Multi-Objective Optimization of a Microgrid Considering the Uncertainty of Supply and Demand
Abstract
1. Introduction
- (1)
- The Copula function was used to generate a wind and solar complementary joint-distribution function to simulate the uncertainty of wind power and photovoltaic output, and the typical daily scenario generated can more effectively fit the wind power and photovoltaic output characteristics of the park.
- (2)
- A random fuzzy model is constructed based on fuzzy numbers to fit the park’s cooling, heating, and power loads; describe user loads; and reduce the deviation between the predicted value and the actual value.
- (3)
- From the economic and environmental protection aspects of the multienergy complementary park, this paper constructs the objective function pursued by the park to improve the park’s income, promote the consumption of renewable energy, and realize multienergy complementary optimal scheduling within the park.
2. Microgrid
2.1. A Scenario Generation Based on the Uncertainty of the Scenario
- (1)
- Calculation of the kernel density estimation function.
- (2)
- Calculation of the correlation coefficient.
- (3)
- Generation of the wind–solar complementary joint distribution function.
- (4)
- Generation of typical output scenarios.
2.2. Stochastic Fuzzy Model Based on Load Uncertainty
2.3. Analysis of Microgrid
- (1)
- Modeling of energy production.
- (2)
- Modeling of energy conversion.
- (3)
- Modeling of energy storage.
- (4)
- Modeling of energy demand.
3. Multi-Objective Optimization of Microgrid
3.1. An Optimization Model
- (1)
- Objective functions of scheduling optimization.
- (2)
- Constraints of scheduling optimization.
3.2. The Algorithm
4. Example Analysis
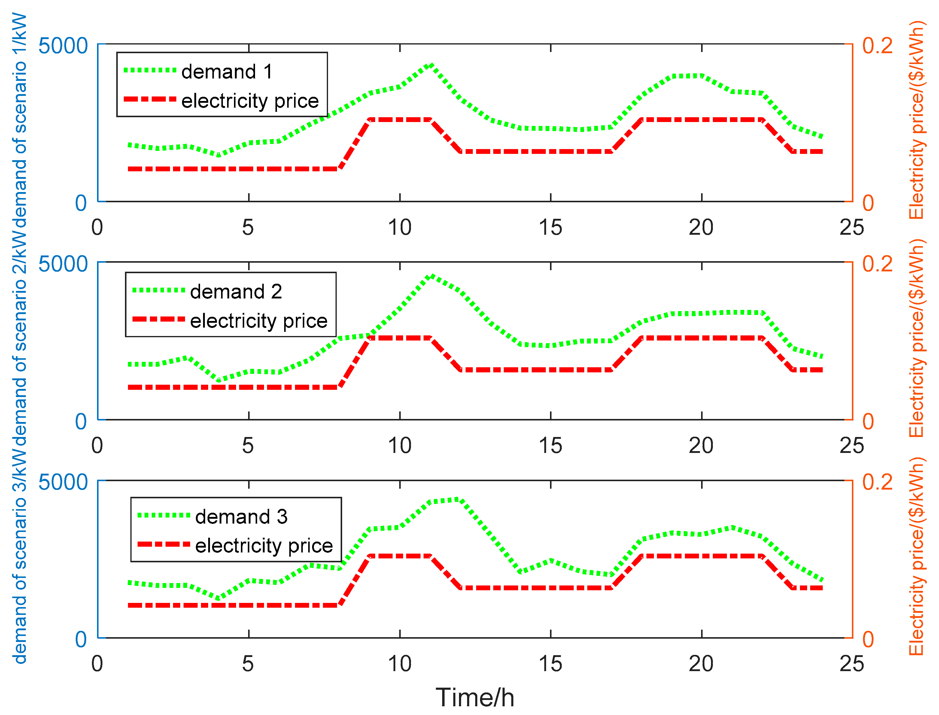
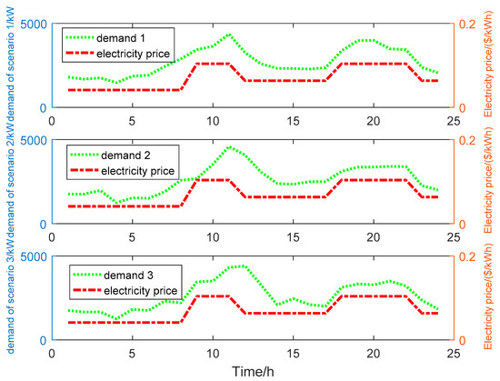
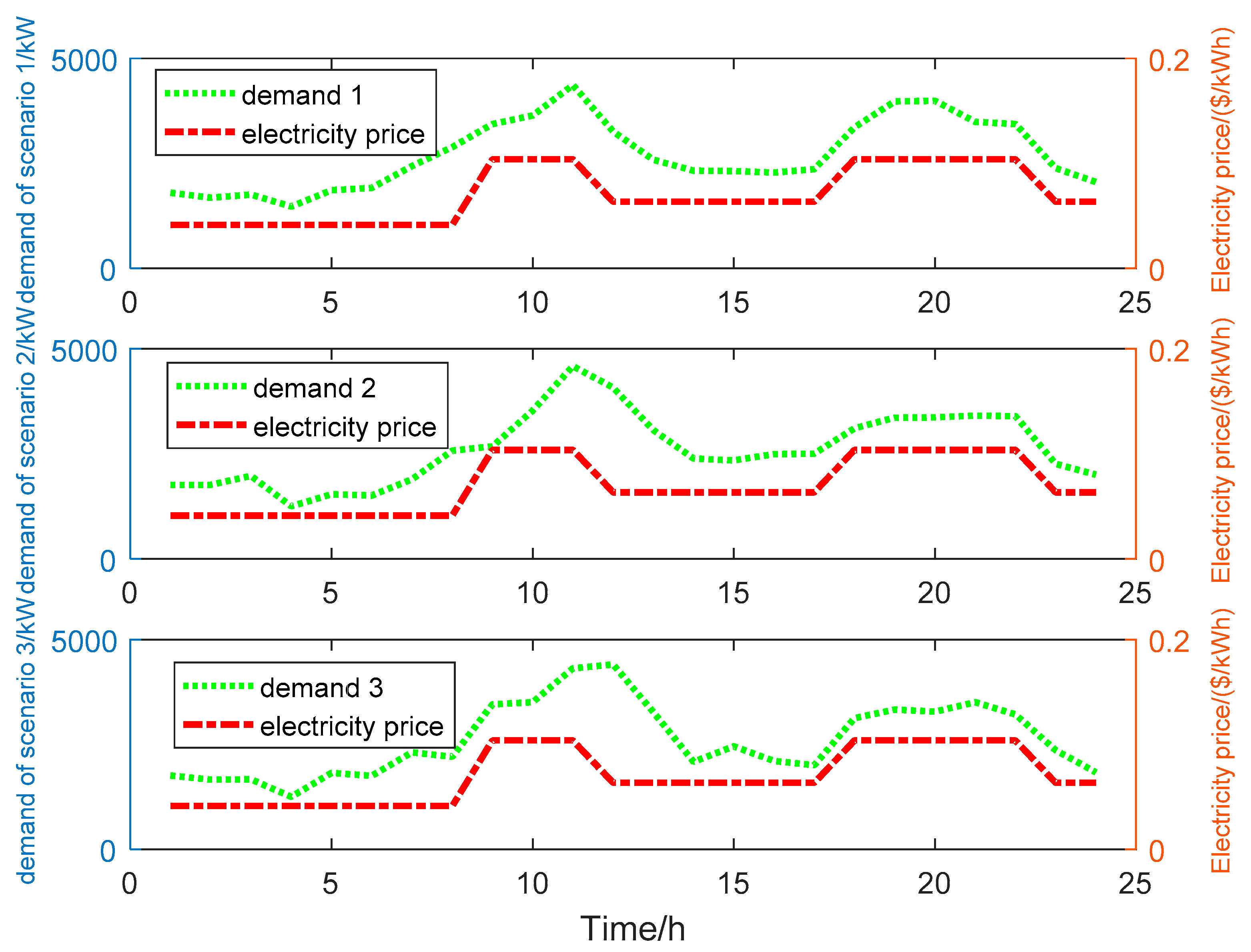
4.1. Basic Data
4.2. Result Analysis
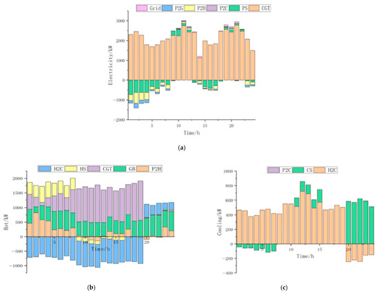
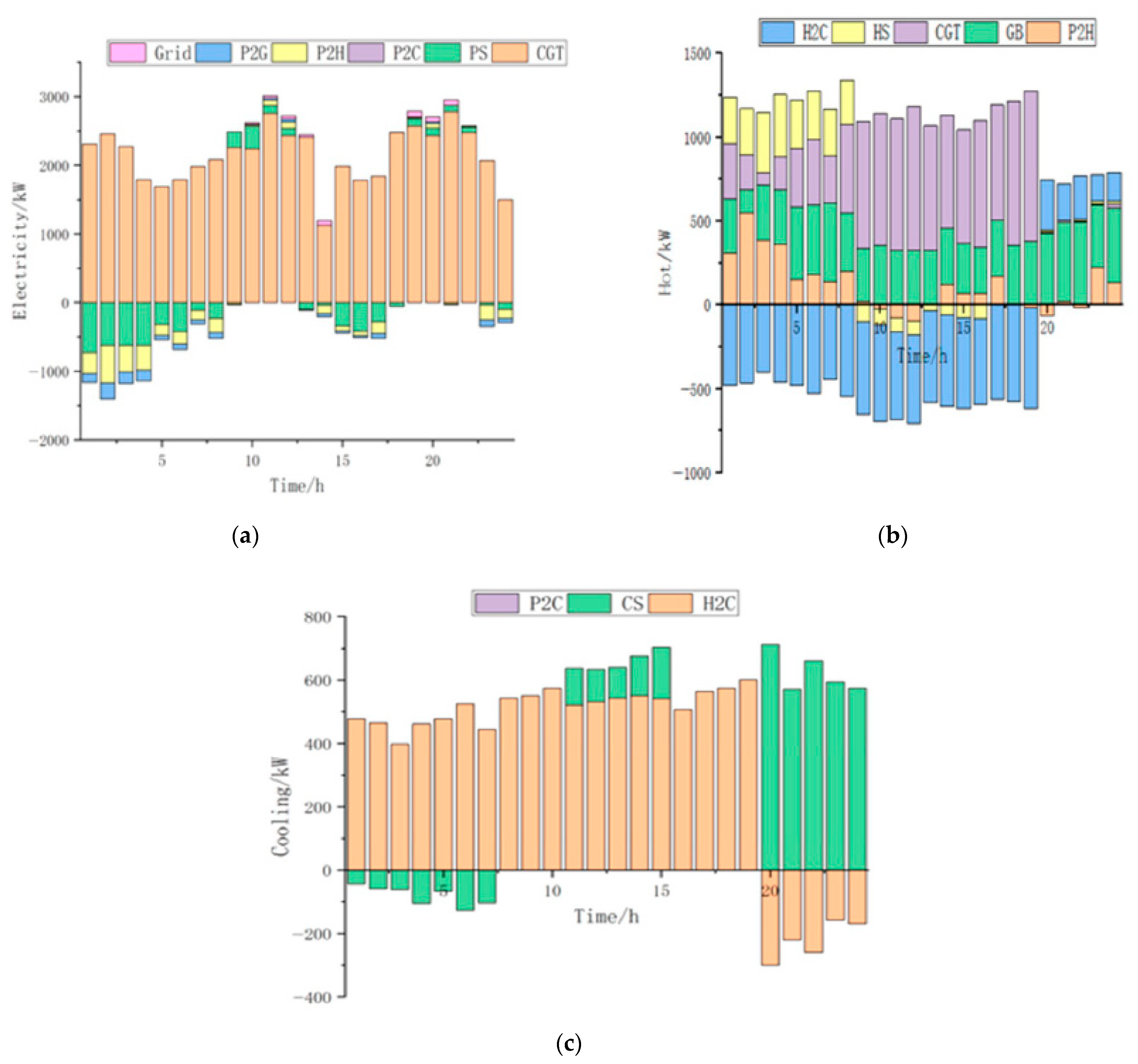
- (1)
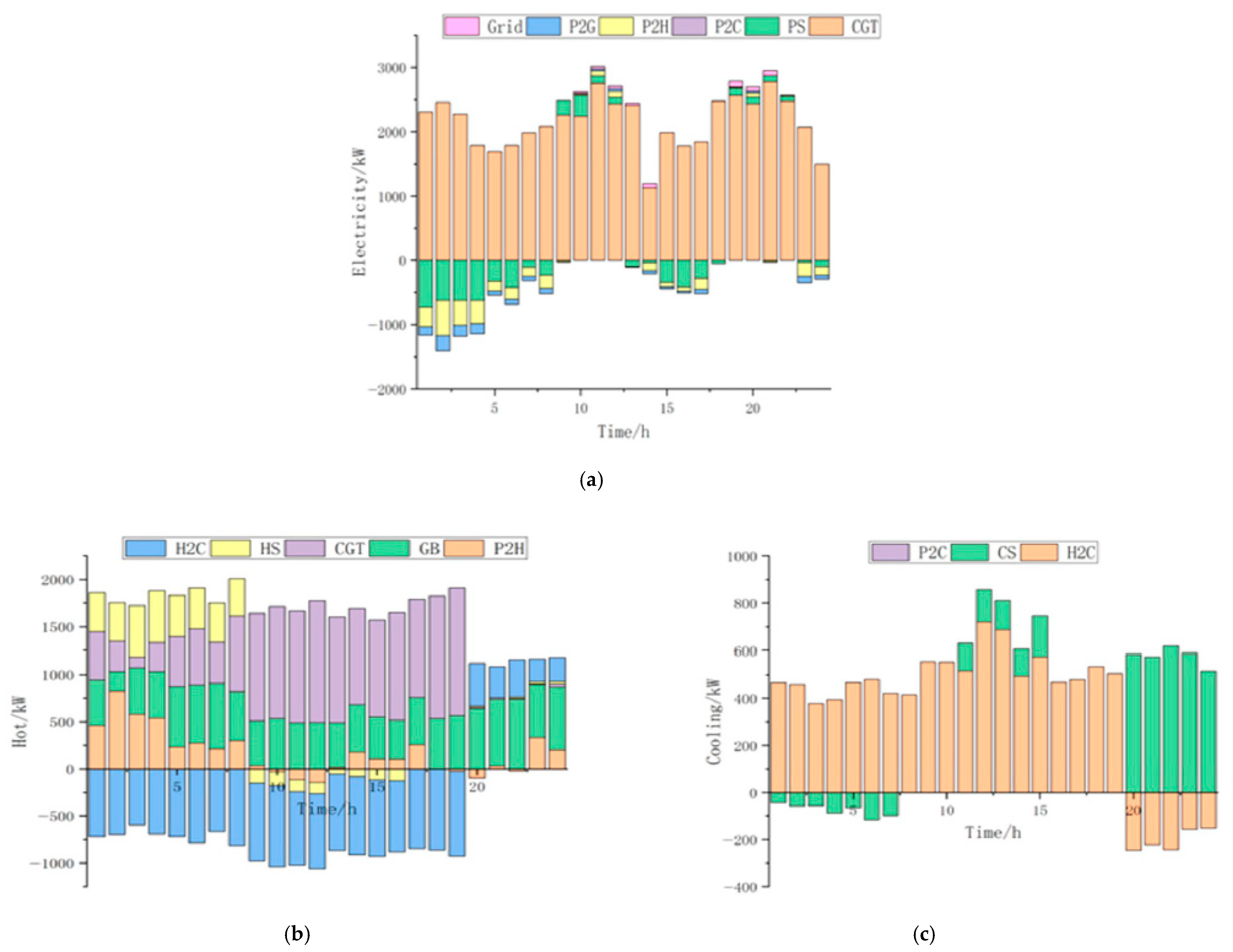
- Complementary results analysis.
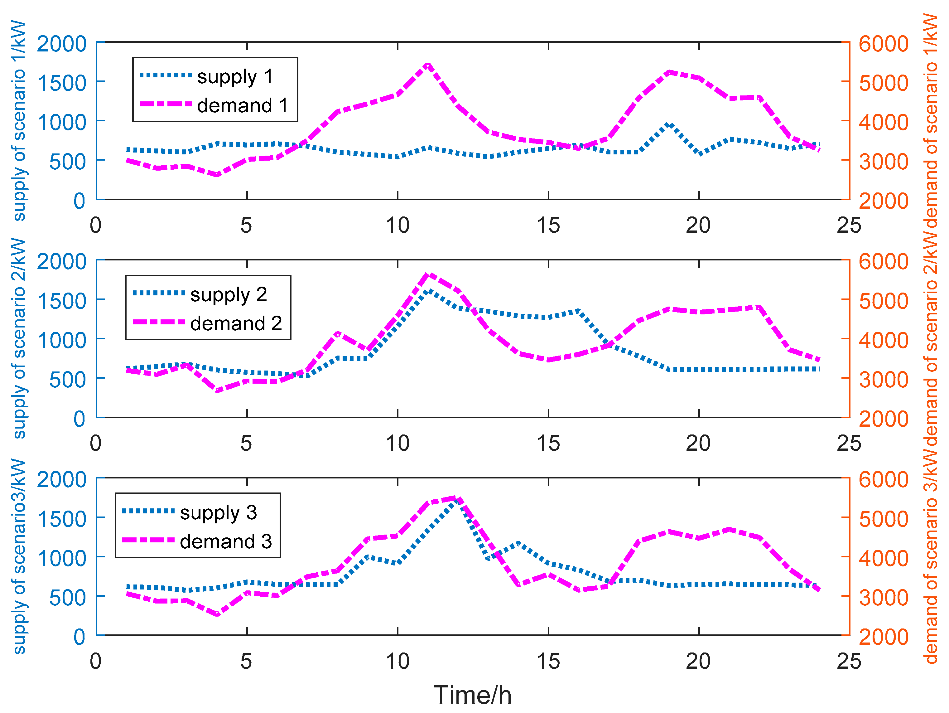
- (2)
- Scheduling optimization results of different scenarios.
- (3)
- Comparative analysis of different scenario optimizations.
5. Conclusions
Author Contributions
Funding
Institutional Review Board Statement
Informed Consent Statement
Data Availability Statement
Acknowledgments
Conflicts of Interest
References
- Yang, S.B.; Tan, Z.F.; Yu, X.B.; Tan, Q.K.; De, G.J.R.F.; Lin, H.Y. Multi-scenario operation optimization model of a multi-energy complementary system in an industrial park based on peak-valley time-of-use electricity prices. Water Resour. Power 2019, 37, 196–201. [Google Scholar]
- Liu, W.F.; Zhao, S.Y.; Kang, H.R.; Zhang, H.; Xu, S.; Li, D.Y. Two-stage Robust Optimal Scheduling for Multi-energy Complementary Systems Considering the Dual Uncertainties of Source and Load [J/OL]. Proc. CSU-EPSA 2020, 32, 69–76. [Google Scholar]
- Zhu, L.; Niu, P.Y.; Tang, L.J.; Yang, Q.L.; Ji, X.Y. Robust optimization operation of micro-energy grid considering the uncertainty of direct load control. Power Syst. Technol. 2020, 44, 1400–1413. [Google Scholar]
- Wang, S.; Ding, Y. Regional integrated energy system optimization and constant capacity and asset utilization efficiency analysis considering multi-energy complementation and load uncertainty. J. Glob. Energy Interconnect. 2019, 2, 426–432. [Google Scholar]
- Shen, X.W.; Guo, Q.L.; Xu, Y.L.; Sun, H. Robust planning of regional integrated energy system considering the uncertainty of multi-energy load. Autom. Electr. Power Syst. 2019, 43, 34–45. [Google Scholar]
- Parisio, A.; Del Vecchio, C.; Vaccaro, A. Arobust optimization approach to energy hub management. Int. J. Electr. Power Energy Syst. 2012, 42, 98–104. [Google Scholar] [CrossRef]
- Gong, X.Q.; Wang, J.; Wang, L.; Zhang, H.; Qian, J.H.; Deng, M.H. Low-carbon economic operation of the electricity-gas interconnected integrated energy system from electricity to gas. J. Electr. Power Sci. Technol. 2020, 35, 76–83. [Google Scholar]
- Kong, X.; Xiao, J.; Liu, D.; Wu, J.; Wang, C.; Shen, Y. Robust stochastic optimal dispatching method of multi-energy virtual power plant considering multiple uncertainties. Appl. Energy 2020, 279, 115707. [Google Scholar] [CrossRef]
- Wang, G.; Li, P.; Jiao, Y.; He, N.; Zhang, W.; Tan, Z.F. Multi-objective stochastic dispatching optimization model of virtual power plant in consideration of wind and wind uncertainty. Electr. Power 2017, 50, 107–113. [Google Scholar]
- Li, H.; Wang, X.; Gao, Y.; Liang, H. Evaluation research of the energy supply system in multi-energy complementary park based on the improved universal generating function method. Energy Convers. Manag. 2018, 174, 955–970. [Google Scholar] [CrossRef]
- Turk, A.; Wu, Q.; Zhang, M.; Østergaard, J. Day-ahead stochastic scheduling of integrated multi-energy system for flexibility synergy and uncertainty balancing. Energy 2020, 196, 117130. [Google Scholar] [CrossRef]
- Li, Y.; Hu, Z.H.; Sui, Q.; Feng, Z.N.; Lin, X.L.; Li, Z.T. Urban building microgrid electricity-heat joint dispatching considering the uncertainty of wind, wind and heat and phase change energy storage system. Power Syst. Technol. 2019, 43, 3687–3697. [Google Scholar]
- Moradi, M.H.; Eskandari, M. A hybrid method for simultaneous optimization of DG capacity and operational strategy in microgrids considering uncertainty in electricity price forecasting. Renew. Energy 2014, 68, 697–714. [Google Scholar] [CrossRef]
- Moradi, M.H.; Eskandari, M.; Hosseinian, S.M. Operational strategy optimization in an optimal sized smart microgrid. IEEE Trans. Smart Grid 2014, 6, 1087–1095. [Google Scholar] [CrossRef]
- Wang, Y.; Tang, L.; Yang, Y.; Sun, W.; Zhao, H. A stochastic-robust coordinated optimization model for CCHP micro-grid considering multi-energy operation and power trading with electricity markets under uncertainties. Energy 2020, 198, 117273. [Google Scholar] [CrossRef]
- Lekvan, A.A.; Habibifar, R.; Moradi, M.; Khoshjahan, M.; Nojavan, S.; Jermsittiparsert, K. Robust Optimization of Renewable-based Multi-Energy Micro-Grid Integrated with Flexible Energy Conversion and Storage Devices. Sustain. Cities Soc. 2020, 64, 102532. [Google Scholar] [CrossRef]
- Lojowska, A.; Kurowicka, D.; Papaefthymiou, G.; van der Sluis, L. Stochastic modeling of power demand due to EVs using copula. IEEE Trans. Power Syst. 2012, 27, 1960–1967. [Google Scholar] [CrossRef]
- Pashajavid, E.; Golkar, M.A. Non-Gaussian multivariate modeling of plug-in electric vehicles load demand. Int. J. Electr. Power Energy Syst. 2014, 61, 197–207. [Google Scholar] [CrossRef]
- Valizadeh Haghi, H.; Tavakoli Bina, M.; Golker, M.A.; Moghaddas-Tafreshi, S.M. Using copulas for analysis of large datasets in renewable distribution generation: PV and wind power integration in Iran. Renew. Energy 2010, 35, 1991–2000. [Google Scholar] [CrossRef]
- Lin, L.; Zhang, Y.; Gu, J. Research on Uncertainty of Incentive Regional Flexible Load Response Based on Cloud Model. Power Syst. Technol. 2020, 44, 4192–4201. [Google Scholar]
- Yi, W.F.; Zhang, Y.W.; Zeng, B.; Huang, Y.Z. Multi-form incentive demand-side response coordination to balance the robust optimization configuration of renewable energy fluctuations. Trans. China Electrotech. Soc. 2018, 33, 5541–5554. [Google Scholar]
- Cui, Y.; Zhou, H.J.; Zhong, W.Z.; Li, H.B.; Zhao, Y.T. Considering the uncertainties on both sides of source and load, low-carbon dispatch of wind power power system. Electr. Power Autom. Equip. 2020, 40, 85–93. [Google Scholar]
- Ji, L.; Niu, D.X.; Xu, M.; Huang, G.H. An optimization model for regional micro-grid system management based on hybrid inexact stochastic-fuzzy chance-constrained programming. Int. J. Electr. Power Energy Syst. 2015, 64, 1025–1039. [Google Scholar] [CrossRef]
- Feng, Z.H.; Lv, L.; Xu, L.X. A day-ahead-real-time two-stage optimal dispatch model based on the energy hub-based biogas-wind-light renewable energy system. Power Syst. Technol. 2019, 43, 3101–3109. [Google Scholar]
- Ju, L.; Tan, Q.; Lin, H.; Mei, S.; Li, N.; Lu, Y.; Wang, Y. A two-stage optimal coordinated scheduling strategy for micro energy grid integrating intermittent renewable energy sources considering multi-energy flexible conversion. Energy 2020, 196, 117078. [Google Scholar] [CrossRef]
- Chen, J.J.; Qi, B.X.; Rong, Z.K.; Peng, K.; Zhao, Y.L.; Zhang, X.H. Multi-energy coordinated microgrid scheduling with integrated demand response for flexibility improvement. Energy 2021, 217, 119387. [Google Scholar] [CrossRef]
- Liu, G.; Qin, H.; Tian, R.; Tang, L.; Li, J. Non-dominated sorting culture differential evolution algorithm for multi-objective optimal operation of Wind-Solar-Hydro complementary power generation system. Glob. Energy Interconnect. 2019, 2, 368–374. [Google Scholar] [CrossRef]
- Zhu, F.; Zhong, P.A.; Sun, Y.; Xu, B.; Ma, Y.; Liu, W.; Zhang, D.; Dawa, J. A coordinated optimization framework for long-term complementary operation of a large-scale hydro-photovoltaic hybrid system: Nonlinear modeling, multi-objective optimization and robust decision-making. Energy Convers. Manag. 2020, 226, 113543. [Google Scholar] [CrossRef]
- Ju, L.; Zhao, R.; Tan, Q.; Lu, Y.; Tan, Q.; Wang, W. A multi-objective robust scheduling model and solution algorithm for a novel virtual power plant connected with power-to-gas and gas storage tank considering uncertainty and demand response. Appl. Energy 2019, 250, 1336–1355. [Google Scholar] [CrossRef]
- Liang, X.W.; He, X.; Huang, T.W. Distributed Neuro-Dynamic Optimization for Multi-Objective Power Management Problem in Micro-Grid. Neurocomputing 2019, 362, 51–59. [Google Scholar] [CrossRef]
- Wang, Y.; Ma, H.; Wang, D.; Wang, G.; Wu, J.; Bian, J.; Liu, J. A new method for wind speed forecasting based on copula theory. Environ. Res. 2018, 160, 365–371. [Google Scholar] [CrossRef] [PubMed]
- Zhu, Y.; Tong, Q.; Yan, X.; Liu, Y.; Zhang, J.; Li, Y.; Huang, G. Optimal design of multi-energy complementary power generation system considering fossil energy scarcity coefficient under uncertainty. J. Clean. Prod. 2020, 274, 122732. [Google Scholar] [CrossRef]
- Song, Y.; Liu, T.; Liang, D.; Li, Y.; Song, X. A Fuzzy Stochastic Model for Carbon Price Prediction Under the Effect of Demand-related Policy in China’s Carbon Market. Ecol. Econ. 2019, 157, 253–265. [Google Scholar] [CrossRef]
- Yu, L.; Li, Y.P.; Huang, G.H. A fuzzy-stochastic simulation-optimization model for planning electric power systems with considering peak-electricity demand: A case study of Qingdao, China. Energy 2016, 98, 190–203. [Google Scholar] [CrossRef]
- Xie, J.D.; Lu, C.X.; Lu, S.W.; Sun, B.; Huang, X.Y.; Sun, X. Electricity Market Risk Assessment Based on Order Relationship-Entropy Weight Method. Electr. Power 2020, 17, 1–12. [Google Scholar]
- Lingmin, C.; Jiekang, W.; Fan, W.; Huiling, T.; Changjie, L.; Yan, X. Energy flow optimization method for multi-energy system oriented to combined cooling, heating and power. Energy 2020, 211, 118536. [Google Scholar] [CrossRef]
- Bai, K.F.; Gu, J.; Peng, H.Q. Optimal configuration of multi-energy complementary microgrid system generated by integrating wind and solar output scenarios. Autom. Electr. Power Syst. 2018, 42, 133–141. [Google Scholar]
- Lei, P.; Wang, X.H.; Tan, Z.F.; Wang, H.Q.; Yang, J.C.; Wu, J. Is China’s electricity price cross-subsidy policy reasonable? Comparative analysis of eastern, central, and western regions. Energy Policy 2020, 138, 111250. [Google Scholar]
- Lei, P.; Wang, X.H.; Tan, Z.F.; Wu, J.; Long, C.F.; Kong, W.Z. Feasible electricity price calculation and environmental benefits analysis of the regional nighttime wind power utilization in electric heating in Beijing. J. Clean. Prod. 2019, 212, 1434–1445. [Google Scholar]
















| Equipment | Parameter | Parameter Value | Parameter | Parameter Value |
|---|---|---|---|---|
| Ice storage tank | Maximum value of energy storage | 750 kW | Maximum value of energy release | 750 kW |
| Thermal energy storage | Maximum value of energy storage | 750 kW | Maximum value of energy release | 750 kW |
| Battery | Maximum value of electricity storage | 750 kW | Maximum value of electricity release | 750 kW |
| Gas storage tanks | Maximum value of gas storage | 100 m3 | Maximum value of gas release | 100 m3 |
| Gas to electricity equipment | Maximum value of electricity to gas | 1000 kW | Maximum value of gas to electricity | 1000 kW |
| Electricity to heat equipment | Maximum value of electricity to hot | 1000 kW | Maximum value of hot to electricity | 1000 kW |
| Electricity to cooling equipment | Maximum value of electricity to cooling | 1000 kW | Maximum value of cooling to electricity | 1000 kW |
| Hot to cooling equipment | Maximum value of hot to cooling | 1000 kW | Maximum value of cooling to hot | 1000 kW |
| Natural gas | Calorific value of natural gas | 10.01 kWh/m3 | ||
| Spearman Correlation Coefficient | Kendall Correlation Coefficient | Euclidean Distance | Maximum Distance | |
|---|---|---|---|---|
| sample | −0.2903 | −0.2114 | — | — |
| normal | −0.2603 | −0.1569 | 0.6205 | 0.0683 |
| t-distribution | −0.2742 | −0.1710 | 0.5724 | 0.0475 |
| Gumbel | 1.98 × 10−6 | 1.27 × 10−6 | 2.553 | 0.2781 |
| Clayton | 1.02 × 10−6 | 6.33 × 10−6 | 2.553 | 0.2781 |
| Frank | −0.2881 | −0.1952 | 0.3172 | 0.0411 |
| Scenario | Load | Energy Production | Energy Conversion | Energy Storage | Objective Function | ||||||||
|---|---|---|---|---|---|---|---|---|---|---|---|---|---|
| Gas Turbine (kWh) | Gas Boiler (kWh) | P2H (kWh) | P2C (kWh) | P2G (kWh) | H2C (kWh) | Battery (kWh) | Thermal Energy Storage (kWh) | Ice Storage Tank (kWh) | Gas Tank (kWh) | Profit ($) | Purchased Electricity (%) | ||
| Scenario 1 | Electricity | 51516 | _ | −2835 | 0 | −1215 | _ | −3854 | _ | _ | _ | 1261 | 0.97 |
| Heat | 10895 | 8600 | 2835 | _ | _ | −8746 | _ | −1830 | _ | _ | 608 | _ | |
| Cooling | _ | _ | _ | _ | _ | 8746 | _ | _ | 3153 | _ | 167 | _ | |
| Scenario 2 | Electricity | 50289 | _ | −2767 | 0 | −1186 | _ | −3762 | _ | _ | _ | 1231 | 0.97 |
| Heat | 16343 | 12900 | 2767 | _ | _ | −8538 | _ | 2745 | _ | _ | 883 | _ | |
| Cooling | _ | _ | _ | _ | _ | 8538 | _ | _ | 3077 | _ | 163 | _ | |
| Scenario 3 | Electricity | 51713 | _ | −2751 | 0 | −1179 | _ | −3699 | _ | _ | _ | 1274 | 0.95 |
| Heat | 13619 | 10750 | 2751 | _ | _ | −6997 | _ | 2287 | _ | _ | 720 | _ | |
| Cooling | _ | _ | _ | _ | _ | 6997 | _ | _ | 2552 | _ | 134 | _ | |
| Scenario1 | Scenario 2 | Scenario 3 | Scenario 4 | |
|---|---|---|---|---|
| Multiple objective | N | Y | N | Y |
| Energy storage device | N | N | Y | Y |
| Scenario | Profit ($) | Change Rate of Profit (%) | Cost of Investment ($) | Cost of Operating ($) | Net Present Value ($) | Payback Period (years) |
|---|---|---|---|---|---|---|
| Scenario 1 | 1413.09 | −30.59 | 10,832.33 | 9042.21 | 11,019.88 | 11.03 |
| Scenario 2 | 1617.06 | −20.58 | 10,832.56 | 7929.07 | 12,824.23 | 10.88 |
| Scenario 3 | 1926.89 | −53.58 | 12,750.24 | 5721.14 | 14,758.91 | 10.25 |
| Scenario 4 | 2035.97 | _ | 12,750.35 | 4083.66 | 15,784.07 | 9.64 |
| Scenario | Purchased Electricity Rate (%) | CO2 Emissions (t) | Change Rate of Purchased Electricity Rate (%) | CO2 Emissions Change Rate (%) |
|---|---|---|---|---|
| Scenario 1 | 2.48 | 1.78 | −30.59 | 95.60% |
| Scenario 2 | 1.59 | 1.23 | −20.58 | 35.16% |
| Scenario 3 | 1.22 | 1.56 | −53.58 | 71.43% |
| Scenario 4 | 0.97 | 0.91 | _ | — |
Publisher’s Note: MDPI stays neutral with regard to jurisdictional claims in published maps and institutional affiliations. |
© 2021 by the authors. Licensee MDPI, Basel, Switzerland. This article is an open access article distributed under the terms and conditions of the Creative Commons Attribution (CC BY) license (http://creativecommons.org/licenses/by/4.0/).
Share and Cite
Geng, S.; Wu, G.; Tan, C.; Niu, D.; Guo, X. Multi-Objective Optimization of a Microgrid Considering the Uncertainty of Supply and Demand. Sustainability 2021, 13, 1320. https://doi.org/10.3390/su13031320
Geng S, Wu G, Tan C, Niu D, Guo X. Multi-Objective Optimization of a Microgrid Considering the Uncertainty of Supply and Demand. Sustainability. 2021; 13(3):1320. https://doi.org/10.3390/su13031320
Chicago/Turabian StyleGeng, Shiping, Gengqi Wu, Caixia Tan, Dongxiao Niu, and Xiaopeng Guo. 2021. "Multi-Objective Optimization of a Microgrid Considering the Uncertainty of Supply and Demand" Sustainability 13, no. 3: 1320. https://doi.org/10.3390/su13031320
APA StyleGeng, S., Wu, G., Tan, C., Niu, D., & Guo, X. (2021). Multi-Objective Optimization of a Microgrid Considering the Uncertainty of Supply and Demand. Sustainability, 13(3), 1320. https://doi.org/10.3390/su13031320
