Coupling Remote Sensing and Hydrological Model for Evaluating the Impacts of Climate Change on Streamflow in Data-Scarce Environment
Abstract
:1. Introduction
2. Materials and Methods
2.1. Study Region
2.2. Methodological Framework
2.2.1. Establishing the SWAT model for the KRB
2.2.2. Model Inputs
Digital Elevation Model
Soil, Land Use, and Land Cover Information
Climate and Streamflow Data
2.3. Metrics Used for the Evaluation of the SWAT Model’s Performance
The SWAT Calibration and Uncertainty Programs
2.4. Future Climate Change Scenarios
3. Results and Discussion
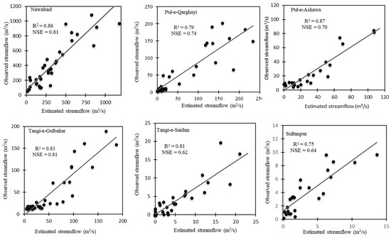
3.1. Calibration of the SWAT Model in Monthly Time Steps
3.2. Uncertainty Analysis
3.3. Validation of the SWAT Model in Monthly Time Steps
3.4. Impacts of Climate Change Scenarios on Streamflow
4. Summary and Conclusions
Author Contributions
Funding
Institutional Review Board Statement.
Informed Consent Statement
Data Availability Statement
Acknowledgments
Conflicts of Interest
References
- Cassidy, R. Lives with others: Climate change and human-animal relations. Annu. Rev. Anthropol. 2012, 41, 21–36. [Google Scholar] [CrossRef]
- Pokhrel, Y.; Felfelani, F.; Satoh, Y.; Boulange, J.; Burek, P.; Gädeke, A.; Gerten, D.; Gosling, S.N.; Grillakis, M.; Gudmundsson, L.; et al. Global terrestrial water storage and drought severity under climate change. Nat. Clim. Chang. 2021, 11, 226–233. [Google Scholar] [CrossRef]
- Sýs, V.; Fošumpaur, P.; Kašpar, T. The Impact of Climate Change on the Reliability of Water Resources. Climate 2021, 9, 153. [Google Scholar] [CrossRef]
- Mengistu, D.; Bewket, W.; Dosio, A.; Panitz, H.-J. Climate change impacts on water resources in the Upper Blue Nile (Abay) River Basin, Ethiopia. J. Hydrol. 2021, 592, 125614. [Google Scholar] [CrossRef]
- Petr, T. Fish and Fisheries at Higher Altitudes: Asia; Food & Agriculture Organization of the United Nations: Rome, Italy.
- Tavva, S.; Abdelali-Martini, M.; Aw-Hassan, A.; Rischkowsky, B.; Tibbo, M.; Rizvi, J. Gender roles in agriculture: The case of Afghanistan. Indian J. Gend. Stud. 2013, 20, 111–134. [Google Scholar] [CrossRef]
- Akhtar, F.; Awan, U.K.; Tischbein, B.; Liaqat, U.W. Assessment of irrigation performance in large river basins under data scarce environment—A case of Kabul river basin, Afghanistan. Remote. Sens. 2018, 10, 972. [Google Scholar] [CrossRef] [Green Version]
- FAO. Afghanistan: Geography, Climate and Population. 2015. Available online: http://www.fao.org/nr/water/aquastat/countries_regions/afg (accessed on 29 April 2015).
- Bank, W. Afghanistan Scoping Strategic Options for Development of the Kabul River Basin: A Multisectoral Decision Support System Approach. 2010. Available online: http://hdl.handle.net/10986/18422 (accessed on 11 October 2021).
- FAO. Rehabilitating Irrigation in Afghanistan 2021. Available online: https://www.fao.org/land-water/news-archive/news-detail/en/c/267315/ (accessed on 15 September 2021).
- Mack, T.J.; Chornack, M.P.; Taher, M.R. Groundwater-level trends and implications for sustainable water use in the Kabul Basin, Afghanistan. Environ. Syst. Decis. 2013, 33, 457–467. [Google Scholar] [CrossRef] [Green Version]
- Lin, B.; Chen, X.; Yao, H.; Chen, Y.; Liu, M.; Gao, L.; James, A. Analyses of landuse change impacts on catchment runoff using different time indicators based on SWAT model. Ecol. Indic. 2015, 58, 55–63. [Google Scholar] [CrossRef]
- Vaze, J.; Post, D.A.; Chiew, F.H.S.; Perraud, J.-M.; Teng, J.; Viney, N.R. Conceptual rainfall–runoff model performance with different spatial rainfall inputs. J. Hydrometeorol. 2011, 12, 1100–1112. [Google Scholar] [CrossRef]
- Perrin, C.; Michel, C.; Andréassian, V. Improvement of a parsimonious model for streamflow simulation. J. Hydrol. 2003, 279, 275–289. [Google Scholar] [CrossRef]
- Chiew, F.; Peel, M.; Western, A. Application and testing of the simple rainfall-runoff model SIMHYD. In Mathematical Models of Small Watershed Hydrology and Applications; Water Resources Publications: Littleton, CO, USA, 2002; pp. 335–367. [Google Scholar]
- Arnold, J.G.; Srinivasan, R.; Muttiah, R.S.; Williams, J.R. Large area hydrologic modeling and assessment part I: Model development 1. JAWRA J. Am. Water Resour. Assoc. 1998, 34, 73–89. [Google Scholar] [CrossRef]
- Shawul, A.A.; Alamirew, T.; Dinka, M. Calibration and validation of SWAT model and estimation of water balance components of Shaya mountainous watershed, Southeastern Ethiopia. Hydrol. Earth Syst. Sci. Discuss. 2013, 10, 13955–13978. [Google Scholar]
- Koycegiz, C.; Buyukyildiz, M.; Kumcu, S.Y. Spatio-temporal analysis of sediment yield with a physically based model for a data-scarce headwater in Konya Closed Basin, Turkey. Water Supply 2021, 21, 1752–1763. [Google Scholar] [CrossRef]
- Mosavi, A.; Golshan, M.; Choubin, B.; Ziegler, A.D.; Sigaroodi, S.K.; Zhang, F.; Dineva, A.A. Fuzzy clustering and distributed model for streamflow estimation in ungauged watersheds. Sci. Rep. 2021, 11, 1–14. [Google Scholar] [CrossRef]
- ILOSTAT. Country Profile: Afghanistan. 2021. Available online: https://ilostat.ilo.org/data/country-profiles/ (accessed on 24 November 2021).
- Akhtar, F. Water Availability and Demand Analysis in the Kabul River Basin; University of Bonn: Bonn, Germany, 2017. [Google Scholar]
- Sidiqi, M.; Shrestha, S.; Ninsawat, S. Projection of climate change scenarios in the Kabul River Basin, Afghanistan. Curr. Sci. India 2018, 114, 1304–1310. [Google Scholar] [CrossRef]
- FAO. Digital Soil Map of the World and Derived Soil Properties; Food and Agriculture Organization: Rome, Italy, 1995. [Google Scholar]
- Akhtar, F.; Awan, U.K.; Tischbein, B.; Liaqat, U.W. A phenology based geo-informatics approach to map land use and land cover (2003–2013) by spatial segregation of large heterogenic river basins. Appl. Geogr. 2017, 88, 48–61. [Google Scholar] [CrossRef]
- Vuolo, F.; Mattiuzzi, M.; Klisch, A.; Atzberger, C. Data Service Platform for MODIS Vegetation Indices Time Series Processing at BOKU Vienna: Current Status and Future Perspectives. Available online: https://www.spiedigitallibrary.org/conference-proceedings-of-spie/8538/85380A/Data-service-platform-for-MODIS-Vegetation-Indices-time-series-processing/10.1117/12.974857.short?SSO=1 (accessed on 11 October 2021).
- Dile, Y.T.; Srinivasan, R. Evaluation of CFSR climate data for hydrologic prediction in data-scarce watersheds: An application in the Blue Nile River Basin. JAWRA J. Am. Water Resour. Assoc. 2014, 50, 1226–1241. [Google Scholar] [CrossRef]
- Fuka, D.R.; Walter, M.T.; MacAlister, C.; Degaetano, A.T.; Steenhuis, T.S.; Easton, Z.M. Using the climate forecast system reanalysis as weather input data for watershed models: Using CFSR as weather input data for watershed models. Hydrol. Process. 2013, 28, 10073. [Google Scholar] [CrossRef]
- Nash, J.E.; Sutcliffe, J.V. River flow forecasting through conceptual models part I—A discussion of principles. J. Hydrol. 1970, 10, 282–290. [Google Scholar] [CrossRef]
- Abbaspour, K.C. User Manual for SWAT-CUP, SWAT Calibration and Uncertainty Analysis Programs; Swiss Federal Institute of Aquatic Science and Technology: Duebendorf, Switzerland, 2007; p. 93. [Google Scholar]
- Iman, R.L.; Davenport, J.M.; Zeigler, D.K. Latin Hypercube Sampling (Program User’s Guide); Sandia Labs: Albuquerque, NM, USA, 1980. [Google Scholar]
- Magnus, J.; Neudecker, H. Matrix Differential CalculusWith Applications in Statistics and Econometrics; JohnWiley: Chichester, UK, 1988. [Google Scholar]
- Moriasi, D.N.; Arnold, J.G.; Van Liew, M.W.; Bingner, R.L.; Harmel, R.D.; Veith, T.L. Model evaluation guidelines for systematic quantification of accuracy in watershed simulations. Trans. ASABE 2007, 50, 885–900. [Google Scholar] [CrossRef]
- Sanjay, J.; Ramarao, M.V.S.; Mujumdar, M.; Krishnan, R. Regional climate change scenarios. In Observed Climate Variability and Change over the Indian Region; Springer: Berlin/Heidelberg, Germany, 2017; pp. 285–304. [Google Scholar]
- Ahmad, S.; Israr, M.; Liu, S.; Hayat, H.; Gul, J.; Wajid, S.; Ashraf, M.; Baig, S.U.; Tahir, A.A.; Gul, J. Spatio-temporal trends in snow extent and their linkage to hydro-climatological and topographical factors in the Chitral River Basin (Hindukush, Pakistan). Geocarto Int. 2020, 35, 711–734. [Google Scholar] [CrossRef]
- Cao, W.; Bowden, W.B.; Davie, T.; Fenemor, A. Multi-variable and multi-site calibration and validation of SWAT in a large mountainous catchment with high spatial variability. Hydrol. Process. Int. J. 2006, 20, 1057–1073. [Google Scholar] [CrossRef]
- Srinivasan, R.; Ramanarayanan, T.S.; Arnold, J.G.; Bednarz, S.T. Large area hydrologic modeling and assessment part II: Model application 1. JAWRA J. Am. Water Resour. Assoc. 1998, 34, 91–101. [Google Scholar] [CrossRef]
- Fontaine, T.; Cruickshank, T.; Arnold, J.; Hotchkiss, R. Development of a snowfall–snowmelt routine for mountainous terrain for the soil water assessment tool (SWAT). J. Hydrol. 2002, 262, 209–223. [Google Scholar] [CrossRef]
- Shroder, J.F.; Ahmadzai, S.J. Transboundary Water Resources in Afghanistan: Climate Change and Land-Use Implications; Elsevier: Amsterdam, The Netherlands, 2016. [Google Scholar]
- Palazzi, E.; Von Hardenberg, J.; Provenzale, A. Precipitation in the Hindu-Kush Karakoram Himalaya: Observations and future scenarios. J. Geophys. Res. Atmos. 2013, 118, 85–100. [Google Scholar] [CrossRef]









| S. No. | Station | River | Calibration Period | Validation Period | 
|---|---|---|---|---|
| 1 | Nawabad | Kunar | 2008–2010 | 2011–2013 | 
| 2 | Pul-e-Qarghayi | Laghman | 2008–2010 | 2011–2013 | 
| 3 | Pul-e-Ashawa | Ghorband | 2008–2010 | 2011–2013 | 
| 4 | Tangi-e-Gulbahar | Panjshir | 2008–2010 | 2011–2013 | 
| 5 | Tangi-e-Saidan | Kabul | 2008–2010 | 2011–2013 | 
| 6 | Sultanpur | Surkhrod | 2009–2011 | 2012–2013 | 
| S. No. | Parameter | Sensitivity Ranking | Fitted Value | Parametric Range | |
|---|---|---|---|---|---|
| Min Value | Max Value | ||||
| 1 | * r__CN2.mgt | 1 | −0.49 | −0.49 | −0.48 | 
| 2 | r__SOL_BD().sol | 2 | −0.02 | −0.02 | −0.01 | 
| 3 | ** v__ALPHA_BF.gw | 3 | 0.19 | 0.18 | 0.22 | 
| 4 | v__GW_DELAY.gw | 4 | 160.64 | 160.34 | 166.11 | 
| 5 | v__REVAPMN.gw | 5 | 19.89 | 19.51 | 19.93 | 
| 6 | v__GWQMN.gw | 6 | 43.49 | 43.43 | 44.24 | 
| 7 | v__EPCO.bsn | 7 | 0.28 | 0.27 | 0.28 | 
| 8 | v__ESCO.bsn | 8 | 0.49 | 0.44 | 0.50 | 
| 9 | v__CH_N2.rte | 9 | 0.19 | 0.18 | 0.19 | 
| 10 | v__SMTMP.bsn | 10 | −3.61 | −3.70 | −3.55 | 
| 11 | v__SMFMX.bsn | 11 | 13.41 | 12.55 | 13.60 | 
| 12 | v__SMFMN.bsn | 12 | 8.90 | 8.55 | 9.25 | 
| 13 | v__TIMP.bsn | 13 | 0.15 | 0.15 | 0.16 | 
| 14 | v__SURLAG.bsn | 14 | 1.76 | 1.52 | 1.97 | 
| RCP 4.5 | RCP 8.5 | ||||
|---|---|---|---|---|---|
| Station | Mean Annual Observed Streamflow During the Base Period (2008–2013) (Mm3) | Streamflow by 2030 (Mm3) | Change (%) in Streamflow | Streamflow by 2030 (Mm3) | Change (%) in Streamflow | 
| Nawabad | 13,584 | 13,910 | 2.4% | 14,033 | 3.3% | 
| Pul-e-Qarghayi | 1611 | 1542 | −4.3% | 1474 | −8.5% | 
| Pul-e-Ashawa | 729 | 707 | −3.6% | 721 | −1.1% | 
| Tangi-e-Gulbahar | 1387 | 1332 | −3.8% | 1357 | −2.2% | 
| Tangi-e-Saidan | 127 | 122 | −4.2% | 135 | −3.7% | 
| Sultanpur | 121 | 115 | −5.0% | 113 | −6.3% | 
| Name of the Station | Winter (December–February) | Spring (March–May) | Summer (June–August) | Autumn (September–November) | ||||
|---|---|---|---|---|---|---|---|---|
| RCP 4.5 | RCP 8.5 | RCP 4.5 | RCP 8.5 | RCP 4.5 | RCP 8.5 | RCP 4.5 | RCP 8.5 | |
| Pul-e-Ashawa | 27% | 25% | −3% | −1% | 8% | 6% | −37% | −17% | 
| Pul-e-Qarghayi | −0.2% | −16.8% | −4.5% | 6.0% | −4.8% | −4.0% | −8.7% | −5.0% | 
| Tangi-e-Saidan | −0.5% | −2.9% | −6.4% | 19.4% | 9.1% | 5.7% | −39.2% | −33.8% | 
| Tangi-e-Gulbahar | 26.8% | 25.2% | −2.9% | −0.5% | 8.3% | 5.5% | −36.7% | −17.4% | 
| Sultanpur | −0.2% | −16.8% | −4.5% | 6.0% | −4.8% | −4.0% | −8.7% | −5.0% | 
| Nawabad | −5.0% | −18.6% | −14.6% | −2.1% | −9.0% | −8.2% | −8.9% | 6.9% | 
| Publisher’s Note: MDPI stays neutral with regard to jurisdictional claims in published maps and institutional affiliations. | 
© 2021 by the authors. Licensee MDPI, Basel, Switzerland. This article is an open access article distributed under the terms and conditions of the Creative Commons Attribution (CC BY) license (https://creativecommons.org/licenses/by/4.0/).
Share and Cite
Akhtar, F.; Awan, U.K.; Borgemeister, C.; Tischbein, B. Coupling Remote Sensing and Hydrological Model for Evaluating the Impacts of Climate Change on Streamflow in Data-Scarce Environment. Sustainability 2021, 13, 14025. https://doi.org/10.3390/su132414025
Akhtar F, Awan UK, Borgemeister C, Tischbein B. Coupling Remote Sensing and Hydrological Model for Evaluating the Impacts of Climate Change on Streamflow in Data-Scarce Environment. Sustainability. 2021; 13(24):14025. https://doi.org/10.3390/su132414025
Chicago/Turabian StyleAkhtar, Fazlullah, Usman Khalid Awan, Christian Borgemeister, and Bernhard Tischbein. 2021. "Coupling Remote Sensing and Hydrological Model for Evaluating the Impacts of Climate Change on Streamflow in Data-Scarce Environment" Sustainability 13, no. 24: 14025. https://doi.org/10.3390/su132414025
APA StyleAkhtar, F., Awan, U. K., Borgemeister, C., & Tischbein, B. (2021). Coupling Remote Sensing and Hydrological Model for Evaluating the Impacts of Climate Change on Streamflow in Data-Scarce Environment. Sustainability, 13(24), 14025. https://doi.org/10.3390/su132414025
 
         
                                                




 
       