Urban Public Service Analysis by GIS-MCDA for Sustainable Redevelopment: A Case Study of a Megacity in Korea
Abstract
1. Introduction
2. Research Background
2.1. The Study Region
2.2. Data
2.3. Research Criteria for Supplying Public Service
2.3.1. Criteria to Define Vulnerable Residential Buildings
Accessibility to Public Services
Built Year
Accessibility to Transit
2.3.2. Criteria for Remodeling Commercial Infrastructure as a New Public Service
3. Methodology
3.1. Approach for Estimating the Vulnerability of Residential Buildings and Selecting the Potential for Remodeling Commercial Buildings
3.2. Weighting Criteria for Vulnerable Residential Buildings
3.3. Selecting Remodeled Commercial Building as a New Infrastructure
Simpson Index Method
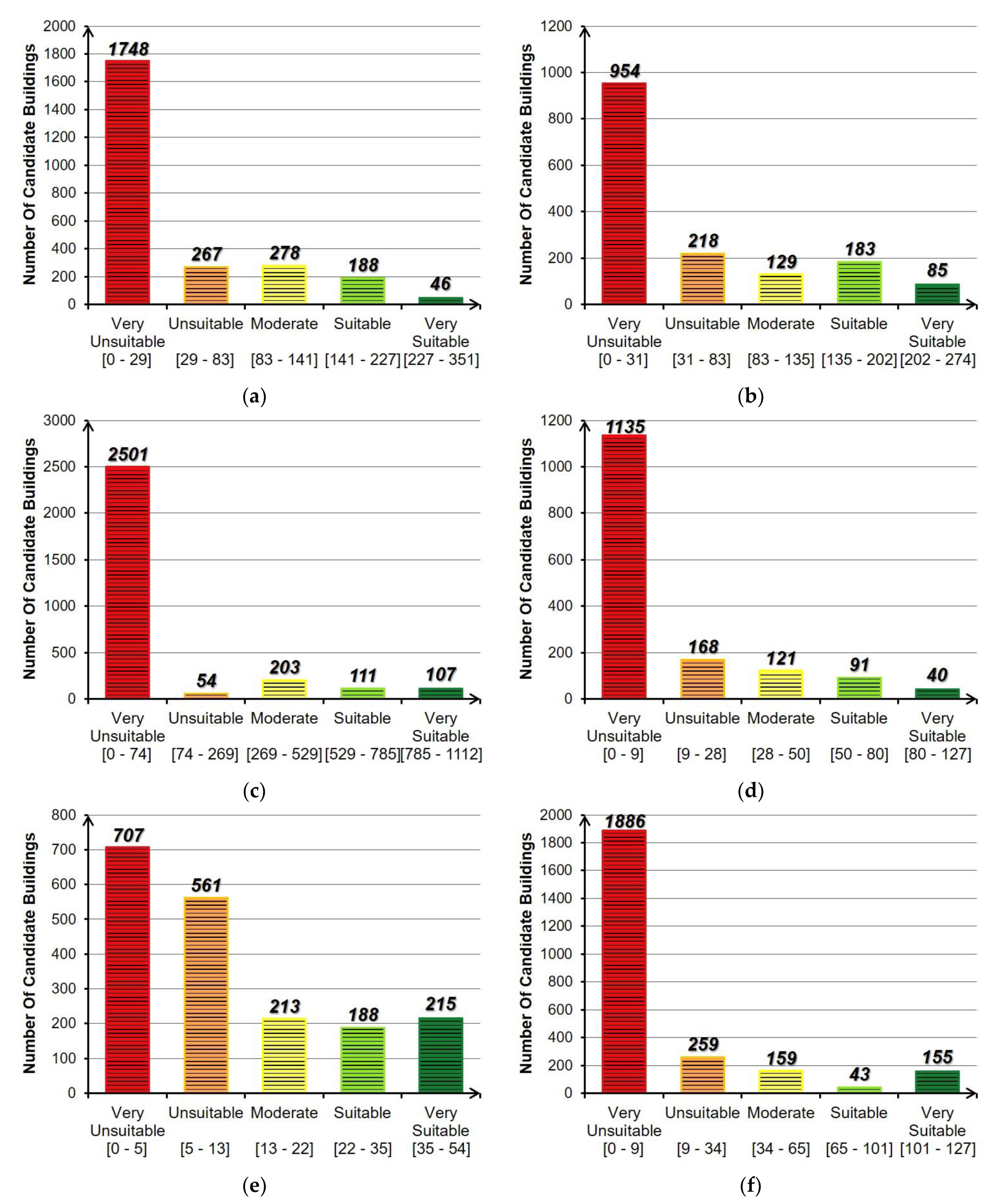
4. Result
5. Conclusions and Discussion
Author Contributions
Funding
Institutional Review Board Statement
Informed Consent Statement
Data Availability Statement
Acknowledgments
Conflicts of Interest
References
- Mumford, L. The City in History: Its Origins, Its Transformations, and Its Prospects; Houghton Mifflin Harcourt: Boston, MA, USA, 1961; Volume 67. [Google Scholar]
- Fol, S.; Cunningham-Sabot, E. Urban decline and shrinking cities: A critical assessment of approaches to urban shrinkage. Ann. Géogr. 2010, 4, 359–383. [Google Scholar] [CrossRef]
- Herrmann, D.L.; Shuster, W.D.; Mayer, A.L.; Garmestani, A.S. Sustainability for Shrinking Cities. Sustainability 2016, 8, 911. [Google Scholar] [CrossRef]
- Lima, M.F.; Eischeid, M.R. Shrinking cities: Rethinking landscape in depopulating urban contexts. Landsc. Res. 2017, 42, 691–698. [Google Scholar] [CrossRef]
- Organisation for Economic Co-operation and Development. All on Board: Making Inclusive Growth Happen; Organisation for Economic Co-operation and Development: Paris, France, 2014. [Google Scholar]
- UN Habitat. Habitat III Issue Paper 1—Inclusive Cities; UN Habitat: New York, NY, USA, 2015. [Google Scholar]
- Hanson, J. The inclusive city: Delivering a more accessible urban environment through inclusive design. In Proceedings of the RICS Cobra International Construction Conference: Responding to change, York, UK, 7–8 September 2004. [Google Scholar]
- Lee, B.D.; Shim, J.S. A study on regeneration of derelict urban areas throughout resident’s participation: Focusing on the comparison of case studies from Japan, England and the US. J. Korean Cadastre Inf. Assoc. 2012, 14, 183–206. [Google Scholar]
- Shim, S.H.; Koo, J.H. A Study on the Integrated Evaluation Indexes and Weights in View of Urban Regeneration and Industrial Support of Urban Industry Concentrated Area–Focused on the Urban Regeneration Project in Seongsu-dong, Seoul. J. Urban Des. Inst. Korea Urban Des. 2019, 20, 89–100. [Google Scholar] [CrossRef]
- KOSIS. Available online: http://kosis.kr/statHtml/statHtml.do?orgId=101&tblId=DT_1YL20621&conn_path=I3 (accessed on 20 January 2020).
- Jo, H.Y.; Kim, J.S. Elderly poverty and Korean politics in an aging society. J. Democr. Soc. Policy Res. 2016, 30, 11–48. [Google Scholar]
- Großmann, K.; Bontje, M.; Haase, A.; Mykhnenko, V. Shrinking cities: Notes for the further research agenda. Cities 2013, 35, 221–225. [Google Scholar] [CrossRef]
- Dieleman, F.; Wegener, M. Compact city and urban sprawl. Built Environ. 2004, 30, 308–323. [Google Scholar] [CrossRef]
- Roberts, P. The evolution, definition and purpose of urban regeneration. In Urban Regeneration; SAGE Publications Ltd.: London, UK, 2000; pp. 9–36. [Google Scholar]
- Lucchi, E.; Delera, A.C. Enhancing the Historic Public Social Housing through a User-Centered Design-Driven Approach. Buildings 2020, 10, 159. [Google Scholar] [CrossRef]
- Cervero, R. Transit-Oriented Development in The United States: Experiences, Challenges, and Prospects; Transportation Research Board: Washington, DC, USA, 2004; Volume 102. [Google Scholar]
- Al-Harami, A.; Furlan, R. Qatar National Museum-Transit oriented development: The masterplan for the urban regeneration of a ‘green TOD’. J. Urban Manag. 2020, 9, 115–136. [Google Scholar] [CrossRef]
- Kong, X.; Xia, F.; Ma, K.; Li, J.; Yang, Q. Discovering Transit-Oriented Development Regions of Megacities Using Heterogeneous Urban Data. IEEE Trans. Comput. Soc. Syst. 2019, 6, 943–955. [Google Scholar] [CrossRef]
- Mafame, T. Transit-Oriented Development (TOD) as a Facilitator for Urban Development Integration: Case Study: Du Toit Train Station Precinct, Stellenbosch. Doctoral Dissertation, Stellenbosch University, Stellenbosch, South Africa, 2017. [Google Scholar]
- Hemphill, L.; Berry, J.; McGreal, S. An indicator-based approach to measuring sustainable urban regeneration performance: Part 1, conceptual foundations and methodological framework. Urban Stud. 2004, 41, 725–755. [Google Scholar] [CrossRef]
- Dogru, A.O.; Kahraman, A.; Seker, D.Z.; Sivri, N. GIS based evaluation of social determinants of children’s health in Turkey: Case study of Istanbul. Environ. Res. 2017, 179, 108753. [Google Scholar] [CrossRef] [PubMed]
- Cinderby, S. How to reach the ‘hard-to-reach’: The development of Participatory Geographic Information Systems (P-GIS) for inclusive urban design in UK cities. Area 2010, 42, 239–251. [Google Scholar] [CrossRef]
- Noor, N.M.; Asmawi, M.Z.; Abdullah, A. Sustainable Urban Regeneration: GIS and Hedonic Pricing Method in determining the value of green space in housing area. Procedia Soc. Behav. Sci. 2015, 170, 669–679. [Google Scholar] [CrossRef]
- Gullino, S. Urban regeneration and democratization of information access: CitiStat experience in Baltimore. J. Environ. Manag. 2009, 90, 2012–2019. [Google Scholar] [CrossRef]
- Moore-Cherry, N.; Crossa, V.; O’Donnell, G. Investigating urban transformations: GIS, map-elicitation and the role of the state in regeneration. Urban Stud. 2015, 52, 2134–2150. [Google Scholar] [CrossRef]
- Lee, M.S. A Basic study on urban regeneration in Gwangju-city using GIS. J. Korean Hous. Assoc. 2015, 26, 99–107. [Google Scholar] [CrossRef]
- Kim, H.M.; Han, S.S. Seoul. Cities 2012, 29, 142–154. [Google Scholar] [CrossRef]
- Seoul Metropolitan Government. Statistics on Seoul Senior Citizens. 2011. Available online: http://stat.seoul.go.kr (accessed on 3 February 2020).
- Pitts, A.; Kim, K. Planning and Design Strategies for Sustainable Low Energy Development in Seoul, Korea. In Proceedings of the International Conference Passive and Low Energy Cooling for the Built Environment, Santorini, Greece, 19–21 May 2005. [Google Scholar]
- Organisation for Economic Co-operation and Development. Inclusive Growth in Seoul, Korea; OECD Publishing: Paris, France, 2018. [Google Scholar]
- Cunningham-Sabot, E.; Audirac, I.; Fol, S.; Martinez-Fernandez, C. Theoretical approaches of “shrinking cities”. In Shrinking Cities. International Perspectives and Policy Implications; Routledge: Abingdon, UK, 2013; pp. 14–30. [Google Scholar]
- Korean Statistical Information Service (KOSIS). Available online: http://kosis.kr/index/index.do (accessed on 10 February 2020).
- Ko, J.; Park, D.; Lim, H.; Hwang, I.C. Who produces the most CO2 emissions for trips in the Seoul metropolis area? Transp. Res. Part D 2011, 16, 358–364. [Google Scholar] [CrossRef]
- Jungnang-Gu Office. Available online: https://www.jungnang.go.kr/ (accessed on 10 February 2020).
- National Spatial Data Infrastructure Portal (NSDI). Available online: http://www.nsdi.go.kr/ (accessed on 2 December 2019).
- Seoul Transport Operation & Information Service (TOPIS). Available online: http://topis.seoul.go.kr/ (accessed on 3 February 2020).
- QGIS. Available online: https://qgis.org/ (accessed on 2 December 2019).
- Hermans, M.H. Building performance starts at hand-over: The importance of life span information. In Proceedings of the Eighth International Conference on Durability of Building Materials and Components, Vancouver, BC, Canada, 31 May–3 June 1999. [Google Scholar]
- Ministry of Land, Infrastructure and Transport. Introduce Living Infrastructure Standards and Study on Application Plan; Ministry of Land, Infrastructure and Transport: Sejong-si, Korea, 2018.
- Hermans, M.H. Deterioration Characteristics of Building Components: A Data Collecting Model to Support Performance Management. Doctor of Philosophy, Technische Universiteit Eindhoven, Eindhoven, The Netherlands, 24 January 1995. Available online: https://research.tue.nl/en/publications/deterioration-characteristics-of-building-components-a-data-colle (accessed on 15 February 2020).
- Sjöström, C. Overview of methodologies for prediction of service life. In Problems in Service Life Prediction of Building and Construction Materials; Springer: Berlin/Heidelberg, Germany, 1985; pp. 3–20. [Google Scholar]
- Prieto, A.J.; Silva, A. Service life prediction and environmental exposure conditions of timber claddings in South Chile. Build. Res. Inf. 2020, 48, 191–206. [Google Scholar] [CrossRef]
- Kidokoro, T. Transit Oriented Development (TOD) Policies and Station Area Development in Asian Cities. In IOP Conference Series: Earth and Environmental Science; IOP Publishing: Bristol, UK, 2020. [Google Scholar]
- Nasri, A.; Zhang, L. The analysis of transit-oriented development (TOD) in Washington, DC and Baltimore metropolitan areas. Transp. Policy 2014, 32, 172–179. [Google Scholar] [CrossRef]
- Papa, E.; Bertolini, L. Accessibility and transit-oriented development in European metropolitan areas. J. Transp. Geogr. 2015, 47, 70–83. [Google Scholar] [CrossRef]
- Sung, H.; Oh, J.T. Transit-oriented development in a high-density city: Identifying its association with transit ridership in Seoul, Korea. Cities 2011, 28, 70–82. [Google Scholar] [CrossRef]
- Sun, S.N.; Her, J.; Lee, S.-Y.; Lee, J.S. Meso-Scale Urban Form Elements for Bus Transit-Oriented Development: Evidence from Seoul, Republic of Korea. Sustainability 2017, 9, 1516. [Google Scholar] [CrossRef]
- Seoul Special Metropolitan City Ordinance on the Maintenance and Improvement of Urban Areas and Dwelling Conditions for Residents. 2019. Available online: https://www.law.go.kr/%EC%9E%90%EC%B9%98%EB%B2%95%EA%B7%9C/%EC%84%9C%EC%9A%B8%ED%8A%B9%EB%B3%84%EC%8B%9C%EB%8F%84%EC%8B%9C%EB%B0%8F%EC%A3%BC%EA%B1%B0%ED%99%98%EA%B2%BD%EC%A0%95%EB%B9%84%EC%A1%B0%EB%A1%80 (accessed on 12 February 2020).
- Zeleny, M. Multiple Criteria Decision Making Kyoto 1975; Springer Science & Business Media: Berlin/Heidelberg, Germany, 2012; Volume 123. [Google Scholar]
- Aksoy, E.; San, B.T. Geographical information systems (GIS) and multi-criteria decision analysis (MCDA) integration for sustainable landfill site selection considering dynamic data source. Bull. Eng. Geol. Environ. 2019, 78, 779–791. [Google Scholar] [CrossRef]
- Abd El Karim, A.; Awawdeh, M.M. Integrating GIS Accessibility and Location-Allocation Models with Multicriteria Decision Analysis for Evaluating Quality of Life in Buraidah City, KSA. Sustainability 2020, 12, 1412. [Google Scholar] [CrossRef]
- Nyimbili, P.H.; Erden, T. A Hybrid Approach Integrating Entropy-AHP and GIS for Suitability Assessment of Urban Emergency Facilities. ISPRS Int. J. Geo Inf. 2020, 9, 419. [Google Scholar] [CrossRef]
- Vanolya, N.M.; Jelokhani-Niaraki, M. The use of subjective–objective weights in GIS-based multi-criteria decision analysis for flood hazard assessment: A case study in Mazandaran, Iran. GeoJournal 2019, 1–20. [Google Scholar] [CrossRef]
- Comber, A.; Carver, S.; Fritz, S.; McMorran, R.; Washtell, J.; Fisher, P. Different methods, different wilds: Evaluating alternative mappings of wildness using fuzzy MCE and Dempster-Shafer MCE. Comput. Environ. Urban Syst. 2010, 34, 142–152. [Google Scholar] [CrossRef]
- Shannon, C.E. A mathematical theory of communication. Bell Syst. Tech. J. 1948, 27, 379–423. [Google Scholar] [CrossRef]
- Karmeshu, J. Entropy Measures, Maximum Entropy Principle and Emerging Applications; Springer Science & Business Media: Berlin/Heidelberg, Germany, 2003; Volume 119. [Google Scholar]
- Van Strien, A.J.; Soldaat, L.L.; Gregory, R.D. Desirable mathematical properties of indicators for biodiversity change. Ecol. Indic. 2012, 14, 202–208. [Google Scholar] [CrossRef]
- Tucker, C.M.; Cadotte, M.W.; Carvalho, S.B.; Davies, T.J.; Ferrier, S.; Fritz, S.A.; Pavoine, S. A guide to phylogenetic metrics for conservation, community ecology and macroecology. Biol. Rev. 2017, 92, 698–715. [Google Scholar] [CrossRef] [PubMed]
- Simpson, E.H. Measurement of diversity. Nature 1949, 163, 688. [Google Scholar]








| Facility | Detail | Minimum Standard | Suggested Distance |
|---|---|---|---|
| Kindergarten | Public, Private Kindergarten | 5–10 min | 500 m |
| Elementary School | Elementary School | 10–15 min | 500 m |
| Library | Public, Private, Small Library | 10–15 min | 750 m |
| Pre-Kindergarten | Public, Private Pre-Kindergarten | 5 min | 250 m |
| Silver Welfare | Senior Community Center, Silver Welfare Facility | 5–10 min | 500 m |
| Basic Medical Facility | Clinic and Pharmacy | Promote services in consideration of local health care needs | 1250 m |
| Health Life Support Center | 10 min | ||
| Sports Facility | Swimming pool, Sports Ground, Gym | 10 min | 750 m |
| Neighborhood Park | City Park | 10–15 min | 750 m |
| Retail Shop | Retail Shop (available daily necessity) | 10 min | 500 m |
| Public Parking Lot | Public Parking Lot | 70% or more parking lots in residential areas | 500 m |
| Public Service | Criteria | Measurement for Criteria |
|---|---|---|
| Kindergarten | Deterioration of building | Building age |
| Accessibility to public service | Distance to kindergarten | |
| Accessibility to transit | Distance to bus stop | |
| Distance to rail station | ||
| Elementary school | Deterioration of building | Building age |
| Accessibility to public service | Distance to elementary school | |
| Accessibility to Transit | Distance to bus stop | |
| Distance to rail station | ||
| Library | Deterioration of building | Building age |
| Accessibility to public service | Distance to library | |
| Accessibility to Transit | Distance to bus stop | |
| Distance to rail station | ||
| Pre-kindergarten | Deterioration of building | Building age |
| Accessibility to public service | Distance to pre-kindergarten | |
| Accessibility to transit | Distance to bus stop | |
| Distance to rail station | ||
| Social welfare | Deterioration of building | Building age |
| Accessibility to public service | Distance to social welfare | |
| Accessibility to transit | Distance to bus stop | |
| Distance to rail station | ||
| Sports | Deterioration of building | Building age |
| Accessibility to public service | Distance to sports | |
| Accessibility to transit | Distance to bus stop | |
| Distance to rail station |
| Object | Criteria | |||
|---|---|---|---|---|
| Vulnerable residential onto kindergarten | Distance to kindergarten | 0.6911 | 0.3089 | 0.2707 |
| Building age | 0.6886 | 0.3114 | 0.2728 | |
| Distance to bus stop | 0.8321 | 0.1679 | 0.1471 | |
| Distance to rail station | 0.6469 | 0.3531 | 0.3094 | |
| Vulnerable residential onto elementary school | Distance to elementary school | 0.6900 | 0.3100 | 0.2749 |
| Building age | 0.6918 | 0.3082 | 0.2733 | |
| Distance to bus stop | 0.8384 | 0.1616 | 0.1432 | |
| Distance to rail station | 0.6519 | 0.3481 | 0.3086 | |
| Vulnerable residential onto library | Distance to library | 0.6849 | 0.3151 | 0.3220 |
| Building age | 0.6925 | 0.3075 | 0.3143 | |
| Distance to bus stop | 0.9228 | 0.0772 | 0.0789 | |
| Distance to rail station | 0.7214 | 0.2786 | 0.2847 | |
| Vulnerable residential onto pre-kindergarten | Distance to pre-kindergarten | 0.9290 | 0.0710 | 0.1143 |
| Building age | 0.9256 | 0.0744 | 0.1197 | |
| Distance to bus stop | 0.8557 | 0.1443 | 0.2324 | |
| Distance to rail station | 0.6687 | 0.3313 | 0.5335 | |
| Vulnerable residential onto social welfare | Distance to social welfare | 0.6819 | 0.3181 | 0.2109 |
| Building age | 0.6702 | 0.3298 | 0.2187 | |
| Distance to bus stop | 0.6431 | 0.3569 | 0.2367 | |
| Distance to rail station | 0.4966 | 0.5034 | 0.3338 | |
| Vulnerable residential onto sports | Distance to sports | 0.6816 | 0.3184 | 0.1948 |
| Building age | 0.6746 | 0.3254 | 0.1991 | |
| Distance to bus stop | 0.5676 | 0.4324 | 0.2646 | |
| Distance to rail station | 0.4418 | 0.5582 | 0.3415 |
| Public Service | p2 | Rank | ||||
|---|---|---|---|---|---|---|
| Kindergarten | 0.0005 | 0.0117 | 0.0884 | 1.0 × 10−3 | 0.0244 | 4 |
| Elementary school | 0.0023 | 0.0469 | 0.3549 | 1.7 × 10−2 | 0.3927 | 2 |
| Library | 0.0024 | 0.0549 | 0.4161 | 2.3 × 10−2 | 0.5390 | 1 |
| Pre-kindergarten | 0.0007 | 0.0154 | 0.1163 | 1.8 × 10−3 | 0.0423 | 3 |
| Social welfare | 0.0002 | 0.0030 | 0.0227 | 6.8 × 10−5 | 0.0016 | 5 |
| Sports | 0.0000 | 0.0002 | 0.0017 | 3.4 × 10−7 | 8.0 × 10−6 | 6 |
| Candidate Program (Rank) | Building Number | Number of Residential Buildings | Percentage of Diminution of Vulnerable Residential Buildings | Summation of Weight Value | Rank |
|---|---|---|---|---|---|
| Kindergarten (4) | C1 | 545 | 8.35% | 310 | 1 |
| C2 | 543 | 8.32% | 309 | 2 | |
| C3 | 541 | 8.28% | 308 | 3 | |
| Elementary school (2) | C1 | 423 | 6.16% | 130 | 1 |
| C2 | 418 | 6.09% | 130 | 2 | |
| C3 | 422 | 6.15% | 129 | 3 | |
| C4 | 416 | 6.06% | 129 | 4 | |
| Library (1) | C1 | 1139 | 6.83% | 425 | 1 |
| C2 | 1103 | 6.61% | 413 | 2 | |
| Pre-kindergarten (3) | C1 | 265 | 3.23% | 81 | 1 |
| C2 | 257 | 3.13% | 80 | 2 | |
| C3 | 253 | 3.08% | 76 | 3 | |
| Social welfare (5) | C1 | 69 | 7.76% | 43 | 1 |
| C2 | 65 | 7.31% | 41 | 2 | |
| C3 | 65 | 7.31% | 41 | 3 | |
| C4 | 65 | 7.31% | 41 | 4 | |
| Sports (6) | C1 | 113 | 28.39% | 59 | 1 |
Publisher’s Note: MDPI stays neutral with regard to jurisdictional claims in published maps and institutional affiliations. |
© 2021 by the authors. Licensee MDPI, Basel, Switzerland. This article is an open access article distributed under the terms and conditions of the Creative Commons Attribution (CC BY) license (http://creativecommons.org/licenses/by/4.0/).
Share and Cite
Chae, J.S.; Choi, C.H.; Oh, J.H.; Chae, Y.T.; Jeong, J.-W.; Lee, D. Urban Public Service Analysis by GIS-MCDA for Sustainable Redevelopment: A Case Study of a Megacity in Korea. Sustainability 2021, 13, 1472. https://doi.org/10.3390/su13031472
Chae JS, Choi CH, Oh JH, Chae YT, Jeong J-W, Lee D. Urban Public Service Analysis by GIS-MCDA for Sustainable Redevelopment: A Case Study of a Megacity in Korea. Sustainability. 2021; 13(3):1472. https://doi.org/10.3390/su13031472
Chicago/Turabian StyleChae, Ji Seong, Chang Hyun Choi, Jeong Hoon Oh, Young Tae Chae, Jae-Weon Jeong, and Dongkyu Lee. 2021. "Urban Public Service Analysis by GIS-MCDA for Sustainable Redevelopment: A Case Study of a Megacity in Korea" Sustainability 13, no. 3: 1472. https://doi.org/10.3390/su13031472
APA StyleChae, J. S., Choi, C. H., Oh, J. H., Chae, Y. T., Jeong, J.-W., & Lee, D. (2021). Urban Public Service Analysis by GIS-MCDA for Sustainable Redevelopment: A Case Study of a Megacity in Korea. Sustainability, 13(3), 1472. https://doi.org/10.3390/su13031472

