Sustainable Durio zibethinus-Derived Biosorbents for Congo Red Removal from Aqueous Solution: Statistical Optimization, Isotherms and Mechanism Studies
Abstract
:1. Introduction
2. Materials and Methods
2.1. Adsorbate Preparation
2.2. Adsorbent Preparation
2.3. Characterization of Adsorbents
2.4. Experimental Design and Modelling
3. Results
3.1. Characterization of Treated and Untreated Durian Peel
3.2. Optimization of Dye Adsorption by Response Surface Methodology
Interactive Effect of Two Independent Variables
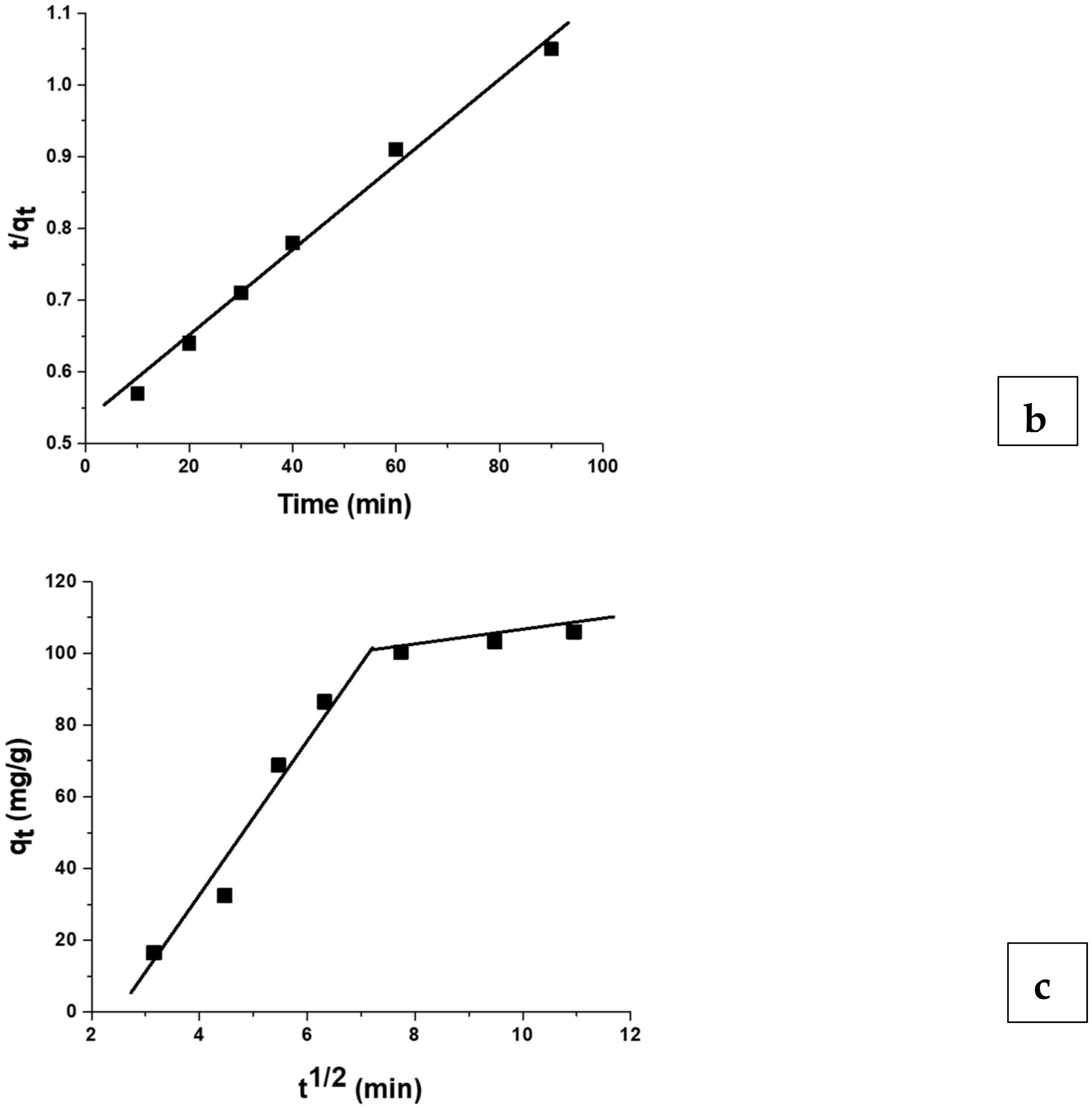
3.3. Adsorption Kinetic Studies
3.4. Adsorption Isotherm Studies
3.5. Thermodynamic Parameter
3.6. Biosorption Mechanism
4. Conclusions
Author Contributions
Funding
Institutional Review Board Statement
Informed Consent Statement
Data Availability Statement
Acknowledgments
Conflicts of Interest
References
- Si, J.; Yuan, T.-Q.; Cui, B.-K. Exploring Strategies for Adsorption of Azo Dye Congo Red Using Free and Immobilized Biomasses of Trametes Pubescens. Ann. Microbiol. 2014, 65, 411–421. [Google Scholar] [CrossRef]
- Li, Z.; Hanafy, H.; Zhang, L.; Sellaoui, L.; Netto, M.S.; Oliveira, M.L.; Seliem, M.K.; Dotto, G.L.; Bonilla-Petriciolet, A.; Li, Q. Adsorption of Congo Red and Methylene Blue Dyes on an Ashitaba Waste and a Walnut Shell-Based Activated Carbon from Aqueous Solutions: Experiments, Characterization and Physical Interpretations. Chem. Eng. J. 2020, 388, 124263. [Google Scholar] [CrossRef]
- Oyekanmi, A.A.; Ahmad, A.; Hossain, K.; Rafatullah, M. Adsorption of Rhodamine B Dye from Aqueous Solution onto Acid Treated Banana Peel: Response Surface Method-Ology, Kinetics and Isotherm Studies. PLoS ONE 2019, 14, e0216878. [Google Scholar] [CrossRef] [PubMed]
- Oyekanmi, A.A.; Ahmad, A.; Hossain, K.; Rafatullah, M. Statistical Optimization for Adsorption of Rhodamine B Dye from Aqueous Solutions. J. Mol. Liq. 2019, 281, 48–58. [Google Scholar] [CrossRef]
- Iqbal, M.M.; Imran, M.; Hussain, T.; Naeem, M.A.; Al-Kahtani, A.A.; Shah, G.M.; Ahmad, S.; Farooq, A.; Rizwan, M.; Majeed, A.; et al. Effective Sequestration of Congo Red Dye With ZnO/Cotton Stalks Biochar Nanocomposite: MODELING, Reusability and Stability. J. Saudi Chem. Soc. 2021, 25, 101176. [Google Scholar] [CrossRef]
- Zhu, M.-X.; Lee, L.; Wang, H.-H.; Wang, Z. Removal of an Anionic Dye by adsorption/Precipitation Processes Using Alkaline White Mud. J. Hazard. Mater. 2007, 149, 735–741. [Google Scholar] [CrossRef]
- Li, H.; Lin, Y.; Luo, Y.; Yu, P.; Hou, L. Relating Organic Fouling of Reverse Osmosis Membranes to Adsorption During the Reclamation of Secondary Effluents Contain-Ing Methylene Blue and Rhodamine, B. J. Hazard. Mater. 2011, 192, 490–499. [Google Scholar] [CrossRef] [PubMed]
- Ruhane, T.; Islam, M.T.; Rahaman, S.; Bhuiyan, M.; Islam, J.M.; Newaz, M.; Khan, K.; Khan, M.A. Photo Current Enhancement of Natural Dye Sensitized Solar Cell by Optimizing Dye Extraction and Its Loading Period. Optik 2017, 149, 174–183. [Google Scholar] [CrossRef]
- Natarajan, S.; Bajaj, H.C.; Tayade, R.J. Recent Advances Based on the Synergetic Effect of Adsorption for Removal of Dyes from Waste Water Using Photocatalytic Process. J. Environ. Sci. 2018, 65, 201–222. [Google Scholar] [CrossRef]
- Raghu, S.; Basha, C.A. Chemical or Electrochemical Techniques, Followed by Ion Exchange, for Recycle of Textile Dye Wastewater. J. Hazard. Mater. 2007, 149, 324–330. [Google Scholar] [CrossRef]
- Bouazizi, A.; Breida, M.; Achiou, B.; Ouammou, M.; Calvo, J.I.; Aaddane, A.; Younssi, S.A. Removal of Dyes by a New nano–TiO 2 Ultrafiltration Membrane Deposited on Low-Cost Support Prepared from Natural Moroccan Bentonite. Appl. Clay Sci. 2017, 149, 127–135. [Google Scholar] [CrossRef]
- Moghaddam, S.S.; Moghaddam, M.A.; Arami, M. Coagulation/Flocculation Process for Dye Removal Using Sludge from Water Treatment Plant: Optimization through Response Surface Methodology. J. Hazard. Mater. 2010, 175, 651–657. [Google Scholar] [CrossRef]
- Adeleke, A.O.; Latiff, A.A.A.; Daud, Z.; Daud, N.F.M.; Aliyu, M.K. Heavy Metal Removal from Wastewater of Palm Oil Mill Using Developed Activated Carbon from Coconut Shell and Cow Bones. Key Eng. Mater. 2017, 737, 428–432. [Google Scholar] [CrossRef]
- Adeleke, O.A.; Latiff, A.A.A.; Saphira, M.R.; Daud, Z.; Ismail, N.; Ahsan, A.; Ab Aziz, N.A.; Al-Gheethi, A.; Kumar, V.; Fadilat, A.; et al. Principles and Mechanism of Adsorption for the Effective Treatment of Palm Oil Mill Effluent for Water Reuse. In Nanotechnology in Water and Wastewater Treatment; Elsevier: Amsterdam, The Netherlands, 2019; pp. 1–33. [Google Scholar] [CrossRef]
- Oyekanmi, A.A.; Daud, Z.; Daud, N.M.; Gani, P. Adsorption of Heavy Metal from Palm Oil Mill Effluent on the Mixed Media Used For the Preparation of Compo-Site Adsorbent. In MATEC Web of Conferences; EDP Sciences: Les Ulis, France, 2017; Volume 103, p. 06020. [Google Scholar] [CrossRef] [Green Version]
- Wang, H.; Li, Z.; Yahyaoui, S.; Hanafy, H.; Seliem, M.K.; Bonilla-Petriciolet, A.; Dotto, G.L.; Sellaoui, L.; Li, Q. Effective adsorption of dyes on an activated carbon prepared from carboxymethyl cellulose: Experiments, characterization and advanced modelling. Chem. Eng. J. 2020, 417, 128116. [Google Scholar] [CrossRef]
- Alouache, A.; Selatnia, A.; Sayah, H.E.; Khodja, M.; Moussous, S.; Daoud, N. Biosorption of Hexavalent Chromium and Congo Red Dye onto Pleurotus Mutilus Biomass in Aqueous Solutions. Int. J. Environ. Sci. Technol. 2021, 1–16. [Google Scholar] [CrossRef]
- Moradi, M.; Sabzevari, M.H.; Marahel, F.; Shameli, A. Removal of Reactive Green KE-4BD and Congo Red Dyes in Textile Effluent by Natural Clinoptilolite Particles on a Biosorbent As a Cheap and Efficient Adsorbent: Experimental Design and Optimisation. Int. J. Environ. Anal. Chem. 2021, 1–19. [Google Scholar] [CrossRef]
- Labena, A.; Abdelhamid, A.; Amin, A.; Husien, S.; Hamid, L.; Safwat, G.; Diab, A.; Gobouri, A.; Azab, E. Removal of Methylene Blue and Congo Red Using Adsorptive Membrane Impregnated With Dried Ulva fasciata and Sargassum dentifolium. Plants 2021, 10, 384. [Google Scholar] [CrossRef]
- Banisheykholeslami, F.; Hosseini, M.; Darzi, G.N. Design of PAMAM Grafted Chitosan Dendrimers Biosorbent for Removal of Anionic Dyes: Adsorption Isotherms, Kinetics and Thermodynamics Studies. Int. J. Biol. Macromol. 2021, 177, 306–316. [Google Scholar] [CrossRef]
- Wekoye, J.N.; Wanyonyi, W.C.; Wangila, P.T.; Tonui, M.K. Kinetic and Equilibrium Studies of Congo Red Dye Adsorption on Cabbage Waste Powder. Environ. Chem. Ecotoxicol. 2020, 2, 24–31. [Google Scholar] [CrossRef]
- Achour, Y.; Bahsis, L.; Ablouh, E.-H.; Yazid, H.; Laamari, M.R.; El Haddad, M. Insight into Adsorption Mechanism of Congo Red Dye onto Bombax Buonopozense Bark Activated-Carbon Using Central Composite Design and DFT Studies. Surf. Interfaces 2021, 23, 100977. [Google Scholar] [CrossRef]
- Wanyonyi, W.C.; Onyari, J.M.; Shiundu, P.M. Adsorption of Congo Red Dye from Aqueous Solutions Using Roots of Eichhornia Crassipes: Kinetic and Equilibrium Studies. Energy Procedia 2014, 50, 862–869. [Google Scholar] [CrossRef] [Green Version]
- Dawood, S.; Sen, T.K.; Phan, C. Synthesis and Characterisation of Novel-Activated Carbon from Waste Biomass Pine Cone and Its Application in the Removal of Congo Red Dye from Aqueous Solution by Adsorption. Waterairsoil Pollut. 2014, 225, 1–16. [Google Scholar] [CrossRef]
- Ponnusamy, S.K.; Subramaniam, R. Process Optimization Studies of Congo Red Dye Adsorption onto Cashew Nut Shell Using Response Surface Methodology. Int. J. Ind. Chem. 2013, 4, 17. [Google Scholar] [CrossRef] [Green Version]
- Pathania, D.; Sharma, A.; Siddiqi, Z.-M. Removal of Congo Red Dye from Aqueous System Using Phoenix Dactylifera Seeds. J. Mol. Liq. 2016, 219, 359–367. [Google Scholar] [CrossRef]
- Ojedokun, A.T.; Bello, O.S. Kinetic Modeling of Liquid-Phase Adsorption of Congo Red Dye Using Guava Leaf-Based Activated Carbon. Appl. Water Sci. 2017, 7, 1965–1977. [Google Scholar] [CrossRef] [Green Version]
- Safari, S.; Athirah, N.F.; Sunthralingam, C.; Jamaludin, J.A.; Mustaffa, R. Durian as new source of Malaysia’s agricultural wealth. FFTC Agric. Policy Artic. 2018, 13, 1–6. [Google Scholar]
- Wai, W.W.; AlKarkhi, A.F.; Easa, A.M. Comparing Biosorbent Ability of Modified Citrus and Durian Rind Pectin. Carbohydr. Polym. 2010, 79, 584–589. [Google Scholar] [CrossRef]
- Anbia, M.; Ghaffari, A. Removal of Malachite Green from Dye Wastewater Using Mesoporous Carbon Adsorbent. J. Iran. Chem. Soc. 2011, 8, S67–S76. [Google Scholar] [CrossRef]
- Hou, F.; Wang, D.; Ma, X.; Fan, L.; Ding, T.; Ye, X.; Liu, D. Enhanced Adsorption of Congo Red Using Chitin Suspension After Sonoenzymolysis. Ultrason. Sonochemistry 2021, 70, 105327. [Google Scholar] [CrossRef]
- Lafi, R.; Montasser, I.; Hafiane, A. Adsorption of Congo Red Dye from Aqueous Solutions by Prepared Activated Carbon With Oxygen-Containing Functional Groups and Its Regeneration. Adsorpt. Sci. Technol. 2019, 37, 160–181. [Google Scholar] [CrossRef] [Green Version]
- Zhou, Y.; Ge, L.; Fan, N.; Xia, M. Adsorption of Congo Red from Aqueous Solution onto Shrimp Shell Powder. Adsorpt. Sci. Technol. 2018, 36, 1310–1330. [Google Scholar] [CrossRef] [Green Version]
- Yu, P.; Hu, T.; Chen, H.H.; Wu, F.; Liu, H. Effective Removal of Congo Red by Triarrhena Biochar Loading With TiO2 Nanoparticles. Scanning 2018, 2018, 1–7. [Google Scholar] [CrossRef] [PubMed] [Green Version]
- Tanyildizi, M.Ş. Modeling of Adsorption Isotherms and Kinetics of Reactive Dye from Aqueous Solution by Peanut Hull. Chem. Eng. J. 2011, 168, 1234–1240. [Google Scholar] [CrossRef]
- Mirhosseini, H.; Tan, C.P.; Hamid, N.; Yusof, S. Effect of Arabic Gum, Xanthan Gum and Orange Oil Contents on ζ-Potential, Conductivity, Stability, Size Index and PH of Orange Beverage Emulsion. Colloids Surf. A Physicochem. Eng. Asp. 2008, 315, 47–56. [Google Scholar] [CrossRef]
- Zhou, B.; Wang, T.; Li, C.; Fu, J.; Zhang, Z.; Song, Z.; Ma, C. Multi-Objective Optimization of the Preparation Parameters of the Powdered Activated Coke for SO2 Adsorption Using Response Surface Methodology. J. Anal. Appl. Pyrolysis 2020, 146, 104776. [Google Scholar] [CrossRef]
- Seera, S.D.K.; Kundu, D.; Gami, P.; Naik, P.K.; Banerjee, T. Synthesis and Characterization of Xylan-Gelatin Cross-Linked Reusable Hydrogel for the Adsorption of Methylene Blue. Carbohydr. Polym. 2021, 256, 117520. [Google Scholar] [CrossRef] [PubMed]
- Asfaram, A.; Ghaedi, M.; Ghezelbash, G.R.; Dil, E.A.; Tyagi, I.; Agarwal, S.; Gupta, V.K. Biosorption of Malachite Green by Novel Biosorbent Yarrowia Lipolytica isf7: Application of Response Surface Methodology. J. Mol. Liq. 2016, 214, 249–258. [Google Scholar] [CrossRef]
- Al-Degs, Y.S.; El-Barghouthi, M.I.; El-Sheikh, A.H.; Walker, G.M. Effect of Solution PH, Ionic Strength, and Temperature on Adsorption Behavior of Reactive Dyes on Activated Carbon. Dyes Pigment. 2008, 77, 16–23. [Google Scholar] [CrossRef]
- Tanzifi, M.; Hosseini, S.H.; Kiadehi, A.D.; Olazar, M.; Karimipour, K.; Rezaiemehr, R.; Ali, I. Artificial Neural Network Optimization for Methyl Orange Adsorption onto Polyaniline Nano-Adsorbent: Kinetic, Isotherm and Thermodynamic Studies. J. Mol. Liq. 2017, 244, 189–200. [Google Scholar] [CrossRef]
- Karoui, S.; Arfi, R.B.; Mougin, K.; Ghorbal, A.; Assadi, A.A.; Amrane, A. Synthesis of Novel Biocomposite Powder for Simultaneous Removal of Hazardous Ciprofloxacin and Methylene Blue: Central Composite Design, Kinetic and Isotherm Studies Using Brouers-Sotolongo Family Models. J. Hazard. Mater. 2020, 387, 121675. [Google Scholar] [CrossRef] [PubMed]
- Hamdaoui, O. Batch Study of Liquid-Phase Adsorption of Methylene Blue Using Cedar Sawdust and Crushed Brick. J. Hazard. Mater. 2006, 135, 264–273. [Google Scholar] [CrossRef] [PubMed]
- Kumar, M.; Tamilarasan, R.; Sivakumar, V. Adsorption of Victoria Blue by carbon/Ba/Alginate Beads: Kinetics, Thermodynamics and Isotherm Studies. Carbohydr. Polym. 2013, 98, 505–513. [Google Scholar] [CrossRef] [PubMed]
- Inyinbor, A.A.; Adekola, F.A.; Olatunji, G.A. Kinetics, isotherms and thermodynamic modeling of liquid phase adsorption of Rhodamine B dye onto Raphia hookerie fruit epicarp. Water Resour. Ind. 2016, 15, 14–27. [Google Scholar] [CrossRef] [Green Version]
- Parvin, S.; Biswas, B.K.; Rahman, A.; Rahman, H.; Anik, S.; Uddin, R. Study on Adsorption of Congo Red onto Chemically Modified Egg Shell Membrane. Chemosphere 2019, 236, 124326. [Google Scholar] [CrossRef]
- Roy, T.K.; Mondal, N.K. Biosorption of Congo Red from Aqueous Solution onto Burned Root of Eichhornia Crassipes Biomass. Appl. Water Sci. 2017, 7, 1841–1854. [Google Scholar] [CrossRef] [Green Version]
- Ghaedi, M.; Tavallali, H.; Sharifi, M.; Kokhdan, S.N.; Asghari, A. Preparation of Low Cost Activated Carbon from Myrtus Communis and Pomegranate and Their Efficient Application for Removal of Congo Red from Aqueous Solution. Spectrochim. Acta Part A Mol. Biomol. Spectrosc. 2012, 86, 107–114. [Google Scholar] [CrossRef] [PubMed]
- Dawood, S.; Sen, T.K. Removal of Anionic Dye Congo Red from Aqueous Solution by Raw Pine and Acid-Treated Pine Cone Powder As Adsorbent: Equilibrium, Thermodynamic, Kinetics, Mechanism and Process Design. Water Res. 2012, 46, 1933–1946. [Google Scholar] [CrossRef]
- Litefti, K.; Freire, M.S.; Stitou, M.; González-Álvarez, J. Adsorption of an Anionic Dye (Congo Red) from Aqueous Solutions by Pine Bark. Sci. Rep. 2019, 9, 1–11. [Google Scholar] [CrossRef] [Green Version]
- Lian, L.; Guo, L.; Guo, C. Adsorption of Congo Red from Aqueous Solutions onto Ca-Bentonite. J. Hazard. Mater. 2009, 161, 126–131. [Google Scholar] [CrossRef]
- Mane, V.; Babu, P.V. Kinetic and Equilibrium Studies on the Removal of Congo Red from Aqueous Solution Using Eucalyptus Wood (Eucalyptus Globulus) Saw Dust. J. Taiwan Inst. Chem. Eng. 2013, 44, 81–88. [Google Scholar] [CrossRef]
- Naushad, M.; Ahamad, T.; Al-Maswari, B.; Alqadami, A.A.; Alshehri, S.M. Nickel Ferrite Bearing Nitrogen-Doped Mesoporous Carbon As Efficient Adsorbent for the Removal of Highly Toxic Metal Ion from Aqueous Medium. Chem. Eng. J. 2017, 330, 1351–1360. [Google Scholar] [CrossRef]
- Yagub, M.T.; Sen, T.K.; Afroze, S.; Ang, H. Dye and Its Removal from Aqueous Solution by Adsorption: A Review. Adv. Colloid Interface Sci. 2014, 209, 172–184. [Google Scholar] [CrossRef] [PubMed]
- Wong, S.; Tumari, H.H.; Ngadi, N.; Mohamed, N.B.; Hassan, O.; Mat, R.; Amin, N.A.S. Adsorption of Anionic Dyes on Spent Tea Leaves Modified With Polyethyleneimine (PEI-STL). J. Clean. Prod. 2019, 206, 394–406. [Google Scholar] [CrossRef]
- Shang, Y.; Zhang, J.; Wang, X.; Zhang, R.; Xiao, W.; Zhang, S.; Han, R. Use of Polyethyleneimine-Modified Wheat Straw for Adsorption of Congo Red from Solution in Batch Mode. Desalination Water Treat. 2016, 57, 8872–8883. [Google Scholar] [CrossRef]
- Wong, S.; Ghafar, N.A.; Ngadi, N.; Razmi, F.A.; Inuwa, I.M.; Mat, R.; Amin, N.A.S. Effective Removal of Anionic Textile Dyes Using Adsorbent Synthesized from Coffee Waste. Sci. Rep. 2020, 10, 1–13. [Google Scholar] [CrossRef] [Green Version]











| Material | BET Surface Area (m2/g) | Pore Volume (cm3/g) | Pore Size (Å) | Reference |
|---|---|---|---|---|
| Acid-treated durian fruit peel | 308.74 | 0.285 | 112.17 | Present work |
| sonoenzymolysis of chitin suspension | 1.22 | 8.53 ∗ 10−3 | 9.33 | [31] |
| coffee waste (CW) | 219.69 | 0.125 | 40.04 | [32] |
| treated shrimp shell powder (TSSP) | 66.35 | 0.0968 | 5.61 | [33] |
| Triarrhena Biochar with TiO2 | 161.5 | - | 60 | [34] |
| Process Variables | Code | Unit | Coded Variables | ||
|---|---|---|---|---|---|
| −1 | 0 | +1 | |||
| pH | - | 2 | 5.5 | 9 | |
| Contact time | min | 10 | 105 | 200 | |
| Initial concentration | Mg g−1 | 25 | 212.5 | 400 | |
| Temperature | °C | 25 | 45 | 65 | |
| Experiments | Coded Variables | Actual Value | Predicted Value | Residual Value | |||
|---|---|---|---|---|---|---|---|
| 1 | 0 | 0 | 0 | 0 | 41.60 | 46.05 | −4.45 |
| 2 | 2 | 0 | 0 | 0 | 63.45 | 70.41 | −6.96 |
| 3 | 1 | 1 | 1 | 1 | 42.10 | 47.88 | −5.78 |
| 4 | 1 | 1 | 1 | −1 | 64.30 | 69.87 | −5.57 |
| 5 | −1 | 1 | 1 | −1 | 45.30 | 49.43 | −4.13 |
| 6 | 1 | −1 | 1 | −1 | 68.82 | 73.88 | −5.06 |
| 7 | 0 | 0 | 0 | 0 | 47.80 | 48.46 | −0.66 |
| 8 | −1 | −1 | 1 | −1 | 62.50 | 70.55 | −8.05 |
| 9 | 0 | 0 | 0 | 0 | 42.30 | 48.18 | −5.88 |
| 10 | −1 | 1 | −1 | 1 | 62.70 | 75.38 | −12.68 |
| 11 | −1 | 1 | 1 | 1 | 42.30 | 51.48 | −8.28 |
| 12 | 1 | 1 | −1 | −1 | 66.50 | 76.30 | −9.80 |
| 13 | 1 | 1 | −1 | 1 | 41.30 | 49.07 | −7.77 |
| 14 | 0 | 0 | 0 | 0 | 68.20 | 76.35 | −8.15 |
| 15 | 0 | 0 | 2 | 0 | 42.60 | 49.57 | −6.97 |
| 16 | −2 | 0 | 0 | 0 | 65.60 | 74.49 | −8.89 |
| 17 | −1 | −1 | 1 | 1 | 18.50 | 10.18 | 8.32 |
| 18 | −1 | −1 | −1 | −1 | 78.40 | 59.45 | 18.92 |
| 19 | −1 | 1 | −1 | −1 | 89.20 | 75.29 | 13.91 |
| 20 | 1 | −1 | −1 | 1 | 88.61 | 75.25 | 13.36 |
| 21 | −1 | −1 | −1 | 1 | 85.60 | 69.53 | 16.07 |
| 22 | 0 | 0 | 0 | −2 | 82.30 | 71.10 | 11.20 |
| 23 | 0 | 0 | 0 | 0 | 67.60 | 60.90 | 6.70 |
| 24 | 0 | 2 | 0 | 0 | 87.54 | 66.97 | 20.57 |
| 25 | 1 | −1 | −1 | −1 | 86.20 | 81.20 | 5.00 |
| 26 | 0 | 0 | 0 | −2 | 95.20 | 94.38 | 0.82 |
| 27 | 0 | 0 | −2 | 0 | 85.60 | 83.20 | 2.40 |
| 28 | 0 | 0 | 0 | 0 | 95.70 | 94.91 | 0.79 |
| 29 | 0 | −2 | 0 | 0 | 89.20 | 86.40 | 2.80 |
| 30 | 1 | −1 | 1 | 1 | 68.90 | 61.20 | 7.70 |
| Source | Sum of Squares | Degree of Freedom | Mean Square | F-Value | p-Value |
|---|---|---|---|---|---|
| Model | 11,287.19 | 14 | 806.23 | 4.82 | 0.0023 |
| 3642.53 | 1 | 3642.53 | 21.80 | 0.0003 | |
| 2.604 | 1 | 2.604 | 1.56 | 0.9969 | |
| 3.66 | 1 | 3.66 | 0.022 | 0.8843 | |
| 55.24 | 1 | 55.24 | 0.33 | 0.5739 | |
| 6250.80 | 1 | 6250.80 | 37.41 | <0.0001 | |
| 680.89 | 1 | 680.89 | 4.07 | 0.0618 | |
| 1061.56 | 1 | 1061.56 | 6.35 | 0.0235 | |
| 1675.65 | 1 | 1675.65 | 10.03 | 0.0064 | |
| 5.61 | 1 | 5.61 | 0.034 | 0.0085 | |
| 8.556 | 1 | 8.556 | 5.12 | 0.0499 | |
| 8.02 | 1 | 8.02 | 0.048 | 0.0082 | |
| 2.15 | 1 | 2.15 | 0.013 | 0.9111 | |
| Residual | 2506.57 | 15 | 167.10 |
| Desirability | %CR Removal | Error | |||||
|---|---|---|---|---|---|---|---|
| Actual | Predicted | ||||||
| 0.9999 | 5.5 | 105 | 212.50 | 45 | 95.70 | 94.91 | 0.79 |
| Pseudo-First–Order Model | Pseudo-Second–Order Model | Intraparticle Diffusion Model | |||
|---|---|---|---|---|---|
| qe(cal) (mg g−1) | 26.45 | qe(cal) (mg g−1) | 111.11 | Kid (g mg−1 min−1/2) | 11.814 |
| K1 (min−1) | 0.0274 | K2 (g mg−1 min−1) | 0.0068 | C | 6.950 |
| R2 | 0.9701 | R2 | 0.9917 | R2 | 0.8241 |
| Langmuir Isotherm | Freundlich Isotherm | Temkin Isotherm | |||
|---|---|---|---|---|---|
| (mg g−1) | 107.52 | KF (mg/g (L/mg)1/n) | 73.46 | A (L mg−1) | 18.620 |
| b (L mg−1) | 0.0602 | n | 1.717 | B | 28.219 |
| R2 | 0.9989 | R2 | 0.9831 | R2 | 0.9304 |
| Adsorbent | Maximum Adsorption Capacity (mg/g) | References |
|---|---|---|
| Egg shell membrane | 117.65 | [46] |
| Eichhornia crassipes biomass | 14.49 | [47] |
| Myrtus communis (AC-MC) | 19.23 | [48] |
| pomegranate (AC-PG) | 10.00 | [48] |
| acid-treated pinecone | 40.19 | [49] |
| Pinus radiata cone biomass | 0.47 | [50] |
| Acid-treated durian fruit peel | 105.92 | Present work |
| Δ°H (Kj/mol) | Δ°S (Kj/molK) | Temperature (K) | Δ°G (Kj/mol) |
|---|---|---|---|
| 9.219 | 38.477 | 298 | −7.531 |
| 308 | −7.912 | ||
| 318 | −8.328 | ||
| 328 | −8.699 | ||
| 338 | −9.076 |
Publisher’s Note: MDPI stays neutral with regard to jurisdictional claims in published maps and institutional affiliations. |
© 2021 by the authors. Licensee MDPI, Basel, Switzerland. This article is an open access article distributed under the terms and conditions of the Creative Commons Attribution (CC BY) license (https://creativecommons.org/licenses/by/4.0/).
Share and Cite
Oyekanmi, A.A.; Ahmad, A.; Mohd Setapar, S.H.; Alshammari, M.B.; Jawaid, M.; Hanafiah, M.M.; Abdul Khalil, H.P.S.; Vaseashta, A. Sustainable Durio zibethinus-Derived Biosorbents for Congo Red Removal from Aqueous Solution: Statistical Optimization, Isotherms and Mechanism Studies. Sustainability 2021, 13, 13264. https://doi.org/10.3390/su132313264
Oyekanmi AA, Ahmad A, Mohd Setapar SH, Alshammari MB, Jawaid M, Hanafiah MM, Abdul Khalil HPS, Vaseashta A. Sustainable Durio zibethinus-Derived Biosorbents for Congo Red Removal from Aqueous Solution: Statistical Optimization, Isotherms and Mechanism Studies. Sustainability. 2021; 13(23):13264. https://doi.org/10.3390/su132313264
Chicago/Turabian StyleOyekanmi, A. A., Akil Ahmad, Siti Hamidah Mohd Setapar, Mohammed B. Alshammari, Mohammad Jawaid, Marlia Mohd Hanafiah, H. P. S. Abdul Khalil, and Ashok Vaseashta. 2021. "Sustainable Durio zibethinus-Derived Biosorbents for Congo Red Removal from Aqueous Solution: Statistical Optimization, Isotherms and Mechanism Studies" Sustainability 13, no. 23: 13264. https://doi.org/10.3390/su132313264
APA StyleOyekanmi, A. A., Ahmad, A., Mohd Setapar, S. H., Alshammari, M. B., Jawaid, M., Hanafiah, M. M., Abdul Khalil, H. P. S., & Vaseashta, A. (2021). Sustainable Durio zibethinus-Derived Biosorbents for Congo Red Removal from Aqueous Solution: Statistical Optimization, Isotherms and Mechanism Studies. Sustainability, 13(23), 13264. https://doi.org/10.3390/su132313264

