Erosion Control and Growth Promotion of W-OH Material on Red Clay Highway Slopes: A Case Study in South China
Abstract
1. Introduction
2. Material and Methods
2.1. Experimental Materials
2.1.1. Soil Samples
2.1.2. W-OH Material
2.1.3. Other Materials
2.2. Technical Process
2.3. Simulated Rainfall Erosion Test
2.3.1. Rainfall Devices
2.3.2. Simulated Slope
2.3.3. Experimental Design
2.4. Planting and Water Retention Experiment
2.5. Data Analysis
3. Anti-Erosion Performance
3.1. Initial Runoff Generation Time
3.2. Runoff Processes
3.3. Soil Loss Processes
3.4. Soil Loss Equation
4. Soil Improvement
4.1. The Budding Amount of Plant
4.2. Biomass
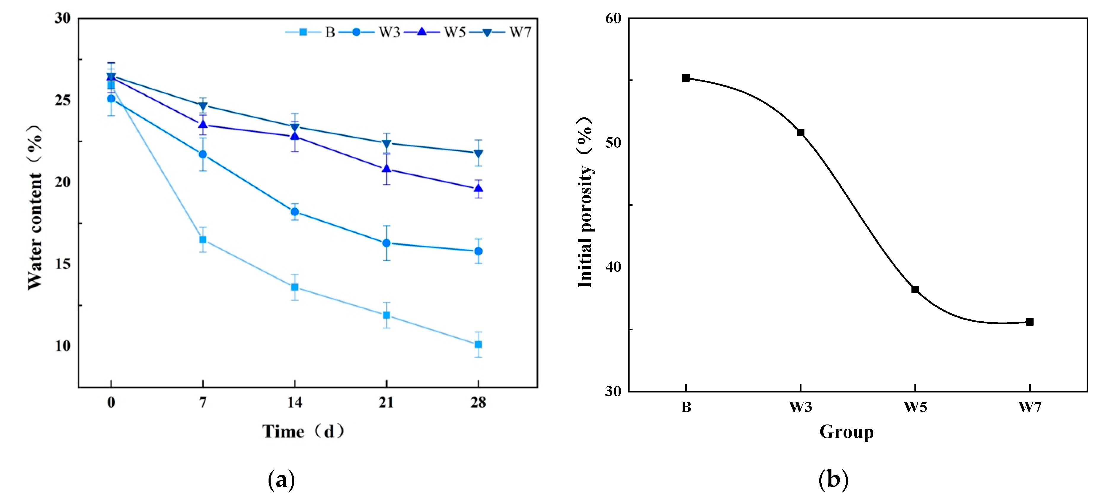
4.3. Water Retention Effect
5. Conclusions
Author Contributions
Funding
Institutional Review Board Statement
Informed Consent Statement
Data Availability Statement
Acknowledgments
Conflicts of Interest
References
- Xiong, M.; Sun, R.; Chen, L. Effects of soil conservation techniques on water erosion control: A global analysis. Sci. Total Environ. 2018, 645, 753–760. [Google Scholar] [CrossRef] [PubMed]
- Zhang, Z.; Wang, T.; Wu, S.; Tang, H.; Liang, C. Dynamics characteristic of red clay in a deep-seated landslide, Northwest China: An experiment study. Eng. Geol. 2018, 239, 254–268. [Google Scholar] [CrossRef]
- Jia, C.; Sun, B.-P.; Yu, X.; Yang, X. Analysis of Runoff and Sediment Losses from a Sloped Roadbed under Variable Rainfall Intensities and Vegetation Conditions. Sustainability 2020, 12, 2077. [Google Scholar] [CrossRef]
- Xu, X.; Zhang, K.; Kong, Y.; Chen, J.; Yu, B. Effectiveness of erosion control measures along the Qinghai–Tibet highway, Tibetan plateau, China. Transp. Res. Part D Transp. Environ. 2006, 11, 302–309. [Google Scholar] [CrossRef]
- Jia, C.; Sun, B.-p.; Yu, X.; Yang, X. Evaluation of Vegetation Restoration along an Expressway in a Cold, Arid, and Desertified Area of China. Sustainability 2019, 11, 2313. [Google Scholar] [CrossRef]
- Kim, H.-H.; Kim, C.-S.; Jeon, J.-H.; Lee, S.-K.; Park, C.-G. Performance Evaluation and Field Application of Red Clay Green Roof Vegetation Blocks for Ecological Restoration Projects. Sustainability 2017, 9, 357. [Google Scholar] [CrossRef]
- Niu, F.; Gao, Z.; Lin, J.; Fan, X. Vegetation influence on the soil hydrological regime in permafrost regions of the Qinghai-Tibet Plateau, China. Geoderma. 2019, 354, 113892. [Google Scholar] [CrossRef]
- Hu, L.; Shan, Y.; Chen, R.; Guo, W.; Wang, Q.; Li, Z. A study of erosion control on expressway embankment sideslopes with three-dimensional net seeding on the Qinghai-Tibet Plateau. Catena 2016, 147, 463–468. [Google Scholar] [CrossRef]
- Huang, W.; Liu, Z.; Zhou, C.; Yang, X. Enhancement of soil ecological self-repair using a polymer composite material. Catena 2020, 188, 104443. [Google Scholar] [CrossRef]
- Gilazghi, S.T.; Huang, J.; Rezaeimalek, S.; Bin-Shafique, S. Stabilizing sulfate-rich high plasticity clay with moisture activated polymerization. Eng. Geol. 2016, 211, 171–178. [Google Scholar] [CrossRef]
- Liu, J.; Shi, B.; Gu, K.; Jiang, H.; Inyang, H.I. Effect of polyurethane on the stability of sand–clay mixtures. Bull. Int. Assoc. Eng. Geol. 2012, 71, 537–544. [Google Scholar] [CrossRef]
- Liu, J.; Shi, B.; Jiang, H.; Huang, H.; Wang, G.; Kamai, T. Research on the stabilization treatment of clay slope topsoil by organic polymer soil stabilizer. Eng. Geol. 2011, 117, 114–120. [Google Scholar] [CrossRef]
- Xu, G.; Ding, X.; Kuruppu, M.; Zhou, W.; Biswas, W. Research and application of non-traditional chemical stabilizers on bauxite residue (red sand) dust control, a review. Sci. Total Environ. 2018, 617, 1552–1565. [Google Scholar] [CrossRef]
- Shen, H.; Zheng, F.; Wen, L.; Han, Y.; Hu, W. Impacts of rainfall intensity and slope gradient on rill erosion processes at loessial hillslope. Soil Tillage Res. 2016, 155, 429–436. [Google Scholar] [CrossRef]
- Liang, Z.; Wu, Z.; Yang, C.; Yao, W.; Leng, Y. Mechanism of erosion resistance and vegetation promotion by W-OH in Pisha sandstone. J. Hydraul. Eng. 2016, 47, 1160–1166. (In Chinese) [Google Scholar] [CrossRef]
- Zhang, G.; Sun, J.; Niu, J.; Zhun, X.; Xie, H.; Sun, Y. Effects of W-OH stabilizer on maize growth and soil nutrient leaching. J. Soil Water Conserv. 2017, 31, 247–252+259. (In Chinese) [Google Scholar] [CrossRef]
- Starkloff, T.; Stolte, J.; Hessel, R.; Ritsema, C.; Jetten, V. Integrated, spatial distributed modelling of surface runoff and soil erosion during winter and spring. Catena 2018, 166, 147–157. [Google Scholar] [CrossRef]
- Törzs, T.; Lu, G.; Monteiro, A.; Wang, D.; Grabe, J.; Oeser, M. Hydraulic properties of polyurethane-bound permeable pavement materials considering unsaturated flow. Constr. Build. Mater. 2019, 212, 422–430. [Google Scholar] [CrossRef]
- Al-Atroush, M.; Sebaey, T. Stabilization of expansive soil using hydrophobic polyurethane foam: A review. Transp. Geotech. 2021, 27, 100494. [Google Scholar] [CrossRef]
- Maxwald, M.; Crocetti, C.; Ferrari, R.; Petrone, A.; Rauch, H.P.; Preti, F. Soil and Water Bioengineering Applications in Central and South America: A Transferability Analysis. Sustainability 2020, 12, 10505. [Google Scholar] [CrossRef]













| Number | Experimental Group | 1.0 mm/min | 3.0 mm/min |
|---|---|---|---|
| B | Bare Slope | 115 | 36 |
| W3 | 3% W-OH | 135 | 33 |
| W5 | 5% W-OH | 110 | 29 |
| W7 | 7% W-OH | 99 | 23 |
| Rainfall Intenstiy (mm/min) | Total Runoff (mL min−1) | |||
|---|---|---|---|---|
| B | W3 | W5 | W7 | |
| 1.0 | 194.4 c | 188.7 c | 217.1 b | 232.1 a |
| 3.0 | 515.9 c | 520.6 c | 610.6 b | 669.9 a |
| Rainfall Intenstiy (mm/min) | Sediment Concentration (g L−1) | |||
|---|---|---|---|---|
| B | W3 | W5 | W7 | |
| 1.0 | 27.1 a | 14.6 b | 13.5 c | 13.6 c |
| 3.0 | 43.7 a | 25.2 b | 17.2 c | 17.3 c |
Publisher’s Note: MDPI stays neutral with regard to jurisdictional claims in published maps and institutional affiliations. |
© 2021 by the authors. Licensee MDPI, Basel, Switzerland. This article is an open access article distributed under the terms and conditions of the Creative Commons Attribution (CC BY) license (http://creativecommons.org/licenses/by/4.0/).
Share and Cite
Qin, X.-c.; Ni, A.-c.; Zhang, N.; Chen, Z.-h. Erosion Control and Growth Promotion of W-OH Material on Red Clay Highway Slopes: A Case Study in South China. Sustainability 2021, 13, 1144. https://doi.org/10.3390/su13031144
Qin X-c, Ni A-c, Zhang N, Chen Z-h. Erosion Control and Growth Promotion of W-OH Material on Red Clay Highway Slopes: A Case Study in South China. Sustainability. 2021; 13(3):1144. https://doi.org/10.3390/su13031144
Chicago/Turabian StyleQin, Xiao-chun, An-chen Ni, Nan Zhang, and Zheng-hao Chen. 2021. "Erosion Control and Growth Promotion of W-OH Material on Red Clay Highway Slopes: A Case Study in South China" Sustainability 13, no. 3: 1144. https://doi.org/10.3390/su13031144
APA StyleQin, X.-c., Ni, A.-c., Zhang, N., & Chen, Z.-h. (2021). Erosion Control and Growth Promotion of W-OH Material on Red Clay Highway Slopes: A Case Study in South China. Sustainability, 13(3), 1144. https://doi.org/10.3390/su13031144

