo, Y.; Oshiro, K.; et al. Japan’s long-term climate mitigation policy: Multi-model assessment and sectoral challenges. Energy 2019, 167, 1120–1131. [Google Scholar] [CrossRef]
- Xue, M.; Wang, Q.; Lin, B.-L.; Tsunemi, K. Mitigation of greenhouse gas and reactive nitrogen from the Japanese passenger car fleet. J. Clean. Prod. 2020, 277, 123440. [Google Scholar] [CrossRef]
- Taniguchi-Matsuoka, A.; Shimoda, Y.; Sugiyama, M.; Kurokawa, Y.; Matoba, H.; Yamasaki, T.; Morikuni, T.; Yamaguchi, Y. Evaluating Japan’s national greenhouse gas reduction policy using a bottom-up residential end-use energy simulation model. Appl. Energy 2020, 279, 115792. [Google Scholar] [CrossRef]
- Watabe, A.; Leaver, J.; Ishida, H.; Shafiei, E. Impact of low emissions vehicles on reducing greenhouse gas emissions in Japan. Energy Policy 2019, 130, 227–242. [Google Scholar] [CrossRef]
- Kuriyama, A.; Tamura, K.; Kuramochi, T. Can Japan enhance its 2030 greenhouse gas emission reduction targets? Assessment of economic and energy-related assumptions in Japan’s NDC. Energy Policy 2019, 130, 328–340. [Google Scholar] [CrossRef]
- Zheng, Q.; Watanabe, M.; Iwatate, Y.; Azuma, D.; Shibazaki, K.; Hiraga, Y.; Kishita, A.; Nakayasu, Y. Hydrothermal leaching of ternary and binary lithium-ion battery cathode materials with citric acid and the kinetic study. J. Supercrit. Fluids 2020, 165, 104990. [Google Scholar] [CrossRef]
- Li, Y.; Qian, X.; Zhang, L.; Dong, L. Exploring spatial explicit greenhouse gas inventories: Location-based accounting approach and implications in Japan. J. Clean. Prod. 2017, 167, 702–712. [Google Scholar] [CrossRef]
- Shaw, R. Thirty Years of Science, Technology, and Academia in Disaster Risk Reduction and Emerging Responsibilities. Int. J. Disaster Risk Sci. 2020, 11, 414–425. [Google Scholar] [CrossRef]
- Michna, A.; Kmieciak, R. Open-Mindedness Culture, Knowledge-Sharing, Financial Performance, and Industry 4.0 in SMEs. Sustainable 2020, 12, 9041. [Google Scholar] [CrossRef]
- Fukuda, K. Science, technology and innovation ecosystem transformation toward society 5.0. Int. J. Prod. Econ. 2020, 220, 107460. [Google Scholar] [CrossRef]
- KeidanrenSDGs. Keidanrens. Available online: https://www.keidanrensdgs-world.com/post/about-this-website (accessed on 19 December 2020).
- Türkiye Cumhuriyeti Dışişleri Bakanlığı. Birleşmiş Milletler Teşkilatı ve Türkiye. Available online: http://www.mfa.gov.tr/birlesmis-milletler-teskilati-ve-turkiye.tr.mfa (accessed on 22 December 2020).
- Campagnolo, L.; Davide, M. Can the Paris deal boost SDGs achievement? An assessment of climate mitigation co-benefits or side-effects on poverty and inequality. World Dev. 2019, 122, 96–109. [Google Scholar] [CrossRef]
- Biggeri, M.; Clark, D.A.; Ferrannini, A.; Mauro, V. Tracking the SDGs in an ‘integrated’ manner: A proposal for a new index to capture synergies and trade-offs between and within goals. World Dev. 2019, 122, 628–647. [Google Scholar] [CrossRef]
- Byerlee, D.; Fanzo, J. The SDG of zero hunger 75 years on: Turning full circle on agriculture and nutrition. Glob. Food Secur. 2019, 21, 52–59. [Google Scholar] [CrossRef]
- Wakunuma, K.; Jiya, T.; Aliyu, S. Socio-ethical implications of using AI in accelerating SDG3 in Least Developed Countries. J. Responsible Technol. 2020, 4, 100006. [Google Scholar] [CrossRef]
- McKay, V.I. Learning for development: Learners’ perceptions of the impact of the Kha Ri Gude Literacy Campaign. World Dev. 2020, 125, 104684. [Google Scholar] [CrossRef]
- Yount, K.M.; Crandall, A.; Cheong, Y.F. Women’s Age at First Marriage and Long-Term Economic Empowerment in Egypt. World Dev. 2018, 102, 124–134. [Google Scholar] [CrossRef]
- Fehri, R.; Khlifi, S.; Vanclooster, M. Disaggregating SDG-6 water stress indicator at different spatial and temporal scales in Tunisia. Sci. Total. Environ. 2019, 694, 133766. [Google Scholar] [CrossRef]
- Nam-Chol, O.; Kim, H. Towards the 2 °C goal: Achieving Sustainable Development Goal (SDG) 7 in DPR Korea. Resour. Conserv. Recycl. 2019, 150, 104412. [Google Scholar] [CrossRef]
- Rai, S.M.; Brown, B.D.; Ruwanpura, K.N. SDG 8: Decent work and economic growth—A gendered analysis. World Dev. 2019, 113, 368–380. [Google Scholar] [CrossRef]
- Cervelló-Royo, R.; Moya-Clemente, I.; Perelló-Marín, M.; Ribes-Giner, G. Sustainable development, economic and financial factors, that influence the opportunity-driven entrepreneurship. An fsQCA approach. J. Bus. Res. 2020, 115, 393–402. [Google Scholar] [CrossRef]
- Horn, P.; Grugel, J. The SDGs in middle-income countries: Setting or serving domestic development agendas? Evidence from Ecuador. World Dev. 2018, 109, 73–84. [Google Scholar] [CrossRef]
- Rozhenkova, V.; Allmang, S.; Ly, S.; Franken, D.; Heymann, J. The role of comparative city policy data in assessing progress toward the urban SDG targets. Cities 2019, 95, 102357. [Google Scholar] [CrossRef]
- Sala, S.; Castellani, V. The consumer footprint: Monitoring sustainable development goal 12 with process-based life cycle assessment. J. Clean. Prod. 2019, 240, 118050. [Google Scholar] [CrossRef]
- Ma, W.; De Jong, M.; De Bruijne, M.; Mu, R. Mix and match: Configuring different types of policy instruments to develop successful low carbon cities in China. J. Clean. Prod. 2021, 282, 125399. [Google Scholar] [CrossRef]
- Okafor-Yarwood, I. Illegal, unreported and unregulated fishing, and the complexities of the sustainable development goals (SDGs) for countries in the Gulf of Guinea. Mar. Policy 2019, 99, 414–422. [Google Scholar] [CrossRef]
- Opoku, A. Biodiversity and the built environment: Implications for the Sustainable Development Goals (SDGs). Resour. Conserv. Recycl. 2019, 141, 1–7. [Google Scholar] [CrossRef]
- Calvo, T.; Razafindrakoto, M.; Roubaud, F. Fear of the state in governance surveys? Empirical evidence from African countries. World Dev. 2019, 123, 104609. [Google Scholar] [CrossRef]
- Lamichhane, S.; Eğilmez, G.; Gedik, R.; Bhutta, M.K.S.; Erenay, B. Benchmarking OECD countries’ sustainable development performance: A goal-specific principal component analysis approach. J. Clean. Prod. 2021, 287, 125040. [Google Scholar] [CrossRef]
- T.C. Cumhurbaşkanlığı Strateji ve Bütçe Başkanlığı. Sürdürülebilir Kalkınma Türkiye. Available online: http://www.surdurulebilirkalkinma.gov.tr/#hakkinda (accessed on 22 December 2020).
- Diz, D.; Morgera, E.; Wilson, M. Marine policy special issue: SDG synergies for sustainable fisheries and poverty alleviation. Mar. Policy 2019, 110, 102860. [Google Scholar] [CrossRef]
- Aust, V.; Morais, A.I.; Pinto, I. How does foreign direct investment contribute to Sustainable Development Goals? Evidence from African countries. J. Clean. Prod. 2020, 245, 118823. [Google Scholar] [CrossRef]
- Chen, M.; Sinha, A.; Hu, K.; Shah, M.I. Impact of technological innovation on energy efficiency in industry 4.0 era: Moderation of shadow economy in sustainable development. Technol. Forecast. Soc. Chang. 2021, 164, 120521. [Google Scholar] [CrossRef]
- YÖK. Yükseköğretim Kurulu. Available online: https://akademik.yok.gov.tr/AkademikArama/view/searchResultviewListAuthorAndUniversities.jsp (accessed on 23 December 2020).
- Büyüköztürk, Ş.; Çakmak, E.; Akgün, Ö.E.; Karadeniz, Ş.; Demiral, F. Bilimsel Araştırma Yöntemleri; Pegem Yayıncılık: Ankara, Turkey, 2012; ISBN 978-9944-919-28-9. [Google Scholar]
- Hair, J.F.; Black, C.W.; Babin, B.J.; Anderson, R.E. Multivariate Data Analysis, 7; Pearson Education Limited: Essex, UK, 2014; ISBN 978-1-292-02190-4. [Google Scholar]
- Denis, D.J. SPSS Data Analysis for Univariate, Bivariate, and Multivariate Statistics; John Wiley & Sons, Inc.: Hoboken, NJ, USA, 2019; ISBN 978-1-119-46580-5. [Google Scholar]
- Hooper, D.; Coughlan, J.; Mullen, M.R. Structural Equation Modelling: Guidelines for Determining Model Fit. Electron. J. Bus. Res. Methods 2008, 6, 53–60. [Google Scholar]
- Koyuncu, I.; Kılıç, A.F. The Use of Exploratory and Confirmatory Factor Analyses: A Document Analysis. Eğitim Bilim. 2019, 44. [Google Scholar] [CrossRef]
- Ramlall, I. Model Fit Evaluation. In Applied Structural Equation Modelling for Researchers and Practitioners; Emerald Group Publishing Limited: Bingley, UK, 2016; pp. 61–74. ISBN 978-1-78635-882-0. [Google Scholar]
- Marsh, H.W.; Balla, J. Goodness of fit in confirmatory factor analysis: The effects of sample size and model parsimony. Qual. Quant. 1994, 28, 185–217. [Google Scholar] [CrossRef]
- Marsh, H.W.; Hau, K.-T. Assessing Goodness of Fit. J. Exp. Educ. 1996, 64, 364–390. [Google Scholar] [CrossRef]
- Hair, J.; Hollingsworth, C.L.; Randolph, A.B.; Chong, A.Y.L. An updated and expanded assessment of PLS-SEM in information systems research. Ind. Manag. Data Syst. 2017, 117, 442–458. [Google Scholar] [CrossRef]
- Dil, E.; Esmer, A.H. Firmaların Endüstri 4.0 Stratejilerine Dair Bir Araştırma. Strat. Yönetim Araşt. Derg. 2020, 3, 85–110. [Google Scholar]
- Turkey Statistical Institute (TURKSTAT) Home Page. Available online: https://www.tuik.gov.tr/Home/Index (accessed on 23 December 2020).
- BBB News. Şahin Tin. Meclis’te “kuru ekmek” tartışmasında kim ne dedi? BBC News Türkçe, 15 December 2020. [Google Scholar]
- Yücel Bulut. Haluk Levent, cinsel saldırıya uğrayan buzağı ve annesini satın aldı. Yücel Bulut, 16 December 2020. Available online: https://www.hurriyet.com.tr/kelebek/magazin/haluk-levent-cinsel-saldiriya-ugrayan-buzagi-ve-annesini-satin-aldi-41690057 (accessed on 23 December 2020).
- BBC News. ABD yaptırımlarının savunma sanayisine etkisi: “Üretim ve ihracat olumsuz etkilenebilir.”. BBC News Türkçe, 17 December 2020. [Google Scholar]
- Yükseköğretim Bilgi Yönetim Sistemi Home Page. Available online: https://istatistik.yok.gov.tr/ (accessed on 23 December 2020).
- Sade, G.; Ülkelerin Internet Hızı Sıralaması: Türkiye 102. Basamağa Geriledi. Available online: https://tr.euronews.com/2019/08/16/ulkelerinde-internet-hizi-sralamasi-turkiye-102-basamaga-geriledi-zirvede-tayvan-var (accessed on 23 December 2020).
- Weiss, A.; Parina, R.; Tapia, V.J.; Sood, D.; Lee, K.C.; Horgan, S.; Freischlag, J.A.; Blair, S.L.; Ramamoorthy, S.L. Assessing the domino effect: Female physician industry payments fall short, parallel gender inequalities in medicine. Am. J. Surg. 2018, 216, 723–729. [Google Scholar] [CrossRef] [PubMed]
- Weng, J.; Mizoguchi, S.; Akasaka, S.; Onari, H. Smart manufacturing operating systems considering parts utilization for engineer-to-order production with make-to-stock parts. Int. J. Prod. Econ. 2020, 220, 107459. [Google Scholar] [CrossRef]
- Nazlican, B.D.; Meçik, O. Türkiye’de Endüstri 4.0′ ın İşgücü Piyasasına Etkileri: Firma Beklentileri. Süleyman Demirel Univ. Iktis. İdari Bilim. Fak. Derg. 2018, 23, 1581–1606. [Google Scholar]
- Birkel, H.; Müller, J.M. Potentials of industry 4.0 for supply chain management within the triple bottom line of sustainability—A systematic literature review. J. Clean. Prod. 2021, 289, 125612. [Google Scholar] [CrossRef]
- Cirillo, V.; Rinaldini, M.; Staccioli, J.; Virgillito, M.E. Technology vs. Workers: The Case of Italy’s Industry 4.0 Factories. Struct. Chang. Econ. Dyn. 2021, 56, 166–183. [Google Scholar] [CrossRef]
- Rahman, S.M.; Perry, N.; Müller, J.M.; Kim, J.; Laratte, B. End-of-Life in industry 4.0: Ignored as before? Resour. Conserv. Recycl. 2020, 154, 104539. [Google Scholar] [CrossRef]
- Müller, J.M.; Voigt, K.-I. Sustainable Industrial Value Creation in SMEs: A Comparison between Industry 4.0 and Made in China 2025. Int. J. Precis. Eng. Manuf. Technol. 2018, 5, 659–670. [Google Scholar] [CrossRef]



| Item | Question |
|---|---|
| Feasibility | |
| INDUSTRY1 | The Industry 4.0 existing in Germany can be practiced in Turkey. |
| INDUSTRY2 | I have knowledge about technologies forming the Industry 4.0 such as the internet of things, the cloud, artificial intelligence, the big data, 3D printers etc. |
| INDUSTRY3 | Turkey has the technology that could actualize Industry 4.0. |
| INDUSTRY4 | It is possible to found factories which are compatible with Industry 4.0 in Turkey. |
| INDUSTRY5 | The costs of production will decrease in Turkey thanks to Industry 4.0 *. |
| INDUSTRY6 | A more effective production potential will exist in Turkey thanks to Industry 4.0 *. |
| INDUSTRY7 | The philosophy of Society 5.0 developed by Japan is viable in Turkey. |
| SDGs of Social Effect | |
| SDG1 | Poverty decreases if the philosophy of Society 5.0 is practiced in Turkey *. |
| SDG2 | Famine decreases if the philosophy of Society 5.0 is practiced in Turkey *. |
| SDG3 | The health system become more effective if the philosophy of Society 5.0 is practiced in Turkey. |
| SDG4 | The education system becomes high quality if the philosophy of Society 5.0 is practiced in Turkey. |
| SDG5 | Gender equality is ensured if the philosophy of Society 5.0 is practiced in Turkey. |
| SDG6 | The opportunity to have access to clean potable water sources if the philosophy of Society 5.0 is practiced in Turkey. |
| SDG7 | The costs of energy decrease with renewable energy if the philosophy of Society 5.0 is practiced in Turkey. |
| SDG8 | The problem of unemployment is solved if the philosophy of Society 5.0 is practiced in Turkey. |
| SDG15 | A more respectful society to animal rights exist if the philosophy of Society 5.0 is practiced in Turkey *. |
| SDG16 | A stronger and more effective judicial system is established if the philosophy of Society 5.0 is practiced in Turkey. |
| SDGs of Infrastructure | |
| SDG9 | Inventions and innovations are made and the internet infrastructure improves if the philosophy of Society 5.0 is practiced in Turkey. |
| SDG10 | The obstacles, favoritism, and reference system are eliminated if the philosophy of Society 5.0 is practiced in Turkey. |
| SDG11 | A sustainable society structure is formed if the philosophy of Society 5.0 is practiced in Turkey. |
| SDG12 | A decrease is experienced in the amount of wastes if the philosophy of Society 5.0 is practiced in Turkey. |
| SDG13 | CO2 emission decreases and a cleaner environment is formed if the philosophy of Society 5.0 is practiced in Turkey. |
| SDG14 | The death of fish in rivers decreases and the seas are cleared as they were in the past if the philosophy of Society 5.0 is practiced in Turkey. |
| SDG17 | Turkey reaches at a stronger position and can establish international cooperation in various fields if the philosophy of Society 5.0 is practiced in Turkey *. |
| Gender | N | % | Income | N | % |
|---|---|---|---|---|---|
| Female | 120 | 35.8 | 640–855 EUR * | 156 | 46.6 |
| Male | 215 | 64.2 | 856–1.070 EUR | 71 | 21.2 |
| Age | 1.071–1.280 EUR | 59 | 17.6 | ||
| 20–25 age | 23 | 6.9 | 1.281–1.500 EUR | 17 | 5.1 |
| 26–30 age | 43 | 12.8 | Over 1.501 EUR | 32 | 9.6 |
| 31–35 age | 105 | 31.3 | Experience | ||
| 36–40 age | 79 | 23.6 | Up to 5 years | 103 | 30.7 |
| 41–45 age | 56 | 16.7 | Between 6–10 years | 88 | 26.3 |
| 46–55 age | 29 | 8.7 | Between 11–15 years | 77 | 23.0 |
| Rank | Between16–20 years | 39 | 11.6 | ||
| Assistant | 86 | 25.7 | Over 21 years | 28 | 8.4 |
| Lecturer | 103 | 30.7 | Education | ||
| Assist.Prof.Dr. | 88 | 26.3 | Bachelor’s degree | 110 | 32.8 |
| Assoc.Prof.Dr. | 27 | 8.1 | Master’s degree | 76 | 22.7 |
| Prof.Dr. | 31 | 9.3 | Doctor’s degree | 149 | 44.5 |
| Variables | Items | Loading | Cronbach’s Alpha | KMO | Bartlett’s Test of Sphericity (p) |
|---|---|---|---|---|---|
| Feasibility | industry2 | 0.903 | 0.817 | 0.794 | 477.505; p < 0.001 |
| industry3 | 0.834 | ||||
| industry4 | 0.768 | ||||
| industry7 | 0.662 | ||||
| SDG (infrastructure) | SDG13 | 0.896 | 0.877 | 0.927 | 2747.828; p < 0.001 |
| SDG14 | 0.825 | ||||
| SDG12 | 0.800 | ||||
| SDG9 | 0.767 | ||||
| SDG10 | 0.707 | ||||
| SDG11 | 0.634 | ||||
| SDG (social) | SDG6 | 0.778 | 0.913 | ||
| SDG8 | 0.765 | ||||
| SDG5 | 0.593 | ||||
| SDG3 | 0.535 | ||||
| SDG7 | 0.488 | ||||
| SDG4 | 0.434 | ||||
| SDG16 | 0.386 |
| Scale | X2 (df) | TLI | GFI | NFI | RMSEA |
|---|---|---|---|---|---|
| Feasibility | 0.408 | 1.000 | 0.999 | 0.998 | 0.000 |
| SDGs | 3.058 | 0.941 | 0.927 | 0.936 | 0.079 |
| Items | Cronbach’s Alpha | rho_A | Composite Reliability | Average Variance Extracted (AVE) |
|---|---|---|---|---|
| SDG infs | 0.913 | 0.920 | 0.932 | 0.697 |
| SDG social | 0.877 | 0.883 | 0.905 | 0.575 |
| feasibility | 0.817 | 0.834 | 0.880 | 0.648 |
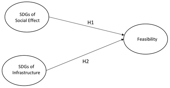
| Hypothesis | Suggested Effect | Path Coefficients | t-Value | p-Values | %95 Bca CI | Support |
|---|---|---|---|---|---|---|
| H1: SDG (social) → Feasibility | + | 0.163 | 1.722 | 0.085 | (0.014; 0.326)Sig. | No |
| H2: SDG (infrastructure) → Feasibility | + | 0.278 | 2.940 | 0.003 | (0.005; 0.452)Sig. | Yes |
Publisher’s Note: MDPI stays neutral with regard to jurisdictional claims in published maps and institutional affiliations. |
© 2021 by the authors. Licensee MDPI, Basel, Switzerland. This article is an open access article distributed under the terms and conditions of the Creative Commons Attribution (CC BY) license (http://creativecommons.org/licenses/by/4.0/).
Share and Cite
Zengin, Y.; Naktiyok, S.; Kaygın, E.; Kavak, O.; Topçuoğlu, E. An Investigation upon Industry 4.0 and Society 5.0 within the Context of Sustainable Development Goals. Sustainability 2021, 13, 2682. https://doi.org/10.3390/su13052682
Zengin Y, Naktiyok S, Kaygın E, Kavak O, Topçuoğlu E. An Investigation upon Industry 4.0 and Society 5.0 within the Context of Sustainable Development Goals. Sustainability. 2021; 13(5):2682. https://doi.org/10.3390/su13052682
Chicago/Turabian StyleZengin, Yunus, Serkan Naktiyok, Erdoğan Kaygın, Onur Kavak, and Ethem Topçuoğlu. 2021. "An Investigation upon Industry 4.0 and Society 5.0 within the Context of Sustainable Development Goals" Sustainability 13, no. 5: 2682. https://doi.org/10.3390/su13052682
APA StyleZengin, Y., Naktiyok, S., Kaygın, E., Kavak, O., & Topçuoğlu, E. (2021). An Investigation upon Industry 4.0 and Society 5.0 within the Context of Sustainable Development Goals. Sustainability, 13(5), 2682. https://doi.org/10.3390/su13052682

