Recycled Glass Blends with Recycled Concrete Aggregates in Sustainable Railway Geotechnics
Abstract
1. Introduction
2. Materials and Methods
3. Results and Discussions
4. Conclusions
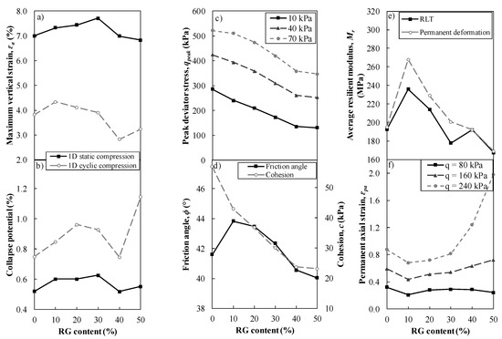
- The inclusion of RG increased the sand content and reduced the maximum dry density of RCA for up to 30% RG content. However, as the RG content increased, the required moisture content to reach the maximum dry density decreased. Additionally, CBR values of RG + RCA blends decreased with increasing the RG content. Up to 40% RG can be used with RCA to meet the minimum requirement of local railway authorities.
- RG percentage was a governing factor in responses of blends under 1D compression loading. Samples with 40% and 50% RG content could present even lower deformations than the parent aggregates, RCA. However, the collapse potential of blends did not significantly alter with the addition of RG particles. Moreover, the presence of RG increased the ductility of RCA and reduced the shear strength parameters of RCA under multistage triaxial compression loading. A reduction in dilatancy of the blends was observed for samples with higher RG content.
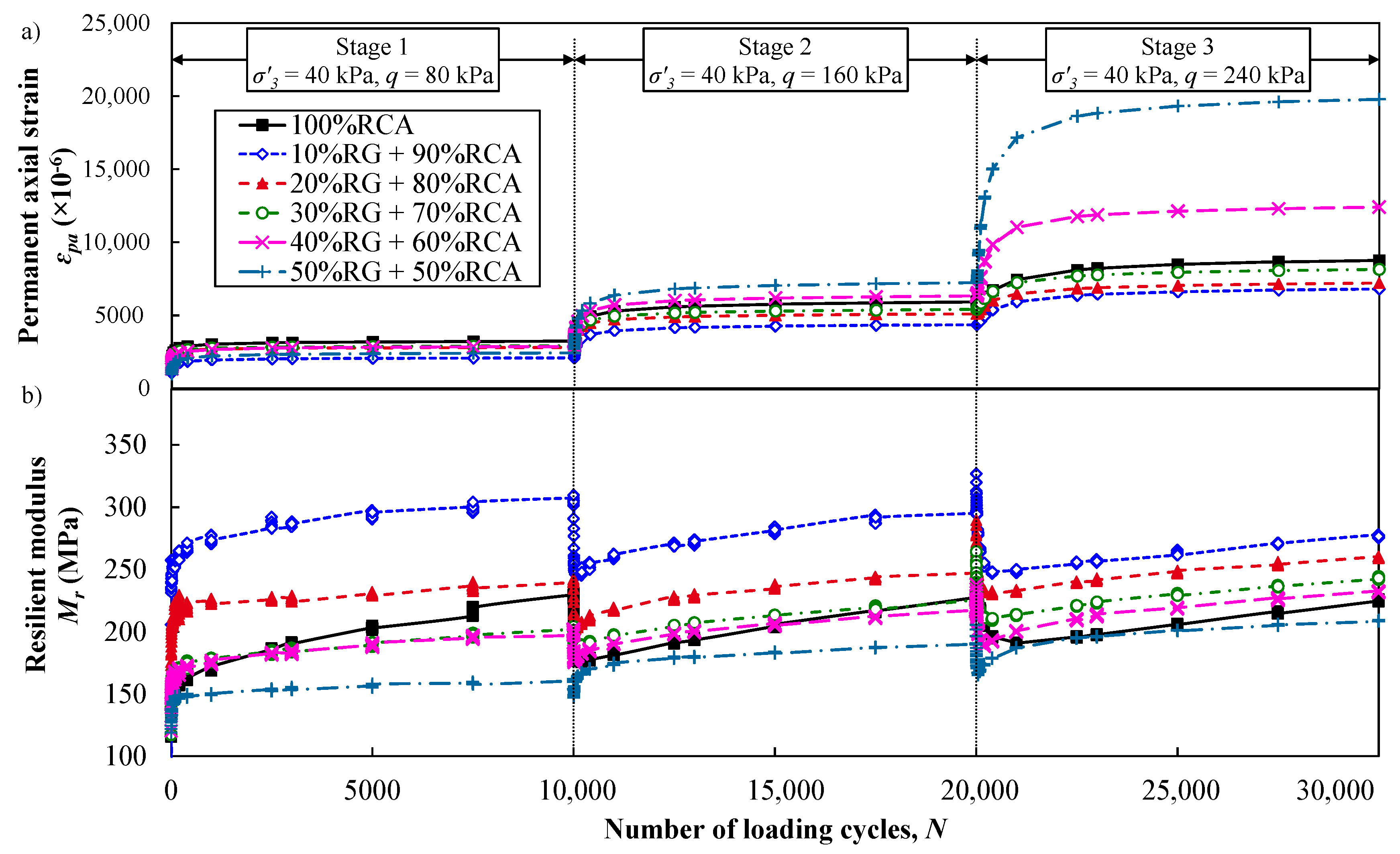
- The highest Mr values were measured for 10% RG + 90% RCA blend from both RLT and multistage cyclic permanent deformation tests. Nonetheless, a decreasing trend in Mr values was observed from 10% to 50% RG content. Furthermore, the differences in permanent deformation responses of RG + RCA blends increased with increasing the RG content.
- A permanent deformation model was modified to incorporate the effect of both applied cyclic stress and shear strength of the materials. The model could perform satisfactorily in predicting the results of RG + RCA samples.
- The permanent deformation rate of RG + RCA blends and their shakedown ranking revealed that none of the samples experienced incremental collapse under the applied range of cyclic loading.
Author Contributions
Funding
Institutional Review Board Statement
Informed Consent Statement
Data Availability Statement
Conflicts of Interest
References
- Du, Y.; Yang, W.; Ge, Y.; Wang, S.; Liu, P. Thermal conductivity of cement paste containing waste glass powder, metakaolin and limestone filler as supplementary cementitious material. J. Clean. Prod. 2020, 287, 125018. [Google Scholar] [CrossRef]
- Pickin, J.; Wardle, C.; O’Farrell, K.; Nyunt, P.; Donovan, S. Australian National Waste Report 2018; Department of the Environment and Energy, Blue Environment Pty Ltd.: Melbourne, Australia, 2020; pp. 1–156. [Google Scholar]
- Gao, X.; Yu, Q.; Li, X.S.; Yuan, Y. Assessing the modification efficiency of waste glass powder in hydraulic construction materials. Constr. Build. Mater. 2020, 263, 120111. [Google Scholar] [CrossRef]
- Naeini, M.; Mohammadinia, A.; Arulrajah, A.; Horpibulsuk, S.; Leong, M. Stiffness and strength characteristics of demolition waste, glass and plastics in railway capping layers. Soils Found. 2019, 59, 2238–2253. [Google Scholar] [CrossRef]
- Arulrajah, A.; Naeini, M.; Mohammadinia, A.; Horpibulsuk, S.; Leong, M. Recovered plastic and demolition waste blends as railway capping materials. Transp. Geotech. 2020, 22, 100320. [Google Scholar] [CrossRef]
- Vieira, C.S.; Pereira, P.M. Use of recycled construction and demolition materials in geotechnical applications: A review. Resour. Conserv. Recycl. 2015, 103, 192–204. [Google Scholar] [CrossRef]
- Mohsenian Hadad Amlashi, S.; Vaillancourt, M.; Carter, A.; Bilodeau, J.-P. Resilient modulus of pavement unbound granular materials containing recycled glass aggregate. Mater. Struct. 2018, 51, 89. [Google Scholar] [CrossRef]
- Kazmi, D.; Williams, D.J.; Serati, M. Waste glass in civil engineering applications—A review. Int. J. Appl. Ceram. Technol. 2020, 17, 529–554. [Google Scholar] [CrossRef]
- Maduabuchukwu Nwakaire, C.; Poh Yap, S.; Chuen Onn, C.; Wah Yuen, C.; Adebayo Ibrahim, H. Utilisation of recycled concrete aggregates for sustainable highway pavement applications; a review. Constr. Build. Mater. 2020, 235, 117444. [Google Scholar] [CrossRef]
- Li, D.; Hyslip, J.; Sussmann, T.; Chrismer, S. Railway Geotechnics; CRC Press: Boca Raton, FL, USA, 2016. [Google Scholar]
- Indraratna, B.; Ngo, T. Ballast Railroad Design: Smart-Uow Approach; CRC Press: Boca Raton, FL, USA, 2018. [Google Scholar]
- Qi, Y.; Indraratna, B.; Heitor, A.; Vinod, J.S. Effect of Rubber Crumbs on the Cyclic Behavior of Steel Furnace Slag and Coal Wash Mixtures. J. Geotech. Geoenviron. Eng. 2018, 144, 04017107. [Google Scholar] [CrossRef]
- Sainz-Aja, J.; Carrascal, I.; Polanco, J.A.; Thomas, C.; Sosa, I.; Casado, J.; Diego, S. Self-compacting recycled aggregate concrete using out-of-service railway superstructure wastes. J. Clean. Prod. 2019, 230, 945–955. [Google Scholar] [CrossRef]
- Kaewunruen, S.; Meesit, R. Eco-friendly High-Strength Concrete Engineered by Micro Crumb Rubber from Recycled Tires and Plastics for Railway Components. Adv. Civ. Eng. Mater. 2020, 9, 210–226. [Google Scholar] [CrossRef]
- Qi, Y.; Indraratna, B. Energy-Based Approach to Assess the Performance of a Granular Matrix Consisting of Recycled Rubber, Steel-Furnace Slag, and Coal Wash. J. Mater. Civ. Eng. 2020, 32, 04020169. [Google Scholar] [CrossRef]
- Tasalloti, A.; Chiaro, G.; Banasiak, L.; Palermo, A. Experimental investigation of the mechanical behaviour of gravel-granulated tyre rubber mixtures. Constr. Build. Mater. 2021, 273, 121749. [Google Scholar] [CrossRef]
- Tawk, M.; Qi, Y.; Indraratna, B.; Rujikiatkamjorn, C.; Heitor, A. Behaviour of a Mixture of Coal Wash and Rubber Crumbs under Cyclic Loading. J. Mater. Civ. Eng. 2021, 33, 04021054. [Google Scholar] [CrossRef]
- Tasalloti, S.; Indraratna, B.; Rujikiatkamjorn, C.; Heitor, A.; Chiaro, G. A Laboratory Study on the Shear Behavior of Mixtures of Coal Wash and Steel Furnace Slag as Potential Structural Fill. Geotech. Test. J. 2015, 38, 361–372. [Google Scholar] [CrossRef]
- Australian Rail Track Corporation. Earthworks Materials Specification. ETC-08-03. 2017. Available online: https://extranet.artc.com.au/docs/eng/track-civil/procedures/earthworks/ETC-08-03.pdf (accessed on 5 January 2021).
- Nazzal, M.D.; Mohammad, L.N.; Austin, A. Evaluating Laboratory Tests for Use in Specifications for Unbound Base Course Materials. J. Mater. Civ. Eng. 2020, 32, 04020036. [Google Scholar] [CrossRef]
- VicRoads. Code of Practice RC 500.02—Registration of Crushed Rock Mix Designs; VicRoads: Melbourne, Australia, 2017; pp. 1–9. [Google Scholar]
- ASTM D2487. Standard Practice for Classification of Soils for Engineering Purposes (Unified Soil Classification System); ASTM International: West Conshohocken, PA, USA, 2017. [Google Scholar]
- ASTM C127. Standard Test Method for Relative Density (Specific Gravity) and Absorption of Coarse Aggregate; ASTM International: West Conshohocken, PA, USA, 2015. [Google Scholar]
- ASTM C128. Standard Test Method for Relative Density (Specific Gravity) and Absorption of Fine Aggregate; ASTM International: West Conshohocken, PA, USA, 2015. [Google Scholar]
- ASTM C131/C131M. Standard Test Method for Resistance to Degradation of Small-Size Coarse Aggregate by Abrasion and Impact in the Los Angeles Machine; ASTM International: West Conshohocken, PA, USA, 2014. [Google Scholar]
- ASTM D698. Standard Test Methods for Laboratory Compaction Characteristics of Soil Using Standard Effort (12 400 ft-lbf/ft3 (600 kN-m/m3)); ASTM International: West Conshohocken, PA, USA, 2012. [Google Scholar]
- ASTM D1883. Standard Test Method for California Bearing Ratio (CBR) of Laboratory-Compacted Soils; ASTM International: West Conshohocken, PA, USA, 2012. [Google Scholar]
- Tasalloti, A.; Marshall, A.M.; Heron, C.M.; Hashemi, M.A. Geocellular railway drainage systems: Physical and numerical modelling. Transp. Geotech. 2020, 22, 100299. [Google Scholar] [CrossRef]
- Tapias, M.; Alonso, E.E.; Gili, J. A particle model for rockfill behaviour. Géotechnique 2015, 65, 975–994. [Google Scholar] [CrossRef]
- Indraratna, B.; Ionescu, D.; Christie, D.; Chowdhury, R. Compression and degradation of railway ballast under one-dimensional loading. Aust. Geomech. J. 1997, 4, 48–61. [Google Scholar]
- AS 1289.6.4.1. Methods of Testing Soils for Engineering Purposes Soil Strength and Consolidation Tests—Determination of Compressive Strength of a Soil—Compressive strength of a Specimen Tested in Undrained Triaxial Compression without Measurement of Pore Water Pressure; Standards Australia; SAI Global: Sydney, NSW, Australia, 2016; p. 5. [Google Scholar]
- Naeini, M.; Mohammadinia, A.; Arulrajah, A.; Horpibulsuk, S. Cyclic behavior of semi-rigid recovered plastic blends in railway track substructure. Transp. Geotech. 2021, 28, 100514. [Google Scholar] [CrossRef]
- Suiker, A.S.J.; Selig, E.T.; Frenkel, R. Static and Cyclic Triaxial Testing of Ballast and Subballast. J. Geotech. Geoenviron. Eng. 2005, 131, 771–782. [Google Scholar] [CrossRef]
- Indraratna, B.; Nimbalkar, S.; Christie, D.; Rujikiatkamjorn, C.; Vinod, J. Field Assessment of the Performance of a Ballasted Rail Track with and without Geosynthetics. J. Geotech. Geoenviron. Eng. 2010, 136, 907–917. [Google Scholar] [CrossRef]
- CEN EN 13286-7. Unbound and Hydraulically Bound Mixtures-Part 7: Cyclic Load Triaxial Test for Unbound Mixtures; EN 13286-7; European Committee for Standardization: Brussels, Belgium, 2004. [Google Scholar]
- AASHTO T307. Standard Method of Test for Determining the Resilient Modulus of Soils and Aggregate Materials; American Association of State Highway and Transportation Officials: Washington, DC, USA, 2012; Volume 99. [Google Scholar]
- Naeini, M.; Akhtarpour, A. Numerical analysis of seismic stability of a high centerline tailings dam. Soil Dyn. Earthq. Eng. 2018, 107, 179–194. [Google Scholar] [CrossRef]
- Touqan, M.; Ahmed, A.; El Naggar, H.; Stark, T. Static and cyclic characterization of fouled railroad sub-ballast layer behaviour. Soil Dyn. Earthq. Eng. 2020, 137, 106293. [Google Scholar] [CrossRef]
- Mohammadinia, A.; Naeini, M.; Arulrajah, A.; Horpibulsuk, S.; Leong, M. Shakedown analysis of recycled materials as railway capping layer under cyclic loading. Soil Dyn. Earthq. Eng. 2020, 139, 106423. [Google Scholar] [CrossRef]
- Pereira, J.H.F.; Fredlund, D.G. Volume Change Behavior of Collapsible Compacted Gneiss Soil. J. Geotech. Geoenviron. Eng. 2000, 126, 907–916. [Google Scholar] [CrossRef]
- Ooi, P.S.K.; Li, M.M.W.; Sagario, M.L.Q.; Song, Y. Shear Strength Characteristics of Recycled Glass. Transp. Res. Rec. 2008, 2059, 52–62. [Google Scholar] [CrossRef]
- Andrei, D.; Witczak, M.W.; Schwartz, C.W.; Uzan, J. Harmonized Resilient Modulus Test Method for Unbound Pavement Materials. Transp. Res. Rec. 2004, 1874, 29–37. [Google Scholar] [CrossRef]
- Witczak, M.W. Simple Performance Test for Superpave Mix Design; Transportation Research Board: Washington, DC, USA, 2002; Volume 465. [Google Scholar]
- Chow, L.C.; Mishra, D.; Tutumluer, E. Framework for Development of an Improved Unbound Aggregate Base Rutting Model for Mechanistic–Empirical Pavement Design. Transp. Res. Rec. 2014, 2401, 11–21. [Google Scholar] [CrossRef]
- Byun, Y.-H.; Feng, B.; Qamhia, I.I.A.; Tutumluer, E. Aggregate Properties Affecting Shear Strength and Permanent Deformation Characteristics of Unbound–Base Course Materials. J. Mater. Civ. Eng. 2020, 32, 04019332. [Google Scholar] [CrossRef]
- Erlingsson, S.; Rahman, S.; Salour, F. Characteristic of unbound granular materials and subgrades based on multi stage RLT testing. Transp. Geotech. 2017, 13, 28–42. [Google Scholar] [CrossRef]
- Werkmeister, S.; Dawson, A.R.; Wellner, F. Pavement Design Model for Unbound Granular Materials. J. Transp. Eng. 2004, 130, 665–674. [Google Scholar] [CrossRef]
- Werkmeister, S. Permanent Deformation Behaviour of Unbound Granular Materials in Pavement Constructions. Ph.D. Thesis, University of Technology, Dresden, Germany, 2003. [Google Scholar]










| Blend Name | RG Content (%) | Maximum Dry Density (Mg/m3) | Optimum Moisture Content (%) | CBR (%) |
|---|---|---|---|---|
| 100% RCA | 0 | 1.845 | 13.19 | 74.24 |
| 10% RG + 90% RCA | 10 | 1.797 | 13.06 | 72.20 |
| 20% RG + 80% RCA | 20 | 1.792 | 12.85 | 62.70 |
| 30% RG + 70% RCA | 30 | 1.784 | 12.32 | 55.56 |
| 40% RG + 60% RCA | 40 | 1.804 | 11.60 | 50.91 |
| 50% RG + 50% RCA | 50 | 1.818 | 11.55 | 48 |
| Test | Sample Dimensions (mm) | Compaction | Loading Condition |
|---|---|---|---|
| CBR | D 1 = 152 H 1 = 116 | MDD and OMC 2 | Loading rate = 1.27 mm/min Surcharge weight = 9 kg |
| 1D static compression | D = 152 H = 50 | Dry tamping | Dry state vertical stress (kPa): Loading = 25, 50, 100, 200 Unloading= 100, 50, 25 Reloading= 50, 100, 200 Flooding state vertical stress (kPa) = 200 kPa Submerged state vertical stress (kPa): Loading= 400, 800 Unloading= 400, 200, 100, 50, 25 |
| 1D cyclic compression | D = 152 H = 50 | Dry tamping | Dry state 3 = 25, 50, 100, 200 Flooding = 200 kPa Submerged state = 200 kPa 4 = 5 kPa Haversine loading shape Frequency = 5 Hz |
| Multistage triaxial compression | D = 100 H = 200 | MDD and OMC | Loading rate = 1 mm/min Confining pressures = 10, 40, 70 kPa |
| Repeated load triaxial (RLT) | D = 100 H = 200 | MDD and OMC | qmax5 = Table 3 Confining pressures = 10, 40, 70 kPa qmin 6 = 5 kPa Haversine loading shape Frequency = 5 Hz |
| Multistage cyclic permanent deformation | D = 100 H = 200 | MDD and OMC | qmax = 80, 160, 240 kPa Confining pressure = 40 qmin = 5 kPa Haversine loading shape Frequency = 5 Hz No. of loading cycles = 10,000 |
| Loading Sequence | Confining Pressure, σ3 (kPa) | Cyclic Deviator Stress, qcyc (kPa) | Maximum Deviator Stress, qmax (kPa) | No.Loading Cycles |
|---|---|---|---|---|
| Conditioning | 40 | 155 | 160 | 1000 |
| 1 | 10 | 15 | 20 | 100 |
| 2 | 10 | 35 | 40 | 100 |
| 3 | 10 | 55 | 60 | 100 |
| 4 | 10 | 75 | 80 | 100 |
| 5 | 10 | 95 | 100 | 100 |
| 6 | 40 | 35 | 40 | 100 |
| 7 | 40 | 75 | 80 | 100 |
| 8 | 40 | 115 | 120 | 100 |
| 9 | 40 | 155 | 160 | 100 |
| 10 | 40 | 195 | 200 | 100 |
| 11 | 70 | 65 | 70 | 100 |
| 12 | 70 | 135 | 140 | 100 |
| 13 | 70 | 170 | 175 | 100 |
| 14 | 70 | 205 | 210 | 100 |
| 15 | 70 | 275 | 280 | 100 |
| Sample | RLT Test | Cyclic Permanent Deformation Test | |||||||||
|---|---|---|---|---|---|---|---|---|---|---|---|
| k1 | k2 | k3 | R2 | Se/Sy | Stage | a | b | c | R2 | Se/Sy | |
| 100% RCA | 2.176 | 0.2573 | 0.2068 | 0.9667 | 0.21 | 1 | 4850 | 0.0695 | 0.5724 | 0.9932 | 0.09 |
| 2 | 3285 | 0.0788 | 0.1011 | ||||||||
| 3 | 4414 | 0.1105 | 0.4490 | ||||||||
| 10% RG + 90% RCA | 2.602 | 0.2236 | 0.1966 | 0.9848 | 0.14 | 1 | 1814 | 0.0410 | 0.1472 | 0.9923 | 0.09 |
| 2 | 3443 | 0.1250 | 0.7685 | ||||||||
| 3 | 3443 | 0.1002 | 0.3888 | ||||||||
| 20% RG + 80% RCA | 2.469 | 0.2842 | 0.2167 | 0.9754 | 0.18 | 1 | 3215 | 0.0301 | 0.3068 | 0.9924 | 0.10 |
| 2 | 3216 | 0.0662 | 0.1488 | ||||||||
| 3 | 4591 | 0.0776 | 0.6311 | ||||||||
| 30% RG + 70% RCA | 2.446 | 0.4472 | 0.1875 | 0.9928 | 0.10 | 1 | 3469 | 0.0438 | 0.4453 | 0.9939 | 0.08 |
| 2 | 4290 | 0.0888 | 0.7859 | ||||||||
| 3 | 4646 | 0.0867 | 0.8729 | ||||||||
| 40%RG + 60% RCA | 2.218 | 0.3391 | 0.2803 | 0.9883 | 0.12 | 1 | 4625 | 0.0827 | 0.9744 | 0.9905 | 0.10 |
| 2 | 4540 | 0.1168 | 1.2580 | ||||||||
| 3 | 5201 | 0.1096 | 1.6540 | ||||||||
| 50% RG + 50% RCA | 1.765 | 0.3604 | 0.4157 | 0.9892 | 0.12 | 1 | 2104 | 0.0606 | 0.3393 | 0.9893 | 0.11 |
| 2 | 3117 | 0.1054 | 0.1621 | ||||||||
| 3 | 6491 | 0.1336 | 2.764 | ||||||||
Publisher’s Note: MDPI stays neutral with regard to jurisdictional claims in published maps and institutional affiliations. |
© 2021 by the authors. Licensee MDPI, Basel, Switzerland. This article is an open access article distributed under the terms and conditions of the Creative Commons Attribution (CC BY) license (http://creativecommons.org/licenses/by/4.0/).
Share and Cite
Naeini, M.; Mohammadinia, A.; Arulrajah, A.; Horpibulsuk, S. Recycled Glass Blends with Recycled Concrete Aggregates in Sustainable Railway Geotechnics. Sustainability 2021, 13, 2463. https://doi.org/10.3390/su13052463
Naeini M, Mohammadinia A, Arulrajah A, Horpibulsuk S. Recycled Glass Blends with Recycled Concrete Aggregates in Sustainable Railway Geotechnics. Sustainability. 2021; 13(5):2463. https://doi.org/10.3390/su13052463
Chicago/Turabian StyleNaeini, Mahdi, Alireza Mohammadinia, Arul Arulrajah, and Suksun Horpibulsuk. 2021. "Recycled Glass Blends with Recycled Concrete Aggregates in Sustainable Railway Geotechnics" Sustainability 13, no. 5: 2463. https://doi.org/10.3390/su13052463
APA StyleNaeini, M., Mohammadinia, A., Arulrajah, A., & Horpibulsuk, S. (2021). Recycled Glass Blends with Recycled Concrete Aggregates in Sustainable Railway Geotechnics. Sustainability, 13(5), 2463. https://doi.org/10.3390/su13052463

