Effects of Land-Use Characteristics on Transport Mode Choices by Purpose of Travel in Seoul, South Korea, Based on Spatial Regression Analysis
Abstract
1. Introduction
2. Literature Review and Hypothesis
2.1. Literature Review
2.2. Hypothesis
- In the diagnosis of spatial autocorrelation in the dependent variable (i.e., travel volume), there is a high likelihood of identifying the presence of spatial autocorrelation.
- If spatial autocorrelation exists, then there is a high likelihood that the results from a SR analysis will have a higher explanatory power than those from a conventional OLS analysis.
- If non-business travel is analyzed together with business travel (the latter of which was mostly examined in existing studies), then a difference between the mode of transport that is chosen for the two purposes of travel is likely to be found.
- Compactness and mixed-use zoning may not always be factors that cause increased pedestrian traffic volume or use of public transit.
- The dependent variable (i.e., travel volume) is expected to be affected by spatial autocorrelation and the results of subsequent analyses will show that SR analysis has higher explanatory power than conventional OLS analysis.
- When the effects of land-use characteristics on transport mode choices are analyzed with the purpose of travel divided into business and non-business types, there will be differences in the variables associated with land-use characteristics that affect these two different purposes of travel; it is expected that land-use characteristics will have a greater effect on non-business travel than on business travel.
- Even with higher density, diversity and accessibility (the variables associated with land-use characteristics), pedestrian traffic volume and use of public transit will not always increase.
3. Material and Methods
3.1. Analytical Models and Variables
3.1.1. Establishment of Independent Variables
3.1.2. Establishment of Dependent Variable
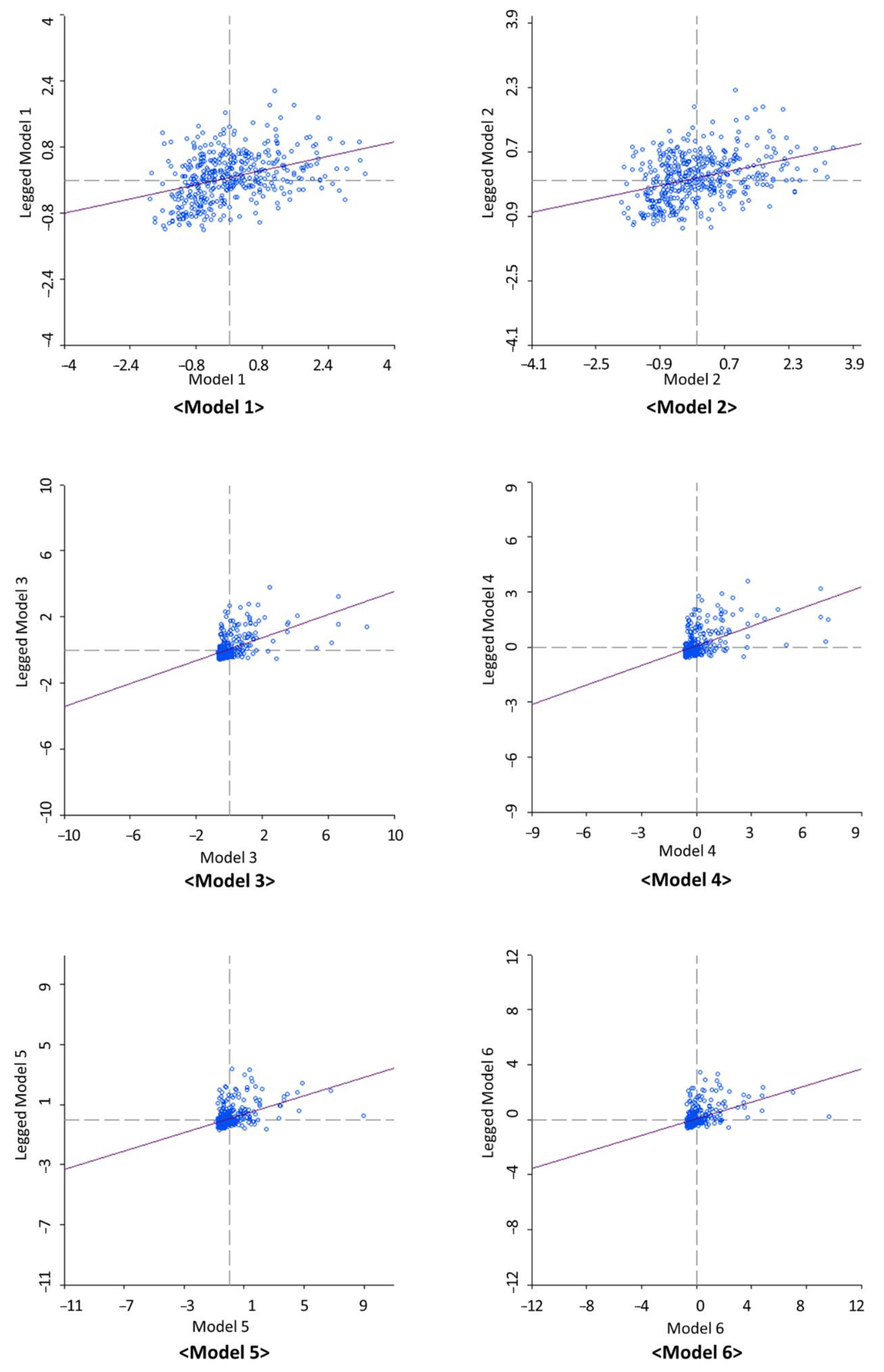
3.2. Diagnosis of Spatial Autocorrelation
4. Results
4.1. Comparison Between OLS and SR Models
4.2. SR Model Results
4.3. Hypothesis Test
5. Discussion and Implications
Author Contributions
Funding
Data Availability Statement
Acknowledgments
Conflicts of Interest
References
- Cervero, R. Land-Use Mixing and Suburban Mobility. Transportation 1988, 42, 429–446. [Google Scholar]
- Ewing, R.; Meakins, G.; Hamidi, S.; Nelson, A.C. Relationship between urban sprawl and physical activity, obesity, and morbidity—Update and refinement. Health Place 2014, 26, 118–126. [Google Scholar] [CrossRef] [PubMed]
- Song, Y.; Knapp, G.-J. Measuring Urban Form. Is Portland Winning the War on Sprawl. J. Am. Plan. Assoc. 2004, 70, 210–225. [Google Scholar] [CrossRef]
- Cervero, R. Transport and Land Use. Aust. Plan. 2001, 38, 29–37. [Google Scholar] [CrossRef]
- Cervero, R. The Built Environment and Travel: Evidence from the United States. Eur. J. Trans. Infrastruct. Res. 2003, 3, 119–137. [Google Scholar]
- Cervero, R.; Kang, C.D. Bus rapid transit impacts on land uses and land values in Seoul, Korea. Transp. Policy 2011, 18, 102–116. [Google Scholar] [CrossRef]
- Downs, A. Smart Growth: Why We Discuss It More than We Do It. J. Am. Plan. Assoc. 2005, 71, 367–378. [Google Scholar] [CrossRef]
- Kii, M.; Doi, K. Multiagent Land-Use and Transport Model for the Policy Evaluation of a Compact City. Environ. Plan. B Plan. Des. 2005, 32, 485–504. [Google Scholar] [CrossRef]
- Berawi, M.A.; Saroji, G.; Iskandar, F.A.; Ibrahim, B.E.; Miraj, P.; Sari, M. Optimizing Land Use Allocation of Transit-Oriented Development (TOD) to Generate Maximum Ridership. Sustainability 2020, 12, 3798. [Google Scholar] [CrossRef]
- Jacobs, J. The Death and Life of Great American Cities; Vintage Books: New York, NY, USA, 1992. [Google Scholar]
- Cervero, R. Jobs-Housing Balancing and Regional Mobility. Am. Plan. Assoc. 1989, 55, 136–150. [Google Scholar] [CrossRef]
- Cervero, R. Built environments and mode choice: Toward a normative framework. Trans. Res. Part. D Trans. Environ. 2002, 7, 265–284. [Google Scholar] [CrossRef]
- Frank, L.D.; Pivo, G. Impacts of mixed use and density on utilization of three modes of travel: Single occupant vehi- cle, transit, and walking. Trans. Res. Rec. J. Trans. Res. Board 1994, 1466, 44–52. [Google Scholar] [CrossRef]
- Tsai, Y.H. Quantifying Urban Form: Compactness versus ‘Sprawl’. Urban Stud. 2005, 42, 141–161. [Google Scholar] [CrossRef]
- Ewing, R.; Cervero, R. Travel and the Built Environment—A Synthesis. Trans. Res. Rec. 2001, 1780, 87–114. [Google Scholar] [CrossRef]
- Ewing, R.; Cervero, R. Travel and the Built Environment—A Meta Analysis. J. Am. Plan. Assoc. 2010, 76, 265–294. [Google Scholar] [CrossRef]
- Cervero, R.; Kockelman, K. Travel demand and the 3Ds: Density, diversity, and design. Trans. Res. Part D Trans. Environ. 1997, 2, 199–219. [Google Scholar] [CrossRef]
- Gim, T.H.T. Full Random Coefficients Multilevel Modeling of the Relationship between Land Use and Trip Time on Weekdays and Weekends. Sustainability 2017, 9, 1824. [Google Scholar] [CrossRef]
- Handy, S. Methodologies for exploring the link between urban form and travel behavior. Trans. Res. Part D Trans. Environ. 1996, 1, 151–165. [Google Scholar] [CrossRef]
- Kato, H.; Igo, T.; Furuhashi, M. How Much Does Land Use Mix Impact on Travel Frequency. J. East. Asia Soc. Trans. Stud. 2013, 10, 454–467. [Google Scholar] [CrossRef]
- Cervero, R.; Radisch, C. Travel choices in pedestrian versus automobile oriented neighborhoods. Transp. Policy 1996, 3, 127–141. [Google Scholar] [CrossRef]
- Cervero, R. Mixed land-uses and commuting: Evidence from the American Housing Survey. Transp. Res. Part A Policy Pract. 1996, 30, 361–377. [Google Scholar] [CrossRef]
- Cervero, R. Jobs-housing balance revisited. J. Am. Plan. Assoc. 1996, 62, 492. [Google Scholar] [CrossRef]
- Lee, C.; Moudon, A.V. The 3Ds+R: Quantifying land use and urban form correlates of walking. Trans. Res. Part D Transp. Environ. 2006, 11, 204–215. [Google Scholar] [CrossRef]
- Meurs, H.; van Wee, B. Land Use and Mobility: A Synthesis of Findings and Policy Implications. Eur. J. Trans. Infrastruct. Res. 2003, 3, 219–233. [Google Scholar]
- Bahadure, S.; Kotharkar, R. Assessing Sustainability of Mixed Use Neighbourhoods through Residents’ Travel Behaviour and Perception: The Case of Nagpur, India. Sustainability 2015, 7, 12164–12189. [Google Scholar] [CrossRef]
- Frank, L.D. Land Use and Transportation Interaction: Implications on Public Health and Quality of Life. J. Plann. Educ. Res. 2000, 20, 6–22. [Google Scholar] [CrossRef]
- Delso, J.; Martin, B.; Ortega, E. Potentially Replaceable Car Trips: Assessment of Potential Modal Change towards Active Transport Modes in Vitoria-Gasteiz. Sustainability 2018, 10, 3510. [Google Scholar] [CrossRef]
- De Bourdeaudhuij, I.; Sallis, J.F.; Saelens, B.E. Environmental Correlates of Physical Activity in a Sample of Belgian Adults. Am. J. Health Promot. 2003, 18, 83–92. [Google Scholar] [CrossRef]
- De Bourdeaudhuij, I.; Teixeira, P.J.; Cardon, G.; Deforche, B. Environmental and psychosocial correlates of physical activity in Portuguese and Belgian adults. Public Health Nutr. 2005, 8, 886–895. [Google Scholar] [CrossRef]
- Geng, J.C.; Long, R.Y.; Chen, H.; Yue, T.; Li, W.B.; Li, Q.W. Exploring Multiple Motivations on Urban Resident’ Travel Mode Choices: An Empirical Study from Jiangsu Province in China. Sustainability 2017, 9, 136. [Google Scholar] [CrossRef]
- Joh, K.; Chakrabarti, S.; Boarnet, M.G.; Woo, A. The Walking Renaissance: A Longitudinal Analysis of Walking Travel in the Greater Los Angeles Area, USA. Sustainability 2015, 7, 8985–9011. [Google Scholar] [CrossRef]
- Rodríguez, D.A.; Evenson, K.R.; Diez Roux, A.V.; Brines, S.J. Land Use, Residential Density, and Walking. The Multi-Ethnic Study of Atherosclerosis. Am. J. Prev. Med. 2009, 37, 397–404. [Google Scholar] [CrossRef]
- Yang, Y.; Diez-Roux, A.V. Adults’ Daily Walking for Travel and Leisure: Interaction Between Attitude Toward Walking and the Neighborhood Environment. Am. J. Health Promot. 2017, 31, 435–443. [Google Scholar] [CrossRef] [PubMed]
- Mitchell Hess, P.; Vernez Moudon, A.; Logsdon, M. Measuring Land Use Patterns for Transportation Research. Trans. Res. Rec. J. Trans. Res. Board 2001, 1780, 17–24. [Google Scholar] [CrossRef]
- Horner, M.W.; Marion, B.M. A Spatial Dissimilarity-based Index of the Jobs-Housing Balance—Conceptual Framework and Empirical Tests. Urban Stud. 2009, 46, 499–517. [Google Scholar] [CrossRef]
- Song, J.; Wang, R. Measuring the Spatial Dimension of Automobile Ownership and Its Associations with Household Characteristics and Land Use Patterns: A Case Study in Three Counties, South Florida (USA). Sustainability 2017, 9, 558. [Google Scholar] [CrossRef]
- Belsley, D.A. Conditioning Diagnostics: Collinearity and Weak Data in Regression; John Wiley & Sons: New York, NY, USA, 1991. [Google Scholar]
- Crane, R.; Crepeau, R. Does neighborhood design influence travel?: A behavioral analysis of travel diary and GIS data. Trans. Res. Part D Trans. Environ. 1998, 3, 225–238. [Google Scholar] [CrossRef]
- Song, Y.; Merlin, L.; Rodriguez, D. Comparing measures of urban land use mix. Comput. Environ. Urban Syst. 2013, 42, 1–13. [Google Scholar] [CrossRef]
- Kockelman, K.M. Travel behavior as function of accessibility, land use mixing, and land use balance: Evidence from San Francisco Bay Area. Trans. Res. Rec. 1997, 1607, 116–125. [Google Scholar] [CrossRef]
- Land, I.A.T. Enforcement Decree of The National Land Planning and Utilization Act. In 29395; The National Assembly of The Republic of Korea: Seoul, Korea, 2018.
- Min, B. The Effects of Land Use Characteristics on Trip Patterns by Trip Purpose and Travel Mode. Master’s Thesis, Korea University, Seoul, Korea, 2016. [Google Scholar]
- Lavoie, M. Characterizing Land Use and Transportation for Transit-Oriented Development in the Montreal Metropolitan Region; McGill School of Urban Planning: Montreal, QC, Canada, 2012. [Google Scholar]
- Clifton, K.; Ewing, R.; Knaap, G.J.; Song, Y. Quantitative analysis of urban form: A multidisciplinary review. J. Urban. Int. Res. Placemak. Urban. Sustain. 2008, 1, 17–45. [Google Scholar] [CrossRef]
- Manaugh, K.; Kreider, T. What is mixed use? Presenting an interaction method for measuring land use mix. J. Trans. Land Use 2013, 6, 63–72. [Google Scholar] [CrossRef]
- Duncan, O.D.; Duncan, B. A Methodological Analysis of Segregation Indexes. Am. Soc. Rev. 1955, 20, 210–217. [Google Scholar] [CrossRef]
- Bento, A.M.; Cropper, M.L.; Mobarak, A.M.; Vinha, K. The effects of urban spatial structure on travel demand in the United States. Rev. Econ. Stat. 2005, 87, 466–478. [Google Scholar] [CrossRef]
- Massey, D.S.; Denton, N.A. The Dimensions of Residential Segregation. Soc. Forces 1988, 67, 281–315. [Google Scholar] [CrossRef]
- Park, G.; Choi, C. Influence of Neighborhood Land Use on Residents’ Choices of Shopping and Leisure Facilities. J. Korea Plan. Assoc. 2012, 47, 249–263. [Google Scholar]
- Seo, M.; Kim, S. An Analysis on the Relationship between Planning Elements of Urban Form and Travel Behavior Characteristics—Focused on Planning Policy for the Green City by Size and Locations. J. Korea Plan. Assoc. 2011, 46, 223–244. [Google Scholar]
- Choo, S.; Park, S. Analyzing Spatial Distribution and Trip Generation Factors by Household Structure in Seoul. J. Trans. Res. 2013, 20, 1–13. [Google Scholar] [CrossRef]
- Min, B.; Lee, G.; Kim, S. The Effects of Land-use Characteristics on Trip Patterns by Trip Modes and Purposes. J. Arch. Inst. Korea 2016, 32, 77–87. [Google Scholar]
- Hillier, B. Space Is the Machine: A Configurational Theory of Architecture; Space Syntax: London, UK, 2007. [Google Scholar]
- Doreian, P. Estimating Linear Models with Spatially Distributed Data. Soc. Methodol. 1981, 12, 359–388. [Google Scholar] [CrossRef]
- Doreian, P. Linear-Models wth Spatially Distributed Data—Spatial Disturbances or Spatial Effects. Sociol. Methods Res. 1980, 9, 29–60. [Google Scholar] [CrossRef]
- Moran, P.A.P. Notes on Continuous Stochastic Phenomena. Biometrika 1950, 37, 17–23. [Google Scholar] [CrossRef] [PubMed]
- Florax, R.J.G.M.; de Graaff, T. The Performance of Diagnostic Tests for Spatial Dependence in Linear Regression Models: A Meta-Analysis of Simulation Studies. In Advances in Spatial Econometrics: Methodology, Tools and Applications; Anselin, L., Florax, R.J.G.M., Rey, S.J., Eds.; Springer: Berlin, Germany, 2004; pp. 29–65. [Google Scholar] [CrossRef]
- Haandrikman, K.; van Wissen, L.J.G.; Harmsen, C.N. Explaining Spatial Homogamy. Compositional, Spatial and Regional Cultural Determinants of Regional Patterns of Spatial Homogamy in the Netherlands. Appl. Spat. Anal. Policy 2011, 4, 75–93. [Google Scholar] [CrossRef]
- Dingil, A.E.; Rupi, F.; Stasiskiene, Z. A macroscopic analysis of transport networks: The influence of network design on urban transportation performance. Int. J. Trans. Dev. Integr. 2019, 3, 331–343. [Google Scholar] [CrossRef]
- Liu, X.; Gong, L.; Gong, Y.; Liu, Y. Revealing travel patterns and city structure with taxi trip data. J. Trans. Geogr. 2015, 43, 78–90. [Google Scholar] [CrossRef]
- Nuzzolo, A.; Comi, A.; Polimeni, A. Exploring on-demand service use in large urban areas: The case of Rome. Arch. Trans. 2019, 50. [Google Scholar] [CrossRef]




| Independent Variable | Definition | ||
|---|---|---|---|
| Density | Residential density | X1 | GFA * of residential facilities | 
| Commercial density | X2 | GFA of commercial and neighborhood facilities | |
| Population density | X3 | Number of populations | |
| Employee density | X4 | Number of employees | |
| Diversity | Entropy index | X5 | |
| Dissimilarity index | X6 | ||
| Job-housing balance index | X7 | = Number of residents in administrative neighborhood i = Number of workers in administrative neighborhood i | |
| Residential-non-residential index | X8 | = GFA of residential buildings in administrative neighborhood i = GFA of non-residential buildings in administrative neighborhood i | |
| Industrial mixture index | X9 | (Number of employees in the tertiary industry) ÷ (Total number of employees) | |
| Accessibility | Accessibility to bus station | X10 | Sum of the number of bus lines for each station in administrative neighborhood | 
| Global integration | X11 | Integration value of street network (n = n) | |
| Local integration | X12 | Integration value of street network (n = 3) | |
| Division | Purpose of Travel | ||
|---|---|---|---|
| Business | Non-Business | ||
| Transport mode | Non-motorized | Business trip by non-motorized modes (Model 1) | Non-business trip by non-motorized modes (Model 2) | 
| Public transit | Business trip by transit modes (Model 3) | Non-business trip by transit modes (Model 4) | |
| Personal motorized | Business trip by personal motorized modes (Model 5) | Non-business trip by personal motorized modes (Model 6) | |
| Division | O–D Data Type | |
|---|---|---|
| Purpose of travel | Business | To work, to school, for business | 
| Non-business | To academy, for shopping, for leisure | |
| Transport mode | Non-motorized | Walk, bicycle | 
| Public transit | Local bus, intercity bus, town bus, metro bus, express bus, other buses, subway, railway train, KTX * | |
| Personal motorized | Car (including car-sharing), taxi, motorcycle | |
| Variable | Mean | SD | Min | Max | |
|---|---|---|---|---|---|
| Independent Variables | X1 | 0.771 | 0.400 | 0.046 | 2.779 | 
| X2 | 0.390 | 0.370 | 0.014 | 3.649 | |
| X3 | 24,322 | 9014 | 1257 | 52,199 | |
| X4 | 8995 | 13,759 | 40 | 129,339 | |
| X5 | 0.559 | 0.165 | 0.070 | 0.982 | |
| X6 | 0.253 | 0.085 | 0.017 | 0.472 | |
| X7 | 0.301 | 0.223 | 0.016 | 0.988 | |
| X8 | 0.642 | 0.236 | 0.039 | 0.997 | |
| X9 | 0.864 | 0.089 | 0.505 | 0.998 | |
| X10 | 75 | 56 | 2 | 507 | |
| X11 | 0.625 | 0.088 | 0.368 | 0.806 | |
| X12 | 1.956 | 0.351 | 0.963 | 2.926 | |
| Dependent Variables | Travel volume in Model 1 | 144 | 76 | 3 | 401 | 
| Travel volume in Model 2 | 76 | 42 | 2 | 250 | |
| Travel volume in Model 3 | 211 | 301 | 9 | 2372 | |
| Travel volume in Model 4 | 54 | 76 | 0 | 907 | |
| Travel volume in Model 5 | 145 | 172 | 4 | 1798 | |
| Travel volume in Model 6 | 38 | 34 | 0 | 225 | |
| Division | Model 1 | Model 2 | ||||||||||
|---|---|---|---|---|---|---|---|---|---|---|---|---|
| OLS | SLM | SEM | OLS | SLM | SEM | |||||||
| B (Sig.) | t | B (Sig.) | t | B (Sig.) | t | B (Sig.) | t | B (Sig.) | t | B (Sig.) | t | |
| X3 | 0.008 (0.000 **) | 15.224 | 0.007 (0.000 **) | 14.056 | 0.007 (0.000 **) | 14.638 | 0.005 (0.000 **) | 14.324 | 0.005 (0.000 **) | 13.263 | 0.005 (0.000 **) | 13.861 | 
| X4 | 0.001 (0.000 **) | 3.564 | 0.001 (0.000 **) | 3.595 | 0.001 (0.001 **) | 3.201 | 0.001 (0.004 **) | 2.925 | 0.001 (0.003 **) | 2.954 | 0.001 (0.010 **) | 2.589 | 
| X6 | −35.139 (0.550) | −0.598 | 8.875 (0.878) | 0.153 | −7.707 (0.901) | −0.125 | −35.818 (0.383) | −0.873 | −8.609 (0.832) | −0.213 | −25.286 (0.557) | −0.587 | 
| X7 | −8.532 (0.713) | −0.368 | −11.160 (0.620) | −0.496 | −16.139 (0.490) | −0.690 | −3.893 (0.810) | −0.241 | −5.176 (0.742) | −0.329 | −8.717 (0.593) | −0.535 | 
| X8 | 33.657 (0.143) | 1.469 | 22.059 (0.323) | 0.988 | 22.596 (0.329) | 0.976 | 16.717 (0.296) | 1.046 | 9.442 (0.545) | 0.605 | 10.653 (0.509) | 0.660 | 
| X10 | 1594.840 (0.545) | 0.607 | 2474.757 (0.333) | 0.969 | 3521.384 (0.183) | 1.332 | 802.976 (0.662) | 0.438 | 1363.534 (0.445) | 0.764 | 2005.877 (0.277) | 1.088 | 
| Constant | 9.060 (0.657) | 0.444 | −33.547 (0.136) | −1.491 | 11.583 (0.575) | 0.560 | 13.649 (0.668) | 0.958 | −13.573 (0.386) | −0.866 | 15.895 (0.270) | 1.103 | 
| adjusted R2 | 43.11% | 45.44% | 46.04% | 39.80% | 42.07% | 42.90% | ||||||
| Rho | 0.219 (0.000 **) | 3.831 | 0.213 (0.000 **) | 3.622 | ||||||||
| Lambda | 0.283 (0.000 **) | 4.033 | 0.280 (0.000 **) | 3.995 | ||||||||
| Jarque-Bera | (0.000 **) | 199.333 | (0.000 **) | 138.064 | ||||||||
| Breusch-Pagan | (0.000 **) | 30.912 | (0.007 **) | 17.574 | ||||||||
| Log Likelihood | −2479.700 | −2472.710 | −2471.699 | −2327.020 | −2320.670 | −2318.991 | ||||||
| AIC | 4973.400 | 4961.430 | 4957.400 | 4668.040 | 4657.340 | 4651.980 | ||||||
| SC | 5001.750 | 4993.830 | 4985.750 | 4696.390 | 4689.730 | 4680.330 | ||||||
| LM-lag | (0.000 **) | 15.344 | (0.000 **) | 14.161 | ||||||||
| Robust LM-lag | (0.436) | 0.608 | (0.736) | 0.114 | ||||||||
| LM-error | (0.000 **) | 19.173 | (0.000 **) | 19.624 | ||||||||
| Robust LM-error | (0.035 *) | 4.436 | (0.018 *) | 5.577 | ||||||||
| Division | Model 3 | Model 4 | ||||||||||
|---|---|---|---|---|---|---|---|---|---|---|---|---|
| OLS | SLM | SEM | OLS | SLM | SEM | |||||||
| B (Sig.) | t | B (Sig.) | t | B (Sig.) | t | B (Sig.) | t | B (Sig.) | t | B (Sig.) | t | |
| X3 | −0.001 (0.313) | −1.010 | 0.000 (0.862) | −0.174 | −0.001 (0.479) | −0.707 | −0.002 (0.110) | −1.603 | −0.001 (0.463) | −0.735 | −0.001 (0.184) | −1.329 | 
| X4 | 0.016 (0.000 **) | 22.086 | 0.015 (0.000 **) | 20.678 | 0.015 (0.000 **) | 20.681 | 0.014 (0.000 **) | 24.163 | 0.013 (0.000 **) | 22.658 | 0.013 (0.000 **) | 23.135 | 
| X6 | 507.819 (0.000 **) | 3.641 | 337.136 (0.013 **) | 2.491 | 470.698 (0.001 **) | 3.231 | 373.975 (0.001 **) | 3.362 | 222.809 (0.039 *) | 2.068 | 338.874 (0.003 **) | 2.951 | 
| X7 | −12.766 (0.816) | −0.232 | −70.019 (0.188) | −1.315 | −16.981 (0.603) | −0.304 | −22.819 (0.603) | −0.521 | −70.804 (0.095 †) | −1.667 | −24.449 (0.582) | −0.551 | 
| X8 | −190.229 (0.003 **) | −3.499 | −131.026 (0.013 **) | −2.487 | −180.108 (0.001 **) | −3.262 | −132.989 (0.002 **) | −3.068 | −83.078 (0.048 *) | −1.980 | −124.291 (0.005 **) | −2.833 | 
| X10 | 45,405.700 (0.000 **) | 7.277 | 44,638.350 (0.000 **) | 7.496 | 47,296.170 (0.000 **) | 7.484 | 32,751.000 (0.000 **) | 6.582 | 32,021.850 (0.000 **) | 6.755 | 33,436.680 (0.000 **) | 6.649 | 
| Constant | 16.758 (0.730) | 0.346 | −39.699 (0.398) | −0.844 | 17.574 (0.721) | 0.357 | 22.293 (0.564) | 0.577 | −20.002 (0.593) | −0.535 | 23.893 (0.541) | 0.611 | 
| adjusted R2 | 69.90% | 72.26% | 70.51% | 72.13% | 74.37% | 72.39% | ||||||
| Rho | 0.241 (0.000 **) | 5.701 | 0.238 (0.000 **) | 5.821 | ||||||||
| Lambda | 0.204 (0.005 **) | 2.781 | 0.146 (0.053 †) | 1.932 | ||||||||
| Jarque-Bera | (0.000 **) | 1802.842 | (0.000 **) | 1636.561 | ||||||||
| Breusch-Pagan | (0.000 **) | 875.113 | (0.000 **) | 604.697 | ||||||||
| Log Likelihood | −2846.060 | −2831.000 | −2843.317 | −2750.100 | −2734.600 | −2748.910 | ||||||
| AIC | 5706.130 | 5677.990 | 5700.630 | 5514.200 | 5485.190 | 5511.820 | ||||||
| SC | 5734.470 | 5710.390 | 5728.980 | 5542.550 | 5517.590 | 5540.170 | ||||||
| LM-lag | (0.000 **) | 31.268 | (0.000 **) | 31.546 | ||||||||
| Robust LM-lag | (0.000 **) | 28.751 | (0.000 **) | 34.828 | ||||||||
| LM-error | (0.035 *) | 4.449 | (0.196) | 1.673 | ||||||||
| Robust LM-error | (0.165) | 1.932 | (0.026 *) | 4.955 | ||||||||
| Division | Model 5 | Model 6 | ||||||||||
|---|---|---|---|---|---|---|---|---|---|---|---|---|
| OLS | SLM | SEM | OLS | SLM | SEM | |||||||
| B (Sig.) | t | B (Sig.) | t | B (Sig.) | t | B (Sig.) | t | B (Sig.) | t | B (Sig.) | t | |
| X3 | 0.004 (0.000 **) | 6.119 | 0.004 (0.000 **) | 6.272 | 0.004 (0.000 **) | 6.120 | 0.002 (0.000 **) | 4.612 | 0.002 (0.000 **) | 4.802 | 0.002 (0.000 **) | 4.769 | 
| X4 | 0.009 (0.000 **) | 26.358 | 0.009 (0.000 **) | 24.963 | 0.009 (0.000 **) | 26.434 | 0.009 (0.000 **) | 28.444 | 0.008 (0.000 **) | 26.997 | 0.009 (0.000 **) | 29.116 | 
| X6 | 12.389 (0.859) | 0.178 | −9.569 (0.888) | −0.141 | 13.032 (0.851) | 0.188 | 46.552 (0.429) | 0.791 | 19.374 (0.736) | 0.337 | 47.525 (0.408) | 0.827 | 
| X7 | 91.635 (0.001 **) | 3.337 | 57.965 (0.034 *) | 2.123 | 89.972 (0.001 **) | 3.293 | 48.531 (0.037 *) | 2.094 | 23.564 (0.308) | 1.019 | 52.206 (0.022 *) | 2.293 | 
| X8 | −41.051 (0.132) | −1.511 | −25.650 (0.333) | −0.968 | −40.697 (0.132) | −1.506 | −22.518 (0.327) | −0.982 | −10.024 (0.656) | −0.445 | −23.363 (0.300) | −1.037 | 
| X10 | 9937.405 (0.002 **) | 3.187 | 10,543.930 (0.000**) | 3.492 | 10,046.920 (0.001 **) | 3.239 | 8161.118 (0.002 **) | 3.100 | 8467.851 (0.001 **) | 3.306 | 7981.830 (0.002 **) | 3.087 | 
| Constant | −33.217 (0.171) | −1.372 | −56.680 (0.019 *) | −2.344 | −32.650 (0.175) | −1.356 | −33.134 (0.106) | −1.621 | −47.891 (0.019 *) | −2.348 | −34.963 (0.082 †) | −1.741 | 
| adjusted R2 | 74.44% | 75.64% | 74.44% | 76.16% | 77.05% | 76.18% | ||||||
| Rho | 0.168 (0.000 **) | 4.224 | 0.147 (0.000 **) | 3.761 | ||||||||
| Lambda | 0.017 (0.835) | 0.209 | −0.048 (0.557) | −0.587 | ||||||||
| Jarque-Bera | (0.000 **) | 2060.955 | (0.000 **) | 2876.487 | ||||||||
| Breusch-Pagan | (0.000 **) | 474.745 | (0.000 **) | 719.701 | ||||||||
| Log Likelihood | −2552.020 | −2542.930 | −2552.009 | −2480.140 | −2472.870 | −2480.016 | ||||||
| AIC | 5118.050 | 5101.860 | 5118.020 | 4974.290 | 4961.740 | 4974.030 | ||||||
| SC | 5146.400 | 5134.260 | 5146.370 | 5002.640 | 4994.140 | 5002.380 | ||||||
| LM-lag | (0.000 **) | 19.929 | (0.000 **) | 15.884 | ||||||||
| Robust LM-lag | (0.000 **) | 26.616 | (0.000 **) | 23.960 | ||||||||
| LM-error | (0.882) | 0.022 | (0.665) | 0.187 | ||||||||
| Robust LM-error | (0.010 *) | 6.710 | (0.004 **) | 8.263 | ||||||||
| Independent Variable | Model 1 | Model 2 | Model 3 | Model 4 | Model 5 | Model 6 | 
|---|---|---|---|---|---|---|
| Population density (X3) | +0.007 | +0.005 | n/a | n/a | +0.004 | +0.002 | 
| Employees density (X4) | +0.001 | +0.001 | +0.015 | +0.013 | +0.009 | +0.008 | 
| Dissimilarity index (X6) | n/a | n/a | +337.136 | +222.809 | n/a | n/a | 
| Job-housing index (X7) | n/a | n/a | n/a | −70.804 | 57.965 | n/a | 
| Residential-non-residential index (X8) | n/a | n/a | −131.026 | −83.078 | n/a | n/a | 
| Bus accessibility (X10) | n/a | n/a | +44,638.350 | +32,021.850 | +10,543.930 | +8467.851 | 
| Publisher’s Note: MDPI stays neutral with regard to jurisdictional claims in published maps and institutional affiliations. | 
© 2021 by the authors. Licensee MDPI, Basel, Switzerland. This article is an open access article distributed under the terms and conditions of the Creative Commons Attribution (CC BY) license (http://creativecommons.org/licenses/by/4.0/).
Share and Cite
Min, B.; Lee, G.; Kim, S. Effects of Land-Use Characteristics on Transport Mode Choices by Purpose of Travel in Seoul, South Korea, Based on Spatial Regression Analysis. Sustainability 2021, 13, 1767. https://doi.org/10.3390/su13041767
Min B, Lee G, Kim S. Effects of Land-Use Characteristics on Transport Mode Choices by Purpose of Travel in Seoul, South Korea, Based on Spatial Regression Analysis. Sustainability. 2021; 13(4):1767. https://doi.org/10.3390/su13041767
Chicago/Turabian StyleMin, Byunghak, Gunwon Lee, and Seiyong Kim. 2021. "Effects of Land-Use Characteristics on Transport Mode Choices by Purpose of Travel in Seoul, South Korea, Based on Spatial Regression Analysis" Sustainability 13, no. 4: 1767. https://doi.org/10.3390/su13041767
APA StyleMin, B., Lee, G., & Kim, S. (2021). Effects of Land-Use Characteristics on Transport Mode Choices by Purpose of Travel in Seoul, South Korea, Based on Spatial Regression Analysis. Sustainability, 13(4), 1767. https://doi.org/10.3390/su13041767
 
        

 
       