The Importance of Technical Support in the Return of Traditional Crops in the Alps: The Case of Rye in Camonica Valley
Abstract
:1. Introduction
- Analyse the participation (number and age of participants, profession and modality of participation) to the training activities of the Ge.S.Di.Mont. Research Centre concerning cereal cultivation through seminar and workshop attendance from 2016 to 2021;
- Analyse the phytochemical/nutritional properties of rye produced in Camonica Valley in 2020 (comparing with commercial ryes) to understand if the production is acceptable in terms of health and safety.
2. Materials and Methods
2.1. Collection and Analysis of Data of Seminar Participation
- Total participants (considering the percentage of participants in presence and in the virtual classroom);
- Average participants for seminar (considering both in presence, in streaming and on demand);
- Participants divided for age fascia (<40, which in Italy is considered “young” for the agricultural sector; >40);
- Participants divided for profession (farmer, agricultural/forester technician, student, teacher/professor, other).
2.2. Plant Materials
2.3. Phytochemical Analysis
2.3.1. Chemicals and Reagents
2.3.2. Proximate Analysis
2.3.3. Extraction and Analysis of Phenolic Compounds
2.3.4. Antioxidant Activity
2.4. Ergot Toxins Analysis
2.5. Statistical Analysis
3. Results
3.1. Participation in Seminars
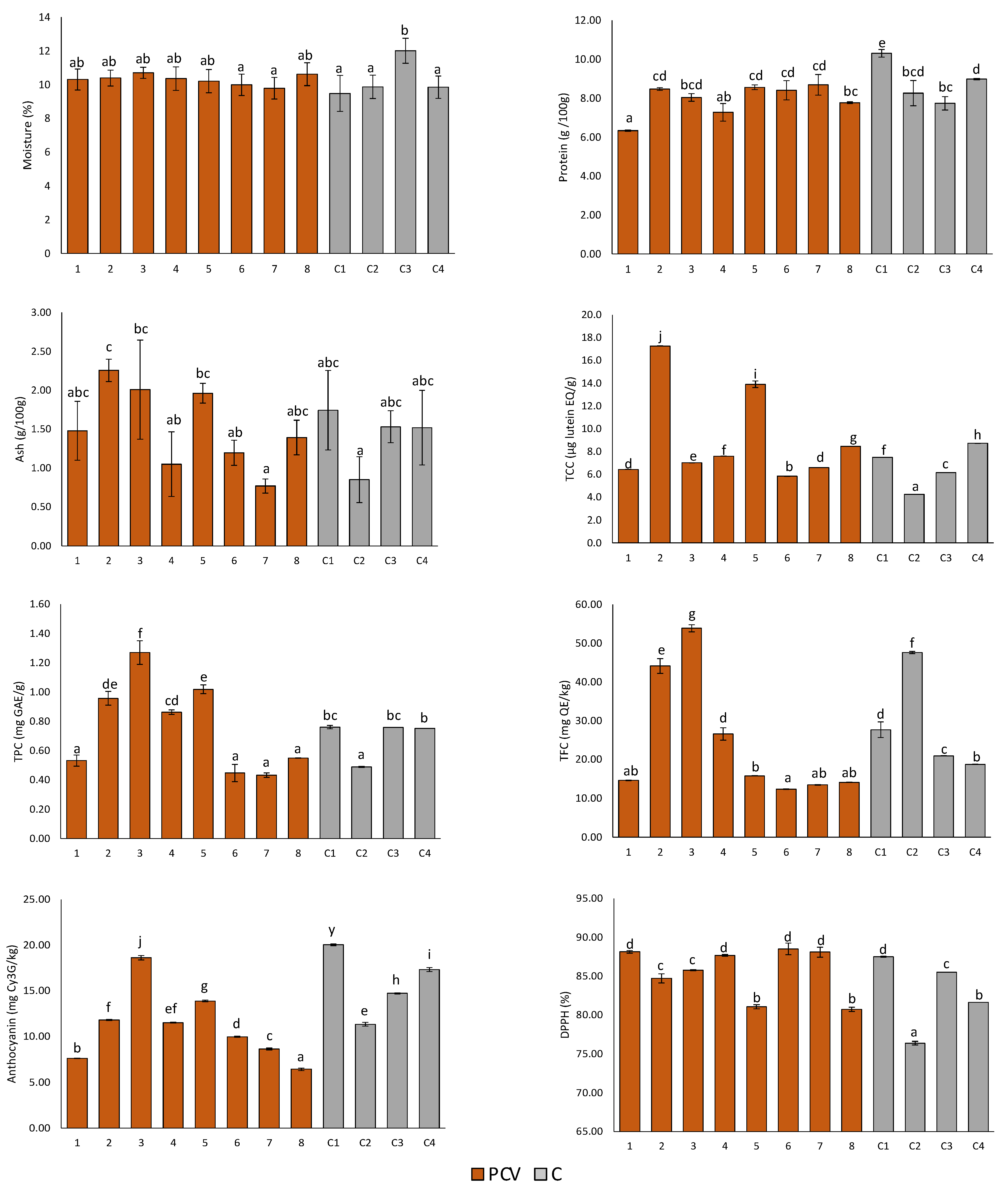
3.2. Quality of Cereal Supply Chain
4. Discussion
4.1. Participation in Seminars
4.2. Quality of Cereals Supply Chain
5. Conclusions
Supplementary Materials
Author Contributions
Funding
Institutional Review Board Statement
Informed Consent Statement
Acknowledgments
Conflicts of Interest
References
- Giupponi, L.; Leoni, V. VegeT: An Easy Tool to Classify and Facilitate the Management of Seminatural Grasslands and Dynamically Connected Vegetation of the Alps. Land 2020, 9, 473. [Google Scholar] [CrossRef]
- Singh, V.; Jardhari, V. Landrace renaissance in the mountains: Experiences of the Beej Bachao Andolan in the Garhwal Himalayan region, India. In An Exchange of Experiences from South and South East Asia, Proceedings of the International Symposium on Participatory Plant Breeding and Participatory Plant Genetic Resources Enhancement, Pokhara, Nepal, 1–5 May 2000; pp. 87–96. Available online: https://hdl.handle.net/10568/81876 (accessed on 24 November 2021).
- Cariplo Foundation. The Project AttivAree. Available online: http://attivaree.fondazionecariplo.it/ (accessed on 24 April 2005).
- Martin, L.; Jacomet, S.; Thiebault, S. Plant economy during the Neolithic in a mountain context: The case of “Le Chenet des Pierres” in the French Alps (Bozel-Savoie, France). Veg. Hist. Archaeobotany 2008, 17, 113. [Google Scholar] [CrossRef] [Green Version]
- Bertolino, M.A. Agri-cultural resistance and local development: The cases of lavender and rye in the Susa Valley. In La Nuova Centralità Della Montagna; Bolognesi, M., Corrado, F., Eds.; Territorio Rivista di Studi Territorialisti Firenze University Press: Firenze, Italy, 2009. [Google Scholar]
- Rembiałkowska, E. The impact of organic agriculture on food quality. Agricultura 2004, 3, 19–26. [Google Scholar]
- Blaney, B.J.; Molloy, J.B.; Brock, I.J. Alkaloids in Australian rye ergot (Claviceps purpurea) sclerotia: Implications for food and stockfeed regulations. Anim. Prod. Sci. 2009, 49, 975. [Google Scholar] [CrossRef]
- Flieger, M.; Wurst, M.; Shelby, R. Ergot Alkaloids—Sources, Structures and Analytical Methods. Folia Microbiol. 1997, 42, 3. [Google Scholar] [CrossRef]
- AOAC International. AOAC method n°945.15. In Official Methods of Analysis of AOAC International, 18th ed.; Horwitz, W., Latimer, G.W., Eds.; AOAC International: Gaithersburg, ML, USA, 2005. [Google Scholar]
- AOAC method n° 945.18. In Official Methods of Analysis of AOAC International, 18th ed.; Horwitz, W.; Latimer, G.W. (Eds.) AOAC International: Gaithersburg, ML, USA, 2005. [Google Scholar]
- American Association of Cereal Chemists (AACC). Approved Methods of Analysis. Method n° 08-01.01, 11th ed.; AACC International: St. Paul, MN, USA, 1999. [Google Scholar]
- American Association of Cereal Chemists (AACC). Approved methods of analysis. In AACC International Method 14-60.01, 11th ed.; AACC International: St. Paul, MN, USA, 1999. [Google Scholar]
- Kulichovà, K.; Sokol, J.; Nemecek, P.; Maliarovà, M.; Maliar, T.; Havrlentovà, M.; Kraic, J. Phenolic compounds and biological activities of rye (Secale cereale L.) grains. Open Chem. 2019, 17, 988–999. [Google Scholar] [CrossRef]
- Saura-Calixto, L.; Bravo, F. Charactererization of Dietary Fiber and the In Vitro Indigestible Fraction of Grape Pomace. AJEV 1998, 49, 135–141. [Google Scholar]
- Alcázar-Valle, M.; Lugo-Cervantes, E.; Mojica, L.; Morales-Hernández, N.; Reyes-Ramírez, H.; Enríquez-Vara, J.N.; García-Morales, S. Bioactive Compounds, Antioxidant Activity, and Antinutritional Content of Legumes: A Comparison between Four Phaseolus Species. Molecules 2020, 25, 3528. [Google Scholar] [CrossRef]
- Abdel-Aal, E.-S.M.; Hucl, P. A rapid method for quantifying total anthocyanins in blue aleurone and purple pericarp wheats. Cereal Chem. 1999, 76, 350–354. [Google Scholar] [CrossRef]
- Brand-Williams, W.; Cuvelier, M.E.; Berset, C. Use of a free radical method to evaluate antioxidant activity. LWT 1995, 28, 25–30. [Google Scholar] [CrossRef]
- Sulyok, M.; Berthiller, F.; Krska, R.; Schuumacher, R. Development and validation of a liquid chromatography/tandem mass spectrometric method for the determination of 39 mycotoxins in wheat and maize. Rapid Commun. Mass Spectrom. 2006, 20, 2649–2659. [Google Scholar] [CrossRef]
- Crew, C. Analysis of Ergot Alkaloids. Toxins 2015, 7, 2024–2050. [Google Scholar] [CrossRef] [PubMed] [Green Version]
- Altieri, M.A. Agroecology: A new research and development paradigm for world agriculture. Agric. Ecosyst. Environ. 1989, 27, 37–46. [Google Scholar] [CrossRef] [Green Version]
- Barlett, P.F. Part-time farming: Saving the farm or saving the life-style? Rural Sociol. 1986, 51, 289–313. [Google Scholar]
- Bowler, I.; Clark, G.; Crockett, A.; Ilbery, B.; Shaw, A. The development of alternative farm enterprises: A study of family labour farms in the northern Pennines of England. J. Rural Stud. 1996, 12, 285. [Google Scholar] [CrossRef]
- Bohnet, I. Assessing retrospective and prospective landscape change through the development of social profiles of landholders: A tool for improving land use planning and policy formulation. Landsc. Urban Plan. 2008, 88, 1–11. [Google Scholar] [CrossRef]
- Sutherland, L.A. Return of the gentleman farmer?: Conceptualising gentrification in UK agriculture. J. Rural Stud. 2012, 28, 568–576. [Google Scholar] [CrossRef]
- Wilson, G.A.; Petersen, J.E.; Höll, A. EU member state responses to Agri-Environment Regulation 2078/92/EEC—Towards a conceptual framework? Geoforum 1999, 30, 185–202. [Google Scholar] [CrossRef]
- European Commission, a European Green Deal. Available online: https://ec.europa.eu/info/strategy/priorities-2019-2024/european-green-deal (accessed on 19 November 2021).
- Wilson, G.A. From productivism to post-productivism … and back again? Exploring the (un)changed natural and mental landscapes of European agriculture. Trans. Inst. Br. Geogr. 2001, 26, 77–102. [Google Scholar] [CrossRef]
- Pretty, J.N. Toward more conducive policies for sustainable agriculture. In Agriculture and the Environment: Perspectives on Sustainable Rural Development; Lutz, E., Binswager, H.P., Hazell, P., McCalla, A., Eds.; The World Bank: Washington, DC, USA, 1998; pp. 35–49. [Google Scholar]
- Ward, N. The agricultural treadmill and the rural environment in the post-productivist era. Sociol. Rural 1993, 33, 348–364. [Google Scholar] [CrossRef]
- United Nations, Department of Economic and Social Affairs—Sustainable Development. Make the SDG a Reality, Discover the Goals. Available online: https://sdgs.un.org/#goal_section (accessed on 9 December 2021).
- Alam, G.M.; Hoque, K.E.; Khalifa, T.B.; Siraj, S.B.; Ghani, M.F.B.A. The role of science and technology education at network age population for sustainable development of Bangladesh through human resource advancement. Sci. Res. Essays 2009, 4, 1260. [Google Scholar]
- Giupponi, L.; Pilu, R.; Scarafoni, A.; Giorgi, A. Plant agro-biodiversity needs protection, study and promotion: Results of research conducted in Lombardy region (Northern Italy). Biodivers. Conserv. 2020, 29, 409–430. [Google Scholar] [CrossRef]
- Kumar, A.; Kumar, V. Pedagogy in Higher Education of Agriculture. Procedia Soc. Behav. Sci. 2014, 152, 89. [Google Scholar] [CrossRef] [Green Version]
- Gelineau-Morel, R.; Dilts, J. Virtual Education During COVID-19 and Beyond. Pediatric Neurol. 2021, 119, 1–2. [Google Scholar] [CrossRef]
- Harborne, J.B.; Williams, A.C.; Wilson, K.L. Flavonoids in leaves and inflorescences of Australian Cyperus species. Phytochemistry 1982, 21, 2491–2507. [Google Scholar] [CrossRef]
- Pljevljakušić, D.; Janković, T.; Jelačić, S.; Novaković, M.; Menković, N.; Beatović, D.; Dajić-Stevanović, Z. Morphological and chemical characterization of Arnica montana L. under different cultivation models. Ind. Crops Prod. 2014, 52, 233–244. [Google Scholar] [CrossRef]
- Baldoni, R.; Giardini, L. Coltivazioni Erbacee—Cereali e Proteaginose, 3rd ed.; Edagricole: Bologna, Italy, 2001. [Google Scholar]
- Servizio Parco dell’Adamello e Tutela Ambientale. Progetto Comunità Resilienti 2017—Fondazione Cariplo: “Coltivare Paesaggi Resilienti—Monitoraggio Agronomico del Progetto”. Relazione di Monitoraggio n°6, Dicembre 2020; Fondazione Cariplo: Saviore, Italy, 2020. [Google Scholar]
- Giupponi, L.; Leoni, V.; Colombo, F.; Cassani, E.; Hejna, M.; Rossi, L.; Pilu, R. Characterization of “Mais delle Fiorine” (Zea mays L.) and nutritional, morphometric and genetic comparison with other maize landraces of Lombardy region (Northern Italy). Genet. Resour. Crop Evol. 2021, 68, 2075–2091. [Google Scholar] [CrossRef]
- Cassani, E.; Cantaluppi, E.; Landoni, M.; Giupponi, L.; Giorgi, A.; Pilu, R. Genetic studies regarding the control of seed pigmentation of an ancient European pointed maize (Zea mays L.) rich in Phlobaphenes: The “Nero Spinoso” from the Camonica valley. Genet. Resour. Crop Evol. 2017, 64, 761–773. [Google Scholar] [CrossRef]
- Giupponi, L.; Borgonovo, G.; Panseri, S.; Giorgi, A. Multidisciplinary study of a little-known landrace of Fagopyrum tataricum Gaertn. of Valtellina (Italian Alps). Genet. Resour. Crop Evol. 2019, 66, 783–796. [Google Scholar] [CrossRef]
- Giorgi, A.; Pentimalli, D.; Giupponi, L.; Panseri, S. Quality traits of saffron (Crocus sativus L.) produced in the Italian Alps. Open Agric. 2017, 2, 52–57. [Google Scholar] [CrossRef] [Green Version]





| Sample ID Code | Cultivar | Origin | Municipality | Altitude (m.s.l.) |
|---|---|---|---|---|
| 1 | Dukato bio | PCV | Saviore dell’Adamello | 1200 |
| 2 | Conduct | PCV | Borno | 1000 |
| 3 | Population rye | PCV | Malonno | 560 |
| 4 | Dukato bio | PCV | Darfo Boario Terme (Gorzone) | 300 |
| 5 | Dukato bio | PCV | Corteno Golgi | 1000 |
| 6 | Landrace 1 | PCV | Corteno Golgi (Doverio) | 1100 |
| 7 | Landrace 2 | PCV | Edolo | 1100 |
| 8 | Diamond | PCV | Pian Camuno | 250 |
| C1 | - | C (German) | - | |
| C2 | - | C (Italian) | - | |
| C3 | - | C (England) | - | |
| C4 | - | C (Austria) | - |
| Farm/Sample | Cultivated Area (ha) | Production (kg) | Production (q/ha) |
|---|---|---|---|
| 1 | 0.045 | 20 | 4.44 |
| 2 | 0.316 | 500 | 15.82 |
| 3 | 0.600 | 400 | 6.67 |
| 4 | 0.073 | 120 | 16.44 |
| 5 | 0.270 | 670 | 24.81 |
| 6 | 0.025 | 45 | 18.00 |
| 7 | 0.030 | 90 | 30.00 |
| 8 | 2.000 | 4800 | 24.00 |
| Total | 3.360 | 6645.00 | - |
| Average | 0.420 | 830.63 | 17.52 |
| Factor | Mean PCV Rye (n = 8) | Mean Commercial Rye (n = 4) | t-Value (df = 10) | p-Value |
|---|---|---|---|---|
| Moisture (%) | 10.29 ± 0.13 | 10.30 ± 0.19 | 0.0270 | 0.9790 |
| Protein (g/100 g) | 7.95 ± 0.21 | 8.82 ± 0.26 | 1.5782 | 0.1456 |
| Ash (%) | 0.77 ± 0.03 | 0.69 ± 0.01 | 0.3549 | 0.7300 |
| TCC (g lutein EQ/g) | 11.06 ± 0.07 | 15.85 ± 0.08 | 1.1156 | 0.2907 |
| TPC (mg GAE/g) | 24.37 ± 0.78 | 28.75 ± 0.96 | 0.4677 | 0.6500 |
| TFC (mg/kg) | 85.58 ± 0.26 | 82.75 ± 0.2 | 0.4694 | 0.6489 |
| Anthocyanin (mg Cy3G/kg) | 1.51 ± 0.19 | 1.41 ± 0.15 | 1.8350 | 0.0997 |
| DPPH (%) | 9.13 ± 0.1 | 6.65 ± 0.00 | 1.2245 | 0.2488 |
Publisher’s Note: MDPI stays neutral with regard to jurisdictional claims in published maps and institutional affiliations. |
© 2021 by the authors. Licensee MDPI, Basel, Switzerland. This article is an open access article distributed under the terms and conditions of the Creative Commons Attribution (CC BY) license (https://creativecommons.org/licenses/by/4.0/).
Share and Cite
Leoni, V.; Pedrali, D.; Zuccolo, M.; Rodari, A.; Giupponi, L.; Giorgi, A. The Importance of Technical Support in the Return of Traditional Crops in the Alps: The Case of Rye in Camonica Valley. Sustainability 2021, 13, 13818. https://doi.org/10.3390/su132413818
Leoni V, Pedrali D, Zuccolo M, Rodari A, Giupponi L, Giorgi A. The Importance of Technical Support in the Return of Traditional Crops in the Alps: The Case of Rye in Camonica Valley. Sustainability. 2021; 13(24):13818. https://doi.org/10.3390/su132413818
Chicago/Turabian StyleLeoni, Valeria, Davide Pedrali, Marco Zuccolo, Alessia Rodari, Luca Giupponi, and Annamaria Giorgi. 2021. "The Importance of Technical Support in the Return of Traditional Crops in the Alps: The Case of Rye in Camonica Valley" Sustainability 13, no. 24: 13818. https://doi.org/10.3390/su132413818
APA StyleLeoni, V., Pedrali, D., Zuccolo, M., Rodari, A., Giupponi, L., & Giorgi, A. (2021). The Importance of Technical Support in the Return of Traditional Crops in the Alps: The Case of Rye in Camonica Valley. Sustainability, 13(24), 13818. https://doi.org/10.3390/su132413818

