A Comparative Study on Air Pollution Characteristics in Four Key Cities during 2013 in Guangxi Province, China
Abstract
1. Introduction
2. Materials and Methods
2.1. Site Description
2.2. Data Sources
2.3. Data Analysis Methods
3. Results and Discussion
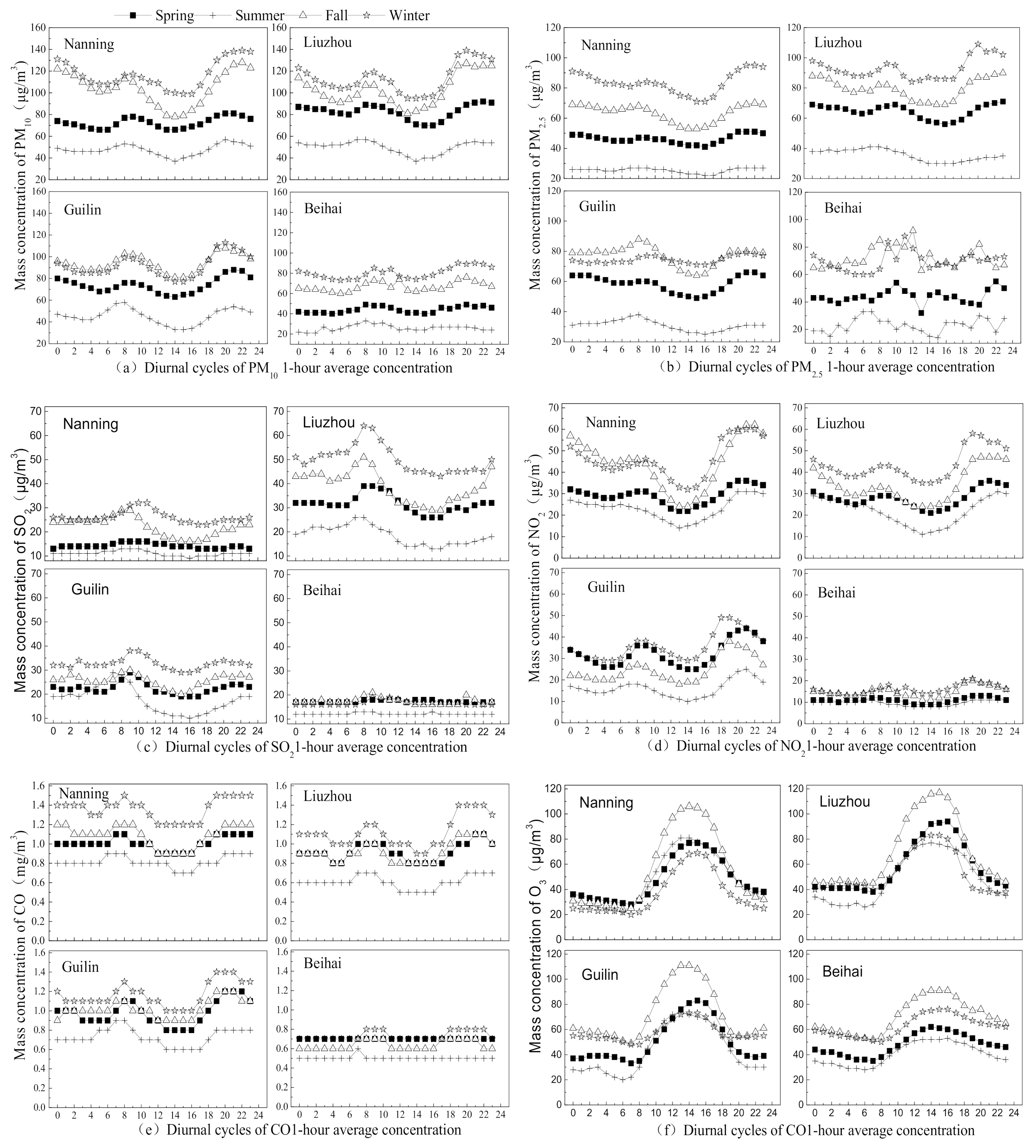
3.1. Concentrations of Air Pollutants and Their Variations
3.2. Special Case Analysis
3.3. Analysis of Factors Affecting Air Quality
4. Conclusions
Author Contributions
Funding
Data Availability Statement
Acknowledgments
Conflicts of Interest
References
- Chen, W.; Wang, F.; Xiao, G.; Wu, K.; Zhang, S. Air Quality of Beijing and Impacts of the New Ambient Air Quality Standard. Atmosphere 2015, 6, 1243–1258. [Google Scholar] [CrossRef]
- Zhao, B.; Su, Y.; He, S.; Zhong, M.; Cui, G. Evolution and comparative assessment of ambient air quality standards in China. J. Integr. Environ. Sci. 2016, 13, 85–102. [Google Scholar] [CrossRef]
- Chen, Y.; Bai, Y.; Liu, H.; Alatalo, J.M.; Jiang, B. Temporal variations in ambient air quality indicators in Shanghai municipality, China. Sci. Rep. 2020, 10, 11350. [Google Scholar] [CrossRef] [PubMed]
- Jiang, B.; Li, Y.; Yang, W. Evaluation and Treatment Analysis of Air Quality Including Particulate Pollutants: A Case Study of Shandong Province, China. Int. J. Environ. Res. Public Health 2020, 17, 24. [Google Scholar] [CrossRef]
- Han, L.; Zhou, W.; Pickett, S.T.; Li, W.; Qian, Y. Multicontaminant air pollution in Chinese cities. Bull. World Health Organ. 2018, 96, 233. [Google Scholar] [CrossRef]
- Zhang, Q.; Zheng, Y.; Tong, D.; Shao, M.; Wang, S.; Zhang, Y.; Xu, X.; Wang, J.; He, H.; Liu, W.; et al. Drivers of improved PM2.5 air quality in China from 2013 to 2017. Proc. Natl. Acad. Sci. USA 2019, 116, 24463–24469. [Google Scholar] [CrossRef]
- Ministry of Environmental Protection. MEP Releases Air Quality of Key Regions and 74 Cities in November. Available online: http://english.mep.gov.cn/News_service/news_release/201401/t20140106_266046.htm# (accessed on 19 January 2021).
- United States Environmental Protection Agency. 2009; AQIA Guide to Air Quality and Your Health. Available online: http://www.epa.gov/airnow/aqi_brochure_08-09.pdf (accessed on 1 January 2021).
- Beijing’s Air Pollution Episode (January 2013). Available online: http://cleanairinitiative.org/portal/node/11599 (accessed on 1 January 2014).
- South China Morning Post. Pollution Makes Beijing almost Uninhabitable for Human Beings. Available online: http://www.scmp.com/news/china/article/1426587/pollution-makes-beijing-almost-uninhabitable-human-beings (accessed on 1 January 2021).
- Wong, C.M.; Vichit-Vadakan, N.; Kan, H.; Qian, Z. Public Health and Air Pollution in Asia (PAPA): A multicity study of short-term effects of air pollution on mortality. Environ. Health Perspect. 2008, 116, 1195–1202. [Google Scholar]
- Liu, L.; Breitner, S.; Schneider, A.; Cyrys, J.; Brüske, I.; Franck, U.; Schlink, U.; Leitte, A.M.; Herbarth, O.; Wiedensohler, A.; et al. Size-fractioned particulate air pollution and cardiovascular emergency room visits in Beijing, China. Environ. Res. 2013, 121, 52–63. [Google Scholar] [CrossRef]
- Huang, L.H. Urban Air Pollution Index and Countermeasures Analysis-A Case from Nanning of Guangxi. J. Guilin Univ. Technol. 2013, 33, 364–370. [Google Scholar]
- Zhu, Y.; Hu, H.S.; Zhang, X.Y. Research of pollution levels of the airborne particulate matter (TSP, PM10, PM2.5) in Nanning City. Environ. Pollut. Control 2004, 26, 176–177. [Google Scholar]
- Jiang, Y.Y. The Analysis of the Variation Trend of Ambient Air Quality in Cities of Guangxi. J. Guangxi Acad. Sci. 2011, 27, 95–98. [Google Scholar]
- Wu, G.P.; Teng, E.J.; Wei, F.S. PM2.5 and PM10 pollution level in the four cities in China. J. China Environ. Sci. 1999, 19, 133–137. [Google Scholar]
- Tang, L.L.; He, L.; Chen, J.B.; Guo, K.X.; Xiao, Q.; Wei, J.J. Analysis on Spatial temporal Characteristics of Particulate Pullutant and Meteorological Condition during a Serious Air Pollution in Nanning. J. Guangxi Acad. Sci. 2012, 28, 302–305. [Google Scholar]
- Bodor, Z.; Bodor, K.; Keresztesi, Á.; Szép, R. Major air pollutants seasonal variation analysis and long-range transport of PM10 in an urban environment with specific climate condition in Transylvania (Romania). Environ. Sci. Pollut. Res. 2020, 27, 38181–38199. [Google Scholar] [CrossRef]
- An, J.L.; Wang, Y.S.; Li, X.; Sun, Y.; Shen, S.H. Analysis of relationship between CO and wind-speed in Beijing. Ecol. Environ. 2008, 17, 53–157. [Google Scholar]
- Xu, P.; Hao, Q.J.; Ji, D.S.; Zhuang, J.K.; Liu, Z.R.; Hu, P.; Wang, Y.S.; Jiang, C.S. Observation of Atmospheric Pollutants in the Urban Area of Beibei District, Chongqing. Enviromental Sci. 2014, 35, 821–829. [Google Scholar]
- Liu, J.; Zhang, X.L.; Xu, X.F.; Xu, H.J. Comparison Analysis of Variation Characteristics of SO2, NOx, O3 and PM2.5 Between Rural and Urban Areas, Beijing. Enviromental Sci. 2009, 29, 1060–1065. [Google Scholar]
- Wang, X.M.; Han, Z.W.; Lei, X.E. Study on Ozone Concentration Change of Guangzhou District. Acta Sci. Nat. Univ. Sunyatseni 2003, 42, 106–109. [Google Scholar]
- Shao, P.; Wang, L.L.; An, J.L.; Zhou, Y.L.; Wang, Y.S. Observation and Analysis of Air Pollution in Zhangjiakou, Hebei. Enviromental Sci. 2012, 33, 2539–2545. [Google Scholar]
- Huang, L.M.; Wang, G.H.; Wang, H.; Gao, S.X.; Wang, L.S. Pollution level of the airborne particulate matter (PM10, PM2.5) in Nanjing City. China Environ. Sci. 2002, 22, 334–337. [Google Scholar]
- Zhang, H.; Wang, Y.; Hu, J.; Ying, Q.; Hu, X.-M. Relationships between meteorological parameters and criteria air pollutants in three megacities in China. Environ. Res. 2015, 140, 242–254. [Google Scholar] [CrossRef] [PubMed]
- Yang, F.M.; He, K.B.; Ma, Y.L.; Zhang, Q.; Yu, X.C. Variation characteristics of PM2.5 concentration and its relationship with PM10 and TSP in Beijing. China Environ. Sci. 2002, 22, 506–510. [Google Scholar]
- Guo, T.; Ma, Y.L.; He, K.B. Study on spatial distributions of PM2.5/PM10 in regional atomospheric environment. Chin. J. Environ. Eng. 2009, 3, 147–150. [Google Scholar]
- Li, L.J.; Wang, Y.; Li, J.X.; Xin, L.Z.; Jin, J. The analysis of heavy air pollution in Beijing during 2000~2010. China Environ. Sci. 2012, 32, 23–30. [Google Scholar]
- Fang, G.C.; Chang, S.C. Atmospheric particulate (PM10 and PM2.5) mass concentration and seasonal variation study in the Taiwan area during 2000~2008. Atmos. Res. 2010, 98, 368–377. [Google Scholar] [CrossRef]
- Chen, M.L.; Mao, I.F.; Lin, I.K. The PM2.5 and PM10 particulates in urban areas of Taiwan. Sci. Total Environ. 1999, 22, 227–235. [Google Scholar] [CrossRef]
- He, K.B. Atmospheric Particulate Matter and Regional Compound Pollution; Science Press: Beijing, China, 2011. [Google Scholar]









| City | Values | SO2 | NO2 | PM10 | CO | O3-8 h | PM2.5 |
|---|---|---|---|---|---|---|---|
| Std (Grade II) | 60 | 40 | 70 | 4 | 160 | 35 | |
| Nanning | average | 19 | 38 | 90 | 1 | 79 | 56 |
| max | 63 | 93 | 278 | 3 | 176 | 195 | |
| min | 6 | 14 | 14 | 1 | 11 | 12 | |
| Liuzhou | average | 34 | 32 | 89 | 1 | 98 | 69 |
| max | 112 | 84 | 279 | 2 | 262 | 245 | |
| min | 7 | 12 | 18 | 0 | 8 | 15 | |
| Guilin | average | 27 | 31 | 83 | 1 | 87 | 66 |
| max | 98 | 89 | 262 | 3 | 210 | 184 | |
| min | 3 | 10 | 9 | 1 | 0 | 10 | |
| Beihai | average | 17 | 13 | 54 | 1 | 92 | 42 |
| max | 49 | 42 | 166 | 4 | 224 | 272 | |
| min | 6 | 3 | 14 | 1 | 22 | 5 |
| City | Duration | NAP | PP | Pollution Process | AWS (m s−1) | MRH (%) | LWD |
|---|---|---|---|---|---|---|---|
| Nanning | 1.10–1.16 | PM2.5, PM10 | PM2.5 | Heavily Polluted | 0.9 | 71 | E |
| 1.22–1.29 | PM2.5, PM10 | PM2.5 | Heavily Polluted | 1.0 | 67 | E | |
| 3.4–3.8 | PM2.5, PM10 | PM2.5 | Moderately Polluted | 1.1 | 55 | E | |
| 10.3–10.6 | PM2.5, PM10, O3 | PM2.5, O3 | Moderately Polluted | 1.2 | 53 | E | |
| 10.10–10.17 | PM2.5, PM10, O3 | PM2.5, O3 | Moderately polluted | 1.3 | 55 | E | |
| 10.25–10.31 | PM2.5, PM10, O3 | PM2.5, O3 | Moderately polluted | 1.1 | 50 | E | |
| 11.31–12.13 | PM2.5, PM10 | PM2.5 | Moderately Polluted | 1.0 | 56 | E | |
| 12.20–12.31 | PM2.5, PM10, NO2 | PM2.5 | Heavily Polluted | 1.0 | 48 | ESE | |
| Liuzhou | 1.9–1.16 | PM2.5, PM10 | PM2.5 | Heavily Polluted | 0.7 | 75 | WSS |
| 1.18–1.21 | PM2.5, PM10 | PM2.5 | Moderately Polluted | 0.6 | 67 | S/ESS/WSS | |
| 1.23–1.30 | PM2.5, PM10 | PM2.5 | Heavily Polluted | 0.7 | 69 | WSS | |
| 2.24–2.26 | PM2.5, PM10 | PM2.5 | Heavily Polluted | 0.5 | 82 | S/ESS/WSS | |
| 3.4–3.11 | PM2.5, PM10 | PM2.5 | Heavily Polluted | 0.7 | 56 | ES | |
| 3.14–3.16 | PM2.5, PM10 | PM2.5 | Moderately Polluted | 0.8 | 67 | ESS | |
| 3.19–3.21 | PM2.5, PM10 | PM2.5 | Moderately Polluted | 0.7 | 70 | ESS | |
| 10.3–10.18 | PM2.5, PM10, O3 | PM2.5, O3 | Moderately Polluted | 1.1 | 56 | ESS | |
| 10.23–11.1 | PM2.5, PM10, O3 | PM2.5, O3 | Heavily Polluted | 0.8 | 65 | ESS | |
| 12.2–12.14 | PM2.5, PM10 | PM2.5 | Heavily Polluted | 0.8 | 59 | S/WS | |
| 12.20–12.27 | PM2.5, PM10 | PM2.5 | Heavily Polluted | 1.0 | 48 | WS | |
| Guilin | 1.9–1.20 | PM2.5, PM10 | PM2.5 | Moderately Polluted | 1.1 | 67 | S |
| 1.23–1.30 | PM2.5, PM10 | PM2.5 | Heavily Polluted | 0.9 | 65 | WSS | |
| 2.24–2.26 | PM2.5 | PM2.5 | Moderately Polluted | 0.7 | 81 | WSS | |
| 3.5–3.12 | PM2.5, PM10 | PM2.5 | Moderately Polluted | 0.9 | 56 | ESS | |
| 3.14–3.17 | PM2.5, PM10 | PM2.5 | Moderately Polluted | 1.2 | 76 | S/ESS/WSS | |
| 10.3–10.15 | PM2.5, PM10, O3 | PM2.5, O3 | Moderately Polluted | 1.7 | 47 | S | |
| 10.20–10.31 | PM2.5, PM10, O3 | PM2.5, O3 | Heavily Polluted | 1.4 | 58 | WSS | |
| 12.5–12.14 | PM2.5, PM10 | PM2.5 | Heavily Polluted | 1.2 | 54 | S | |
| 12.19–12.26 | PM2.5, PM10 | PM2.5 | Heavily Polluted | 1.8 | 46 | ESS | |
| Beihai | 1.19.1.20 | PM2.5 | PM2.5 | Moderately Polluted | 1.6 | 79 | WSW |
| 1.23–1.30 | PM2.5 | PM2.5 | Heavily Polluted | 1.7 | 82 | W/WNW | |
| 3.5–3.12 | PM2.5, PM10 | PM2.5 | Moderately Polluted | 1.2 | 75 | WS | |
| 3.14–3.17 | PM2.5, PM10 | PM2.5 | Moderately Polluted | 1.9 | 78 | W | |
| 10.3–10.7 | PM2.5 | PM2.5 | Moderately Polluted | 1.7 | 61 | WSW | |
| 10.16–10.18 | PM2.5 | PM2.5 | Moderately Polluted | 0.8 | 77 | WNW | |
| 10.23–10.28 | PM2.5, O3 | PM2.5, O3 | Moderately Polluted | 1.7 | 61 | WSW | |
| 12.4–12.13 | PM2.5, O3 | PM2.5, O3 | Heavily polluted | 0.9 | 77 | W | |
| 12.21–12.31 | PM2.5, O3 | PM2.5, O3 | Moderately Polluted | 0.8 | 61 | W |
| City | WS | WD | T | P | RH | PRCP | V |
|---|---|---|---|---|---|---|---|
| Nanning | −0.418 ** | 0.264 ** | −0.434 ** | 0.095 | −0.344 ** | −0.178 ** | −0.657 ** |
| Liuzhou | −0.317 ** | 0.086 | −0.298 ** | 0.144 ** | −0.215 ** | −0.189 ** | −0.582 ** |
| Guilin | −0.232 ** | 0.062 | −0.339 * | 0.470 ** | −0.296 ** | −0.225 ** | −0.638 ** |
| Beihai | −0.312 ** | 0.087 | −0.292 | 0.43 ** | −0.205 ** | −0.187 ** | −0.584 ** |
| City | Air Quality Status | Season | ||
|---|---|---|---|---|
| Spring | Fall | Winter | ||
| Nanning | Pollution Days | SE (40%), S (30%) | SSE (34%) | SSW (30%), SSE (30%) |
| Non-Pollution Days | ESE (45%), SE (34%) | SE (12%), SSE (12%), S (12%) | ESE (31%) | |
| Liuzhou | Pollution Days | SSE (36%), S (36%), SE (30%) | SSE (24%), S (24%) | S (20%), SSE (18%) |
| Non-Pollution Days | SSE (28%) | W (26%), SSE (24%) | W (24%), SSE (17%) | |
| Guilin | Pollution Days | S (38%), SSE (17%) | S (48%), SSE (28%) | S (40%), SSE (28%) |
| Non-Pollution Days | S (36%), SSE (36%) | S (26%), SSE (24%) | S (17%), SSE (45%) | |
| Beihai | Pollution Days | SW (31%) | WSW (35%), W (29%) | W (57%) |
| Non-Pollution Days | W (19%), WSW (16%) | SWS (31%), S (24%) | WSW (38%), W (27%) | |
Publisher’s Note: MDPI stays neutral with regard to jurisdictional claims in published maps and institutional affiliations. |
© 2021 by the authors. Licensee MDPI, Basel, Switzerland. This article is an open access article distributed under the terms and conditions of the Creative Commons Attribution (CC BY) license (http://creativecommons.org/licenses/by/4.0/).
Share and Cite
Mao, J.-Y.; Chen, Z.-M.; Jiang, Z.-K.; Mo, Z.-Y.; Li, H.-J.; Meng, F.; Chen, B.; Ling, H.-J.; Li, H. A Comparative Study on Air Pollution Characteristics in Four Key Cities during 2013 in Guangxi Province, China. Sustainability 2021, 13, 1612. https://doi.org/10.3390/su13041612
Mao J-Y, Chen Z-M, Jiang Z-K, Mo Z-Y, Li H-J, Meng F, Chen B, Ling H-J, Li H. A Comparative Study on Air Pollution Characteristics in Four Key Cities during 2013 in Guangxi Province, China. Sustainability. 2021; 13(4):1612. https://doi.org/10.3390/su13041612
Chicago/Turabian StyleMao, Jing-Ying, Zhi-Ming Chen, Zong-Kai Jiang, Zhao-Yu Mo, Hong-Jiao Li, Fan Meng, Bei Chen, Hui-Jiao Ling, and Hong Li. 2021. "A Comparative Study on Air Pollution Characteristics in Four Key Cities during 2013 in Guangxi Province, China" Sustainability 13, no. 4: 1612. https://doi.org/10.3390/su13041612
APA StyleMao, J.-Y., Chen, Z.-M., Jiang, Z.-K., Mo, Z.-Y., Li, H.-J., Meng, F., Chen, B., Ling, H.-J., & Li, H. (2021). A Comparative Study on Air Pollution Characteristics in Four Key Cities during 2013 in Guangxi Province, China. Sustainability, 13(4), 1612. https://doi.org/10.3390/su13041612
