Behavior Evolution of Multi-Group in the Process of Pedestrian Crossing Based on Evolutionary Game Theory
Abstract
1. Introduction
2. Multi-Group Asymmetric Behavior Evolution Model
2.1. Scenario Recurrence and Hypothesis
2.2. Multi-Group Behavior Evolution Dynamic Replication Equation
3. Multi-Group Behavior Evolution and Stability Analysis
3.1. Analysis of Behavior Evolution Trend Based on Equilibrium Point
3.2. Sensitivity Analysis
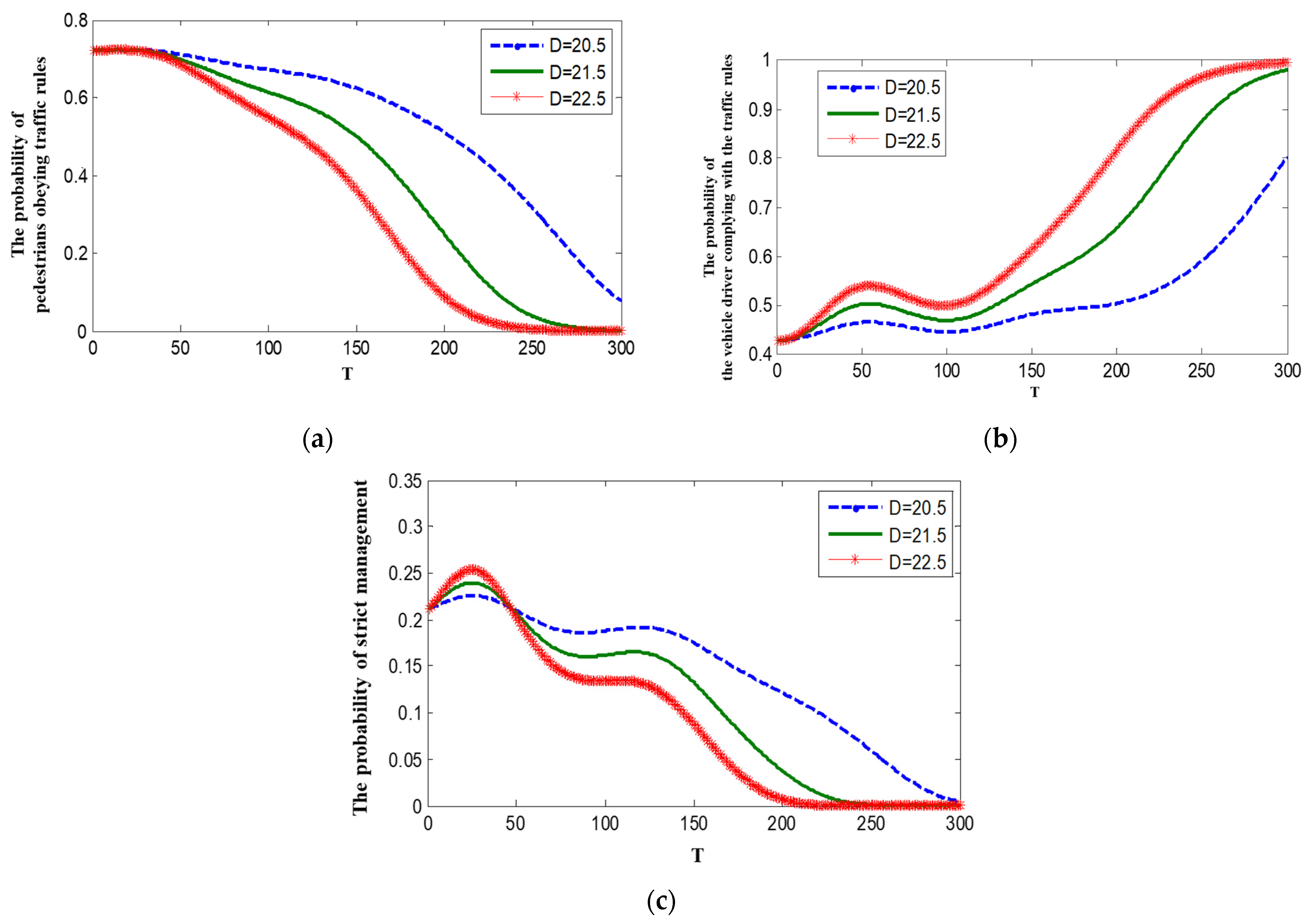
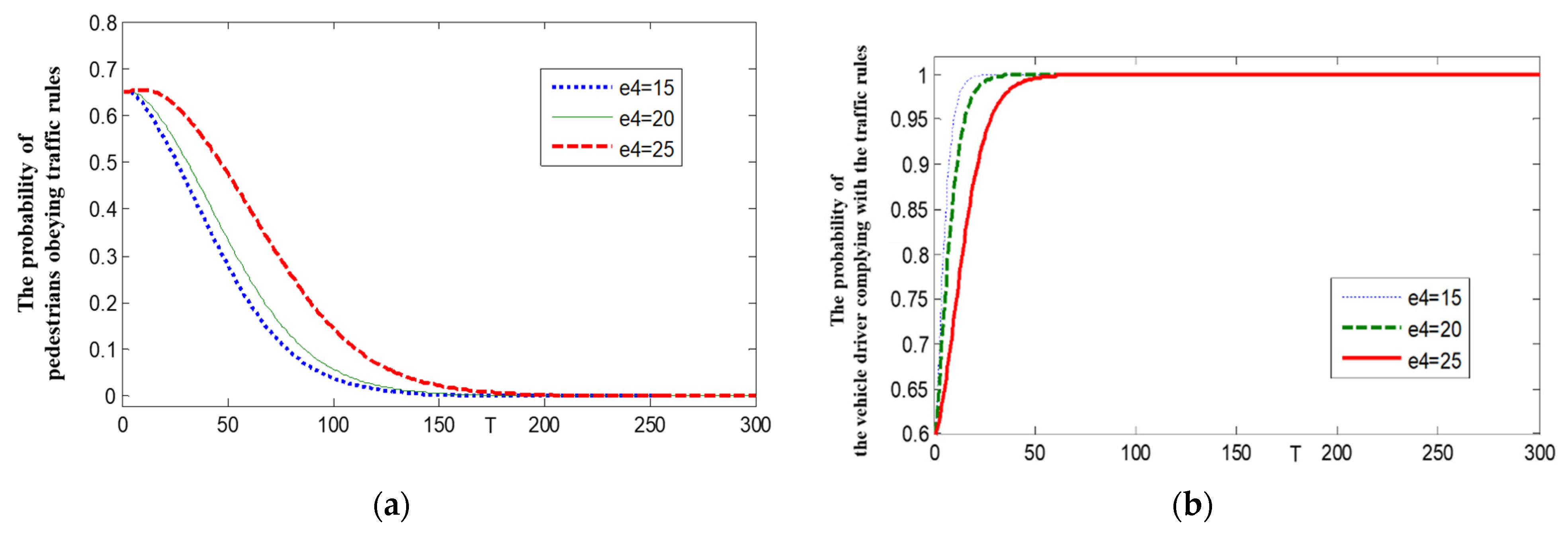
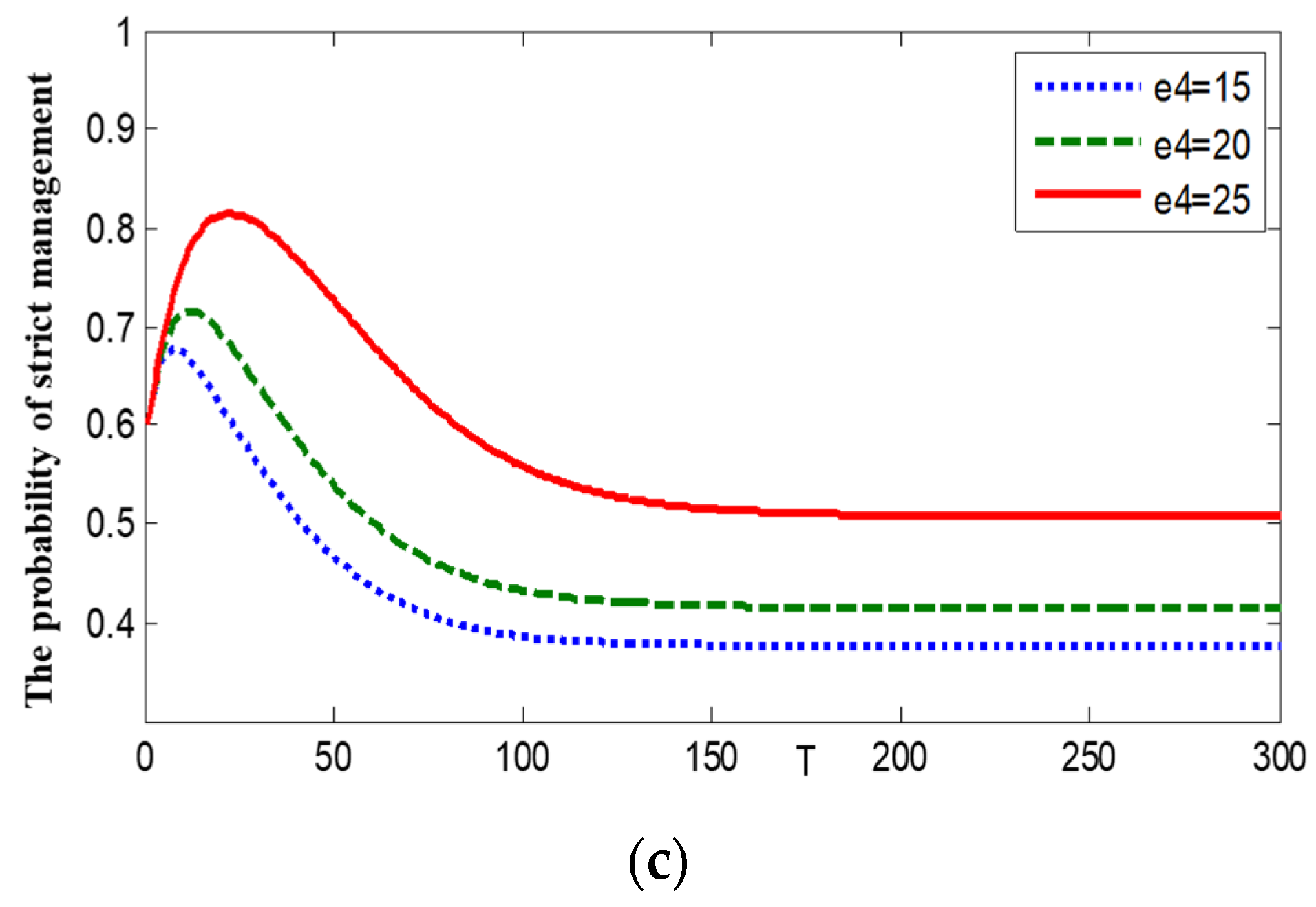
4. Numerical Simulation of Multi-Group Behavior Evolution
4.1. Behavioral Dynamic Evolution Graph
- Condition 1: pedestrians and vehicle drivers do not obey traffic rules and traffic managers carefully manage;
- Condition 2: pedestrians choose to obey the traffic rules, vehicle drivers do not obey the traffic rules, traffic managers do not carefully manage;
- Condition 3: pedestrians choose to obey the traffic rules, vehicle drivers do not obey the traffic rules, and traffic managers carefully manage;
- Condition 4: pedestrians choose to violate regulations, vehicle drivers abide by traffic rules, and traffic managers do not seriously manage.
4.2. Behavior Evolution Path Analysis Based on Sensitivity Simulation
5. Conclusions
Author Contributions
Funding
Institutional Review Board Statement
Informed Consent Statement
Data Availability Statement
Conflicts of Interest
References
- Hamed, M.M. Analysis of pedestrians’ behavior at pedestrian crossings. Saf. Sci. 2001, 38, 63–82. [Google Scholar] [CrossRef]
- Tanaboriboon, Y.; Jing, Q. Chinese pedestrians and their walking characteristics: Case study in Beijing. Transp. Res. Rec. 1994, 1441, 16–26. [Google Scholar]
- Yagil, D. Beliefs, motives and situational factors related to pedestrians’ self-reported behavior at signal-controlled crossings. Transp. Res. Part F Traffic Psychol. Behav. 2000, 3, 1–13. [Google Scholar] [CrossRef]
- Sisiopiku, V.P.; Akin, D. Pedestrian behaviors at and perceptions towards various pedestrian facilities: An examination based on observation and survey data. Transp. Res. Part F Traffic Psychol. Behav. 2003, 6, 249–274. [Google Scholar] [CrossRef]
- Das, S.; Manski, C.F.; Manuszak, M.D. Walk or wait? An empirical analysis of street crossing decisions. J. Appl. Econom. 2005, 20, 529–548. [Google Scholar] [CrossRef]
- Finnis, K.K.; Walton, D. Field observations to determine the influence of population size, location and individual factors on pedestrian walking speeds. Ergonomics 2008, 51, 827–842. [Google Scholar] [CrossRef]
- Holland, C.; Hill, R. The effect of age, gender and driver status on pedestrians’ intentions to cross the road in risky situations. Accid. Anal. Prev. 2007, 39, 224–237. [Google Scholar] [CrossRef] [PubMed]
- Tian, H.H.; Wei, Y.F.; Yu, X.; Lu, W.Z. Lattice hydrodynamic model with bidirectional pedestrian flow. Phys. A Stat. Mech. Its Appl. 2009, 388, 2895–2902. [Google Scholar] [CrossRef]
- Reason, J.; Manstead, A.; Stradling, S.; Baxter, J.; Campbell, K. Errors and violations on the roads: A real distinction? Ergonomics 1990, 33, 1315–1332. [Google Scholar] [CrossRef] [PubMed]
- Zegeer, C.V.; Stutts, J.C.; Huang, H.; Zhou, M.; Rodgman, E. Analysis of elderly pedestrian accidents and recommended countermeasures. Transp. Res. Rec. 1993, 1405, 56–63. [Google Scholar]
- Coffin, A.; Morrall, J. Walking Speeds of Ederly Pedestrians at Crosswalks. Transp. Res. Rec. 1995, 1487, 63. [Google Scholar]
- Oxley, J.; Fildes, B.; Ihsen, E.; Charlton, J.; Day, R. Differences in traffic judgements between young and old adult pedestrians. Accid. Anal. Prev. 1997, 29, 839–847. [Google Scholar] [CrossRef]
- Whitebread, D.; Neilson, K. The contribution of visual search strategies to the development of pedestrian skills by 4-11 year-old children. Br. J. Educ. Psychol. 2000, 70, 539–557. [Google Scholar] [CrossRef] [PubMed]
- Díaz, E.M. Theory of planned behavior and pedestrians’ intentions to violate traffic regulations. Transp. Res. Part F Traffic Psychol. Behav. 2002, 5, 169–175. [Google Scholar] [CrossRef]
- Tiwari, G.; Bangdiwala, S.; Saraswat, A.; Gaurav, S. Survival analysis: Pedestrian risk exposure at signalized intersections. Transp. Res. Part F Traffic Psychol. Behav. 2007, 10, 77–89. [Google Scholar] [CrossRef]
- Avineri, E.; Shinar, D.; Susilo, Y.O. Pedestrians’ behaviour in cross walks: The effects of fear of falling and age. Accid. Anal. Prev. 2012, 44, 30–34. [Google Scholar] [CrossRef] [PubMed]
- Rosenbloom, T.; Hadari-Carmi, O.; Sapir-Lavid, Y. Actual and perceived social norms of children’s road crossing behavior. Saf. Sci. 2012, 50, 175–180. [Google Scholar] [CrossRef]
- Wang, L.; Xie, N.G.; Meng, R. Dirty-Face Game Analysis on Mixed Traffic Flow at Unsignalized Intersection. In Advanced Materials Research; Trans Tech Publications Ltd.: Stafa-Zurich, Switzerland, 2011; Volume 201, pp. 2119–2125. [Google Scholar]
- Guo, J.Y.; Liu, S.; Chen, S.K.; Mao, B.H. Review of pedestrian movement simulation studies. J. Syst. Simul. 2008, 20, 2237–2241. [Google Scholar]
- Schwebel, D.C.; Severson, J.; Ball, K.K.; Rizzo, M. Individual difference factors in risky driving: The roles of anger/hostility, conscientiousness, and sensation-seeking. Accid. Anal. Prev. 2006, 38, 801–810. [Google Scholar] [CrossRef]
- Lassarre, S.; Papadimitriou, E.; Yannis, G.; Golias, J. Measuring accident risk exposure for pedestrians in different micro-environments. Accid. Anal. Prev. 2007, 39, 1226–1238. [Google Scholar] [CrossRef] [PubMed]
- Taubman-Ben-Ari, O.; Shay, E. The association between risky driver and pedestrian behaviors: The case of Ultra-Orthodox Jewish road users. Transp. Res. Part F Traffic Psychol. Behav. 2012, 15, 188–195. [Google Scholar] [CrossRef]
- Gstalter, H.; Fastenmeier, W. Reliability of drivers in urban intersections. Accid. Anal. Prev. 2010, 42, 225–234. [Google Scholar] [CrossRef]
- Şimşekoğlu, Ö. How do attitudes, personality traits, and driver behaviors relate to pedestrian behaviors? A Turkish case. Traffic Inj. Prev. 2015, 16, 84–89. [Google Scholar] [CrossRef] [PubMed]
- Salmon, P.M.; Lenne, M.G.; Walker, G.H.; Stanton, N.A.; Filtness, A. Using the Event Analysis of Systemic Teamwork (EAST) to explore conflicts between different road user groups when making right hand turns at urban intersections. Ergonomics 2014, 57, 1628–1642. [Google Scholar] [CrossRef]
- Zhou, R.; Horrey, W.J.; Yu, R. The effect of conformity tendency on pedestrians’ road-crossing intentions in China: An application of the theory of planned behavior. Accid. Anal. Prev. 2009, 41, 491–497. [Google Scholar] [CrossRef] [PubMed]
- Barton, B.K.; Kologi, S.M.; Siron, A. Distracted pedestrians in crosswalks: An application of the Theory of Planned Behavior. Transp. Res. Part F Traffic Psychol. Behav. 2016, 37, 129–137. [Google Scholar] [CrossRef]
- Nagatani, T. Jamming and freezing transitions in CA model for facing pedestrian traffic with a soft boundary. Phys. Lett. A 2010, 374, 1686–1689. [Google Scholar] [CrossRef]
- Dou, S.; Li, X.; Gou, J. Study on urban road intersection traffic scenario simulation based on cellular automaton. Adv. Transp. Stud. 2013, 32, 149–160. [Google Scholar]
- Zhou, X.F.; Zheng, C.J. An Analysis of Road-grabbing at Non-intersection Crosswalks without Signal Control Based on Game Theory. J. East China Jiaotong Univ. 2012, 6, 65–69. [Google Scholar]
- Kim, J.; Tak, S.; Bierlaire, M.; Yeo, H. Trajectory Data Analysis on the Spatial and Temporal Influence of Pedestrian Flow on Path Planning Decision. Sustainability 2020, 12, 10419. [Google Scholar] [CrossRef]
- Xiao, Z.; Zhou, Z.; Zhang, K. Pedestrians’ violation behavior model based on group decision-making. Adv. Mech. Eng. 2019, 11. [Google Scholar] [CrossRef]
- Saleh, W.; Grigorova, M.; Elattar, S. Pedestrian Road Crossing at Uncontrolled Mid-Block Locations: Does the Refuge Island Increase Risk? Sustainability 2020, 12, 4891. [Google Scholar] [CrossRef]
- Kim, H.M.; Mateo-Babiano, I. Pedestrian Crossing Environments in an Emerging Chinese City: Vehicle Encountering, Seamless Walking, and Sensory Perception Perspectives. Sustainability 2018, 10, 2200. [Google Scholar] [CrossRef]
- Wang, Y.; Shen, B.; Wu, H.; Wang, C.; Su, Q.; Chen, W. Modeling illegal pedestrian crossing behaviors at unmarked mid-block roadway based on extended decision field theory. Phys. A: Stat. Mech. Its Appl. 2021, 562, 125327. [Google Scholar] [CrossRef]
- He, G.G.; Ji, Y.M.; Liu, F.T. Choice for travel modes based on the two-level game. J. Chang’an Univ. (Soc. Sci. Ed.) 2006, 8, 4–7. [Google Scholar]






| The Payoff Matrix under Strict Management by Traffic Manager | |||
| Vehicle Driver | |||
| Violation | Obeying Traffic Rules | ||
| Pedestrian | Violation | , , | , , |
| Obeying traffic rules | , , | , , | |
| The Payoff Matrix under Careless Management by Traffic Manager | |||
| Vehicle Driver | |||
| Violation | Obeying Traffic Rules | ||
| Pedestrian | Violation | , , | , , |
| Obeying traffic rules | , , | , , . | |
| Equilibrium Point | Jacobian Matrix Eigenvalues | Result |
|---|---|---|
| , , | Unstable | |
| , , | Unstable | |
| , , | Unstable | |
| , , | Stable | |
| , , | Unstable | |
| , , | Unstable | |
| , , | Unstable | |
| , , | Unstable |
| Parameter | Symbol | Conditions and Values | |||
|---|---|---|---|---|---|
| Condition 1 | Condition 2 | Condition 3 | Condition 4 | ||
| Safety revenue of obeying rules to pedestrians | 2 | 10 | 10 | 4 | |
| Time revenue of violation to pedestrians | 9 | 10 | 5 | 15 | |
| Probability of a traffic accident occurring when pedestrians and vehicle drivers are in violation | 0.015 | 0.015 | 0.015 | 0.015 | |
| Loss to pedestrians because of traffic accident | 200 | 200 | 200 | 200 | |
| The amount of penalty imposed on a pedestrian | 10 | 20 | 20 | 10 | |
| Safety revenue of obeying rules to vehicle drivers | 6 | 6 | 8 | 6 | |
| Loss to of vehicle drivers because of obeying rules | −21 | −15 | −25 | −10 | |
| Loss to vehicle drivers because of traffic accidents | 300 | 500 | 300 | 500 | |
| The amount of penalty imposed on a vehicle driver | 30 | 40 | 30 | 40 | |
| Cost of traffic management | 40 | 50 | 70 | 50 | |
| Certain revenue of effective traffic management to traffic managers | 30 | 20 | 50 | 10 | |
| Loss to the traffic managers because of the accountability of the superior department | 15 | 15 | 15 | 12 | |
| Pedestrian’s punishment probability under careless management by traffic managers | 0.3 | 0.4 | 0.3 | 0.3 | |
| Vehicle driver’s punishment probability under careless management by traffic managers | 0.6 | 0.7 | 0.6 | 0.6 | |
Publisher’s Note: MDPI stays neutral with regard to jurisdictional claims in published maps and institutional affiliations. |
© 2021 by the authors. Licensee MDPI, Basel, Switzerland. This article is an open access article distributed under the terms and conditions of the Creative Commons Attribution (CC BY) license (http://creativecommons.org/licenses/by/4.0/).
Share and Cite
Zhang, R.; Wei, Z.; Gu, H.; Qiu, S. Behavior Evolution of Multi-Group in the Process of Pedestrian Crossing Based on Evolutionary Game Theory. Sustainability 2021, 13, 2009. https://doi.org/10.3390/su13042009
Zhang R, Wei Z, Gu H, Qiu S. Behavior Evolution of Multi-Group in the Process of Pedestrian Crossing Based on Evolutionary Game Theory. Sustainability. 2021; 13(4):2009. https://doi.org/10.3390/su13042009
Chicago/Turabian StyleZhang, Ran, Zhonghua Wei, Heng Gu, and Shi Qiu. 2021. "Behavior Evolution of Multi-Group in the Process of Pedestrian Crossing Based on Evolutionary Game Theory" Sustainability 13, no. 4: 2009. https://doi.org/10.3390/su13042009
APA StyleZhang, R., Wei, Z., Gu, H., & Qiu, S. (2021). Behavior Evolution of Multi-Group in the Process of Pedestrian Crossing Based on Evolutionary Game Theory. Sustainability, 13(4), 2009. https://doi.org/10.3390/su13042009
